Next Article in Journal
A Multi-Analytical Diagnostic on an Outdoor Wall Painting: The Study on the Déesis of St. Maria Annunziata’s Church, Motta San Giovanni (Reggio Calabria, Italy)
Next Article in Special Issue
Statistical Characteristics of Stress Changes in Tunnel Surrounding Rock Based on Random Discrete Variability of Geotechnical Materials
Previous Article in Journal
Field Experiments on 3D Groundwater Flow Patterns in the Deep Excavation of Gravel-Confined Aquifers in Ancient Riverbed Areas
Previous Article in Special Issue
BIM-Based Optimization of Drilling Angle and Hole Position of Outside Corner Anchor Rods
 
 
Font Type:
Arial Georgia Verdana
Font Size:
Aa Aa Aa
Line Spacing:
Column Width:
Background:
Article

Pressure Model Study on Synchronous Grouting in Shield Tunnels Considering the Temporal Variation in Grout Viscosity

College of Transportation Engineering, Dalian Maritime University, Dalian 116026, China
*
Authors to whom correspondence should be addressed.
Appl. Sci. 2023, 13(18), 10437; https://doi.org/10.3390/app131810437
Submission received: 7 August 2023 / Revised: 15 September 2023 / Accepted: 16 September 2023 / Published: 18 September 2023
(This article belongs to the Special Issue Advances in Tunnel and Underground Construction)

Abstract

:
The grout pressure in the shield tunnel tail void during synchronous grouting is the key to controlling ground settlement and restraining the segment. However, the circumferential, longitudinal, and radial distribution of grout pressure considering the temporal variation in grout viscosity has not been well explored yet. In this study, a theoretical model of grout pressure distribution and dissipation considering the temporal variation in Bingham grout viscosity was established. The simulation results of the pressure model were verified by field-measured data. The results showed that the radial and longitudinal distributions of grout pressure considering the temporal variation in grout viscosity were closer to the field-measured data. The impacts of the main parameters on the pressure distribution and dissipation were analyzed. Compared with the effect of the shield tail void thickness, tunnel radius and yield shear stress have greater effects on grout pressure during the circumferential filling phase. During the longitudinal and radial diffusion phases, the increase in soil porosity and permeability coefficient was conducive to grout diffusion. The increase in the grout viscosity reduces the pressure loss during the grout flow process. The results of this research can provide a theoretical basis for the grout design process in shield tunnels.

1. Introduction

During the development and utilization of urban underground space, shield tunneling is widely adopted in tunnel construction owing to its low stratum disturbance and high efficiency [1,2,3,4]. Synchronous grouting is one of the essential processes in shield tunnel construction. The main characteristics of synchronous grouting include preventing large ground settlement, forming uniform force stress on the segment structure, and improving the tunnel impermeability performance [5,6,7,8,9]. The grouting effect in shield tunnel construction is difficult to monitor owing to the grouting position and lining segment structure. The grouting process is mainly based on engineering experience, which hinders the optimization of the synchronous grouting process. Therefore, it is necessary to study the distribution and dissipation of synchronous grouting pressure, which contributes to optimizing grouting parameters and improving the engineering efficiency of shield tunnels.
The main research methods of grout pressure include experiment [10,11,12], numerical simulation [13,14,15,16], and theoretical analysis [17,18,19]. Grouting materials usually include two types: single-component grout and double-component grout. In the study of single-component grouts, Liang et al. (2017) developed a model to characterize the spatial and temporal distribution of the grout pressure in the shield tail void. The increase in the grout viscosity hindered the grout diffusion. The grout pressure decreased linearly along the longitudinal direction [20]. Liu et al. (2021) established a non-linear spring model to simulate backfill grout consolidation in the shield tail void. The grout diffusion process had a significant effect on the grout pressure dissipation. The distribution of the grout pressure around the tunnel lining was mainly affected by the initial grout injection pressure [21]. The grout transport in the soil around the tunnel tail void was simulated using a coupled hydromechanical model. The results showed that the grout pressure should be increased and the grout time should be reduced in highly permeable soil to limit the ground settlement [16]. Understanding the parameters’ influence on the results is important for structure stabilization [22].
Zhang et al. (2022) investigated the diffusion mechanism of quick-setting double-component grout, and the results showed that the quick-setting characteristics have an important effect on permeation and diffusion [23]. However, the quick-setting characteristics can be considered negligible when the void space exceeds a certain value. Sharghi et al. (2017) investigated the influence of mechanical properties of two-component grouting materials on surface settlement and determined the optimal compressive strength range for controlling surface deformation and settlement [24].
The circumferential distribution of grout pressure was widely investigated. Most existing studies on the grout pressure during synchronous grouting in the shield tail void ignore the temporal variation in grout viscosity. In addition, grout penetration into the soil occurs after the grout fills the shield tail void, which has an influence on the grout pressure [25,26,27,28,29]. The initial pressure of grout penetration into the soil depends on the grout filling pressure in the shield tail void. Most studies simplify the initial pressure of grout penetration to initial injection pressure, which reduces the accuracy of the grout pressure prediction during synchronous grouting in shield tunnels. Few studies on the longitudinal and radial distribution of grout pressure considering the temporal variation in grout viscosity, which need to be studied, exist.
The aim of this study was to investigate the circumferential, longitudinal, and radial distribution characteristics of grout pressure considering the temporal variation in grout viscosity. Based on the principle of the hydrodynamic mechanism and Darcy’s law, a theoretical model of grout pressure distribution and dissipation considering the temporal variation in Bingham grout viscosity was established. The model derived in this study is suitable for single-component grout segment grouting. The simulation results of the pressure model were verified by field-measured data. The impacts of the main parameters on the pressure distribution and dissipation were analyzed, including the temporal variation in grout viscosity, yield shear stress, the thickness of the shield tail void, tunnel radius, porosity, and permeability coefficient. The model was established to address the challenge of predicting the grout pressure behind the segment, revealing the formation and dissipation mechanisms of the grout pressure. The application of the model facilitates the rational adjustment of setting the grouting pressure to enhance construction efficiency and safety. The results of this research provide a theoretical basis for the synchronous grouting design process in shield tunnels.

2. Mathematical Model

2.1. Assumptions

As shown in Figure 1a, the shield tail void exists between the segment and soil during shield tunnel construction [30]. The synchronous grouting in the shield tail void is a process of a three-dimensional annular void filled by the grout. The grout filling in the shield tail void through the grouting hole is a complex spatial–temporal process. Initially, the grout fills the shield tail void circumferentially driven by injection pressure and gravity (Figure 1b). The completion of circumferential grout distribution along the segment generally takes tens to hundreds of seconds [31]. After the completion of circumferential grout filling, the grout fills the shield tail void longitudinally parallel to the movement direction of the shield machine. At the same time, the grout penetrates radially into the soil under the grout pressure, as shown in Figure 1c,d.
The grout pressure formation is completed during the circumferential grout filling process, whereas the grout pressure dissipation contributes to longitudinal filling and radial penetration diffusion. Compared with the circumferential grout filling, the longitudinal filling and radial penetration diffusion take more time, usually several hours. Therefore, the grout pressure formation and dissipation are considered two consecutive processes. To establish the theoretical model of the grout pressure during synchronous grouting in shield tunnels, the following assumptions are made [32,33].
(1)
The grout is regarded as a homogeneous and incompressible fluid following Darcy’s law.
(2)
No grout dilution and blockage occur during synchronous grouting.
(3)
The disturbance of groundwater is neglected.
(4)
The pressure dissipation induced by grout consolidation is neglected.
(5)
The grout pressure formed during the circumferential grout filling phase is assumed to be the initial value of the longitudinal filling and radial penetration diffusion phase.

