Finite-Time Adaptive Dynamic Surface Asymptotic Tracking Control of Uncertain Multi-Agent Systems with Unknown Control Gains
Abstract
:1. Introduction
- A nonlinear compensating term with the estimation of an unknown bounded parameter is designed to avoid repeated differentiation of each virtual control law. Furthermore, a class of first-order nonlinear filters is designed to overcome the issue of “explosion of complexity”. This consideration simplifies the analysis process compared with [26,31].
- An adaptive neural network finite-time dynamic surface control law is constructed to solve the finite-time asymptotic tracking control of given multi-agent systems. It is proven that all signals of the closed-loop system are semi-global practical finite-time stable, and by selecting appropriate design parameters, the tracking error of each follower agent can converge to a small neighborhood of zero in a finite time.
2. Preliminaries and Problem Description
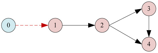
2.1. Graph Theory
2.2. Radial Basis Function Neural Network
2.3. Problem Description
2.4. Useful Lemmas
3. Control Law Design and Stability Analysis
3.1. Adaptive Neural Network Finite-Time Dynamic Surface Control Law Design
3.2. Stability Analysis
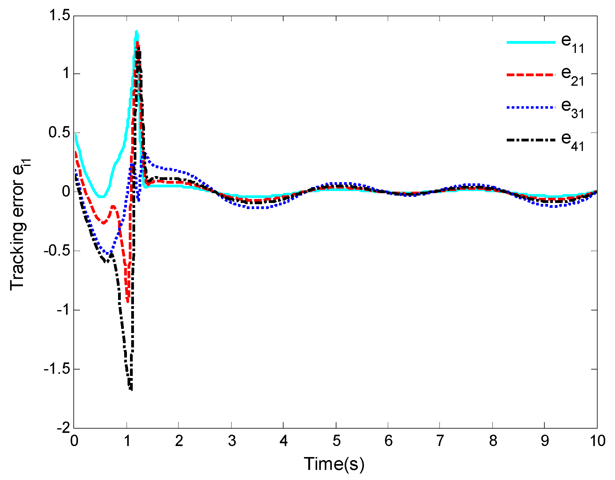
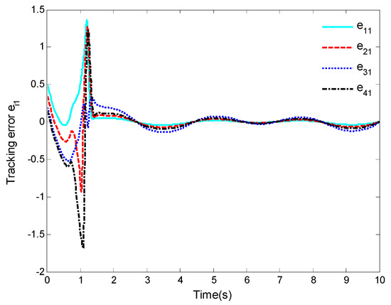
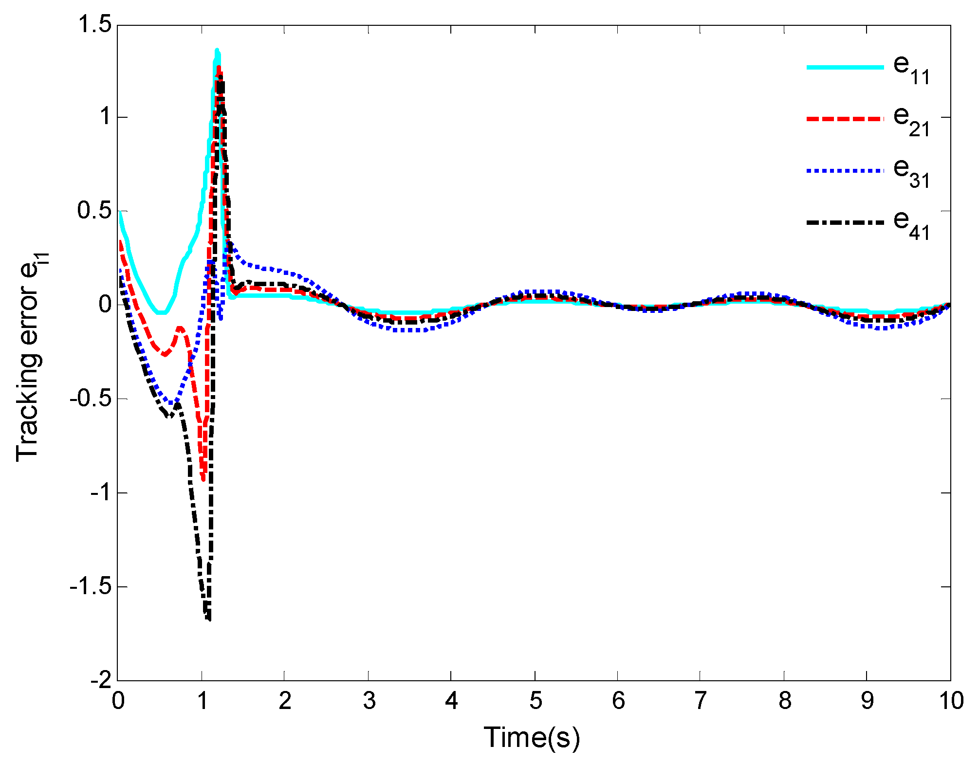
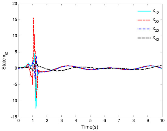
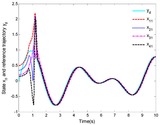
4. Simulation Example
5. Conclusions
Author Contributions
Funding
Institutional Review Board Statement
Informed Consent Statement
Data Availability Statement
Conflicts of Interest
References
- Zhang, P.; Xue, H.; Gao, S.; Zhang, J. Distributed adaptive consensus tracking control for multi-agent system with communication constraints. IEEE Trans. Parallel Distrib. Syst. 2021, 32, 1293–1306. [Google Scholar] [CrossRef]
- Wu, Y.; Liu, L. Distributed average tracking for linear heterogeneous multi-agent systems with external disturbances. IEEE Trans. Netw. Sci. Eng. 2021, 8, 3491–3500. [Google Scholar] [CrossRef]
- Zhang, S.; Li, Z.; Wang, X. Robust H2 consensus for multi-agent systems with parametric uncertainties. IEEE Trans. Circuits Syst. II Express Briefs 2021, 68, 2473–2477. [Google Scholar]
- Ai, J.; Yu, J. Event-triggered H∞ leader-follower consensus for nonlinear multi-agent systems with fixed and switching network topologies. J. Frankl. Inst. 2023, 360, 1792–1816. [Google Scholar] [CrossRef]
- Liu, Y.; Liu, Z. Distributed adaptive formation control of multi-agent systems with measurement noises. Automatica 2023, 150, 110857. [Google Scholar] [CrossRef]
- Chang, S.; Wang, Y.; Zuo, Z. Fixed-time formation-containment control for uncertain multi-agent systems with varying gain extended state observer. Inf. Sci. 2022, 612, 759–779. [Google Scholar] [CrossRef]
- Wu, J.; Yuan, S.; Ji, S.; Zhou, G.; Wang, Y.; Wang, Z. Multi-agent system design and evaluation for collaborative wireless sensor network in large structure health monitoring. Expert Syst. Appl. 2010, 37, 2028–2036. [Google Scholar] [CrossRef]
- He, S.; Xu, Y.; Wu, Y.; Li, Y.; Zhong, W. Adaptive consensus tracking of multi-robotic systems via using integral sliding mode control. Neurocomputing 2021, 455, 154–162. [Google Scholar] [CrossRef]
