The Relationship between Ankle Joint Kinematics and Impact Forces during Unilateral Jump-Landing Tasks in University-Level Netball Players: A Pilot Study
Abstract
Featured Application
Abstract
1. Introduction
2. Materials and Methods
2.1. Participants
2.2. Experimental Design
2.3. Ethics
2.4. Testing Procedures
2.4.1. Landing Kinematics
2.4.2. Landing Kinetics
2.4.3. Time-to-Stabilization
2.4.4. Body Fat and Body Mass Index Measurements
2.5. Statistical Analyses
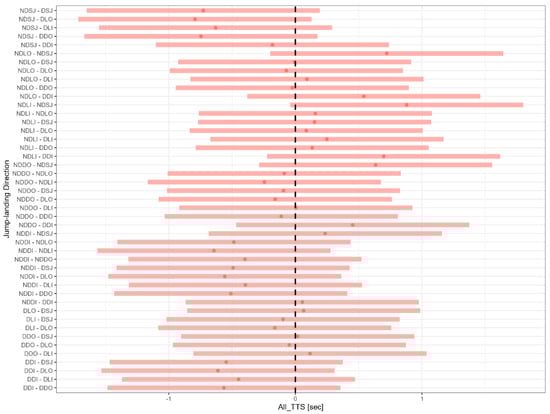
3. Results
4. Discussion
5. Conclusions
Author Contributions
Funding
Institutional Review Board Statement
Informed Consent Statement
Data Availability Statement
Acknowledgments
Conflicts of Interest
References
- Chandler, P.T.; Pinder, S.J.; Curran, J.D.; Gabbett, T.J. Physical Demands of Training and Competition in Collegiate Netball Players. J. Strength Cond. Res. 2014, 28, 2732–2737. [Google Scholar] [CrossRef]
- Rowley, K.M.; Richards, J.G. Increasing Plantarflexion Angle during Landing Reduces Vertical Ground Reaction Forces, Loading Rates and the Hip’s Contribution to Support Moment within Participants. J. Sports Sci. 2015, 33, 1922–1931. [Google Scholar] [CrossRef] [PubMed]
- Downs, C.; Snodgrass, S.J.; Weerasekara, I.; Valkenborghs, S.R.; Callister, R. Injuries in Netball-A Systematic Review. Sports Med. Open 2021, 7, 3. [Google Scholar] [CrossRef]
- Ferreira, M.; Spamer, E. Biomechanical, Anthropometrical and Physical Profile of Elite University Netball Players and the Relationship to Musculoskeletal Injuries. S. Afr. J. Res. Sport Phys. Educ. Recreat. 2010, 32, 57–68. [Google Scholar] [CrossRef][Green Version]
- Langeveld, E.; Coetzee, F.F.; Holtzhausen, L.J. Epidemiology of Injuries in Elite South African Netball Players. S. Afr. J. Res. Sport Phys. Educ. Recreat. 2012, 34, 83–93. [Google Scholar]
- Mothersole, G.A.; Cronin, J.B.; Harris, N.N. Key Prerequisite Factors Influencing Landing Forces in Netball. Strength Cond. J. 2013, 35, 47–54. [Google Scholar] [CrossRef]
- Pillay, T.; Frantz, J.M. Injury Prevalence of Netball Players in South Africa: The Need for in Jury Prevention. S. Afr. J. Physiother. 2012, 68, 7–10. [Google Scholar] [CrossRef][Green Version]
- Ellapen, T.; Schoeman, K.; Zaca, L.; Heerden, H.; Ramiah, P. Prevalence of Musculoskeletal Injuries among Adolescent Recreational Netballers in Kwa-Zulu Natal, South Africa. Br. J. Med. Med. Res. 2015, 9, 1–5. [Google Scholar] [CrossRef]
- Sinclair, C.; Coetzee, F.; Schall, R. Epidemiology of Injuries among U18, U19, U21 and Senior Elite Netball Players. S. Afr. J. Sports Med. 2020, 32, 1–6. [Google Scholar] [CrossRef]
- Fong, D.T.; Chan, Y.-Y.; Mok, K.-M.; Yung, P.S.; Chan, K.-M. Understanding Acute Ankle Ligamentous Sprain Injury in Sports. BMC Sports Sci. Med. Rehabil. 2009, 1, 14. [Google Scholar] [CrossRef]
- Fong, D.T.-P.; Hong, Y.; Chan, L.-K.; Yung, P.S.-H.; Chan, K.-M. A Systematic Review on Ankle Injury and Ankle Sprain in Sports. Sports Med. 2007, 37, 73–94. [Google Scholar] [CrossRef]
- Gamble, P. Physical Preparation for Netball—Part 1: Needs Analysis and Injury Epidemiology. Prof. Strength Cond. 2011, 22, 10–15. [Google Scholar]
- Hertel, J. Functional Anatomy, Pathomechanics, and Pathophysiology of Lateral Ankle Instability. J. Athl. Train. 2002, 37, 364–375. [Google Scholar]