2.2. Circumferential Grout Pressure Distribution

A coordinate system is established where the horizontal, vertical, and longitudinal directions are set as the x-, y-, and z-axis, respectively (Figure 2a). The grout pressure distribution of circular tunnels is usually symmetrical by the vertical y-axis. However, the impact of grout flow direction (top-down or bottom-up) on the grout pressure distribution needs to be discussed separately, owing to the gravity. Force analysis of the grout element during circumferential grout filling when the grout flow direction is upward is shown in Figure 2b.
The rheological equation of Bingham fluid grout considering the temporal variation in grout viscosity can be expressed as [34]:
τ = τ 0 + μ ( t ) γ
where τ is the shear stress (Pa), τ 0 is the yield shear stress (Pa), μ ( t ) is the grout viscosity as a function of time (Pa·s), γ is the shear rate (s−1), which is the negative ratio of d v to d r , d v is the circumferential grout filling velocity variation vector (m/s), d r is the grout element height along the tunnel radial direction (m).
According to the existing research, the grout viscosity considering the temporal variation can be expressed as [20,35]:
μ ( t ) = μ 0 e ξ t
where μ 0 is the initial viscosity (Pa·s), ξ is the time-varying coefficient of viscosity (s−1), and t is the grouting time (s).
According to the conservation of mass, the volume of injected grout is equal to the volume of the filled annular void in a certain period of time, described as follows:
q t z = Δ α 2 ( R 0 2 R 1 2 ) δ
where q is the grouting rate (m3/s), t z is the grout viscosity growth time, calculated from the injection of grout into the shield tail void (s), Δ α is the diffusion radian (rad) increment which is greater than 0, R 0 is the external radius of the shield shell (m), R 1 is the external radius of the segment (m), δ is the thickness of the filled annular void along the longitudinal direction of the tunnel (m).
During synchronous grouting in shield tunnels, the longitudinal grout filling is mainly conducted by the longitudinal movement of the shield machine. Therefore, δ can be expressed as follows:
δ = v d · t y
where v d is the shield advance velocity (m/s), t y is the required time for the longitudinal grout filling in the shield tail void (s).
The grout viscosity growth time t z is calculated according to Equation (3):
t z = Δ α 2 q ( R 0 2 R 1 2 ) δ
The relationship between the grout viscosity and spatial distribution is established combined with Equation (2):
μ ( t z ) = μ [ Δ α 2 q ( R 0 2 R 1 2 ) δ ] = μ 0 e ξ [ Δ α δ 2 q ( R 0 2 R 1 2 ) ]
The stress equilibrium relationship of the grout element along the streamline is expressed as follows:
ρ g d r ( R d α ) cos ( α + d α 2 ) P d r cos ( d α 2 ) + ( P + d P ) d r cos ( d α 2 ) τ ( R d r 2 ) d α + ( τ + d τ ) ( R + d r 2 ) d α = 0
where ρ is the grout density (kg/m3), g is the gravity acceleration (m/s2), P is the grout pressure (Pa), τ is the shear stress (Pa), R is the tunnel radius at grout element (m), R = R 1 + b / 2 , b is the radial thickness of the shield tail void (m), α is the grout element angle from the positive direction of the x-axis (rad).
Since d r is much smaller than R , R ± d r / 2 is simplified as R , and s i n ( d α / 2 ) is equal to 0, while c o s ( d α / 2 ) is equal to 1. Equation (7) is simplified as follows:
d τ d r = 1 R ( ρ g R c o s α + d P d α )
Combining the boundary conditions ( r = 0 and τ = 0 ), Equation (8) is integrated to:
τ = r R ( ρ g R cos α + d P d α )
Defining ρ g R c o s α d P d α as A , then Equation (9) is expressed as:
τ = r R A
Equations (1) and (10) are combined as follows:
d v d r = 1 μ ( τ 0 r A R )
The μ in Equation (11) is a simplified symbol of μ ( t z ) , which is adopted in the following section. The velocity distribution of the Bingham fluid is shown in Figure 3.
When the absolute value of the fluid height r is not greater than the flow core height r p ( | r | r p ), the adjacent layers are relatively stable ( d v / d r = 0 ). The grout flow velocity is the maximum, and the grout shear stress is the minimum.
When the fluid height r is between r p and b / 2 ( r p < | r | b / 2 ), the grout flow velocity decreases from the maximum velocity value owing to the shear stress.
According to Equation (10), when r = r p ( τ = τ 0 ), r p can be expressed as follows:
r p = τ 0 R A
Integrating Equation (11) with the boundary conditions ( r = b / 2 and v = 0 ), the flow velocity distribution of the grout ( r p < | r | b / 2 ) can be obtained as follows:
v = 1 μ [ τ 0 ( r b 2 ) A 2 R ( r 2 b 2 4 ) ]
When r = r p ( v = v p ), the flow velocity distribution of the grout ( | r | r p ) is expressed as follows:
v p = 1 μ [ τ 0 ( r p b 2 ) A 2 R ( r p 2 b 2 4 ) ]      
Therefore, the flow velocity distribution of the grout can be obtained by combining Equations (13) and (14):
{ v = 1 μ [ τ 0 ( r b 2 ) A 2 R ( r 2 b 2 4 ) ]                 ( r p < | r | b / 2 ) v p = 1 μ [ τ 0 ( r p b 2 ) A 2 R ( r p 2 b 2 4 ) ]                 ( | r | r p )
According to Equation (15), the average fluid velocity and flux of the grout can be obtained as follows:
v ¯ = 1 b b 2 b 2 v d r = 2 b μ ( τ 0 b 2 8 + 1 2 τ 0 r p 2 + A b 3 24 R A r p 3 3 R )
Q i j = v ¯ S = δ μ ( τ 0 b 2 4 + τ 0 r p 2 + A b 3 12 R 2 A r p 3 3 R )
where Q i j is the average grout flux of the i grouting hole (m3/s), i denotes the number of the grouting hole, j = 1 ,   2 represent upward and downward, respectively, S is the sectional area of grouting (m2).
It is assumed that the upward average grout flux is equal to the downward average grout flux of the i grouting hole. When the total number of grouting holes is N , Q i 1 can be calculated as follows:
Q i 1 = m π ( R 0 2 R 1 2 ) v d 2 N
where m is the grouting volume ratio, which represents the ratio of the actual grouting volume to the theoretical grouting volume, usually ranging from 130% to 250% [36].
Equation (12) is substituted into Equation (17) as follows:
A 3 ( 12 Q i j μ R δ b 3 + 3 τ 0 R b ) A 2 + 4 τ 0 3 R 3 b 3 = 0
Equation (6) is substituted into Equation (19) to obtain the equation considering the temporal variation in grout viscosity:
A 3 ( 12 Q i j μ 0 e ξ [ Δ α δ 2 q ( R 0 2 R 1 2 ) ] R δ b 3 + 3 τ 0 R b ) A 2 + 4 τ 0 3 R 3 b 3 = 0
Defining ρ g R c o s α d P d α as A , we can deduce as follows:
d P d α = A ρ g R c o s α  
Therefore, when the grout flow direction is upward, the circumferential filling pressure of the grout can be obtained by integrating Equation (21), combining the boundary conditions ( α = α i 0 and P = P i ):
P = P i A ( α α i 0 ) + ρ g R ( s i n α i 0 s i n α )
α in Equation (22) is replaced with θ ( β 1 θ β ) to illustrate the grout pressure during the circumferential phase as shown in Figure 1b and Figure 2a ( α = π 2 θ , α i 0 = π 2 β ).
P = P i A ( β θ ) + ρ g R ( cos β cos θ )
where θ is the angle between the grout element and the positive direction of the y-axis, β is the angle between the grouting hole i and the positive direction of the y-axis, β 1 is the angle of upward grouting from the grouting hole i, β 1 = π 2 α i 2 .
Force analysis of the grout element during circumferential grout filling when the grout flow direction is downward is shown in Figure 4.
When the grout flow direction is downward, the circumferential filling pressure of the grout is:
P = P i + A ( β θ ) + ρ g R ( cos β cos θ )
Therefore, the circumferential filling pressure distribution of the grout can be expressed as follows:
P = P i ± A ( β θ ) + ρ g R ( cos β cos θ )
The circumferential filling pressure distribution of the grout in the case of six grouting holes can be calculated according to Table 1.

2.3. Radial Grout Pressure Dissipation

The diffusion range of the grout presents an irregular distribution owing to the gravity and the grout pressure distribution formed during the circumferential filling phase. The grout diffusion quantity and range are difficult to obtain during synchronous grouting in shield tunnels. A typical empirical equation of the diffusion distance is proposed by Wang et al. (2022) [35]:
D = c P 0 0.622 K w 0.533 β r 0.534
where D is the grout diffusion distance (cm), c is the fitting coefficient, P 0 is the grout pressure (kPa), K w is the permeability coefficient of water (10−4 m/s). Existing studies have shown a nearly negative linear relationship between the porosity and stratum depth, and the permeability coefficient increases linearly with porosity φ [37]. β r is the viscosity ratio of the average grout viscosity ( μ ( t ) ) to water viscosity ( μ w ).
According to Ye et al. (2020), the average diffusion distance D can be calculated by multiplying m and b ( θ = 90 ° ) [38]. The grout diffusion radius R s can be expressed as follows:
R s = R 1 + D
The fitting coefficient c can be obtained according to Equation (26). Therefore, the grout diffusion distance D and diffusion radius Rs at other positions can be calculated according to Equations (26) and (27).
According to Darcy’s law:
Q r = K g d h r d R s A r t 1
where Q r is the grout diffusion quantity (m3), h r is the hydraulic head (m), R s is the diffusion radius of grout (m), K g is the permeability coefficient of the grout in soil (m/s), which is the ratio of K w to β r , A r is the diffusion area (m2), t 1 is the grout diffusion time (s).
β r in Equation (26) can be obtained by:
β r = 0 t 1 μ ( t ) d t 1 μ w t 1 = μ 0 ( e ξ t 1 1 ) μ w ξ t 1
The shield tunneling distance in time t 1 is d z . Equation (29) is substituted into Equation (28):
Q r = 2 π K w R s μ w ξ d z t 1 2 μ 0 ( e ξ t 1 1 ) d h r d R s
d h r is equal to the ratio of the radial grout diffusion pressure gradient d P r (Pa/m) to ρ g . Equation (30) can be transformed into:
  Q r = 2 π K w R s μ w ξ d z t 1 2 μ 0 ( e ξ t 1 1 ) ρ g d P r d R s
Combining the porosity φ , Equation (31) can be transformed into:
d P r d R s = μ 0 φ ( e ξ t 1 1 ) ρ g 2 K w μ w ξ t 1 2 ( R 0 2 R s R s )
Combining Equation (32) with the boundary conditions ( R s = R 0 and P r = P r 0 ), the radial grout pressure dissipation can be expressed as follows:
Δ P r = P r 0 P r = μ 0 φ ( e ξ t 1 1 ) ρ g 2 K w μ w ξ t 1 2 [ R s 2 R 0 2 2 R 0 2 ln ( R s R 0 ) ]
where P r 0 is the radial grout diffusion initial pressure (Pa), and P r is the grout pressure at R s (Pa).
Based on Equation (33), the radial grout pressure dissipation without considering the temporal variation in grout viscosity is described as follows:
Δ P r = P r 0 P r = μ 0 φ ρ g 2 K w μ w t 1 [ R s 2 R 0 2 2 R 0 2 ln ( R s R 0 ) ]

