Next Article in Journal
Real-Time 3D Reconstruction Pipeline for Room-Scale, Immersive, Medical Teleconsultation
Previous Article in Journal
Precise Cadastral Survey of Rural Buildings Based on Wall Segment Topology Analysis from Dense Point Clouds
Previous Article in Special Issue
Disturbance Observer-Based Robust Take-Off Control for a Semi-Submersible Permeable Slender Hybrid Unmanned Aerial Underwater Quadrotor
 
 
Font Type:
Arial Georgia Verdana
Font Size:
Aa Aa Aa
Line Spacing:
Column Width:
Background:
Article

Research on Variable-Swept Hybrid Aerial Underwater Vehicle Plunge-Diving Control Based on Adaptive Dynamic Surface Control

1
School of Oceanography, Shanghai Jiaotong University, Shanghai 200240, China
2
Cross-Media Vehicle Research Center, China Aerodynamics Research and Development Center, Mianyang 621000, China
3
Science and Technology on Underwater Vehicle Laboratory, Harbin Engineering University, Harbin 150001, China
*
Author to whom correspondence should be addressed.
Appl. Sci. 2023, 13(18), 10201; https://doi.org/10.3390/app131810201
Submission received: 30 June 2023 / Revised: 17 August 2023 / Accepted: 4 September 2023 / Published: 11 September 2023
(This article belongs to the Special Issue Design and Implementation of Underwater Vehicles)

Abstract

:

Featured Application

A stable plunge-diving strategy for a variable-swept hybrid aerial underwater vehicle is presented, which is consistent with the biological law of nature.

Abstract

The variation in aerodynamic parameters during the process of a variable sweepback hybrid aerial underwater vehicle (HAUV) affects flight stability. During the air–water trans-media locomotion, there are medium mutations and solid–liquid gas coupling phenomena, resulting in the complex dynamic process of HAUV. To ensure stable control during the trans-media process of a variable sweepback vehicle, this study proposes a neural-network-based adaptive dynamic surface control method for aircraft flight-path angle. This method aims to establish an effective control model for the entire process of air to media transition, in response to the characteristics of uncertainty and external disturbances in the process of variable backsweeping in the air and media transition. By utilizing the multibody dynamics method, the dynamic equations for variable-swept vehicles are established and transformed into a rigorous feedback system with model uncertainty. The adaptive dynamic surface method in this paper introduces a first-order filter, which overcomes the “differential explosion” problem in traditional backstepping control design through differential filtering; the unknown parameters present in the model are estimated online through adaptive laws, and the uncertain parts of the system are overcome through nonlinear damping items. By analyzing Lyapunov stability, the semi-global stability of the required closed-loop system can be obtained, and adjusting the controller parameters can make the tracking error infinitely small. Numerical simulations are conducted to illustrate the tracking control of flight-path angles for different plunge-diving angle rates and strategy of ingress. The results show that HAUV with variable-swept configuration with different strategy has a great effect on the stability of plunge-diving locomotion; the designed controller can effectively track the target trajectory and has a certain degree of robustness and adaptability.

1. Introduction

As a treasure house of resources and a defense barrier, the importance of the ocean is very significant. With the development of society, the abundant resources contained in the vast ocean are also driving people to explore and utilize its value continuously. In terms of ocean exploration, the amphibious vehicle has more advantages in continuous observation and the obtaining of parameters, that is, being able to continuously observe both in the air and underwater. Compared to traditional single-medium vehicles, they significantly improve observation efficiency. In order to realize the continuous observation of the integration of sea and air and to utilize the characteristics of water and air media in special scenarios to complete specific tasks, it is necessary to develop specific navigation vehicles to meet these objectives.
Research and application of traditional submarine and airplane vehicles have accumulated a considerable amount of history. The concept of the “submersible aircraft” with underwater navigation capabilities has been proposed for 70 years, which is also the origin of human exploration towards an HAUV [1]. The so-called HAUV [2] refers to a vehicle that combines the characteristics of aerial maneuvering flight and underwater concealed navigation. Different usage scenarios determine its unique functionality. And at the same time, due to this particularity, although research on HAUV has been ongoing for many years, it is still in its exploratory stage.
The application characteristics of an HAUV determine its potential and wide application in marine-related military and civilian fields, with broad prospects [3]. It is known that the research process of HAUV is facing many difficulties. A full mission profile of a fully functional HAUV includes the stages of cruise in the air, water entry, underwater cruise and water exit. Among them, water entry and exit trans-media locomotion is the key process for an HAUV to realize the integration of water and air, which affects the continuity and integrity of the function of the HAUV in the whole mission profile and is also an unavoidable issue in the development process.
There are several reasons for the difficulty in achieving a fully functional HAUV. Firstly, due to the significant differences in physical properties between air and water, designing an HAUV that meets both aerodynamic and hydrodynamic shape requirements is a huge challenge [2]. It is necessary to consider the process characteristics within the mission profile and the medium characteristics in the working environment comprehensively. Secondly, the mechanics in the trans-media process are very complicated; the wind and wave interference on the water surface, viscous damping, added mass, etc., are time-varying and uncertain, which makes the control problem of the HAUV, which originally integrates aerodynamics, hydrodynamics, flight control, underwater navigation and other disciplines, making it more complex [4].
To summarize, during the research process of the HAUV, it is necessary to consider the configuration design and the implementation method of trans-media. In this paper, the main discussion is on the overall configuration of the HAUV and flight-path angle controller for diving process, and a corresponding controller is designed. The contributions of this paper are as follows: (1) A variable-sweep HAUV configuration is proposed, and a specific mode of “variable sweepback in the air + fixed configuration dive into water” is designed, providing a foundation for further research on HAUVs and their trans-media locomotion control; (2) To ensure the stability of the HAUV in the process of air to water entry, a tracking controller for flight-path angle based on ADSC is designed.
The remainder of this paper is organized as follows. In the second section, a variable-sweep HAUV configuration is proposed, and uncertain disturbance items are added to the traditional morphing-aircraft dynamics equation to simulate the real plunge-dive process as much as possible. In the third section, an ADSC controller is designed to achieve tracking of the ideal flight-path angle trajectory. In the fourth section, numerical simulation results are presented to analyze the tracking performance of the controller. The last section is the summary of this paper. The mathematical symbols denoted in this paper are as summarized in Nomenclature.

