Prediction of Blade Tip Timing Sensor Waveforms Based on Radial Basis Function Neural Network
Abstract
:1. Introduction
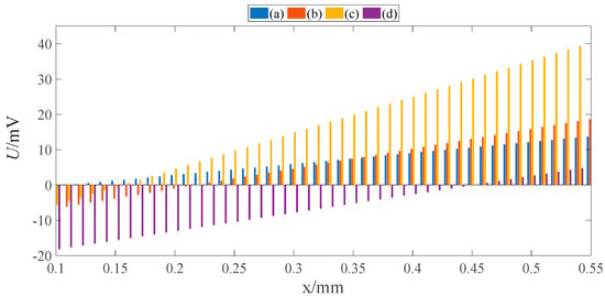
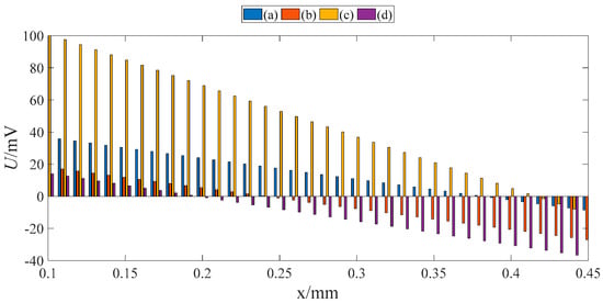
2. Static Calibration of Sensor Waveforms
3. Neural Network Model
3.1. Structure of Neural Network
3.1.1. RBF Neural Network Model
3.1.2. Radial Basis Function Neural Network
3.2. Constructing RBF Neural Network Models for Data Prediction
4. Validating the Prediction Accuracy of RBF Neural Network
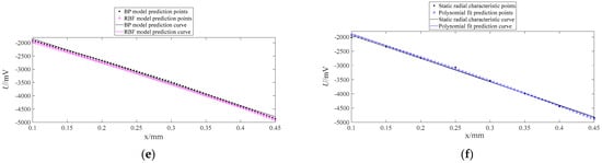
4.1. Predicted Static Radial Characteristic Curve
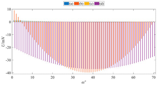
4.2. Predicting Static Circumferential Characteristic Curves
5. Conclusions
Author Contributions
Funding
Institutional Review Board Statement
Informed Consent Statement
Data Availability Statement
Conflicts of Interest
References
- Heller, D.; Sever, I.; Schwingshackl, C.W. Vibration analysis from simulated tip timing sensor signal shape modulation. Proc. Turbo Expo Power Land Sea Air 2018, 51159, V07CT35A001. [Google Scholar]
- Liang, Z.; Qidi, W.; Xin, L. Waveform Prediction of Blade Tip-Timing Sensor Based on Kriging Model and Static Calibration Data. Math. Probl. Eng. 2023, 2023, 9632212. [Google Scholar]
- Yiming, M.; Zhicheng, X.; Hua, O. High-accuracy Experimental Analysis and Correction of Blade Tip Timing Measurement Error. J. Aerosp. Power 2022, 1–13. [Google Scholar] [CrossRef]
- Jian, P.; Bing, L. Application Research on Vibration Frequency and Stress Instrumentation of Compressor Rotor Blades. Gas Turbine Exp. Res. 2003, 16, 10–13. [Google Scholar]
- Bingyu, Y.; Qizhou, L. Experimental Research on Blade Vibration Response at Surge Condition. Gas Turbine Exp. Res. 2002, 15, 31–35. [Google Scholar]
- Sikora, J.P.; Mendenhall, F.T. Holographic vibration study of a rotating propeller blade: Vibration-mode patterns of a rotating propeller can be observed and analyzed by means of an axially symmetric spinning-hologram technique. Exp. Mech. 1974, 14, 230–232. [Google Scholar] [CrossRef]
- Feng, Y.; Zhiyi, L. A Way to Improve Blade Vibration Mode Laser Holographic Image Quality. J. Eng. Therm. Energy Power 1990, 5, 30–32. [Google Scholar]
- Jingyu, H. Research of The Wind Turbin Blade Crack Wireless Monitoring System Based on Acoustic Emission Technologe; Beijing University of Chemical Technology, China Academic Journal Electronic Publishing House: Beijing, China, 2010. [Google Scholar]
- Hangyan, Y.; Zhouqi, L. Simulation of DOPPLER Online Monitoring Technique for Blade Crack Fault. J. Aerosp. Power 1999, 14, 69–73. [Google Scholar]
- Haotian, G.; Fajie, D.; Jilong, Z. Blade resonance parameter identification based on tip-timing method without the once-per revolution sensor. Mech. Syst. Signal Process. 2016, 66, 625–639. [Google Scholar]
- Haotian, G.; Fajie, D.; Meng, W. Engine Order Identification Based on Blade Tip-Timing Single Parameter Method. J. Tianjin Univ. 2016, 49, 951–955. [Google Scholar]
- Yugui, Z. Key Technology Research on Non-Contact Online Monitoring for Fume Turbine Blade Vibration; Tianjin University, China Academic Journal Electronic Publishing House: Tianjin, China, 2008. [Google Scholar]
- Jilong, Z.; Fajie, D.; Guangyue, N. The Preprocessing Method of the Blade Tip-timing Measurement without a Once-per-revolution Sensor and Error Analysis. Acta Metologica Sin. 2018, 39, 498–503. [Google Scholar]
- Yuhua, W. Research of Measuring Method and System Using Tip-Timing for High-Speed Rotating Blade Vibration; Tianjin University, China Academic Journal Electronic Publishing House: Tianjin, China, 2003. [Google Scholar]
- Menglin, L. Research on Fault Diagnosis of Rotating Machinery Rotor with Blade Tip-timing Data; Tianjin University, China Academic Journal Electronic Publishing House: Tianjin, China, 2011. [Google Scholar]