2.4. Longitudinal Grout Filling Pressure Dissipation

The force analysis of the longitudinal grout flow in an arbitrary longitudinal profile of the shield tail void is shown in Figure 5. The longitudinal flow of the grout is regarded as a one-dimensional motion along the z-axis.
The force equilibrium relationship of the grout element in the longitudinal direction is expressed as follows:
P l d y ( P l + d P l ) d y + τ d l ( τ + d τ ) d l = 0
where P l is the longitudinal grout pressure (Pa), d l is the length of the grout element along the longitudinal direction (m), and d y is the grout element height perpendicular to the longitudinal flow direction (m).
Equation (35) is transformed into:
d τ d y = d P l d l
Defining d P l d l as B and combining ( y = 0 , τ = 0 ), Equation (36) is integrated as follows:
τ = B y
Combining the boundary conditions ( y = y p , τ = τ 0 ), the height of the longitudinal flow core y p is expressed as follows:
  y p = τ 0 B
Based on the derivation of Equations (12)–(16), the average longitudinal flow velocity of grout can be expressed as:
v ¯ l = 1 b μ 0 e ξ t [ B ( 2 3 τ 0 B 3 3 b 3 12 ) + τ 0 ( τ 0 2 B 2 b 2 4 ) ]
When the initiation pressure gradient λ is equal to the ratio of 2 τ 0 to b , Equation (39) is expressed as follows:
v ¯ l = b 2 12 μ 0 e ξ t ( B 3 2 λ + λ 3 2 B 2 )
According to the research of Zhou et al. (2022), d P l d l is much larger than λ [39]. λ 3 2 B 2 in Equation (40) can be neglected. So, Equation (40) can be simplified as follows:
v ¯ l = b 2 12 μ 0 e ξ t ( B 3 τ 0 b )
According to the conservation of mass, the total quantity of the injected grout is expressed as follows:
q t 1 = v ¯ l   π ( R 0 2 R 1 2 ) t 1 + φ π [ ( R 1 + m b ) 2 R 0 2 ] v d t 1
where t 1 is the longitudinal filling time (s). Substituting Equation (41) into Equation (42), the average longitudinal flow velocity of grout is expressed as follows:
v ¯ l = b 2 12 μ 0 e ξ t ( B 3 τ 0 b ) = q φ π [ ( R 1 + m b ) 2 R 0 2 ] v d π ( R 0 2 R 1 2 )
Combined with the boundary conditions ( P l = P 0 and l = 0 ), the longitudinal grout filling pressure dissipation can be expressed as:
Δ P = P 0 P l = 12 μ 0 e ξ t { q φ π [ ( R 1 + m b ) 2 R 0 2 ] v d } π b 2 ( R 0 2 R 1 2 ) l + 3 τ 0 b l
where P 0 is the grout pressure formed at the completion of the circumferential filling (Pa), l is the distance of longitudinal tunneling of the shield (m), P l is the grout pressure at longitudinal tunneling distance l (Pa).
When l is equal to v d multiplied by t 1 , Equation (44) can be expressed as follows:
Δ P = P 0 P l = 12 μ 0 e ξ t { q φ π [ ( R 1 + m b ) 2 R 0 2 ] v d } π b 2 ( R 0 2 R 1 2 ) v d t 1 + 3 τ 0 b v d t 1
Based on Equation (45), the longitudinal grout filling pressure dissipation without considering the temporal variation in grout viscosity is described as follows:
Δ P = P 0 P l = 12 μ 0 { q φ π [ ( R 1 + m b ) 2 R 0 2 ] v d } π b 2 ( R 0 2 R 1 2 ) v d t 1 + 3 τ 0 b v d t 1

3. Case Analysis and Model Verification

3.1. Case Introduction

The model was verified by the grouting construction of the Sophia railroad shield tunnel. The Sophia railroad shield tunnel included two rail tubes with an external diameter of 9.5 m and concrete lining with a thickness of 0.4 m [40,41]. The monitoring location crossed the Pleistocene layer of medium-density sand. The permeability coefficient of water in the soil Kw was 5 × 10−4 m/s, and the overburden pressure at the top of the tunnel was about 200 kPa.
The grout in the Sophia railroad tunnel was cement mortar, with the initial viscosity μ 0 = 0.907 Pa·s and the time-varying coefficient of viscosity ξ = 0.0107 min−1 [20]. The six-hole grouting method was adopted for synchronous grouting (Table 2). The pressure sensors monitored the grout pressure during grouting ring construction from 6:00 a.m. to 7:30 a.m. The Sophia railroad tunnel information and grouting parameters are listed in Table 3.

3.2. Model Calculation

Initially, the grout pressure in the circumferential diffusion process was calculated by the constructed model based on the parameter values in relevant literature and construction cases. Since the circumferential diffusion process is short in duration, it is suitable for calibrating the initial viscosity. If the calculated circumferential pressure values deviate significantly from the measured values, parameters are adjusted and recalculated until the calculated values match the measured values (with an error less than 5%).
Once the calculated results of the circumferential pressure meet the accuracy requirements, the same parameters are applied to calculate the grout pressure of the radial and longitudinal diffusion processes in a specific time to calibrate the time-varying coefficient of viscosity. If the calculated values do not meet the requirements (with an error exceeding 10%), the grout pressure in the circumferential, radial, and longitudinal diffusion process would be recalculated until the results meet the accuracy requirements of the entire diffusion process. Then, both the model and the parameters are considered effective.
The grout pressure during synchronous grouting in the Sophia railroad tunnel is calculated using the grout pressure model. The average grout flux can be obtained according to Equation (18):
Q i = m π ( R 0 2 R 1 2 ) v d 2 N = 1.9 × 3.14 × 0.00072 2 × 6 ( 4.885 2 4.725 2 ) = 5.50 × 10 4   m 3 / s
During the circumferential filling phase, the grout takes at least 100 s to completely fill the shield tail void. According to Equation (4), the thickness of the annular void along the longitudinal direction can be calculated as follows:
δ = v d · t y = 0.00072 × 100 = 0.072   m
When the shield tail void is completely filled, t z is equal to t y and the grouting rate can be obtained according to Equation (3):
q = π δ ( R 0 2 R 1 2 ) t y = 3.14 × 0.072 100 ( 4.885 2 4.725 2 ) = 3.5 × 10 3   m 3 / s
According to the relationship between liquid permeability and porosity in the soil by Ye et al. (2020), when the permeability coefficient K w was 5 × 10−4 m/s, the porosity φ was 0.3, and the viscosity of water μ w at 20 °C was 1.01 × 10 3   Pa·s [38].
The β r can be obtained by substituting t 1 (60 min) into Equation (29):
β r = = 0.907 ( e 0.0107 × 60 1 ) 1.01 × 10 3 × 0.0107 × 60 = 1259.29
According to Equation (26), the fitting coefficient c in the Sophia railroad tunnel is 14.99.
c = 30.4 281.3 0.622 × 6.667 0.533 × 1259.29 0.534 = 14.99
The grout pressure formed during the circumferential filling phase is the initial value of the longitudinal and radial pressure dissipation. Based on Equations (24), (25), (45), (46), (33), and (34), the grout pressure during synchronous grouting in the Sophia railroad tunnel can be calculated.