2. Configuration Design and Problem Formulation

2.1. Variable-Swept Configuration Design

Due to the significant differences in physical properties between the two fluids, water and air, it is difficult to explore how to solve the problem of taking into account both aerodynamic and hydrodynamic shapes, as well as drag reduction during the water-entry process. So, how can the requirements of lift increase in the air and drag reduction underwater be met simultaneously? At present, the overall configuration of the HAUV mainly follows the traditional fixed-wing or multi-rotor design form, each with its own advantages and disadvantages. Creatures in nature provide inspiration to people [5]. As shown in Figure 1, the kingfisher constantly reconfigure its wings when plunge-diving [6], folds partially at the beginning of diving and completes the full folding of the wings before entering the water.
A detailed description of the stages during which kingfishers dive into water to hunt can include three stages: aerial descent, impact entry water and underwater diving. The final stage of falling in the air and the initial stage of water immersion are shown in Figure 1, which are the complex stages. They not only need to protect themselves from damage of water impact force, but also ensure the accuracy of hunting. Therefore, kingfisher’s wings and water-entry strategy are very important, which provides an important bionic reference for this research.
Referring to the process of kingfisher, boobies and gannets contracting their wings and entering the water to prey [7], the idea of a variant structure of HAUV is to change the overall configuration actively based on the characteristics and navigation requirements of different media, meeting the requirements of reducing the impact of water on the wing during trans-media locomotion simultaneously.
The morphing aircraft also disposes of the single-flight mode of the traditional aircraft, and it can change its shape configuration in an instant according to its flight state requirements to achieve the maneuverability required by different flight mission stages [8,9].
Fabian et al. [10] of MIT Lincoln Laboratory in the United States fabricated the “Project Gannet” with a wing-folding mechanism and completed an experiment of the air to water trans-media process of splashing into water. Siddall et al. [11] adopted a method of variant sweepback wing in a wide range to overcome the challenges in structural design. However, the changes in inertia force, moment of inertia, position of center of mass, etc. brought by the process of variable sweep, as well as the changes in the center of buoyancy and added mass during the process of water entry, bring challenges to the control of HAUVs. The single-control strategy of “controlled air flight process and non-controlled water entry process” proposed by Air Force Engineering University is far from enough for the aircraft to ensure the stable navigation of the trans-media locomotion [12], and it is necessary to consider the controlled way to complete the water-entry process.
Different shapes affect the implementation of HAUVs in different mission profiles from the aspects of structural strength, water entry and so on, such as the British Imperial College’s imitation booby paddle propulsion [13], the fixed-wing HAUV eagle ray [14] flight-tested by the University of North Carolina in the United States, the Delta-Wing UAV [15] of Johns Hopkins University, the UAUV Manta ray [16] and Nezha [17] of Shanghai Jiaotong University and the flexible anamorphic amphibious vehicle represented by the bionic flying fish [18]. Above are multi-mode vehicles of the air to water transition. In contrast, it is more difficult to control the flexible deformed vehicle in the complex fluid environment, and the bird-like HAUV rapid direct entry process has higher maneuverability, which is more suitable for some emergency operations. Although structural impact load and stability still need to be considered, until the most perfect solution is explored, the several variants mentioned above can be considered as feasible solutions for achieving complete functionality of the HAUV.
In order to pursue a simple and streamlined shape and avoid the impact of water on vulnerable parts, such as the paddles of multi-rotor, combined with reference to the research and application of aerial vehicles and underwater gliders [19], this paper considers the blended wing–body configuration with outstanding hydrodynamic performance as the main shape, and its high lift–drag ratio characteristics are very attractive. For example, in response to DARPA’s special transport submersible aircraft concept design, the Carderock Division of the US Naval Surface Warfare Center carried out corresponding research and launched the concept of two types of submersible aircraft with a blended wing–body layout in 2010 [20]. It can be said that the submersible aircraft with this configuration pointed out a new direction for the development of HAUVs in the future. Shanghai Jiao Tong University has also conducted relevant numerical simulation studies on the water-entry process of an aircraft with morphing configuration [21]. Therefore, HAUV with configuration of variable-swept BWB used in this paper is proposed, and a depiction of the multibody is shown in Figure 2.
On the premise of not considering the structural strength of material and the implementation method of the morphing mechanism, the main focus stage is the process of the HAUV plunge-diving water with variable-swept configuration. Many studies have shown that there is a significant positive correlation between the peak impact force at the moment and the speed of water entry. Therefore, researchers suggest minimizing the speed before water entry as much as possible. In this regard, the usual measure is to shut down the engine so that the thrust T = 0 during the water-entry process. The entry mode is to complete a dive into the water with a fixed sweepback after completing a variable sweep in the air.

2.2. Problem Formulation

Due to the complexity of the actual water-entry process, with strong coupling and uncertainty, it is difficult to directly study the longitudinal and horizontal composite motion of the HAUV. Therefore, under certain assumptions, this paper only studies the longitudinal motion first. It should be noted that during the variable-sweep process, the HAUV cannot be idealized as a rigid body anymore. Instead, it is divided into multiple independent parts as needed, and the force and moment equations of the morphing aircraft are analyzed with the help of multibody dynamics theory to obtain a simplified dynamic model in the longitudinal plane [22] as follows:
θ · = q γ · = L / ( m v ) g cos γ / v F I z / ( m v ) α · = θ · γ · q · = ( M I y + M a S x g cos θ q I y · ) / I y
The meaning and formulation represented by the symbols of all equations in this paper can be found in the Appendix A and Nomenclature.
The core feature of the crossing process of the HAUV water-entry process is that the unknown and changing fluid force leads to the time-varying and uncertain parameters of the nonlinear system. There have been many discussions on the dynamics of the water-entry process of variant UAAVs [23], which are not repeated here. The attention of this paper is given to the control issues of uncertainty and external disturbances in the process of the HAUV during the completion of the variable-swept process and trans-media locomotion. The nonlinear control of an aircraft is a research hotspot in the field of control. Due to the nonlinearity and strong coupling in the mathematical description of the HAUV, designing control laws is even more difficult.
The research direction of trans-media locomotion control problems is relatively rich in conventional multi-rotor HAUV configuration. Neto et al. [24] simplified trans-media locomotion without considering the added mass and external disturbances in the air–water transition process, established a dynamic model of the trans-media process, transformed the nonlinear dynamic models in the air and underwater into a linear variable parameter model and designed a state feedback attitude controller to achieve attitude stability in the preset media, which was the first attempt at air–water transition control. Later, further consideration was given to the environmental impacts, and the situation of HAUV in water and air was piecewise linearized into two deterministic and continuous systems. This provides important reference significance for the continuous stability control research of HAUVs.
Nowadays, more and more research institutions, such as Shanghai Jiao Tong University, have combined the advantages of multi-rotor and fixed-wing configurations to conduct specific control research on the multi-modal HAUV. The adaptive control (AC) method can identify systems with uncertainties and update controller parameters in comparison and decision making to ensure that the system keeps up with expected indicators [25]. AC exhibits reliable and effective characteristics in solving control problems of uncertain systems. Backstepping uses Lyapunov stability theory as a theoretical tool, adopts a step-by-step recursive strategy, backtracking from the output of the system to each subsystem to the input of the system, and in this process, constructs appropriate Lyapunov functions for each subsystem and designs virtual control variables to achieve system stabilization. The application characteristics of adaptive and backstepping control methods provide a feasible reference for the control of uncertain nonlinear systems in the next section of this paper.
According to (1), there are two options for the selection of state variables: ( γ , α , q ) and ( γ , θ , q ) . These two methods are equivalent, but in order to make the three-dimensional motion of HAUV more general [26], the former is selected as the state variable of the system- α as the intermediate control variable.
Assumption 1. 
All state variables of the system can be obtained for feedback.
The speed v of an aircraft can be controlled to vary within a very small range, which can be seen as a fixed speed. For notational simplification, let x 1 = γ ,   x 2 = α ,   x 3 = q , and define control input u = δ e . Considering the various factors that interfere with the process of diving into the water, the uncertain parts of water and other disturbances are added to each state variable to simulate the actual process as much as possible. The strict-feedback form is as follows:
x 1 · = f 1 ( x 1 ) + h 1 x 2 + Δ 1 ( x , t ) x 2 · = f 2 ( x 1 , x 2 ) + h 2 x 3 + Δ 2 ( x , t ) x 3 · = f 3 ( x 2 , x 3 ) + h 3 u + Δ 3 ( x , t )
where Δ i represent the disturbance terms, which satisfy Δ i ρ i ,   ρ i > 0 , i = 1 , 2 , 3 . h 1 ,   h 3 ,   f 1 ( x 1 ) ,   f 2 ( x 1 , x 2 ) ,   f 3 ( x 2 , x 3 ) are unknow system parameters and functions to be designed, with the formulation as listed in Appendix A.
Equation (2) is a form of backstepping applied, and the exact form is not desired for the controller design, so the disturbance terms can replace the interference during the water-entry process.
Assumption 2. 
All unknown parameters are bounded f 1 ( x 1 ) , f 2 ( x 1 , x 2 ) , f 3 ( x 2 , x 3 )  are all unknown continuous function. As for  h 1 , h 3 , there are positive numbers  h 1 m , h 1 M , h 3 m , h 3 M  satisfying  h i m h i h i M , i = 1 , 3 .
The research goal of this paper is to design an adaptive neural-network-based dynamic surface controller, so that the flight-path angle x 1  in the model can better track the expected  x 1 d . However, in the process of actual plunge-diving into water, changes in aerodynamic parameters due to sudden changes in medium, wing sweepback angle, etc., are unable to obtain accurately. Hence, neural networks are considered for approximation.
Assumption 3. 
x 1 d  is bounded and both first and second derivatives exist and satisfy  x 1 d 2   +   x 1 d 2 ·   +   x 1 d 2 Θ where  Θ  is any positive real number.

2.3. Neural Networks

The structure of a radial basis function (RBF) network with n-N-1 three-layer nodes [27] is shown in Figure 3.
As for the RBFNN, its output can be described as f ( ) = w T ξ ( x ) . Due to the characteristic to approximate any nonlinear continuous function effectively, approximate the output as follows:
f ( ) = w * T ξ ( x ) + σ *
where w * is the actual weight vector but unknown; therefore, it is necessary to design corresponding adaptive laws for online estimation. Assume w * is bounded, and there is w M > 0 to make w * < w M hold, then the output of RBF network is the approximate estimate of function f ( ) . σ * represents the function reconstruction error, also known as approximation error, and the upper and lower bounds meet σ * σ M .