- Tao, O. Rotating Blade Vibration Detection and Parameters Identification Technique Using Blade Tip-Timing; Tianjin University, China Academic Journal Electronic Publishing House: Tianjin, China, 2011. [Google Scholar]
- Changyi, Z. Research on Identification for Vibration Parameters of Rotating Blades Using Blade Tip Timing without the Once-Per Revolution Sensor; National University of Defense Technology, China Academic Journal Electronic Publishing House: Changsha, China, 2017. [Google Scholar]
- Guangya, Z.; Chongyu, W.; Wei, Z.; Yonghui, X.; Ding, G.; Di, Z. Blade Crack Diagnosis Based on Blade Tip Timing and Convolution Neural Networks. Appl. Sci. 2023, 13, 1102. [Google Scholar]
- Jiahui, C.; Zhibo, Y.; Guangrong, T.; Shaohua, T.; Guoyong, Y.; Xuefeng, C. Spatial transformation of general sampling-aliasing frequency region for rotating-blade parameter identification with emphasis on single-probe blade tip-timing measurement. Chin. J. Aeronaut. 2023, 36, 220–240. [Google Scholar]
- Sanqun, R.; Xiaorong, X.; Qingjun, Z.; Weimin, W.; Wei, Z.; Chuanlin, Z. Multi-probe linear fitting and time of arrival linear correction method to analyze blade vibration based on blade tip timing without once-per-revolution. Chin. J. Aeronaut. 2023, 36, 290–310. [Google Scholar]
- Jiwang, Z.; Laibin, Z.; Lixiang, D. A blade defect diagnosis method by fusing blade tip timing and tip clearance information. Sensors 2018, 18, 2166. [Google Scholar]
- Lalonde, E.R.; Vischschraper, B.; Bitsuamlak, G.; Kaoshan, D. Comparison of neural network types and architectures for generating a surrogate aerodynamic wind turbine blade model. J. Wind Eng. Ind. Aerodyn. 2021, 216, 104696. [Google Scholar] [CrossRef]
- Reddy, R.R.K.; Ganguli, R. Structural damage detection in a helicopter rotor blade using radial basis function neural networks. Smart Mater. Struct. 2003, 12, 232. [Google Scholar] [CrossRef]
- Shengjie, H.; Zhuwei, Z.; Qi, L. Design for BTT missile controller base on the RBF neural networks. In Proceedings of the 2007 Chinese Control Conference, Zhangjiajie, China, 26–31 July 2007; pp. 91–95. [Google Scholar]
- Yuepeng, B.; Wenping, S.; Zhonghua, H.; Yu, Z.; Liang, Z. Aerodynamic/aeroacoustic variable-fidelity optimization of helicopter rotor based on hierarchical Kriging model. Chin. J. Aeronaut. 2020, 33, 476–492. [Google Scholar]
- Zhonghua, H.; Görtz, S. Hierarchical kriging model for variable-fidelity surrogate modeling. AIAA J. 2012, 50, 1885–1896. [Google Scholar]
- Bailly, J.; Bailly, D. Multifidelity aerodynamic optimization of a helicopter rotor blade. AIAA J. 2019, 57, 3132–3144. [Google Scholar] [CrossRef]
- Likeng, H.; Zhenghong, G.; Dehu, Z. Research on multi-fidelity aerodynamic optimization methods. Chin. J. Aeronaut. 2013, 26, 279–286. [Google Scholar]
- Ariyarit, A.; Sugiura, M.; Yasutada, T.; Kanazaki, M. Hybrid surrogate-model-based multi-fidelity efficient global optimization applied to helicopter blade design. Eng. Optim. 2018, 50, 1016–1040. [Google Scholar] [CrossRef]
- Qiheng, L. Artificial Neural Network and Its Application in the Field of Mechanical Engineering. Mod. Ind. Econ. Inf. 2023, 13, 145–147. [Google Scholar]
- Armanto, H.; Santoso, J.; Giovanni, D.; Kurniawan, F.; Yudianto, R.J.P.-S.; Sciences, B. Evolutionary Neural Network for Othello Game. Procedia-Soc. Behav. Sci. 2012, 57, 419–425. [Google Scholar]
- Chen, W. Analysis of Learning Step of Adaptive MP Neurons in Continuous Case. J. East China Shipbuild. Inst. 1998, 12, 36–40. [Google Scholar]
- Mohammadi, M.; Krishna, A.; Nalesh, S.; Nandy, S. A hardware architecture for radial basis function neural network classifier. IEEE Trans. Parallel Distrib. Syst. 2017, 29, 481–495. [Google Scholar] [CrossRef]






















| Method | General Introduction and Causes of Development |
|---|---|