3.3. Model Verification

As shown in Figure 6, the grout pressure calculated using the grout pressure model at the end of the circumferential filling phase is compared with the field measurements. The calculation results of the grout pressure model considering the temporal variation in grout viscosity are consistent with the field measurements. The grout pressure during the circumferential filling phase of the Sophia railroad tunnel shows an irregular annular distribution. Compared with the grout pressure at the bottom part of the tunnel, the grout pressure at the top is lower owing to the gravity and initial injection pressure.
The gradient of grout pressure variation is relatively small within the range of the top (0°–30°) and bottom (150°–180°) of the tunnel. The grout pressure changes from 200.0 kPa and 360.2 kPa to 203.9 kPa and 370 kPa, respectively. The circumferential gradient of grout pressure is 1.3 kPa/m and 3.9 kPa/m, respectively. However, in the range of the tunnel shoulder to waist (θ = 60°–90°), the variation of the grout pressure is obvious. The grout pressure changes from 230.0 kPa to 281.3 kPa, and the circumferential gradient of grout pressure is approximately 20.7 kPa/m. Similarly, Li et al. (2021) used a semi-elliptical surface grout diffusion model to calculate the circumferential variation gradient of the grout pressure [32]. The circumferential variation gradient of grout pressure near the top and bottom areas of the tunnel was 5–10 kPa/m. In comparison, the circumferential variation gradient of grout pressure from the tunnel shoulder to the waist area was approximately 20 kPa/m. When the grout flows downward from the grouting hole, gravity has a positive effect on the grout flow. However, when the grout flows upward, gravity has a negative effect. Regardless of the grout flow direction, the grout viscous resistance has a negative effect on the grout flow.
In the areas near the top (θ = 0°) and bottom (θ = 180°) of the tunnel, the gravity effect on the grout pressure is not obvious, and the grout pressure changes slowly. In contrast, from the tunnel shoulder to the waist area, the gravity effect plays an important role in the grout pressure, and the grout pressure changes faster. However, the calculation results of the grout pressure model without considering the temporal variation in grout viscosity are also close to the field measurements. Therefore, during the circumferential filling phase, the temporal variation in grout viscosity has little effect on the grout pressure owing to the short duration.
The grout pressure calculated using the model and the field measurements at 1 h during the circumferential filling process is shown in Figure 7.
The theoretical values of the grout pressure fit well with the field-measured values, which can reflect the variation of the grout pressure. The maximum relative error (Ermax) and root mean square error (RMSE) are used as comprehensive indicators to evaluate the deviation between the results of the grout pressure model and field-measured values.
The Ermax and RMSE of the calculation results without considering the temporal variation in grout viscosity are 16.13% and 22.11 kPa, respectively. In contrast, the Ermax and RMSE of the grout pressure model considering the temporal variation in grout viscosity are 5.29% and 9.83 kPa, respectively. Li et al. (2021) investigated the distribution of the grout pressure in a quasi-rectangular tunnel over approximately 1 h [32]. The established model did not consider the temporal variation in grout viscosity. The calculated results showed an error of 11.35% compared to the measured values. The root mean square error was 14.24 kPa. In contrast, the error and root mean square error obtained in this study by considering the temporal variation in grout viscosity were smaller (5.29% and 9.83 kPa). Therefore, considering the temporal variation in grout viscosity can significantly improve the accuracy of the model.
The variation of the grout pressure mainly depends on the radial dissipation of the grout pressure. With the increasing of grout diffusion distance, more dissipation of the grout pressure occurs [33]. The grout diffusion distance D after grout pressure dissipation for 1 h is shown in Figure 8.
The result considering the temporal variation in grout viscosity shows a significant decrease in diffusion distance.
The results of the grout diffusion distance D, diffusion radius R s , and grout dissipation pressure after grout pressure dissipation for 1 h are listed in Table 4.
When the temporal variation in grout viscosity is considered during the calculation process, the R s at the top (θ = 0°), the sides (θ = 90°), and the bottom (θ = 180°) of the tunnel are 5.00 m, 5.03 m, and 5.04 m, respectively. The radial dissipation value of the grout pressure is 27.2 kPa, 41.2 kPa, and 44.3 kPa, respectively. Compared with the results considering the temporal variation in grout viscosity, the results show a larger diffusion range and greater dissipation pressure without considering the temporal variation in grout viscosity. With the increase in the grout viscosity, the grout diffusion distance and dissipation pressure are reduced [42]. Therefore, the temporal variation in grout viscosity has an important influence on the radial dissipation process of the grout pressure.
The variation of the diffusion radius R s with the diffusion time is shown in Figure 9a. The variation of the radial dissipation value of the grout pressure Δ P with the diffusion radius R s is shown in Figure 9b.
With the increase in diffusion time, the grout diffusion radius shows a non-linear increase, and the increasing rate gradually slows down. In addition, as the diffusion time increases, the influence of the temporal variation in grout viscosity on the grout diffusion radius is more significant. An increase in the diffusion radius leads to an increase in the radial dissipation value of the grout pressure. When considering the temporal variation in grout viscosity, the pressure dissipation is faster owing to the increasing viscosity.
Compared with the grout pressure variation during the circumferential distribution and radial dissipation process of the grout pressure, the grout pressure dissipation values during the longitudinal filling process are not related to the cross-sectional location of the grout. The dissipation value of the grout pressure is about 4.9 kPa within 1 h. Therefore, the grout viscosity variation has little effect on the longitudinal grout pressure.

4. Parameter Sensitivity Analysis

4.1. Circumferential Grout Filling Phase

According to Equation (25), the distribution of grout pressure is mainly influenced by the initial injection pressure of the grout, gravity, and parameter A . With an increase in the initial injection pressure of the grout, the grout pressure in the circumferential filling phase increases. Gravity positively affects the grout pressure when the grout flows downward. In contrast, gravity has a negative effect on the grout pressure when the grout flows upward. During the circumferential grout filling phase, parameter A is affected by several factors. Owing to the cubic term form in Equation (20), the effects of the yield shear stress τ 0 , thickness of the shield tail void b , and tunnel radius R on the grout pressure are analyzed.

4.1.1. Yield Shear Stress τ 0

The variation range of τ 0 is 100 to 700 Pa [40]. The variation of the grout pressure P with the yield shear stress τ 0 is shown in Figure 10.
With the increase in the yield shear stress, the grout pressure decreases significantly. The yield shear stress of the grout reflects the minimum resistance that needs to be overcome when the grout starts to flow. Similar results were found in Liu et al. (2021). The higher the yield shear stress of the grout, the stronger the hindrance to the flow process [31]. A higher yield shear stress causes a greater loss of grout pressure.
When the yield shear stress increases from 100 Pa to 700 Pa, the grout pressures near the top ( θ = 5 ° ), the sides ( θ = 90 ° ), and the bottom ( θ = 175 ° ) of the tunnel decrease by 16.9 kPa, 22.1 kPa, and 17.7 kPa, respectively. However, the decreasing values of the grout pressure at each position are similar. The grout pressures are decreased by 8.9%, 7.8%, and 4.7%, respectively. So, the variation in yield shear stress τ 0 has the most obvious effect on the area near the top of the tunnel.

4.1.2. Shield Tail Void Thickness b

Based on existing studies, the shield tail void thickness ranges from 0.05 m to 0.2 m [20,32,38,43]. The variation of the grout pressure P with the thickness of the shield tail void b is shown in Figure 11.
When the thickness of the shield tail void b increases from 0.05 m to 0.1 m, the grout pressure increases slowly. This is because when the grout flows through the larger shield tail void, the average flow velocity of the grout will decrease. This means that the kinetic energy per unit volume of grout is lower. According to the conservation of energy, the total energy of the grout remains unchanged. Therefore, the lower the flow velocity, the greater the proportion of pressure energy, resulting in higher pressure. The grout pressure near the top ( θ = 5 ° ), the sides ( θ = 90 ° ), and the bottom ( θ = 175 ° ) of the tunnel increases from 185.4 kPa, 273.0 kPa, and 365.7 kPa to 189.2 kPa, 279.1 kPa, and 371.5 kPa, respectively, with the increasing values of 3.8 kPa, 6.1 kPa, and 5.8 kPa.
However, when the thickness of the shield tail void b increases from 0.1 m to 0.2 m, the grout pressure increases by 2.1 kPa, 3.0 kPa, and 2.0 kPa, respectively. The grout pressure tends to stabilize. As the shield tail void continues to increase, the rate of decrease in grout flow velocity will become smaller and smaller, which means that the trend of decreasing kinetic energy and increasing pressure will slow down. Therefore, 0.1 m can be set as a threshold value. When the thickness of the shield tail void reaches the threshold value, its effect on the grout pressure is limited. However, some studies have shown that a larger thickness of the shield tail void leads to larger ground settlement [44]. Therefore, the thickness of the shield tail void should be appropriately designed before tunnel construction to avoid extreme ground settlement.

4.1.3. Tunnel Radius R

So far, the tunnel radius in shield tunnels mostly ranges from 4 m to 6 m [45,46]. Some radii of super-large diameter shield tunnels reach 7–8 m [47]. The variation of the grout pressure P with the tunnel radius R is shown in Figure 12.
Figure 12 shows that as the tunnel radius increases, the grout pressure distribution becomes more and more uneven. Increasing the tunnel radius will decrease the grout pressure near the upper grouting hole between the two grouting holes and increase the grout pressure near the lower grouting hole. The grout pressure in the middle area between the two grouting holes is less affected by the change in the tunnel radius.
The grout pressure near the top ( θ = 5 ° ) of the tunnel decreases with the increase in the tunnel radius. When the tunnel radius R increases from 4 m to 8 m, the grout pressure decreases from 194.8 kPa to 174.7 kPa. The grout pressure decreases by 10.3%. Under a certain initial pressure condition, with the increase in the tunnel radius, the grout pressure near the top of the tunnel may be too low. The overburden pressure of the soil cannot be balanced, which causes an engineering hazard.
On the other hand, the maximum ground settlement increases with the tunnel radius [44]. During the construction of large-diameter tunnels, the initial grout injection pressure needs to be increased to provide sufficient grout pressure and control ground settlement. However, increasing the initial grout injection pressure has the potential to cause grout overflow, surface uplift, and extreme grout pressure at other locations [48]. Alternatively, the pressure loss can be reduced during the grout flow process by increasing the number of grouting holes to maintain the stratum stability. Compared with the grout pressure near the top and bottom areas of the tunnel, the grout pressure near the sides ( θ = 90 ° ) of the tunnel is less affected by the variation of the tunnel radius. The grout pressure decreases by 1.1%, from 281.9 kPa to 278.8 kPa.
When the tunnel radius increases from 4 m to 8 m, the grout pressure near the bottom ( θ = 175 ° ) of the tunnel increases from 370.4 kPa to 385.6 kPa. The grout pressure increases by 4.1%. The result shows that the variation amplitude of the grout pressure in the bottom area is smaller than that in the top area. The gravity and internal resistance of the grout both hinder the upward flow process of the grout. During the downward flow process of the grout, gravity has a promotive effect on the grout flow, whereas internal resistance of the grout hinders the grout flow process. The increase in radius makes the impact of gravity on the grout pressure more evident. The increase in radius prolongs the flow process of the grout, resulting in more pressure loss caused by internal resistance.