3. Controller Design and Stability Analysis

The water-entry process and control requirements of HAUVs are special and challenging for trans-media locomotion. As a combination of AUVs and UAVs, the controller design of HUAVs could benefit from the control schemes of AUVs and UAVs.
The parameter design requirements for the control algorithm in the variable-sweep process are relatively strict, and the virtual control error in the backstepping design cannot be ignored. The nonlinear neural-network-based adaptive control method completed the transition control of the variable-sweep process in air flight but did not consider the effect of filtering errors. Due to the traditional recursive design of the backstepping approach, derivation of intermediate virtual control variables is required. When the system is more complex, the derivative operation can cause the number of terms to expand and bring about huge computational complexity, which is also the phenomenon of “explosion of complexity” in classical backstepping methods. Dynamic surface control (DSC), as an improved backstepping method [28], introduces a filter to filter and process the virtual control variable. The filtered signal is used as a new virtual variable and the derivative of the virtual control is calculated, which can eliminate the expansion of the differential term and simplify the design process of the controller and its parameters.

3.1. Control Algorithm

In this section, a flight-path angle controller ADSC is designed to track the ideal signals, and the control framework is given by Figure 4.
Step 1: Define the first error surface regarding the flight-path angle γ as follows [29]:
ζ 1 = x 1 x 1 d
Then, differentiating (4) and combining (2), one has
ζ · 1 = h 1 ( f 1 ( x 1 ) h 1 + x 2 + Δ 1 ( x , t ) x · 1 d h 1 )
RBF-1 can be used to approximate unknown functions contained in (5), invoking (3)
f 1 ( x 1 ) h 1 = w 1 * T ξ 1 ( x 1 ) + σ 1 *
Define
w 1 T = [ w 1 * T 1 / h 1 ] T
μ 1 = ξ 1 ( x 1 ) c 1 ζ 1 + ρ 1 2 ζ 1 2 ε x · 1 d T
where ρ 1 2 ζ 1 2 ε is a nonlinear damping items designed to overcome the influence of the uncertain interference term Δ 1 ( x , t ) in the system.
The virtual control law is designed as
x 2 ¯ = ( w 1 ) T μ 1
Make the controller capable the ability to adjust its control parameters online, let the adaptive law of RBF-1′s weight estimation be
w 1 · = Γ 1 μ 1 ζ 1 Γ 1 η 1 w 1
Deliver the designed virtual control x 2 ¯ into a first-order filter with a time constant of τ 2 , obtain new state variable x 2 d , satisfying
τ 2 x · 2 d + x 2 d = x 2 ¯ , x 2 d ( 0 ) = x 2 ¯ ( 0 )
Step 2: Define the second error surface regarding the AOA α as follows:
ζ 2 = x 2 x 2 d
Then, differentiating (12) and combining (2), one has
ζ · 2 = f 2 ( x 1 , x 2 ) + x 3 + Δ 2 ( x , t ) x · 2 d
RBF-2 can be used to approximate unknown functions contained in (13), invoking (3)
f 2 ( x 1 , x 2 ) = w 2 * T ξ 2 ( x 1 , x 2 ) + σ 2 *
Define
w 2 T = w 2 * T
μ 2 = ξ 2 ( x 1 , x 2 )
The virtual control law is designed as
x 3 ¯ = x · 2 d ( w 2 ) T μ 2 c 2 ζ 2 ρ 2 2 ζ 2 2 ε
where ρ 2 2 ζ 2 2 ε is a nonlinear damping item designed to overcome the influence of the uncertain interference term Δ 2 ( x , t ) in the system.
Let the adaptive law of RBF-2′s weight estimation be
w 2 · = Γ 2 μ 2 ζ 2 Γ 2 η 2 w 2
Deliver the designed virtual control x 3 ¯ into another first-order filter with a time constant of τ 3 and obtain a new state variable x 3 d , satisfying
τ 3 x · 3 d + x 3 d = x 3 ¯   and   x 3 d ( 0 ) = x 3 ¯ ( 0 )
Step 3: Define the last error surface regarding the pitch rate q as follows:
ζ 3 = x 3 x 3 d
Then, differentiating (20) and combining (2), one has
ζ · 3 = h 3 [ f 3 ( x 2 , x 3 ) h 3 + u + Δ 3 ( x , t ) x · 3 d h 3 ]
RBF-3 can be used to approximate unknown functions contained in (21), invoking (3)
f 3 ( x 2 , x 3 ) h 3 = w 3 * T ξ 3 ( x 2 , x 3 ) + σ 3 *
Define
w 3 T = [ w 3 * T 1 / h 3 ] T
μ 3 = ξ 3 ( x 2 , x 3 ) c 3 ζ 3 + ρ 3 2 ζ 3 2 ε x · 3 d T
where ρ 3 2 ζ 3 2 ε is a nonlinear damping items designed to overcome the influence of the uncertain interference term Δ 3 ( x , t ) in this system.
Here, the actual control law is developed as follows:
u = ( w 3 ) T μ 3
Let the adaptive law of RBF-3′s weight estimation be
w 3 · = Γ 3 μ 3 ζ 3 Γ 3 η 3 w 3
The adaptive laws for weight estimation (10), (18), (26) and control law (25) can constrain tracking errors and eliminate the influence of interference. Due to the approximation characteristics of RBF, it is not necessary to accurately grasp the aerodynamic and hydrodynamic characteristics of the HAUV before designing the controller, so the disturbance term can be used in this paper to simplify and replace the added mass and damping items after ingress water.