- Zhang, B.; Sun, X.; Lv, M.; Liu, S.; Li, L. Distributed adaptive fixed-time fault-tolerant control for multiple 6-dof uavs with full-state constraints guarantee. IEEE Syst. J. 2022, 16, 4792–4803. [Google Scholar] [CrossRef]
- Zhang, B.; Sun, X.; Liu, S.; Lv, M.; Deng, X. Event-triggered adaptive fault-tolerant synchronization tracking control for multiple 6-DOF fixed-wing UAVs. IEEE Trans. Veh. Technol. 2022, 71, 148–161. [Google Scholar] [CrossRef]
- Choi, Y.H.; Yoo, S.J. Neural-network-based distributed asynchronous event-triggered consensus tracking of a class of uncertain nonlinear multi-agent systems. IEEE Trans. Neural Netw. Learn. Syst. 2022, 33, 2965–2979. [Google Scholar] [CrossRef]
- Kang, J.; Guo, G.; Yang, G. Distributed optimization of uncertain multiagent systems with disturbances and actuator faults via exosystem observer-based output regulation. IEEE Trans. Circuits Syst. I Regul. Pap. 2023, 70, 897–909. [Google Scholar] [CrossRef]
- Back, J.; Kim, J.-S. Output feedback practical coordinated tracking of uncertain heterogeneous multi-agent systems under switching network topology. IEEE Trans. Autom. Control 2017, 62, 6399–6406. [Google Scholar] [CrossRef]
- Li, Z.; Gao, L.; Chen, W.; Xu, Y. Distributed adaptive cooperative tracking of uncertain nonlinear fractional-order multi-agent systems. IEEE/CAA J. Autom. Sin. 2020, 7, 292–300. [Google Scholar] [CrossRef]
- Wang, L.; Dong, J. Adaptive fuzzy consensus tracking control for uncertain fractional-order multiagent systems with event-triggered input. IEEE Trans. Fuzzy Syst. 2022, 30, 310–320. [Google Scholar] [CrossRef]
- Huang, Y. Adaptive consensus for uncertain multi-agent systems with stochastic measurement noises. Commun. Nonlinear Sci. Numer. Simul. 2023, 120, 107156. [Google Scholar] [CrossRef]
- Xiao, G.; Wang, J.; Shen, D. Adaptive fixed-time consensus for stochastic multi-agent systems with uncertain actuator faults. ISA Trans. 2023, 137, 369–378. [Google Scholar] [CrossRef]
- Altan, A.; Hacioglu, R. Model predictive control of three-axis gimbal system mounted on UAV for real-time target tracking under external disturbances. Mech. Syst. Signal Process. 2020, 138, 106548. [Google Scholar] [CrossRef]
- Belge, E.; Altan, A.; Hacıoğlu, R. Metaheuristic optimization-based path planning and tracking of quadcopter for payload hold-release mission. Electronics 2022, 11, 1208. [Google Scholar] [CrossRef]
- Altan, A. Performance of metaheuristic optimization algorithms based on swarm intelligence in attitude and altitude control of unmanned aerial vehicle for path following. In Proceedings of the 2020 4th International Symposium on Multidisciplinary Studies and Innovative Technologies (ISMSIT), Istanbul, Turkey, 22–24 October 2020. [Google Scholar]
- Cruz-Ortiz, D.; Chairez, I.; Poznyak, A. Sliding-mode control of full-state constraint nonlinear systems: A barrier lyapunov function approach. IEEE Trans. Syst. Man Cybern. Syst. 2022, 52, 6593–6606. [Google Scholar] [CrossRef]
- Yang, Z.; Zhang, H. A fuzzy adaptive tracking control for a class of uncertain strick-feedback nonlinear systems with dead-zone input. Neurocomputing 2018, 272, 130–135. [Google Scholar] [CrossRef]