4.2. Radial and Longitudinal Grout Diffusion Phase

During the radial and longitudinal grout diffusion phase, the variation of the grout pressure is mainly affected by the grout viscosity and the geological conditions (porosity φ and permeability coefficient K w ) [33]. Therefore, the effects of the grout viscosity, porosity φ , and permeability coefficient K w on the grout pressure are analyzed.

4.2.1. Porosity φ and Permeability Coefficient Kw

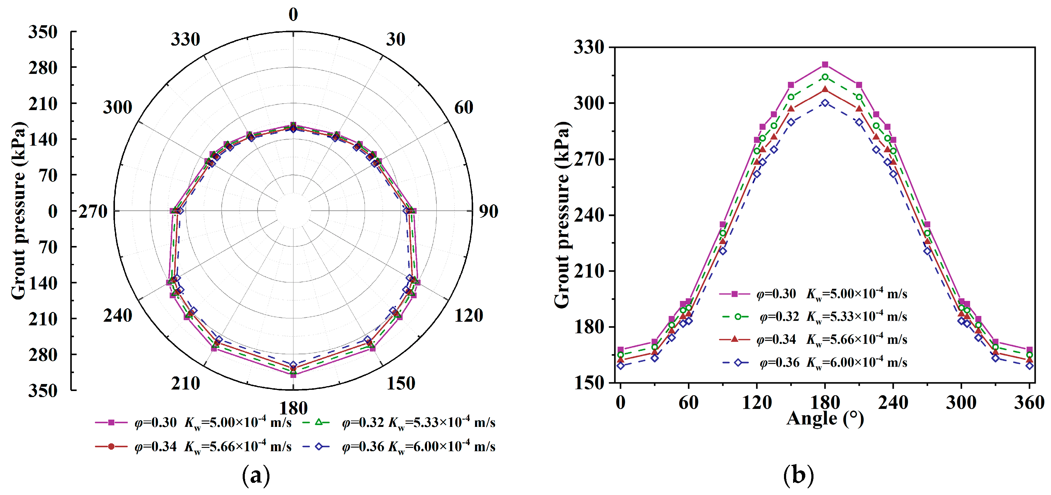
The influence of sandy soil porosity on grout diffusion has been studied extensively. Based on the existing studies, the sandy soil porosity varied from 0.3 to 0.57 [23,27,38,49,50]. When the porosity φ is 0.3, the corresponding permeability coefficient Kw is 5.00 × 10−4 m/s [38,41]. The porosity φ at the bottom of the tunnel is set from 0.30 to 0.36. The permeability coefficient can be obtained according to the linear relationship between the porosity and permeability coefficient. The permeability coefficient increases from 5.00 × 10−4 m/s to 6.00 × 10−4 m/s. The variation of the grout pressure P with the porosity φ and permeability coefficient K w is shown in Figure 13.
With the increase in porosity and permeability coefficient, the diffusion distance increases, which facilitates the loss of the grout pressure. Therefore, the grout pressure decreases gradually. In addition, compared to the grout pressure near the top area of the tunnel, more grout pressure dissipates near the bottom area. As K w increases from 5.00 × 10−4 m/s to 6.00 × 10−4 m/s, the grout pressure at the top and bottom of the tunnel decreases from 167.9 kPa and 320.8 kPa to 159.3 kPa and 300.3 kPa, respectively. The grout pressure decreases by 5.6% and 6.4%. Similarly, Liu et al. (2021) and Fei Ye et al. (2020) showed that the lower permeability coefficient hindered grout diffusion, which caused the grout pressure to dissipate faster [33,38]. According to Wang et al. (2022), the grout diffusion distance has a non-linear positive relationship with the injection pressure and permeability coefficient [35]. The diffusion distance increases with the increase in the grout pressure and permeability coefficient. Therefore, to make uniform the grout distribution and overcome the adverse impact of soil depth on the grout diffusion, the initial grout injection pressure near the bottom should be higher than the pressure at other locations.
Although the increases in porosity and permeability coefficient are beneficial to the diffusion of the grout, large porosity and permeability coefficient are not conducive to improving the grouting effect [51]. Large porosity and permeability coefficient result in a faster flow of the grout in the soil, which leads to cavity formation inside the shield tail void. The reinforcement effect of the grout is weakened, which is detrimental to controlling the ground settlement. Therefore, the stratum with large porosity and permeability coefficient needs to be improved before tunnel engineering.

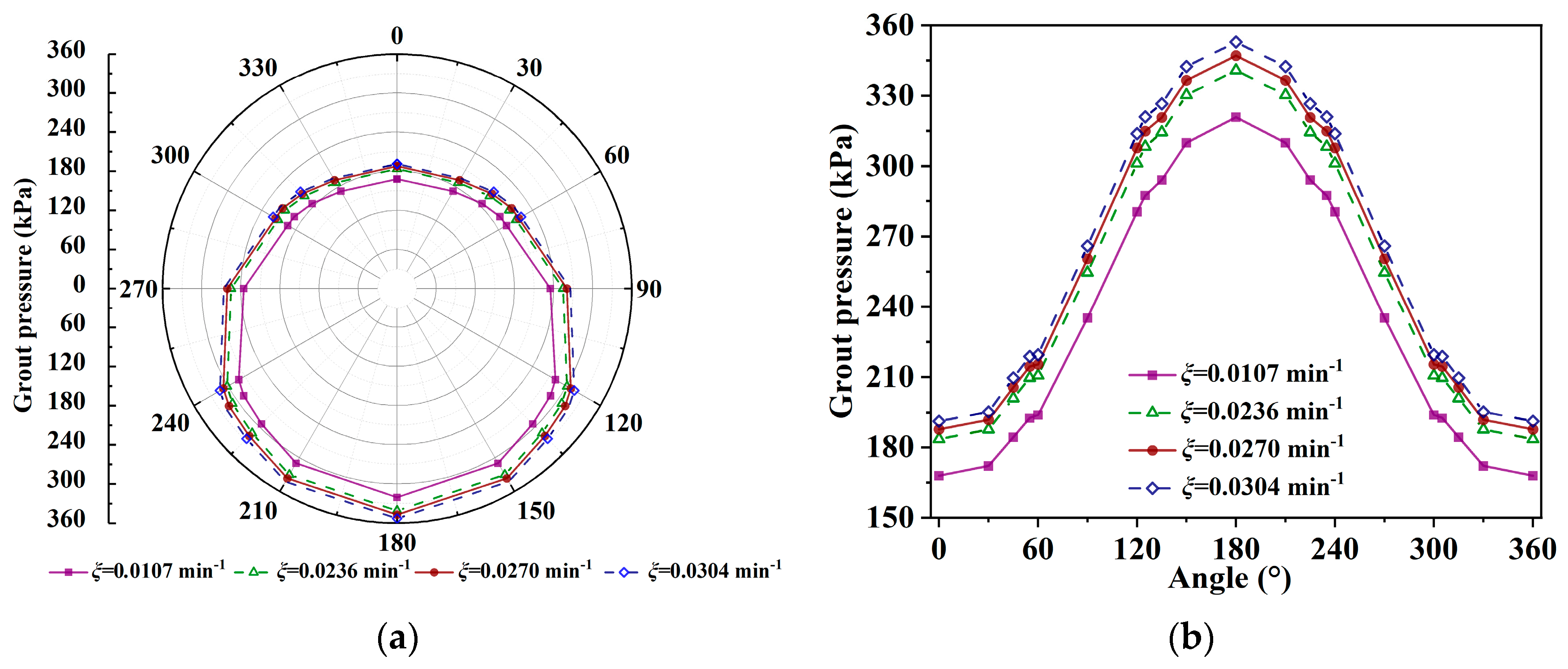
4.2.2. Time-Varying Coefficients of the Grout Viscosity ξ