3.2. Stability Analysis

In Section 3.1, error transformation functions (4), (12) and (20) are applied to convert the virtual errors to each surface error ζ i . In this section, the Lyapunov stability theory is used to prove that the error signal is bounded by semi-global stability.
Considering the introduction of the first-order filter, which is used to eliminate the “explosion of complexity”, the error generated by filter is defined as follows:
y i = x i d x i ¯ , i = 2 , 3
Invoking (11), (19) and (27) yields
x i d · = x i d x i ¯ τ i = y i τ i , i = 2 , 3
Define the estimation error of the RBF weight
w i ~ = w i w i , i = 1 , 2 , 3
Then, the differentiation of each surface error is obtained.
By substituting (6)–(9) and (12), (27), (29) into (5), (5) can be rewritten as
ζ · 1 = h 1 ( w 1 * T ξ 1 ( x 1 ) + σ 1 * + ζ 2 + y 2 + x 2 ¯ + ( Δ 1 ( x , t ) x · 1 d ) / h 1 ) = h 1 ( w 1 T μ 1 + σ 1 * + ζ 2 + y 2 ( w 1 ) T μ 1 ) + Δ 1 c 1 ζ 1 ρ 1 2 ζ 1 2 ε = h 1 ( ζ 2 + y 2 + σ 1 * ( w 1 ~ ) T μ 1 ) c 1 ζ 1 ρ 1 2 ζ 1 2 ε + Δ 1
By substituting (14)–(17) and (20), (27), (29) into (13), (13) can be rewritten as
ζ · 2 = w 2 * T ξ 2 ( x 1 , x 2 ) + σ 2 * + ζ 3 + y 3 + x 3 ¯ + Δ 2 ( x , t ) x · 2 d = w 2 T μ 2 + σ 2 * + ζ 3 + y 3 ( w 2 ) T μ 2 + Δ 2 c 2 ζ 2 ρ 2 2 ζ 2 2 ε = ζ 3 + y 3 + σ 2 * ( w 2 ~ ) T μ 2 c 2 ζ 2 ρ 2 2 ζ 2 2 ε + Δ 2
By substituting (22)–(25) and (27), (29) into (21), (21) can be rewritten as
ζ · 3 = h 3 [ w 3 * T ξ 3 ( x 2 , x 3 ) + σ 3 * + u + ( Δ 3 x · 3 d ) / h 3 ] = h 3 [ w 3 T μ 3 + σ 3 * ( w 3 ) T μ 3 + ( Δ 3 c 3 ζ 3 ρ 3 2 ζ 3 2 ε ) / h 3 ] = h 3 ( ( w 3 ~ ) T μ 3 + σ 3 * ) c 3 ζ 3 ρ 3 2 ζ 3 2 ε + Δ 3
Combining (9), (17), (27) and (28), the differentiation of filter error y i stratifies
y · 2 + y 2 τ 2 = ( w 1 · ) T μ 1 + ( w 1 ) T μ · 1 y · 3 + y 3 τ 3 = x 2 d + c 2 ζ · 2 + ρ 2 2 ζ · 2 2 ε + ( w 2 · ) T μ 2 + ( w 2 ) T μ · 2 )
Reconsidering (27) and combining adaptive law (10), (18), (26) and (27)–(31), it can be seen that there are continuous non-negative functions Β 2 , Β 3 that satisfy
y · 2 + y 2 τ 2 Β 2 ( ζ 1 , ζ 2 , y 2 , w ~ 1 , x 1 d , x · 1 d , x 1 d ) y · 3 + y 3 τ 3 Β 3 ( ζ 1 , ζ 2 , ζ 3 , y 2 , y 3 , w ~ 1 , w ~ 2 , x 1 d , x · 1 d , x 1 d )
Considering (34), the following can be obtained:
y · i + y i τ i Β i y · i Β i y i τ i y i y · i Β i y i y i 2 τ i
Now, design the following candidate Lyapunov function for the controller
V = V 1 + V 2 + V 3
where V 1 , V 2 , V 3 are defined as follows
V 1 = 1 2 ( y 2 2 + y 3 2 ) , V 2 = 1 2 ( ζ 1 2 + ζ 2 2 + ζ 3 2 ) , V 3 = 1 2 ( h 1 w 1 T ~ Γ 1 w 1 ~ + w 2 T ~ Γ 2 w 2 ~ + h 3 w 3 T ~ Γ 3 w 3 ~ )
Theorem 1. 
Consider the closed-loop system established by (2) and (25). If assumptions 1–3 are true and for an arbitrary positive constant  p , inequality V ( 0 ) p holds, then there are parameters   τ 2 , τ 3 and c i , η i , Γ i , i = 1 , 2 , 3 that ensure all signals of the closed-loop system above are semi-global bounded, and the tracking error of the system can converge to any small residual set [29].
Proof. 
Differentiating (37) V 1 with respect to time and invoking (35), it has the following inequality:
V · 1 Β 2 y 2 + Β 3 y 3 y 2 2 τ 2 y 3 2 τ 3
Differentiating (37) V 2 with respect to time and considering (30), (31) and (32), it has
V · 2 = ζ 1 h 1 ( ζ 2 + y 2 + σ 1 * w 1 T ~ μ 1 ) c 1 ζ 1 ρ 1 2 ζ 1 2 ε + Δ 1 + ζ 2 ζ 3 + y 3 + σ 2 * w 2 T ~ μ 2 c 2 ζ 2 ρ 2 2 ζ 2 2 ε + Δ 2 + ζ 3 h 3 ( w 3 T ~ μ 3 + σ 3 * ) c 3 ζ 3 ρ 3 2 ζ 3 2 ε + Δ 3
Differentiating (37) V 3 with respect to time and considering (10), (18) and (26), it has
V · 3 = h 1 ( w 1 T ~ μ 1 ζ 1 w 1 T ~ η 1 w 1 ) + ( w 2 T ~ μ 2 ζ 2 w 2 T ~ η 2 w 2 ) + h 3 ( w 3 T ~ μ 3 ζ 3 w 3 T ~ η 3 w 3 )
Assumption 3, when V p , defines compact set Ω = Ω 1 × Ω 2 , where
Ω 1 = ( x 1 d , x · 1 d , x 1 d ) : x 1 d 2   +   x 1 d 2 ·   +   x 1 d 2 Θ
Ω 2 = i = 1 2 y i 2 + i = 1 3 ζ i 2 + h 1 w 1 T ~ Γ 1 1 w 1 ~ + h 3 w 3 T ~ Γ 1 1 w 3 ~ 2 p
Β 2 , Β 3 have maxima M 2 , M 3 in compact set Ω . Meanwhile, notice that there is equality
ρ i 2 ζ i 2 2 ε ε 2 ρ i ζ i ε 2 Δ i ζ i ρ i 2 ζ i 2 2 ε + Δ i ζ i ε 2
To eliminate the common term w i T ~ μ i ζ i , combining (39) and (40), it has
V · 2 + V · 3 = h 1 ζ 1 ( ζ 2 + y 2 + σ 1 * ) c 1 ζ 1 2 ρ 1 2 ζ 1 2 2 ε + Δ 1 ζ 1 + ζ 2 ( ζ 3 + y 3 + σ 2 * ) c 2 ζ 2 2 ρ 2 2 ζ 2 2 2 ε + Δ 2 ζ 2 + h 3 ζ 3 σ 3 * c 3 ζ 3 2 ρ 3 2 ζ 3 2 2 ε + Δ 3 ζ 3 ( h 1 w 1 T ~ η 1 w 1 + w 2 T ~ η 2 w 2 + h 3 w 3 T ~ η 3 w 3 )
Substituting (43) into (44) yields
V · 2 + V · 3 h 1 ζ 1 ( ζ 2 + y 2 + σ 1 * ) c 1 ζ 1 2 + ζ 2 ( ζ 3 + y 3 + σ 2 * ) c 2 ζ 2 2 + h 3 ζ 3 σ 3 * c 3 ζ 3 2 ( h 1 w 1 T ~ η 1 w 1 + w 2 T ~ η 2 w 2 + h 3 w 3 T ~ η 3 w 3 ) + 3 ε 2
Considering the following inequality
w i T ~ w i 1 2 ( w i ~ 2 w i 2 ) , i = 1 , 2 , 3
Lemma 1. 
(Young’s Inequality) Set the real-valued p > 1 , q > 1 , and 1 p + 1 q = 1 , for arbitrary non-negative constant a and b , there exists a relationship
a b a p p + b q q
The equality holds if and only if a p = b q .
According Lemma 1 and combining (36)–(46), V · can be calculated as follows:
V · = V · 1 + V · 2 + V · 3 Β 2 y 2 + Β 3 y 3 y 2 2 τ 2 y 3 2 τ 3 + h 1 ζ 1 ( ζ 2 + y 2 + σ 1 * ) c 1 ζ 1 2 + ζ 2 ( ζ 3 + y 3 + σ 2 * ) c 2 ζ 2 2 + h 3 ζ 3 σ 3 * c 3 ζ 3 2 ( h 1 w 1 T ~ η 1 w 1 + w 2 T ~ η 2 w 2 + h 3 w 3 T ~ η 3 w 3 ) + 3 ε 2 Β 2 y 2 + Β 3 y 3 y 2 2 τ 2 y 3 2 τ 3 i = 1 3 c i ζ i 2 + h 1 ( ζ 1 ζ 2 + ζ 1 y 2 + ζ 1 σ 1 * ) + ( ζ 2 ζ 3 + ζ 2 y 3 + ζ 2 σ 2 * ) + h 3 ζ 3 σ 3 * h 1 η 1 2 ( w 1 ~ 2 w 1 2 ) η 2 2 ( w 2 ~ 2 w 2 2 ) h 2 η 3 2 ( w 3 ~ 2 w 3 2 ) + 3 ε 2
Allowing for the fact that
Β i y i Β i 2 y i 2 2 ε + ε 2 ) , i = 2 , 3
With (47), (48) can be rewritten as follows:
V · i = 2 3 ( Β i 2 y i 2 2 ε + ε 2 y i 2 τ i ) i = 1 3 c i ζ i 2 + h 1 2 ( ζ 1 2 + ζ 2 2 ) + ( ζ 1 2 + y 2 2 ) + ( ζ 1 2 + σ 1 * 2 ) + 1 2 ( ζ 2 2 + ζ 3 2 ) + ( ζ 2 2 + y 3 2 ) + ( ζ 2 2 + σ 2 * 2 ) + h 3 2 ( ζ 3 2 + σ 3 * 2 ) h 1 η 1 2 ( w 1 ~ 2 w 1 2 ) η 2 2 ( w 2 ~ 2 w 2 2 ) h 2 η 3 2 ( w 3 ~ 2 w 3 2 ) + 3 ε 2 ( Β 2 2 2 ε + h 1 2 1 τ 2 ) y 2 2 + ( Β 3 2 2 ε + 1 2 1 τ 3 ) y 3 2 + ( 3 h 1 2 c 1 ) ζ 1 2 + ( h 1 2 + 3 2 c 2 ) ζ 2 2 + ( h 3 2 + 1 2 c 3 ) ζ 3 2 + h 1 2 σ 1 * 2 + 1 2 σ 2 * 2 + h 3 2 σ 3 * 2 h 1 η 1 2 λ max ( Γ 1 1 ) w 1 T ~ Γ 1 1 w 1 ~ η 2 2 λ max ( Γ 2 1 ) w 2 T ~ Γ 2 1 w 2 ~ h 3 η 3 2 λ max ( Γ 3 1 ) w 3 T ~ Γ 3 1 w 3 ~ + h 1 η 1 2 w 1 2 + η 2 2 w 2 2 + h 2 η 3 2 w 3 2 + 5 ε 2
Based on the above analysis, the conditions that the design control parameters should meet are as follows:
1 τ 2 M 2 2 2 ε + h 1 M 2 + ϑ 1 τ 3 M 3 2 2 ε + 1 2 + ϑ c 1 3 h 1 M 2 + ϑ c 2 h 1 M 2 + 3 2 + ϑ c 3 h 3 M 2 + 1 2 + ϑ η 1 2 ϑ λ max ( Γ 1 1 ) η 2 2 ϑ λ max ( Γ 2 1 ) η 3 2 ϑ λ max ( Γ 3 1 )
where ϑ is design positive constant.
Considering (3), (50), design control parameters in (51) and Assumption 2, (50) can be rewritten as follows:
V · ϑ ( y 2 2 + y 3 2 ) ϑ ( ζ 1 2 + ζ 2 2 + ζ 3 2 ) ϑ ( h 1 w 1 T ~ Γ 1 1 w 1 ~ + w 2 T ~ Γ 2 1 w 2 ~ + h 1 w 3 T ~ Γ 3 1 w 3 ~ ) + ( h 1 M 2 + 1 2 + h 3 M 2 ) σ M 2 + ( h 1 M η 1 2 + η 2 2 + h 2 M η 3 2 ) w M 2 + ( Β 2 2 2 ε M 2 2 2 ε ) y 2 2 + ( Β 3 2 2 ε M 3 2 2 ε ) y 3 2 + 5 ε 2 = 2 ϑ V + ( h 1 M 2 + 1 2 + h 3 M 2 ) σ M 2 + ( h 1 M η 1 2 + η 2 2 + h 2 M η 3 2 ) w M 2 + i = 2 3 ( M i 2 2 ε Β i 2 M i 2 M i 2 2 ε ) y i 2 + 5 ε 2 = 2 ϑ V + Ψ + i = 2 3 ( Β i 2 M i 2 1 ) M i 2 y i 2 2 ε
where Ψ represents the second, third and last terms in the right-hand side, as follows:
Ψ = 1 2 ( h 1 M + 1 + h 3 M ) σ M 2 + ( h 1 M η 1 + η 2 + h 2 M η 3 ) w M 2 + 5 ε
The design positive constant satisfies ϑ Ψ 2 p . Analysis above indicates that there exists a certain relationship between design parameters, ensuring the existence of ϑ .
Considering when V p holds, Β i M i is established. As such, when the equal sign holds, substituting the inequality above into (52) yields
V · 2 ϑ p + Ψ 0
Conclude from (54) that V p is an invariant set. The conclusion is expanded is if the initial condition satisfies V ( 0 ) p , for t > 0 , then V ( t ) p holds. Considering the preconditions of theorem 1, the following can be obtained:
V · 2 ϑ V + Ψ
Furthermore, by solving inequality (55), the range of V can be obtained as follows:
0 V Ψ 2 ϑ + ( V ( 0 ) Ψ 2 ϑ ) e 2 ϑ t
where e represents the base of natural logarithms.
Obviously, analysis indicates that all states of the system are bounded, and the ADSC controller does not have global stability, but semi-global stability.
The performance of the designed controller scheme is verified by simulation results in Section 4.