- Aslmostafa, E.; Ghaemi, S.; Badamchizadeh, M.A.; Ghiasi, A.R. Adaptive backstepping quantized control for a class of unknown nonlinear systems. ISA Trans. 2022, 125, 146–155. [Google Scholar] [CrossRef] [PubMed]
- Zhao, X.; Wang, X.; Zhang, S.; Zong, G. Adaptive neural backstepping control design for a class of nonsmooth nonlinear systems. IEEE Trans. Syst. Man Cybern. Syst. 2019, 49, 1820–1831. [Google Scholar] [CrossRef]
- Deng, X.; Wang, J. Fuzzy-based adaptive dynamic surface control for a type of uncertain nonlinear system with unknown actuator faults. Mathematics 2022, 10, 1624. [Google Scholar] [CrossRef]
- Deng, X.; Zhang, C.; Ge, Y. Adaptive neural network dynamic surface control of uncertain strict-feedback nonlinear systems with unknown control direction and unknown actuator fault. J. Frankl. Inst. 2022, 359, 4054–4073. [Google Scholar] [CrossRef]
- Baigzadehnoe, B.; Rahmani, Z.; Khosravi, A.; Rezaie, B. Adaptive decentralized fuzzy dynamic surface control scheme for a class of nonlinear large-scale systems with input and interconnection delays. Eur. J. Control 2020, 54, 33–48. [Google Scholar] [CrossRef]
- Zhang, T.; Lin, M.; Xia, X.; Yi, Y. Adaptive cooperative dynamic surface control of non-strict feedback multi-agent systems with input dead-zones and actuator failures. Neurocomputing 2021, 442, 48–63. [Google Scholar] [CrossRef]
- Shi, X.; Lu, J.; Li, Z.; Xu, S. Robust adaptive distributed dynamic surface consensus tracking control for nonlinear multi-agent systems with dynamic uncertainties. J. Frankl. Inst. 2016, 353, 4785–4802. [Google Scholar] [CrossRef]
- Yang, Y.; Qian, Y. Event-trigger-based recursive sliding-mode dynamic surface containment control with nonlinear gains for nonlinear multi-agent systems. Inf. Sci. 2021, 560, 202–216. [Google Scholar] [CrossRef]
- Shojaei, F.; Arefi, M.M.; Khayatian, A.; Karimi, H.R. Observer-based fuzzy adaptive dynamic surface control of uncertain nonstrict feedback systems with unknown control direction and unknown dead-zone. IEEE Trans. Syst. Man Cybern. Syst. 2019, 49, 2340–2351. [Google Scholar] [CrossRef]
- Deng, X.; Zhang, X. Adaptive fuzzy tracking control of uncertain nonlinear multi-agent systems with unknown control directions and a dead-zone fault. Mathematics 2022, 10, 2655. [Google Scholar] [CrossRef]
- Rezaee, H.; Abdollahi, F. Adaptive leaderless consensus control of strict-feedback nonlinear multiagent systems with unknown control directions. IEEE Trans. Syst. Man Cybern. Syst. 2021, 51, 6435–6444. [Google Scholar] [CrossRef]
- Lin, Z.; Liu, Z.; Zhang, Y.; Chen, C.L.P. Command filtered neural control of multi-agent systems with input quantization and unknown control direction. Neurocomputing 2021, 430, 47–57. [Google Scholar] [CrossRef]
- Lv, M.; Yu, W.; Cao, J.; Baldi, S. Consensus in high-power multiagent systems with mixed unknown control directions via hybrid Nussbaum-based control. IEEE Trans. Cybern. 2022, 52, 5184–5196. [Google Scholar] [CrossRef] [PubMed]
- Psillakis, H.E. Adaptive NN cooperative control of unknown nonlinear multiagent systems with communication delays. IEEE Trans. Syst. Man Cybern. Syst. 2021, 151, 5311–5321. [Google Scholar] [CrossRef]
- Ma, J.; Xu, S.; Ma, Q.; Zhang, Z. Event-triggered adaptive neural network control for nonstrict-feedback nonlinear time-delay systems with unknown control directions. IEEE Trans. Neural Netw. Learn. Syst. 2020, 31, 4196–4205. [Google Scholar] [CrossRef]