The characteristics of the grout with different flow patterns are different. The predominant grout flow forms are mostly power-law and Bingham fluids. The viscosity of Bingham grout is primarily influenced by three parameters. The initial viscosity represents the viscosity or resistance characteristics of the grout at the beginning of the grout flow, which is a physical quantity to measure the difficulty of the initial grout flow. The time-varying coefficient of viscosity is a parameter that measures the change rate of the grout viscosity changing with time. The third parameter is the grouting time.
The pressure model is constructed to simulate the distribution of grout pressure with Bingham fluid. Therefore, the time-varying coefficients of the grout viscosity (0.0236 min−1, 0.0270 min−1, and 0.0304 min−1) are adopted to conduct parameter sensitivity analysis [52]. The variation of the grout pressure P with the time-varying coefficient of the grout viscosity ξ is shown in Figure 14.
The increase in the time-varying coefficient of the grout viscosity leads to an increase in grout viscosity. The increase in the grout viscosity causes the reduction of the diffusion distance, which reduces the pressure loss during the grout flow process. The positive correlation between grout pressure dissipation value and diffusion distance has been proved in tunnel engineering [33]. As ξ increases from 0.0107 min−1 to 0.0304 min−1, the grout pressure at the top and bottom of the tunnel increases from 167.9 kPa and 320.8 kPa to 191.1 kPa and 352.9 kPa, respectively. The grout pressure increases by 13.8% and 10.0%. The grout diffusion range can be expanded by reducing the grout viscosity [35].
When the viscosity of the grout is low, the grout can flow into the soil quickly. The retention rate in the stratum is low, which results in the loss of a large amount of grout. In addition, the uneven distribution of the grout has influence on the grouting reinforcement effect. The stratum stability cannot be maintained with a low grout viscosity. On the other hand, the retention rate of the grout in the soil can be improved with high-viscosity grout, but the diffusion distance and grouting reinforcement range are limited. Therefore, the grout with higher viscosity should be adopted in a larger-porosity stratum to improve the retention rate and control the diffusion range. Conducting shield tunnel engineering with improper grout viscosity may influence the grouting effect and increase the cost [53].
In fact, during the grouting process, the grout adheres to the surface of the soil skeleton or fills the pores between soil particles by permeation diffusion. Therefore, the design of viscosity should take the soil properties into account. The grout diffusion was difficult with high-viscosity grout in the stratum with poor permeability. In the high-permeability stratum, the retention rate of the grout with low viscosity is low, which makes it difficult to maintain the stability of the stratum.
In the process of grout design, parameters such as the density, viscosity, and yield shear stress of the grout can be obtained through laboratory tests. The distribution of grout pressure and the range of reinforcement can be simulated by the model combined with the geological parameters. The calculation results are compared with the expected reinforcement range and stability requirements. Then, the grout mix ratios are repeatedly adjusted according to the results, and the relevant parameters are retested and recalculated until the results meet the engineering requirements.

5. Conclusions

Based on the basic principles of the hydrodynamic mechanism and Darcy’s law, a theoretical model for the grout pressure distribution was established, considering the temporal variation in grout viscosity. The following conclusions were obtained:
(1)
The temporal variation in grout viscosity has little effect on the grout pressure during the circumferential filling phase. In contrast, its effect is not negligible during the longitudinal and radial diffusion phases.
(2)
During the circumferential filling phase, the grout pressure decreases significantly with the increase in yield shear stress. When the thickness of the shield tail void is greater than 0.1 m, its effect on the grout pressure is limited.
(3)
The larger the radius of the tunnel, the more uneven the distribution of grout pressure. Increasing the number of grouting holes for constructing large-radius tunnels is a better way to control the uniform distribution of grout pressure.
(4)
The stratum with large porosity and permeability coefficient is conducive to grout diffusion. However, it is not conducive to the maintenance of grout pressure. The increase in the grout viscosity causes the reduction of the diffusion distance, which reduces the pressure loss in the grout flow process.
(5)
The research and development of grout materials should be combined with the characteristics of the injected stratum, considering the grout diffusion characteristics and the retention rate to optimize the grouting effect. In addition, the relationship between the grout properties and the permeability of the soil should be further studied.
The application of the model is conducive to properly controlling the synchronous grouting in shield tunnels. The established theoretical model has the ability to predict the distribution and dissipation of the grout pressure. However, the grout consolidation should be considered in further study to improve the model’s accuracy.

Author Contributions

J.M.: Conceptualization, Methodology, Funding acquisition, Writing—review and editing. A.S.: Methodology, Writing—original draft, Data curation. A.J.: Supervision, Writing—review and editing. N.G.: Resources, Writing—review. X.L.: Writing—review and editing. J.S.: Investigation, Graph editing. T.L.: Writing—review and editing. All authors have read and agreed to the published version of the manuscript.

Funding

This research was funded by the Fundamental Research Funds for the Central Universities, grant number 3132022179.

Institutional Review Board Statement

Not applicable.

Informed Consent Statement

Not applicable.

Data Availability Statement

Not applicable.

Conflicts of Interest

The authors declare no conflict of interest.