4. Simulation Results and Discussion

The purpose of this paper is to combine the innovation of variable-swept configuration and the ADSC method so as to achieve the plunge-dive and trans-media locomotion of HAUVs.
In this section, means of simulations are conducted and results are presented to illustrate the effectiveness of the ADSC for the longitudinal model of the variable-swept HAUV based on RBF. As for the geometrics of the HAUV, in order to achieve research objectives and simplify the paper’s work content, there is no influence that makes the model parameters and aerodynamic coefficients during the variable-swept process the same as [30]. The simulation design parameter values in Section 3 are given as v o = 100   m / s , α o = 0 , and the other parameters are listed in Table 1.
The maneuverability of the bird-like HAUV entering water has been analyzed in Section 2.1, which is also a prominent advantage of using the oblique water-entry method to achieve trans-media locomotion. In order to verify the effectiveness of the ADSC controller for the HAUV oblique water-entry process, this paper tested three different flight-path angle changes. According to the sequence of the variable sweepback adjustments and plunge-dive actions, two HAUV oblique entry-water cases have been formed. One is to perform a variable sweep during the plunge-dive process after completing the max adjustment process of the flight-path angle; the second is to complete the variable-swept process fully during the level flight in the air, followed by plunge-diving. This section further analyzes the control performance of the controller under different water ingress strategies through two sets of simulations.
At the same time, in order to simulate the process of HAUV ingressing the water more closely to the actual situation, the disturbance term is designed as the parameters shown in Table 1. The start time of water contact is 20 s, and after the dive begins, the disturbance rapidly increases and changes.
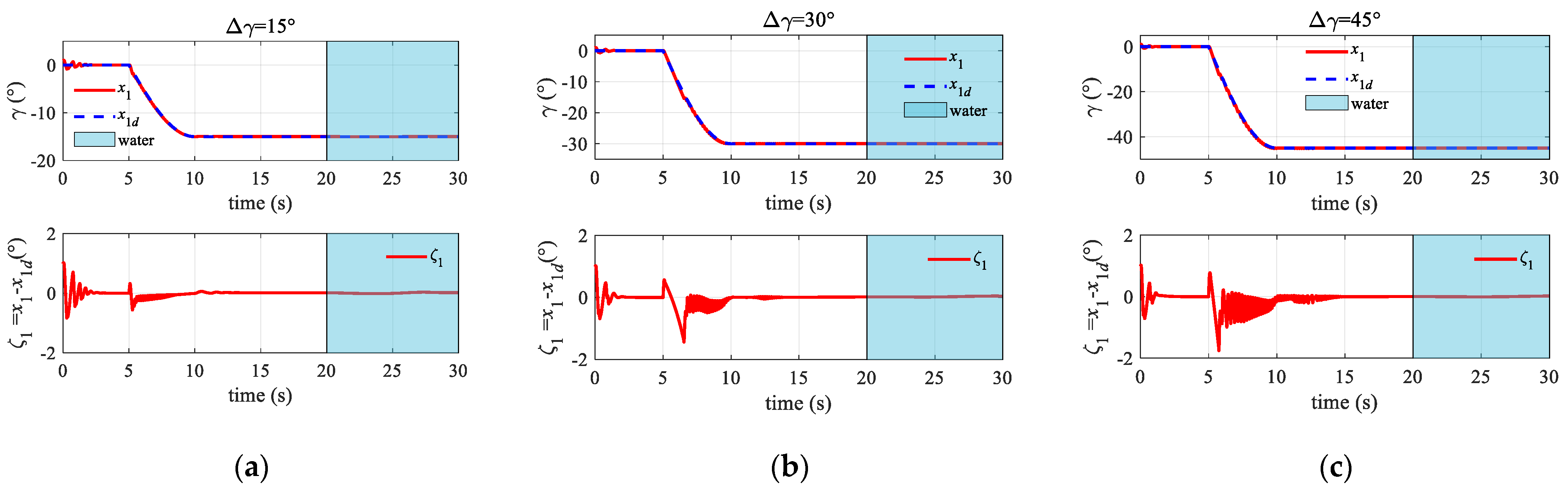
Case 1: During plunge-diving, complete the change in variable sweepback fully and then ingress the water.
The relationship between ideal flight-path angle and sweepback over time are as follows:
x 1 d = 0 ° t 5 γ e sin π 10 t π 2 5 < t 10 γ e t > 10   and   χ = π 12 t 11 π 6 lg ( t 10 ) + π 12 11 < t 20 π 4 t > 20
where γ e = π 12 , π 6 , π 4 .
Figure 5 shows the trajectory tracking results of the HAUV with a variable-sweep configuration during the water-entry process. The three subgraphs in Figure 5 all have upper and lower parts, where the upper half represents the tracking trajectory of the flight-path angle, and the lower half represents the tracking error of the control algorithm. Conduct simulation tests on three different flight-path angle change rates. From the simulation results above, it can be conducted that the overall trend is roughly the same for the three change rates. Within the initial 5 s, there is a trajectory error between the flight-path angle x 1 and the ideal flight-path angle x 1 d , which gradually decreases to a certain small range. As the flight-path angle begins to change after 5 s, the controller’s tracking of the ideal trajectory undergoes jittering. However, when the process of changing the flight-path angle is completed after 10 s, the tracking error gradually decreases and remains within the absolute value of 0.25 ° . From the figure of tracking error, it can be concluded that the 11 s (starting with a change in sweepback) dive process has no significant impact on the tracking of the flight-path angle, and the tracking error still maintains a continuous decay state, indicating that the proposed ADSC control strategy has a certain degree of robustness. Obviously, as the flight-path angle increases during the entry process, the convergence time of the tracking error also lengthens, which means that when the HAUV enters the water at a large flight-path angle, the controller needs more time to adjust to keep up with the ideal trajectory.
Figure 6 shows the angle of rudder reflection of the HAUV when it changes sweepback during diving. During the simulation process, consider the actual situation and limit the deviation angle of the rudder surface to within the range of ± 30 ° . When analyzing, the main focus is on the vicinity of key time points in each subgraph. For case 1, the key time points are 5 s, 10 s, 11 s, etc. From the deflection of the rudder angle in 5 s (starting of the dive), it can be seen that the controller can quickly adjust the angle of rudder reflection and smoothly transition. There is no obvious control input near 10 s to 11 s, and it can be analyzed that the aerodynamic parameter changes caused by the variable sweepback process during the dive process have not had an impact on the control stability. Similarly, it is evident that as the flight-path angle increases, the input jitter of the rudder deviation control becomes more frequent, which means the controller has fast reaction to disturbance and aerodynamic parameter change.
Figure 7 shows the change law of AOA and pitch angle rate under case 1, and with a different sweepback angle rate, we can conclude that when Δ γ increase at the same time, AOA and pitch angle’s oscillations become more apparent.
Through the simulation process in case 1, it can be concluded that a low change rate of flight-path angle should be maintained as much as possible during the diving process under a certain water-entry time to determine the stability of the control system.
Case 2: During the level flight, it changes sweepback and then dives into the water.
The relationship between ideal flight-path angle and sweepback over time in case 2 are as follows:
x 1 d = 0 t 15 γ e sin π 10 t + π 2 15 < t 20 γ e t > 20   and   χ = π 12 t 5 π 6 lg ( t 4 ) + π 12 5 < t 14 π 4 t > 14
Figure 8 shows the trajectory tracking results of the HAUV with a variable-sweep configuration during the diving process. Similarly, each of the three subgraphs in the figure has two parts: the upper part represents the tracking trajectory of the track angle, and the lower part represents the tracking error of the track angle. Conduct simulation tests on three different flight-path angle change rates. Still focusing on key time points of 1 s, 10 s, 15 s, etc., from the simulation results above, it can be seen that, similar to case 1, the variable-sweep level flight process of 5 s (starting with variable sweep) has no significant impact on the tracking of the controller. The difference is that the tracking error changes sharply after 15 s (when diving begins). As the diving flight-path angle increases, the convergence time of the tracking error increases, but within the limit of [−0.6°, 0.15°], and the divergence is controlled during diving.
Figure 9 shows the angle of rudder reflection of the HAUV when it changes sweepback during the level flight, and then dives into water. Similarly, the main focus is on the key time points in each subgraph, and there is no significant control input near 14 s to 15 s. From the reflection of the rudder angle at 15 s (starting to dive), it can be seen that the controller can quickly adjust the rudder. It can be analyzed that the aerodynamic parameter changes caused by the change in sweepback during the dive process have no impact on the control stability. Similarly, it is evident that as the flight-path angle increases when diving, the control input jitter of the angle of rudder reflection more frequently diverges.
Figure 10 shows the change law of AOA and pitch angle rate under case 1, with a different sweepback angle rate. We can conclude that when Δ γ increases at the same time, AOA and pitch angle’s oscillations become more apparent. What is more, the disturbance increases suddenly when the dive begins, which affects the stability heavily in case 2.
Case 1 and case 2 invoke controllers with the same performance, but the results are vastly different, indicating that the variable-sweep dive into the water scheme for case 2’s level flight process is not feasible. This is consistent with the natural behavior of kingfishers, gannets, and others entering the water to prey, who gradually fold their wings towards their body during the dive process (change sweepback of wings).
In summary, the ADSC method used in this section has a certain degree of robustness for controlling systems with disturbances. In addition, the variable-sweep layout of the HAUV is more suitable for biomimetic diving with a variable-sweep strategy during the diving process.