- Hopper, D.; Lo, S.K.; Kirkham, C.; Elliott, B. Landing Patterns in Netball: Analysis of an International Game. Br. J. Sports Med. 1992, 26, 101–106. [Google Scholar] [CrossRef] [PubMed]
- Dello Iacono, A.; Ayalon, M.; Wang, W. The Influence of Single-Leg Landing Direction on Lower Limbs Biomechanics. J. Sports Med. Phys. Fit. 2019, 59, 195–203. [Google Scholar] [CrossRef] [PubMed]
- Sinsurin, K.; Vachalathiti, R.; Jalayondeja, W.; Limroongreungrat, W. Different Sagittal Angles and Moments of Lower Extremity Joints during Single-Leg Jump Landing among Various Directions in Basketball and Volleyball Athletes. J. Phys. Ther. Sci. 2013, 25, 1109–1113. [Google Scholar] [CrossRef]
- Kamffer, L.; Hammill, H.V.; Willemse, Y.; Kramer, M. Multidirectional Landing Kinetics, Stabilisation Times, and Associated Isokinetic Knee Torques of High-Level Female Netball Players. Appl. Sci. 2023, 13, 1261. [Google Scholar] [CrossRef]
- Niu, W.; Wang, Y.; He, Y.; Fan, Y.; Zhao, Q. Kinematics, Kinetics, and Electromyogram of Ankle during Drop Landing: A Comparison between Dominant and Non-Dominant Limb. Hum. Mov. Sci. 2011, 30, 614–623. [Google Scholar] [CrossRef]
- Liu, K.; Heise, G.D. The Effect of Jump-Landing Directions on Dynamic Stability. J. Appl. Biomech. 2013, 29, 634–638. [Google Scholar] [CrossRef]
- Brown, C.; Ross, S.; Mynark, R.; Guskiewicz, K. Assessing Functional Ankle Instability with Joint Position Sense, Time to Stabilization, and Electromyography. J. Sport Rehabil. 2004, 13, 122–134. [Google Scholar] [CrossRef]
- Peng, H.-T.; Chang, H.-K.; Chen, H.-W.; Huang, T.-I.; Chen, H. Neuromuscular Changes in Drop Jumps on Different Common Material Surfaces with Incremental Drop Heights. Appl. Sci. 2023, 13, 5123. [Google Scholar] [CrossRef]
- Kunugi, S.; Koumura, T.; Myotsuzono, R.; Masunari, A.; Yoshida, N.; Miyakawa, S.; Mukai, N. Directions of Single-Leg Landing Affect Multi-Segment Foot Kinematics and Dynamic Postural Stability in Male Collegiate Soccer Athletes. Gait Posture 2020, 80, 285–291. [Google Scholar] [CrossRef] [PubMed]
- Lee, Y.-M.; Lee, H.-J. Effects of Different Jump-Landing Directions on Sagittal Plane Kinematics, Kinetics and Energy Dissipation at Lower Extremity Joints. In Proceedings of the 30 International Conference on Biomechanics in Sports (2012), Melbourne, Australia, 2–6 July 2012. [Google Scholar]
- Fong, D.T.-P.; Ha, S.C.-W.; Mok, K.-M.; Chan, C.W.-L.; Chan, K.-M. Kinematics Analysis of Ankle Inversion Ligamentous Sprain Injuries in Sports: Five Cases From Televised Tennis Competitions. Am. J. Sports Med. 2012, 40, 2627–2632. [Google Scholar] [CrossRef] [PubMed]
- McNitt-Gray, J.L.; Hester, D.M.E.; Mathiyakom, W.; Munkasy, B.A. Mechanical Demand and Multijoint Control during Landing Depend on Orientation of the Body Segments Relative to the Reaction Force. J. Biomech. 2001, 34, 1471–1482. [Google Scholar] [CrossRef] [PubMed]
- Wikstrom, E.A.; Tillman, M.D.; Schenker, S.M.; Borsa, P.A. Jump-Landing Direction Influences Dynamic Postural Stability Scores. J. Sci. Med. Sport 2008, 11, 106–111. [Google Scholar] [CrossRef]
- Decker, M.J.; Torry, M.R.; Wyland, D.J.; Sterett, W.I.; Richard Steadman, J. Gender Differences in Lower Extremity Kinematics, Kinetics and Energy Absorption during Landing. Clin. Biomech. 2003, 18, 662–669. [Google Scholar] [CrossRef] [PubMed]