| Strain gauge method | The contact measurement method directly reflects the magnitude of the strain at the affixed position; however, it is constrained by the high-speed airflow scouring caused by the high-speed rotation of the blade rotor, dynamic balance and other issues, and there are greater requirements for the installation of the strain gauges and wires. |
| Frequency modulation method | Utilizing frequency modulation grids for frequency modulation of vibration signals according to the principle of electromagnetic induction has played a positive role in the development of early rotating blade vibration detection technology, but magnets embedded in the tip of the blade change the vibration characteristics of the blade, so this method is difficult to popularize and apply. |
| Laser holography | The holographic irradiation is used to measure the blade vibration, which has the advantages of intuition, full-field accuracy, and allows for the measurement of very small amplitudes, but it is more demanding in terms of blade vibration mode, making it suitable for laboratory work only. |
| Acoustic response method | Monitoring of blades in real time is based on the Doppler effect of the acoustic signals generated by the blades, where background noise will cause serious interference with the signals, and the mechanical noise cannot be filtered out. |
| Blade Tip Timing | The blade’s elapsed time is measured by the BTT sensor on the magazine, with different BTT processing algorithms for the blade vibration detection signal arrival time of the overrun or hysteresis processing, to obtain the blade vibration information, which is the hot spot of the current non-contact blade vibration detection technology. |
| Sample Points | RBF NN | Kriging Model |
|---|---|---|
| 327 data points | Neurons = 44, MSE = 12.9223 Neurons = 48, MSE = 1.36114 Neurons = 108, MSE = 1.9125 × 10−9 | MSE = 9.2249 × 10−11 |
| 654 data points | Neurons = 46, MSE = 10.4189 Neurons = 52, MSE = 1.53358 Neurons = 109, MSE = 1.20741 × 10−10 | MSE = 2.1877 × 10−10 |
| 872 data points | Neurons = 56, MSE = 8.25402 Neurons = 64, MSE = 1.00306 Neurons = 109, MSE = 2.84326 × 10−19 | MSE = 2.6446 × 10−10 |
| 1090 data points | Neurons = 65, MSE = 9.94967 Neurons = 73, MSE = 1.08635 Neurons = 109, MSE = 1.31676 × 10−23 | MSE = 3.0617 × 10−10 |
Disclaimer/Publisher’s Note: The statements, opinions and data contained in all publications are solely those of the individual author(s) and contributor(s) and not of MDPI and/or the editor(s). MDPI and/or the editor(s) disclaim responsibility for any injury to people or property resulting from any ideas, methods, instructions or products referred to in the content. |
© 2023 by the authors. Licensee MDPI, Basel, Switzerland. This article is an open access article distributed under the terms and conditions of the Creative Commons Attribution (CC BY) license (https://creativecommons.org/licenses/by/4.0/).
Share and Cite
Zhang, L.; Chen, C.; Xia, Y.; Song, Q.; Cao, J. Prediction of Blade Tip Timing Sensor Waveforms Based on Radial Basis Function Neural Network. Appl. Sci. 2023, 13, 9838. https://doi.org/10.3390/app13179838
Zhang L, Chen C, Xia Y, Song Q, Cao J. Prediction of Blade Tip Timing Sensor Waveforms Based on Radial Basis Function Neural Network. Applied Sciences. 2023; 13(17):9838. https://doi.org/10.3390/app13179838
Chicago/Turabian StyleZhang, Liang, Cong Chen, Yiming Xia, Qingxi Song, and Junjun Cao. 2023. "Prediction of Blade Tip Timing Sensor Waveforms Based on Radial Basis Function Neural Network" Applied Sciences 13, no. 17: 9838. https://doi.org/10.3390/app13179838
APA StyleZhang, L., Chen, C., Xia, Y., Song, Q., & Cao, J. (2023). Prediction of Blade Tip Timing Sensor Waveforms Based on Radial Basis Function Neural Network. Applied Sciences, 13(17), 9838. https://doi.org/10.3390/app13179838