5. Conclusions

This paper discussed the strategy and control method of an HAUV diving into water obliquely with variable-swept configuration. Applying the control method of nonlinear time-varying system for reference, the subduction oblique water-entry process of ADSC for the HAUV is proposed, and its stability is proved through analysis and simulation. A controller based on ADSC has certain feasibility when applied to systems with disturbances and uncertainties.
The simulation results verify that the controller has a certain degree of robustness in tracking the flight-path angle, and to some extent, verifying the rationality of natural biological behavior. Compared to the scheme of changing sweepback in the air and then diving into the water, the scheme of changing sweepback during the diving process is more suitable for the trans-media locomotion of the HAUV with variable-swept configuration, with less effect on the stability of trans-media locomotion process and the design of the controller.
Future research will include conducting research on the complete motion of the water–air integrated HAUV. Based on the research on the configuration and control strategy of water entry, further research will explore possible solutions for HAUV’s water-exit motion.

Author Contributions

Conceptualization, B.X. and M.L.; methodology, B.X., Z.W. and F.L.; software, B.X. and M.L.; validation, F.L.; formal analysis, F.L. and Z.W.; resources, F.L.; writing—review and editing, B.X. and M.L.; writing—review and editing, B.X. and F.L.; visualization, B.X. and M.L.; supervision, Z.W. and F.L. All authors have read and agreed to the published version of the manuscript.

Funding

This research was funded by the Feng Lei Youth Innovation Fund of CARDC, Grant/Award Numbers FL018070012, ZZZH2000907098, the National Defense Key Laboratory Fund under Grant, Grant/Award Number (614222003061709).

Institutional Review Board Statement

Not applicable.

Informed Consent Statement

Not applicable.

Data Availability Statement

Not applicable.

Acknowledgments

The authors would like to thank the support of School of Oceanography of Shanghai Jiaotong University and the Cross-media Vehicle Research Center of China Aerodynamic Research of Center.

Conflicts of Interest

The authors declare no conflict of interest.

Nomenclature

VariableDescriptionVariableDescription
ρ a Density of air θ Pitch angle
C L Lift coefficient γ Flight-path angle
C D Drag coefficient α Angle of attack (AOA)
C M Pitch moment coefficient χ Sweepback angle
L Lift force q Pitch angle rate
M a Pitch moment m The mass of vehicle
S x Static moment m 1 , m 2 The mass of right and left wing
M I y Inertial moment m 3 The mass of vehicle’s body
β i ( x ) = exp ( x d i 2 2 b 2 ) The Gauss function r 1 x , r 2 x Distance from the center of body coordinate system to right and left wing’s barycenter
F I z Inertial force r 3 x Distance from the center of body coordinate system to vehicle body’s barycenter
g Acceleration of gravity, g = 9.8 m/s2 σ i * The function reconstruction error
v The velocity of currents w i * Actual weight vector
δ e Angle of rudder reflection w i Estimation of w i
w R N Adjustable weight vector w i ~ = w i w i Estimation error of w i
ξ ( x ) = [ β 1 ( x ) , , β N ( x ) ] T Nonlinear vector functions Γ i Positive definite symmetric matrices
d i R N The center of the Gauss function λ max ( Γ i 1 ) Maximum eigenvalue of matrix
b > 0 The width of the Gauss function Β i Continuous non-negative function
τ i Filter time constant Ω i Compact set
ε Arbitrary positive constant tends toward 0 c i , η i , ϑ Design positive parameters