- Ali, N.; Robertson, D.G.E.; Rouhi, G. Sagittal Plane Body Kinematics and Kinetics during Single-Leg Landing from Increasing Vertical Heights and Horizontal Distances: Implications for Risk of Non-Contact ACL Injury. Knee 2014, 21, 38–46. [Google Scholar] [CrossRef]
- Maulder, P.S. Dominant Limb Asymmetry Associated with Prospective Injury Occurrence. S. Afr. J. Res. Sport Phys. Educ. Recreat. 2013, 35, 121–131. [Google Scholar]
- Fransz, D.P.; Huurnink, A.; De Boode, V.A.; Kingma, I.; Van Dieën, J.H. Time to Stabilization in Single Leg Drop Jump Landings: An Examination of Calculation Methods and Assessment of Differences in Sample Rate, Filter Settings and Trial Length on Outcome Values. Gait Posture 2015, 41, 63–69. [Google Scholar] [CrossRef]
- McLester, C.N.; Nickerson, B.S.; Kliszczewicz, B.M.; McLester, J.R. Reliability and Agreement of Various InBody Body Composition Analyzers as Compared to Dual-Energy X-Ray Absorptiometry in Healthy Men and Women. J. Clin. Densitom. 2020, 23, 443–450. [Google Scholar] [CrossRef]
- Schober, P.; Schwarte, L.A. Correlation Coefficients: Appropriate Use and Interpretation. Anesth. Analg. 2018, 126, 1763–1768. [Google Scholar] [CrossRef]
- RStudio Team. RStudio: Integrated Development for R, 4.5.1.; RStudio, PBC: Boston, MA, USA, 2020. [Google Scholar]
- Patil, I. Visualizations with Statistical Details: The “ggstatsplot” Approach. J. Open Source Softw. 2021, 6, 3167. [Google Scholar] [CrossRef]
- Kotsifaki, A.; Korakakis, V.; Graham-Smith, P.; Sideris, V.; Whiteley, R. Vertical and Horizontal Hop Performance: Contributions of the Hip, Knee, and Ankle. Sports Health 2021, 13, 128–135. [Google Scholar] [CrossRef]
- Fong, C.-M.; Blackburn, J.T.; Norcross, M.F.; McGrath, M.; Padua, D.A. Ankle-Dorsiflexion Range of Motion and Landing Biomechanics. J. Athl. Train. 2011, 46, 5–10. [Google Scholar] [CrossRef] [PubMed]
- Howe, L.P.; Bampouras, T.M.; North, J.; Waldron, M. Ankle Dorsiflexion Range of Motion Is Associated with Kinematic but Not Kinetic Variables Related to Bilateral Drop-Landing Performance at Various Drop Heights. Hum. Mov. Sci. 2019, 64, 320–328. [Google Scholar] [CrossRef] [PubMed]
- Thomas, C.; Comfort, P.; Jones, P.A.; Dos’Santos, T. Strength and Conditioning for Netball: A Needs Analysis and Training Recommendations. Strength Cond. J. 2017, 39, 10–21. [Google Scholar] [CrossRef]
- Baar, K. Minimizing Injury and Maximizing Return to Play: Lessons from Engineered Ligaments. Sports Med. 2017, 47, 5–11. [Google Scholar] [CrossRef] [PubMed]
- Ross, S.E.; Guskiewicz, K.M.; Gross, M.T.; Yu, B. Balance Measures for Discriminating between Functionally Unstable and Stable Ankles. Med. Sci. Sports Exerc. 2009, 41, 399–407. [Google Scholar] [CrossRef]
- Williams, V.J.; Nagai, T.; Sell, T.C.; Abt, J.P.; Rowe, R.S.; McGrail, M.A.; Lephart, S.M. Prediction of Dynamic Postural Stability During Single-Leg Jump Landings by Ankle and Knee Flexibility and Strength. J. Sport Rehabil. 2016, 25, 266–272. [Google Scholar] [CrossRef]
- Wright, C.J.; Arnold, B.L.; Ross, S.E. Altered Kinematics and Time to Stabilization During Drop-Jump Landings in Individuals With or Without Functional Ankle Instability. J. Athl. Train. 2016, 51, 5–15. [Google Scholar] [CrossRef]