References

  1. Liu, J.; Shi, C.; Lei, M.; Wang, Z.; Cao, C.; Lin, Y. A study on damage mechanism modelling of shield tunnel under unloading based on damage–plasticity model of concrete. Eng. Fail. Anal. 2021, 123, 105261. [Google Scholar] [CrossRef]
  2. Sun, H.; Liu, S.; Zhong, R.; Du, L. Cross-Section Deformation Analysis and Visualization of Shield Tunnel Based on Mobile Tunnel Monitoring System. Sensors 2020, 20, 1006. [Google Scholar] [CrossRef] [PubMed]
  3. Cheng, Z.-L.; Kannangara, K.K.P.M.; Su, L.-J.; Zhou, W.-H. Mathematical model for approximating shield tunneling-induced surface settlement via multi-gene genetic programming. Acta GeoTech. 2023, 18, 4923–4940. [Google Scholar] [CrossRef]
  4. Ding, Z.; Wei, X.J.; Wei, G. Prediction methods on tunnel-excavation induced surface settlement around adjacent building. Geomech. Eng. 2017, 12, 185–195. [Google Scholar] [CrossRef]
  5. Zou, J.F.; Zuo, S.Q. Similarity solution for the synchronous grouting of shield tunnel under the vertical non-axisymmetric displacement boundary condition. Adv. Appl. Math. Mech. 2017, 9, 205–232. [Google Scholar] [CrossRef]
  6. Shah, R.; Lavasan, A.; Peila, D.; Todaro, C.; Luciani, A.; Schanz, T. Numerical Study on Backfilling the Tail Void Using a Two-Component Grout. J. Mater. Civil. Eng. 2018, 30, 04018003. [Google Scholar] [CrossRef]
  7. Wang, R.; Xu, H.; Liu, Y.; Jiang, P.; Zhou, A.; Lv, Y. Study on the shear strength characteristics and source mechanism of early-age shield synchronous grouting materials. Acta GeoTech. 2023, 18, 3573–3583. [Google Scholar] [CrossRef]
  8. Oreste, P.; Sebastiani, D.; Spagnoli, G.; Lillis, A. Analysis of the behavior of the two-component grout around a tunnel segmental lining on the basis of experimental results and analytical approaches. Transp. GeoTech. 2021, 29, 100570. [Google Scholar] [CrossRef]
  9. Shao, X.; Yang, Z.; Jiang, Y.; Yang, X.; Qi, W. Field test and numerical study of the effect of shield tail-grouting parameters on surface settlement. Geomech. Eng. 2022, 29, 509–522. [Google Scholar]
  10. Ying, K.; Ye, F.; Li, Y.; Liang, X.; Su, E.; Han, X. Backfill grouting diffusion law of shield tunnel considering porous media with nonuniform porosity. Tunn. Undergr. Space Technol. 2022, 127, 104607. [Google Scholar] [CrossRef]
  11. Jin, Y.; Han, L.; Guo, H.; Yang, S.; Su, S.; Liu, Z.; Wang, S. Mechanical and macro-microscopic failure characteristics of grouted mudstone considering grout dehydration effect. Eng. Fail. Anal. 2022, 142, 106662. [Google Scholar] [CrossRef]
  12. Shi, P.; Zhang, D.; Pan, J.; Liu, W. Geological Investigation and Tunnel Excavation Aspects of the Weakness Zones of Xiang’an Subsea Tunnels in China. Rock Mech. Rock Eng. 2016, 49, 4853–4867. [Google Scholar] [CrossRef]
  13. Xu, Z.; Bu, Z.; Pan, D.; Li, D.; Zhang, Y. A novel numerical method for grouting simulation in flowing water considering uneven spatial and temporal distribution of slurry: Two-Fluid Tracking (TFT) method. Comput. GeoTech. 2022, 147, 104756. [Google Scholar] [CrossRef]
  14. Katebi, H.; Rezaei, A.H.; Hajialilue-Bonab, M.; Tarifard, A. Assessment the influence of ground stratification, tunnel and surface buildings specifications on shield tunnel lining loads (by FEM). Tunn. Undergr. Space Technol. 2015, 49, 67–78. [Google Scholar]
  15. Liu, X.; Chen, H.; Liu, Q.; Liu, B.; He, J. Modelling slurry flowing and analyzing grouting efficiency under hydro-mechanical coupling using numerical manifold method. Eng. Anal. Bound. Elem. 2021, 134, 66–78. [Google Scholar] [CrossRef]
  16. Yang, J.; Yin, Z.; Liu, Y.; Laouafa, F. Multiphysics modelling of backfill grouting in sandy soils during TBM tunnelling. Acta GeoTech. 2023, 18, 553–571. [Google Scholar] [CrossRef]
  17. Bezuijen, A.; te Grotenhuis, R.; van Tol, A.; Bosch, J.; Haasnoot, J. Analytical model for fracture grouting in sand. J. GeoTech. Geoenviron. 2011, 137, 611–620. [Google Scholar] [CrossRef]
  18. Amnieh, H.; Masoudi, M.; Karbala, M. Evaluating analytical and statistical models in order to estimate effective grouting pressure. Comput. Concr. 2017, 20, 275–282. [Google Scholar]
  19. Wang, C.; Diao, Y.; Guo, C.; Li, P.; Du, X.; Pan, Y. Two-stage column-hemispherical penetration diffusion model considering porosity tortuosity and time-dependent viscosity behavior. Acta. GeoTech. 2023, 18, 2661–2680. [Google Scholar] [CrossRef]
  20. Liang, Y.; Zhang, J.; Lai, Z.; Huang, Q.; Huang, L. Temporal and spatial distribution of the grout pressure and its effects on lining segments during synchronous grouting in shield tunnelling. Eur. J. Environ. Civ. Eng. 2017, 24, 79–96. [Google Scholar] [CrossRef]
  21. Liu, X.; Shen, S.; Xu, Y.; Zhou, A. Non-linear spring model for backfill grout-consolidation behind shield tunnel lining. Comput. GeoTech. 2021, 136, 104235. [Google Scholar] [CrossRef]
  22. Xia, Y.; Liu, B.; Zhang, C.; Liu, N.; Zhou, H.; Chen, J.; Tang, C.; Gao, Y.; Zhao, D.; Meng, Q. Investigations of mechanical and failure properties of 3D printed columnar jointed rock mass under true triaxial compression with one free face. Geomech. Geophys. Geo-Energy Geo-Resour. 2022, 8, 26. [Google Scholar] [CrossRef]
  23. Zhang, L.; Yu, R.; Zhang, Q.; Liu, R.; Feng, H.; Chu, Y. Permeation grouting diffusion mechanism of quick setting grout. Tunn. Undergr. Space Technol. 2022, 124, 104449. [Google Scholar] [CrossRef]
  24. Sharghi, M.; Chakeri, H.; Ozcelik, Y. Investigation into the effects of two component grout properties on surface settlements. Tunn. Undergr. Space Technol. 2017, 63, 205–216. [Google Scholar] [CrossRef]
  25. Tsukamoto, Y.; Ishihara, K.; Umeda, K.; Enomoto, T. Cyclic resistance of clean sand improved by silicate-based permeation grouting. Soils Found. 2006, 46, 233–245. [Google Scholar] [CrossRef]
  26. Zhou, Z.; Zang, H.; Wang, S.; Cai, X.; Du, X. Filtration-induced pressure evolution in permeation grouting. Struct. Eng. Mech. 2020, 75, 571–583. [Google Scholar]
  27. Fu, Y.; Wang, X.; Zhang, S.; Yang, Y. Modelling of permeation grouting considering grout self-gravity effect: Theoretical and experimental study. Adv. Mater. Sci. Eng. 2019, 2019, 7968240. [Google Scholar] [CrossRef]
  28. Zou, L.; Hakansson, U.; Cvetkovic, V. Radial propagation of yield-power-law grouts into water-saturated homogeneous fractures. Int. J. Rock Mech. Min. Sci. 2020, 130, 104308. [Google Scholar] [CrossRef]
  29. Zou, L.; Hakansson, U.; Cvetkovic, V. Two-phase cement grout propagation in homogeneous water-saturated rock fractures. Int. J. Rock. Mech. Min. Sci. 2018, 106, 243–249. [Google Scholar] [CrossRef]
  30. Ding, Z.; He, S.; Zhou, W.; Xu, T.; He, S.; Zhang, X. Analysis of ground deformation induced by shield tunneling considering the effects of muck discharge and grouting. Transpace GeoTech. 2021, 30, 100629. [Google Scholar] [CrossRef]
  31. Liu, J.; Li, P.; Shi, L.; Fan, J.; Kou, X.; Huang, D. Spatial distribution model of the filling and diffusion pressure of synchronous grouting in a quasi-rectangular shield and its experimental verification. Undergr. Space 2021, 6, 650–664. [Google Scholar] [CrossRef]
  32. Li, P.; Liu, J.; Shi, L.; Zhai, Y.; Huang, D.; Fan, J. A semi-elliptical surface compound diffusion model for synchronous grouting filling stage in specially shaped shield tunnelling. Int. J. Numer. Anal. Met. 2021, 46, 272–296. [Google Scholar] [CrossRef]
  33. Liu, X.; Shen, S.; Xu, Y.; Zhou, A. A diffusion model for backfill grout behind shield tunnel lining. Int. J. Numer. Anal. Met. 2021, 45, 457–477. [Google Scholar] [CrossRef]
  34. Huang, S.; Zhang, T.; Cao, H. A Calculation Model of Grout Migration Height for Post-Grouting Technology. Appl. Sci. 2022, 12, 6327. [Google Scholar] [CrossRef]
  35. Wang, X.; Cheng, H.; Yao, Z.; Rong, C.; Huang, X.; Liu, X. Theoretical Research on Sand Penetration Grouting Based on Cylindrical Diffusion Model of Tortuous Tubes. Water 2022, 14, 1028. [Google Scholar] [CrossRef]
  36. Zeng, L.; Zhou, B.; Xie, X.; Zhao, Y.; Liu, H.; Zhang, Y.; Shahrour, I. A novel real-time monitoring system for the measurement of the annular grout thickness during simultaneous backfill grouting. Tunn. Undergr. Space Technol. 2020, 105, 103567. [Google Scholar] [CrossRef]
  37. Choo, H.; Jun, H.; Yoon, H. Porosity estimation of unsaturated soil using Brutsaert equation. Soil. Dyn. Earthq. Eng. 2018, 104, 33–39. [Google Scholar] [CrossRef]
  38. Ye, F.; Qin, N.; Han, X.; Liang, X.; Gao, X.; Ying, K. Displacement infiltration diffusion model of power-law grout as backfill grouting of a shield tunnel. Eur. J. Environ. Civ. Eng. 2020, 26, 1820–1833. [Google Scholar] [CrossRef]
  39. Zhou, M.; Fan, F.; Zheng, Z.; Ma, C. Modeling of Grouting Penetration in Porous Medium with Influence of Grain Distribution and Grout-Water Interaction. Processes 2022, 10, 77. [Google Scholar] [CrossRef]
  40. Bezuijen, A.; Talmon, A.; Kaalberg, F.; Plugge, R. Field measurements of grout pressures during tunnelling of the sophia rail tunnel. Soils Found. 2004, 44, 39–48. [Google Scholar] [CrossRef]
  41. Stive, R.J.H. Design features of the Sophia Rail Tunnel in the Betuweroute. Tunn. Undergr. Space Technol. 1999, 14, 141–149. [Google Scholar] [CrossRef]
  42. Li, P.; Liu, J.; Shi, L.; Li, X.; Zhu, H.; Huang, D.; Kou, X. Two-phase analytical model of seepage during grout consolidation around shield tunnel considering the temporal variation in viscosity and the infiltration effect. Eur. J. Environ. Civ. Eng. 2022, 26, 4392–4415. [Google Scholar] [CrossRef]
  43. Zhang, C.; Cai, Y.; Zhu, W. Numerical Study and Field Monitoring of the Ground Deformation Induced by Large Slurry Shield Tunnelling in Sandy Cobble Ground. Adv. Civ. Eng. 2019, 2019, 4145721. [Google Scholar] [CrossRef]
  44. Tang, Q.; Chen, F.; Lei, M.; Zhu, B.; Peng, L. Study on the generalized displacement boundary and its analytical prediction for ground movements induced by shield tunneling. Adv. Civ. Eng. 2021, 2021, 8858874. [Google Scholar] [CrossRef]
  45. Lin, C.; Zhang, Z.; Wu, S.; Yu, F. Key techniques and important issues for slurry shield under-passing embankments: A case study of Hangzhou Qiantang River Tunnel. Tunn. Undergr. Space Technol. 2013, 38, 306–325. [Google Scholar] [CrossRef]
  46. Wang, S.; Wang, X.; Chen, B.; Fu, Y.; Jian, Y.; Lu, X. Critical state analysis of instability of shield tunnel segment lining. Tunn. Undergr. Space Technol. 2020, 96, 103180. [Google Scholar] [CrossRef]
  47. Wu, J.; Zhao, J.; Tan, Z.; Liu, X.; Wang, X.; Liu, M. Mechanical behavior of large-diameter adjacent shield tunnelling bridge piles: A case study of chunfeng tunnel. Appl. Sci. 2022, 12, 5418. [Google Scholar] [CrossRef]
  48. Feng, X.; Wang, P.; Liu, S.; Wei, H.; Miao, Y.; Bu, S. Mechanism and Law Analysis on Ground Settlement Caused by Shield Excavation of Small-Radius Curved Tunnel. Rock Mech. Rock Eng. 2022, 55, 3473–3488. [Google Scholar] [CrossRef]
  49. Zhu, G.; Zhang, Q.; Liu, R.; Bai, J.; Li, W.; Feng, X. Experimental and Numerical Study on the Permeation Grouting Diffusion Mechanism considering Filtration Effects. Geofluids 2021, 2021, 6613990. [Google Scholar] [CrossRef]
  50. Yang, Z.; Zhang, D.; Li, C.; Zhang, Z.; Zhu, Y.; Yang, Y.; He, N.; Bai, X.; Xi, W.; He, D.; et al. Column Penetration and Diffusion Mechanism of Bingham Fluid Considering Displacement Effect. Appl. Sci. 2022, 12, 5362. [Google Scholar] [CrossRef]
  51. Zhou, C.; Gao, W.; Cui, S.; Zhong, X.C.; Hu, C.J.; Chen, X. Ground settlement of high-permeability sand layer induced by shield tunneling: A case study under the guidance of DBN. Geofluids 2020, 2020, 6617468. [Google Scholar] [CrossRef]
  52. Yang, Z.; Hou, K.; Guo, T. Research on Time-varying Behavior of Cement Grouts of Different Water-cement Ratios. In Proceedings of the International Conference on Green Building, Materials and Civil Engineering (GBMCE 2011), Shangri-La, China, 22–23 August 2011; pp. 4398–4401. [Google Scholar]
  53. Wang, J.; Cao, A.; Wu, Z.; Wang, H.; Liu, X.; Li, H.; Sun, Y. Experiment and numerical simulation on grouting reinforcement parameters of ultra-shallow buried double-arch tunnel. Appl. Sci. 2021, 11, 10491. [Google Scholar] [CrossRef]
Figure 1. Schematic diagrams of the shield tail void and synchronous grouting ((a) three-dimensional annular void, (b) circumferential grout filling, (c) the longitudinal grout filling, (d) radial grout penetration).
Figure 1. Schematic diagrams of the shield tail void and synchronous grouting ((a) three-dimensional annular void, (b) circumferential grout filling, (c) the longitudinal grout filling, (d) radial grout penetration).
Applsci 13 10437 g001
Figure 2. Force analysis of grout filling upward ((a) force analysis under the coordinate system, (b) grout element force analysis).
Figure 2. Force analysis of grout filling upward ((a) force analysis under the coordinate system, (b) grout element force analysis).
Applsci 13 10437 g002
Figure 3. Flow velocity distribution of Bingham fluid.
Figure 3. Flow velocity distribution of Bingham fluid.
Applsci 13 10437 g003
Figure 4. Force analysis of grout filling downward ((a) force analysis under the coordinate system, (b) grout element force analysis).
Figure 4. Force analysis of grout filling downward ((a) force analysis under the coordinate system, (b) grout element force analysis).
Applsci 13 10437 g004
Figure 5. Force analysis of the longitudinal grout flow.
Figure 5. Force analysis of the longitudinal grout flow.
Applsci 13 10437 g005
Figure 6. Theoretical values and field measurements of the grout pressure during circumferential filling phase.
Figure 6. Theoretical values and field measurements of the grout pressure during circumferential filling phase.
Applsci 13 10437 g006
Figure 7. Theoretical values and field measurements of the grout pressure during longitudinal and radial diffusion phase (1 h).
Figure 7. Theoretical values and field measurements of the grout pressure during longitudinal and radial diffusion phase (1 h).
Applsci 13 10437 g007
Figure 8. The grout diffusion distance D after grout pressure dissipation for 1 h.
Figure 8. The grout diffusion distance D after grout pressure dissipation for 1 h.
Applsci 13 10437 g008
Figure 9. The relationship between the diffusion radius R s and diffusion time (a), and the radial dissipation value of the grout pressure Δ P (b).
Figure 9. The relationship between the diffusion radius R s and diffusion time (a), and the radial dissipation value of the grout pressure Δ P (b).
Applsci 13 10437 g009
Figure 10. The effect of yield shear stress τ 0 on grout pressure P ((a) tunnel section, (b) rectangular coordinate system).
Figure 10. The effect of yield shear stress τ 0 on grout pressure P ((a) tunnel section, (b) rectangular coordinate system).
Applsci 13 10437 g010
Figure 11. The effect of thickness of the shield tail void b on grout pressure P ((a) tunnel section, (b) rectangular coordinate system).
Figure 11. The effect of thickness of the shield tail void b on grout pressure P ((a) tunnel section, (b) rectangular coordinate system).
Applsci 13 10437 g011
Figure 12. The effect of thickness of the tunnel radius R on grout pressure P ((a) tunnel section, (b) rectangular coordinate system).
Figure 12. The effect of thickness of the tunnel radius R on grout pressure P ((a) tunnel section, (b) rectangular coordinate system).
Applsci 13 10437 g012
Figure 13. The effect of porosity φ and permeability coefficient K w on grout pressure P ((a) tunnel section, (b) rectangular coordinate system).
Figure 13. The effect of porosity φ and permeability coefficient K w on grout pressure P ((a) tunnel section, (b) rectangular coordinate system).
Applsci 13 10437 g013
Figure 14. The effect of the time-varying coefficients of the grout viscosity ξ on grout pressure P ((a) tunnel section, (b) rectangular coordinate system).
Figure 14. The effect of the time-varying coefficients of the grout viscosity ξ on grout pressure P ((a) tunnel section, (b) rectangular coordinate system).
Applsci 13 10437 g014
Table 1. Circumferential filling pressure distribution of the grout in the case of six grouting holes.
Table 1. Circumferential filling pressure distribution of the grout in the case of six grouting holes.
Grouting Hole LocationsGrout Pressure
(Pa)
θ Range (Rad)
β = 0 ° P = P i A θ + ρ g R ( 1 cos θ ) 0 θ 11 π 36
β = 55 ° P = P i A ( 11 π 36 θ ) + ρ g R ( cos 11 π 36 cos θ ) 0 θ 11 π 36
P = P i + A ( 11 π 36 θ ) + ρ g R ( c o s 11 π 36 cos θ ) 11 π 36 θ 25 π 36
β = 125 ° P = P i A ( 25 π 36 θ ) + ρ g R ( cos 25 π 36 cos θ ) 11 π 36 θ 25 π 36
P = P i + A ( 25 π 36 θ ) + ρ g R ( cos 25 π 36 cos θ ) 25 π 36 θ π
β = 180 ° P = P i A ( π θ ) + ρ g R ( 1 cos θ ) 25 π 36 θ π
Table 2. Sophia railroad tunnel grouting hole location and injection pressure.
Table 2. Sophia railroad tunnel grouting hole location and injection pressure.
Grouting HoleLocation (°)Injection Pressure (MPa)
100.2
2550.23
31250.34
41800.37
52350.34
63050.23
Table 3. Sophia railroad tunnel information and grout parameters.
Table 3. Sophia railroad tunnel information and grout parameters.
R1 (m)R0 (m)R (m)b (m)vd (m/s)ρ (kg/m3)τ0 (Pa) m (%)
4.7254.8854.8050.160.000722190100190
Table 4. The grout diffusion distance D, diffusion radius R s , and grout dissipation pressure after 1 h.
Table 4. The grout diffusion distance D, diffusion radius R s , and grout dissipation pressure after 1 h.
θD/cmRs/mΔP/kPa
Considering temporal variation in grout viscosity027.75.0027.2
9030.45.0341.2
18031.05.0444.3
Ignoring temporal variation in grout viscosity033.25.0646.8
9036.45.0966.0
18037.05.1070.1
Disclaimer/Publisher’s Note: The statements, opinions and data contained in all publications are solely those of the individual author(s) and contributor(s) and not of MDPI and/or the editor(s). MDPI and/or the editor(s) disclaim responsibility for any injury to people or property resulting from any ideas, methods, instructions or products referred to in the content.