Appendix A

Parameters in the dynamic model of the longitudinal plane:
L = 0.5 ρ a v 2 S w C L D = 0.5 ρ a v 2 S w C D M a = 0.5 ρ a v 2 S w c A C M C L = C L 0 + C L α α + C L δ δ C L 0 + C L α α C D = C D 0 + C D α α + C D α 2 α 2 C M = C M 0 + C M α α + C M δ δ + C M q q c A 2 v
F I x = S x cos α + 2 q S x · sin α + S x ( q · sin α + q 2 cos α ) F I z = S x sin α + 2 q S x · cos α + S x ( q · cos α q 2 sin α ) M I y = S x v · sin α + S x v ( α · q ) cos α S x = m 1 r 1 x + m 2 r 2 x + m 3 r 3 x
Unknow parameters and functions to be designed in strict-feedback form:
h 1 = 0.5 ρ a v 2 S w C L α m v , h 2 = 1 , h 3 = 0.5 ρ a v 2 S w c A C M δ I y f 1 ( x 1 ) = 0.5 ρ a v 2 C L 0     m g cos γ     F I z m v f 2 ( x 1 , x 2 ) = L     m g cos γ     F I z m v f 3 ( x 2 , x 3 ) = 0.5 ρ a v 2 S w c A ( C M 0   +   C M α α   +   C M q q c A 2 v )   +   M I y     S x g cos θ     q I y · I y

References

  1. Drews, P.L.; Neto, A.A.; Campos, M.F. A survey on aerial submersible vehicles. In Proceedings of the Conference: IEEE/OES Oceans, Biloxi, MS, USA, 26–29 October 2009; p. 4244-2523. [Google Scholar]
  2. Zeng, Z.; Lyu, C.; Bi, Y.; Jin, Y.; Lu, D.; Lian, L. Review of hybrid aerial underwater vehicle: Cross-domain mobility and transitions control. Ocean Eng. 2022, 248, 110840. [Google Scholar] [CrossRef]
  3. Yang, X.; Wang, T.; Liang, J.; Yao, G.; Liu, M. Survey on the novel hybrid aquatic–aerial amphibious aircraft: Aquatic unmanned aerial vehicle (AquaUAV). Prog. Aerosp. Sci. 2015, 74, 131–151. [Google Scholar] [CrossRef]
  4. Li, Y.-L.; Feng, J.-F.; Hu, J.-H.; Yang, J. Research on the motion characteristics of a trans-media vehicle when entering water obliquely at low speed. Int. J. Nav. Arch. Ocean Eng. 2018, 10, 188–200. [Google Scholar] [CrossRef]
  5. Zimmerman, S.; Abdelkefi, A. Review of marine animals and bioinspired robotic vehicles: Classifications and characteristics. Prog. Aerosp. Sci. 2017, 93, 95–119. [Google Scholar] [CrossRef]
  6. Kingfisher Catching a Fish [EB/OL], [2023,8,17]. Available online: https://memeguy.com/photos/images/kingfisher-catching-a-fish-130482.gif (accessed on 16 August 2023).
  7. Narayanan, A.; Rajeshirke, P.; Sharma, A.; Pestonjamasp, K. Survey of the emerging bio-inspired Unmanned Aerial Underwater Vehicles. IOP Conf. Ser. MSE 2020, 810, 012078. [Google Scholar] [CrossRef]
  8. Wu, Z.; Lu, J.; Rajput, J.; Shi, J.; Ma, W. Adaptive neural control based on high order integral chained differentiator for morphing aircraft. Math. Probl. Eng. 2015, 2015, 1–12. [Google Scholar] [CrossRef]
  9. Barbarino, S.; Bilgen, O.; Ajaj, R.M.; Friswell, M.I.; Inman, D.J. A Review of Morphing Aircraft. J. Intel. Mat. Syst. Str. 2011, 22, 823–877. [Google Scholar] [CrossRef]
  10. Fabian, A.; Feng, Y.; Swartz, E.; Thurmer, D.; Wang, R. Hybrid Aerial Underwater Vehicle; MIT Lincoln Lab: Lexington, MA, USA, 2012. [Google Scholar]
  11. Siddall, R.; Ortega, A.A.; Kovac, M. Wind and water tunnel testing of a morphing aquatic micro air vehicle. Interface Focus. 2017, 7, 20160085. [Google Scholar] [CrossRef] [PubMed]
  12. Ma, Z.; Chen, D.; Li, G.; Jing, X.; Xiao, S. Configuration Design and Trans-Media Control Status of the Hybrid Aerial Underwater Vehicles. Appl. Sci. 2022, 12, 765. [Google Scholar] [CrossRef]
  13. Siddall, R.; Kovač, M. Launching the AquaMAV: Bioinspired design for aerial–aquatic robotic platforms. Bioinspir. Biomim. 2014, 9, 031001. [Google Scholar] [CrossRef] [PubMed]
  14. Weisler, W.; Stewart, W.; Anderson, M.B.; Peters, K.J.; Gopalarathnam, A.; Bryant, M. Testing and Characterization of a Fixed Wing Cross-Domain Unmanned Vehicle Operating in Aerial and Underwater Environments. IEEE J. Ocean. Eng. 2017, 43, 969–982. [Google Scholar] [CrossRef]
  15. Moore, J. Closed-Loop Control of a Delta-Wing Unmanned Aerial-Aquatic Vehicle. arXiv 2019, arXiv:1906.01532. [Google Scholar] [CrossRef]
  16. Wei, Z.; Teng, Y.; Meng, X.; Yao, B.; Lian, L. Lifting-principle-based design and implementation of fixed-wing unmanned aerial-underwater vehicle. J. Field Robot. 2022, 39, 694–711. [Google Scholar] [CrossRef]
  17. Lu, D.; Xiong, C.; Zhou, H.; Lyu, C.; Hu, R.; Yu, C.; Zeng, Z.; Lian, L. Design, fabrication, and characterization of a multimodal hybrid aerial underwater vehicle. Ocean Eng. 2021, 219, 108324. [Google Scholar] [CrossRef]
  18. Sun, B.; Li, W.; Wang, Z.; Zhu, Y.; He, Q.; Guan, X.; Dai, G.; Yuan, D.; Li, A.; Cui, W.; et al. Recent Progress in Modeling and Control of Bio-Inspired Fish Robots. J. Mar. Sci. Eng. 2022, 10, 773. [Google Scholar] [CrossRef]
  19. Chen, W.; Dong, H.; Wang, P.; Liu, X. Blended-wing-body underwater glider shape transfer optimization. In Proceedings of the 2022 IEEE Congress on Evolutionary Computation (CEC), Padua, Italy, 18–23 July 2022; pp. 1–7. [Google Scholar]
  20. Goddard, R.; Eastgate, J. Submersible Aircraft Concept Design Study; Naval Surface Warfare Center: Carderock, MD, USA, 2010. [Google Scholar]
  21. Dong, L.; Wei, Z.; Zhou, H.; Yao, B.; Lian, L. Numerical Study on the Water Entry of a Freely Falling Unmanned Aerial-Underwater Vehicle. J. Mar. Sci. Eng. 2023, 11, 552. [Google Scholar] [CrossRef]
  22. Seigler, T.M. Dynamics and Control of Morphing Aircraft; Virginia Polytechnic Institute and State University: Blacksburg, Virginia, 2005. [Google Scholar]
  23. Wu, Y.; Li, L.; Su, X.; Gao, B. Dynamics modeling and trajectory optimization for unmanned aerial-aquatic vehicle diving into the water. Aerosp. Sci. Technol. 2019, 89, 220–229. [Google Scholar] [CrossRef]
  24. Neto, A.A.; Drews, P.L.J.; Campos, M. Attitude control for a hybrid unmanned aerial underwater vehicle: A robust switched strategy with global stability. In Proceedings of the 2015 IEEE Conference on Robotics and Automation (ICRA), Seattle, WA, USA, 26–30 May 2015. [Google Scholar]
  25. Lavretsky, E. Robust and Adaptive Control: With Aerospace Applications; Springer: London, UK, 2012. [Google Scholar]
  26. Sharma, M. Flight-Path Angle Control via Neuro-Adaptive Backstepping. In Proceedings of the American Control Conference, Anchorage, AK, USA, 8–10 May 2002. [Google Scholar]
  27. Liu, J. Radial Basis Function (RBF) Neural Network Control for Mechanical Systems Neural Network Sliding Mode Control; Tsinghua University Press: Beijing, China, 2013. [Google Scholar]
  28. Lu, D.; Xiong, C.; Zeng, Z.; Lian, L. Adaptive Dynamic Surface Control for a Hybrid Aerial Underwater Vehicle with Parametric Dynamics and Uncertainties. IEEE J. Ocean. Eng. 2019, 45, 740–758. [Google Scholar] [CrossRef]
  29. Liu, J. RBF Neural Network Adaptive Control and MATLAB Simulation; Tsinghua University Press: Beijing, China, 2018. [Google Scholar]
  30. Wu, Z.; Lu, J.; Zhou, Q.; Shi, J. Modified adaptive neural dynamic surface control for morphing aircraft with input and output constraints. Nonlinear Dyn. 2017, 87, 2367–2383. [Google Scholar] [CrossRef]
Figure 1. The plunge-diving segments of a kingfisher [6].
Figure 1. The plunge-diving segments of a kingfisher [6].
Applsci 13 10201 g001
Figure 2. Coordinate and depiction of the multibody representation. (a) Coordinate representation. (b) Level flight configuration. (c) Maneuver configuration.
Figure 2. Coordinate and depiction of the multibody representation. (a) Coordinate representation. (b) Level flight configuration. (c) Maneuver configuration.
Applsci 13 10201 g002
Figure 3. Structure of the RBF neural network.
Figure 3. Structure of the RBF neural network.
Applsci 13 10201 g003
Figure 4. Scheme of control system.
Figure 4. Scheme of control system.
Applsci 13 10201 g004
Figure 5. Under the phenomenon of plunge−diving, complete the change in variable sweepback fully and then ingress the water. Flight−path angle tracking results and tracking errors of the variable−swept HAUV in the plunge−diving process at different change rates of flight−path angle in case 1: (a) Δ γ = π 12 ; (b) Δ γ = π 6 ; (c) Δ γ = π 4 . (a) Tracking result and error when Δ γ = π 12 . (b) Tracking result and error when Δ γ = π 6 . (c) Tracking result and error when Δ γ = π 4 .
Figure 5. Under the phenomenon of plunge−diving, complete the change in variable sweepback fully and then ingress the water. Flight−path angle tracking results and tracking errors of the variable−swept HAUV in the plunge−diving process at different change rates of flight−path angle in case 1: (a) Δ γ = π 12 ; (b) Δ γ = π 6 ; (c) Δ γ = π 4 . (a) Tracking result and error when Δ γ = π 12 . (b) Tracking result and error when Δ γ = π 6 . (c) Tracking result and error when Δ γ = π 4 .
Applsci 13 10201 g005
Figure 6. The actual control input of angle of rudder reflection due to the variable−swept and plunge−diving process in case 1.
Figure 6. The actual control input of angle of rudder reflection due to the variable−swept and plunge−diving process in case 1.
Applsci 13 10201 g006
Figure 7. Under the phenomenon of plunge−diving, complete the change in variable sweepback fully and then ingress the water. Change laws of AOA and pitch angle rate of the variable−swept HAUV in the plunge−diving process at different change rates of flight−path angle in case 1: (a) Δ γ = π 12 ; (b) Δ γ = π 6 ; (c) Δ γ = π 4 . (a) Change law of AOA and pitch angle rate when Δ γ = π 12 . (b) Change law of AOA and pitch angle rate when Δ γ = π 6 . (c) Change law of AOA and pitch angle rate when Δ γ = π 4 .
Figure 7. Under the phenomenon of plunge−diving, complete the change in variable sweepback fully and then ingress the water. Change laws of AOA and pitch angle rate of the variable−swept HAUV in the plunge−diving process at different change rates of flight−path angle in case 1: (a) Δ γ = π 12 ; (b) Δ γ = π 6 ; (c) Δ γ = π 4 . (a) Change law of AOA and pitch angle rate when Δ γ = π 12 . (b) Change law of AOA and pitch angle rate when Δ γ = π 6 . (c) Change law of AOA and pitch angle rate when Δ γ = π 4 .
Applsci 13 10201 g007
Figure 8. Under the phenomenon during the level flight, it changes sweepback and then dives into the water. Flight−path angle tracking results and tracking errors of the variable−swept HAUV in the plunge−diving process at different change rates of flight−path angle in case 2: (a) Δ γ = π 12 ; (b) Δ γ = π 6 ; (c) Δ γ = π 4 . (a) Tracking result and error when Δ γ = π 12 . (b) Tracking result and error when Δ γ = π 6 . (c) Tracking result and error when Δ γ = π 4 .
Figure 8. Under the phenomenon during the level flight, it changes sweepback and then dives into the water. Flight−path angle tracking results and tracking errors of the variable−swept HAUV in the plunge−diving process at different change rates of flight−path angle in case 2: (a) Δ γ = π 12 ; (b) Δ γ = π 6 ; (c) Δ γ = π 4 . (a) Tracking result and error when Δ γ = π 12 . (b) Tracking result and error when Δ γ = π 6 . (c) Tracking result and error when Δ γ = π 4 .
Applsci 13 10201 g008
Figure 9. The actual control input of angle of rudder reflection due to the variable−swept and plunge−diving process in case 2.
Figure 9. The actual control input of angle of rudder reflection due to the variable−swept and plunge−diving process in case 2.
Applsci 13 10201 g009
Figure 10. Under the phenomenon during plunge-diving, complete the change in variable sweepback fully and then ingress the water. Change laws of AOA and pitch angle rate of the variable-swept HAUV in the plunge-diving process at different change rates of flight-path angle in case 2: (a) Δ γ = π 12 ; (b) Δ γ = π 6 ; (c) Δ γ = π 4 . (a) Change law of AOA and pitch angle rate when Δ γ = π 12 . (b) Change law of AOA and pitch angle rate when Δ γ = π 6 . (c) Change law of AOA and pitch angle rate when Δ γ = π 4 .
Figure 10. Under the phenomenon during plunge-diving, complete the change in variable sweepback fully and then ingress the water. Change laws of AOA and pitch angle rate of the variable-swept HAUV in the plunge-diving process at different change rates of flight-path angle in case 2: (a) Δ γ = π 12 ; (b) Δ γ = π 6 ; (c) Δ γ = π 4 . (a) Change law of AOA and pitch angle rate when Δ γ = π 12 . (b) Change law of AOA and pitch angle rate when Δ γ = π 6 . (c) Change law of AOA and pitch angle rate when Δ γ = π 4 .
Applsci 13 10201 g010
Table 1. Simulation design parameters.
Table 1. Simulation design parameters.
VariableNumerical ValueVariableNumerical Value
Δ 1 0.001 sin ( π 5 t ) , t 20 0.2 sin π 5 t , t > 20 Δ 2 0.001 cos ( π 5 t ) , t 20 0.5 cos π 5 t , t > 20
Δ 3 0.001 sin π 10 t cos ( π 5 t ) , t 20 0.2 sin π 10 t cos π 5 t , t > 20 ρ 2 0.1
ρ 1 0.05 ρ 3 0.05
c 1 25.6 η 1 0.2
c 2 10.1 η 2 0.02
c 3 67.6 η 3 0.2
ε 0.01 ϑ 0.1
τ 2 0.0171 b i 10
τ 3 0.0198 h 1 m 17
M i 1 h 1 M 134
Disclaimer/Publisher’s Note: The statements, opinions and data contained in all publications are solely those of the individual author(s) and contributor(s) and not of MDPI and/or the editor(s). MDPI and/or the editor(s) disclaim responsibility for any injury to people or property resulting from any ideas, methods, instructions or products referred to in the content.