- Zhou, Y.; Wang, X. Adaptive fuzzy command filtering control for nonlinear MIMO systems with full state constraints and unknown control direction. Neurocomputing 2022, 493, 474–485. [Google Scholar] [CrossRef]
- Yuan, F.; Ma, Y.; Liu, Y.; Lan, J.; Xu, T. Adaptive distributed tracking control for non-affine multi-agent systems with state constraints and dead-zone input. J. Frankl. Inst. 2022, 359, 352–370. [Google Scholar] [CrossRef]
- Heshmati-Alamdari, S.; Nikou, A.; Dimarogonas, D.V. Robust trajectory tracking control for underactuated autonomous underwater vehicles in uncertain environments. IEEE Trans. Autom. Sci. Eng. 2021, 18, 1288–1301. [Google Scholar] [CrossRef]
- Zhang, P.; Xue, H.; Gao, S.; Zuo, X.; Zhang, J. Finite-time adaptive cooperative fault-tolerant control for multi-agent system with hybrid actuator faults. IEEE Syst. J. 2022, 16, 3590–3601. [Google Scholar] [CrossRef]
- Wu, J.; Chen, X.; Zhao, Q.; Li, J.; Wu, Z. Adaptive neural dynamic surface control with prespecified tracking accuracy of uncertain stochastic nonstrict-feedback systems. IEEE Trans. Cybern. 2022, 52, 3408–3421. [Google Scholar] [CrossRef] [PubMed]
- Wang, G.; Wang, C.; Cai, X. Consensus control of output-constrained multiagent systems with unknown control directions under a directed graph. Int. J. Robust Nonlinear Control 2020, 30, 1802–1818. [Google Scholar] [CrossRef]
- Fan, D.; Zhang, X.; Liu, S.; Chen, X. Distributed control for output-constrained nonlinear multi-agent systems with completely unknown non-identical control directions. J. Frankl. Inst. 2021, 358, 8270–8287. [Google Scholar] [CrossRef]










Disclaimer/Publisher’s Note: The statements, opinions and data contained in all publications are solely those of the individual author(s) and contributor(s) and not of MDPI and/or the editor(s). MDPI and/or the editor(s) disclaim responsibility for any injury to people or property resulting from any ideas, methods, instructions or products referred to in the content. |
© 2023 by the authors. Licensee MDPI, Basel, Switzerland. This article is an open access article distributed under the terms and conditions of the Creative Commons Attribution (CC BY) license (https://creativecommons.org/licenses/by/4.0/).
Share and Cite
Deng, X.; An, C. Finite-Time Adaptive Dynamic Surface Asymptotic Tracking Control of Uncertain Multi-Agent Systems with Unknown Control Gains. Appl. Sci. 2023, 13, 9552. https://doi.org/10.3390/app13179552
Deng X, An C. Finite-Time Adaptive Dynamic Surface Asymptotic Tracking Control of Uncertain Multi-Agent Systems with Unknown Control Gains. Applied Sciences. 2023; 13(17):9552. https://doi.org/10.3390/app13179552
Chicago/Turabian StyleDeng, Xiongfeng, and Chaocheng An. 2023. "Finite-Time Adaptive Dynamic Surface Asymptotic Tracking Control of Uncertain Multi-Agent Systems with Unknown Control Gains" Applied Sciences 13, no. 17: 9552. https://doi.org/10.3390/app13179552
APA StyleDeng, X., & An, C. (2023). Finite-Time Adaptive Dynamic Surface Asymptotic Tracking Control of Uncertain Multi-Agent Systems with Unknown Control Gains. Applied Sciences, 13(17), 9552. https://doi.org/10.3390/app13179552