Share and Cite

MDPI and ACS Style

Ma, J.; Sun, A.; Jiang, A.; Guo, N.; Liu, X.; Song, J.; Liu, T. Pressure Model Study on Synchronous Grouting in Shield Tunnels Considering the Temporal Variation in Grout Viscosity. Appl. Sci. 2023, 13, 10437. https://doi.org/10.3390/app131810437

AMA Style

Ma J, Sun A, Jiang A, Guo N, Liu X, Song J, Liu T. Pressure Model Study on Synchronous Grouting in Shield Tunnels Considering the Temporal Variation in Grout Viscosity. Applied Sciences. 2023; 13(18):10437. https://doi.org/10.3390/app131810437

Chicago/Turabian Style

Ma, Jun, Ao Sun, Annan Jiang, Naisheng Guo, Xiang Liu, Jinliang Song, and Tiexin Liu. 2023. "Pressure Model Study on Synchronous Grouting in Shield Tunnels Considering the Temporal Variation in Grout Viscosity" Applied Sciences 13, no. 18: 10437. https://doi.org/10.3390/app131810437

APA Style

Ma, J., Sun, A., Jiang, A., Guo, N., Liu, X., Song, J., & Liu, T. (2023). Pressure Model Study on Synchronous Grouting in Shield Tunnels Considering the Temporal Variation in Grout Viscosity. Applied Sciences, 13(18), 10437. https://doi.org/10.3390/app131810437

Note that from the first issue of 2016, this journal uses article numbers instead of page numbers. See further details here.

Article Metrics

Back to TopTop