Share and Cite

MDPI and ACS Style

Xing, B.; Wei, Z.; Lu, M.; Liao, F. Research on Variable-Swept Hybrid Aerial Underwater Vehicle Plunge-Diving Control Based on Adaptive Dynamic Surface Control. Appl. Sci. 2023, 13, 10201. https://doi.org/10.3390/app131810201

AMA Style

Xing B, Wei Z, Lu M, Liao F. Research on Variable-Swept Hybrid Aerial Underwater Vehicle Plunge-Diving Control Based on Adaptive Dynamic Surface Control. Applied Sciences. 2023; 13(18):10201. https://doi.org/10.3390/app131810201

Chicago/Turabian Style

Xing, Beibei, Zhaoyu Wei, Mingqing Lu, and Fei Liao. 2023. "Research on Variable-Swept Hybrid Aerial Underwater Vehicle Plunge-Diving Control Based on Adaptive Dynamic Surface Control" Applied Sciences 13, no. 18: 10201. https://doi.org/10.3390/app131810201

APA Style

Xing, B., Wei, Z., Lu, M., & Liao, F. (2023). Research on Variable-Swept Hybrid Aerial Underwater Vehicle Plunge-Diving Control Based on Adaptive Dynamic Surface Control. Applied Sciences, 13(18), 10201. https://doi.org/10.3390/app131810201

Note that from the first issue of 2016, this journal uses article numbers instead of page numbers. See further details here.

Article Metrics

Back to TopTop