- Devita, P.; Skelly, W.A. Effect of Landing Stiffness on Joint Kinetics and Energetics in the Lower Extremity. Med. Sci. Sports Exerc. 1992, 24, 108–115. [Google Scholar] [CrossRef] [PubMed]
- Mason-Mackay, A.R.; Whatman, C.; Reid, D.; Lorimer, A. The Effect of Ankle Bracing on Landing Biomechanics in Female Netballers. Phys. Ther. Sport 2016, 20, 13–18. [Google Scholar] [CrossRef] [PubMed]
- Theodorakos, I.; Rueterbories, J.; Lund, M.E.; Andersen, M.S.; De Zee, M.; Kersting, U.G. Ankle Bracing Effects on Knee and Hip Mechanics during Landing on Inclined Surfaces. Int. Biomech. 2016, 3, 22–32. [Google Scholar] [CrossRef]
- Malloy, P.; Morgan, A.; Meinerz, C.; Geiser, C.; Kipp, K. The Association of Dorsiflexion Flexibility on Knee Kinematics and Kinetics during a Drop Vertical Jump in Healthy Female Athletes. Knee Surg. Sports Traumatol. Arthrosc. 2015, 23, 3550–3555. [Google Scholar] [CrossRef] [PubMed]
- Taylor, J.B.; Wright, E.S.; Waxman, J.P.; Schmitz, R.J.; Groves, J.D.; Shultz, S.J. Ankle Dorsiflexion Affects Hip and Knee Biomechanics During Landing. Sports Health 2022, 14, 328–335. [Google Scholar] [CrossRef] [PubMed]








| Measure | Mean | SD | CV% |
|---|---|---|---|
| Plantarflexion-Dorsiflexion (°) | 46.58 | 4.88 | 10.48 |
| Inversion-Eversion (°) | 17.61 | 2.95 | 16.78 |
| FFAdduction-FFAbduction (°) | 10.52 | 1.34 | 12.76 |
| Peak Landing Forces (BWs) | 3.24 | 0.41 | 12.58 |
| Time-to-stabilisation (s) | 1.99 | 0.41 | 20.59 |
Disclaimer/Publisher’s Note: The statements, opinions and data contained in all publications are solely those of the individual author(s) and contributor(s) and not of MDPI and/or the editor(s). MDPI and/or the editor(s) disclaim responsibility for any injury to people or property resulting from any ideas, methods, instructions or products referred to in the content. |
© 2023 by the authors. Licensee MDPI, Basel, Switzerland. This article is an open access article distributed under the terms and conditions of the Creative Commons Attribution (CC BY) license (https://creativecommons.org/licenses/by/4.0/).
Share and Cite
Jolingana-Seoka, T.T.; Hammill, H.V.; Willemse, Y.; Kramer, M. The Relationship between Ankle Joint Kinematics and Impact Forces during Unilateral Jump-Landing Tasks in University-Level Netball Players: A Pilot Study. Appl. Sci. 2023, 13, 9934. https://doi.org/10.3390/app13179934
Jolingana-Seoka TT, Hammill HV, Willemse Y, Kramer M. The Relationship between Ankle Joint Kinematics and Impact Forces during Unilateral Jump-Landing Tasks in University-Level Netball Players: A Pilot Study. Applied Sciences. 2023; 13(17):9934. https://doi.org/10.3390/app13179934
Chicago/Turabian StyleJolingana-Seoka, Thembisile T., Henriëtte V. Hammill, Yolandi Willemse, and Mark Kramer. 2023. "The Relationship between Ankle Joint Kinematics and Impact Forces during Unilateral Jump-Landing Tasks in University-Level Netball Players: A Pilot Study" Applied Sciences 13, no. 17: 9934. https://doi.org/10.3390/app13179934
APA StyleJolingana-Seoka, T. T., Hammill, H. V., Willemse, Y., & Kramer, M. (2023). The Relationship between Ankle Joint Kinematics and Impact Forces during Unilateral Jump-Landing Tasks in University-Level Netball Players: A Pilot Study. Applied Sciences, 13(17), 9934. https://doi.org/10.3390/app13179934

