Next Article in Journal
Differentiated Content Acquisition Integrating Network Coding and Edge Computing for Industrial Internet
Previous Article in Journal
Arbitrary-Order Sensitivity Analysis of Eigenfrequency Problems with Hypercomplex Automatic Differentiation (HYPAD)
 
 
Font Type:
Arial Georgia Verdana
Font Size:
Aa Aa Aa
Line Spacing:
Column Width:
Background:
Article

Model for Evaluating the Effectiveness of Cargo Operation Strategy in an Inland Container Terminal

1
Faculty of Mechanical Engineering, Wroclaw University of Science and Technology, 50-370 Wrocław, Poland
2
Faculty of Transport and Traffic Sciences, University of Zagreb, 10000 Zagreb, Croatia
*
Author to whom correspondence should be addressed.
Appl. Sci. 2023, 13(12), 7127; https://doi.org/10.3390/app13127127
Submission received: 7 April 2023 / Revised: 31 May 2023 / Accepted: 6 June 2023 / Published: 14 June 2023

Abstract

The paper discusses the issue of unproductivity during the implementation of operations in inland container terminals. The authors hypothesize that the two main factors influencing the number of unproductive manipulations are the adopted operating strategy and the occupancy level of the storage yard. The presented model classifies the operation time and the waiting time for container handling separately, and also compares the impact of the terminal storage occupancy and selected strategies on the handling time. Based on the collected data, the impact of the number of occupied storage places and the frequency of repetition of operations on the average time of handling a freight unit are simulated. It is noticed that increasing the occupancy of the terminal area above 35% results in a significant increase in the frequency of repetition of operations. In the case of terminal area occupancy of about 50%, the average waiting time for service and the service of a freight unit itself may vary significantly, depending on the adopted strategies for the implementation of operations.

1. Introduction

Intermodal transport, assuming the transporting freight units use at least two transport modes, is considered one of the most demanding logistics processes and the most important transport means of the future. Simultaneously coordinating the activities of numerous transport process participants may be a challenge. When time is significant in process implementation, punctuality takes a particular place. Researchers assessing the functionality of intermodal transport systems usually focus on transport over longer distances; hence, sea freight draws a lot of attention. Intermodal transport systems have gained popularity in recent years due to their ability to provide efficient, safe, and cost-effective transportation of goods. When assessing the functionality of intermodal transport systems, researchers typically focus on longer distances because this is where the benefits of intermodal transportation are most significant. For example, when goods are transported over long distances, using multiple modes of transportation can help to reduce the overall transportation time and cost, as well as increase reliability and flexibility [1,2,3].
Sea freight is one of the most important modes of transportation for intermodal transport systems, especially for longer distances. This is because sea freight offers a cost-effective and efficient way to transport large quantities of goods over long distances. Additionally, it is a relatively safe mode of transportation with a low risk of accidents compared to other modes such as road transportation [4,5]. Inland intermodal terminals, which handle two transport modes, are slightly less addressed in the scientific literature. Meanwhile, even these smallest transshipment points constitute an inherent link connecting different modes of transport. They are required to operate effectively and follow a schedule. Increasing the efficiency or effectiveness of intermodal terminals is an issue that is developed mainly through solutions offered in operational studies. In most cases, issues related to container yard management come down to NP-hard problems, hence so many studies present different types of heuristics aimed at improving operation results [3,6].
The issue of the intermodal terminals’ effectiveness modeling is based, among others, on the allocation problem or assigning tasks to terminal equipment. When looking more thoroughly into this field, papers have been associated with work organization to minimize energy consumption (searching for the shortest travel route), work organization towards reducing operation time, balancing the number of tasks related to the equipment, etc. Port operations are the most common subject of analysis; however, the available literature also focuses on publications on rail and road terminals. From a practical standpoint, solutions developed for ports should also work with inland terminals, provided they are organized in a similar manner. The approach that prevails in the available literature takes into account a specific single operation, e.g., unloading containers from a carriage or only the loading of containers onto a carriage. Such studies do not research land unit flow as a logistics flow with its consequences. The fact of an issue being solved in one place by applying a specific operation strategy will not be an obstacle in the subsequent terminal. While this does not matter in the case of storage yards with minor potential utilization, it should be stressed that the level of storage spot utilization can dynamically vary in the context of much smaller inland terminals. For example, a terminal with a storage capacity of 1500 containers which handles two container trains per day means accepting approximately 60–80 containers by rail transport, their release by road transport, their re-acceptance, and probable dispatch of approximately 60–80 containers. The cargo also needs to be prepared for release, whether by rail or road transport, and unproductive manipulations (operations) of containers at the storage yard are conducted. The number of unproductive manipulations is an obvious economic and operational burden to the terminal. It also has further consequences in the form of increased intensity of requests to a transshipment system. The greater the unproductivity, the larger the terminal equipment workload, and the longer the waiting time for executing productive manipulations.
“Unproductivity” in a container terminal refers to a situation where the inland container terminal is not functioning at its maximum efficiency, resulting in a lower level of productivity. This can occur due to various reasons, such as delays in loading and unloading cargo, equipment breakdowns, inefficient workflow processes, or inadequate staffing [7,8,9]. The cause of loading or unloading delays may be the wrong task execution strategy. When a container terminal experiences unproductivity, congestion and delays may occur, which can have a ripple effect on the entire supply chain. For example, delayed loading and unloading of cargo can cause trains to miss their scheduled departure times, resulting in further delays and increased costs for transportation companies and cargo owners [10].
The authors of this paper put forward a hypothesis that there are two main factors impacting the number of unproductive manipulations:
  • adopted operational strategy,
  • storage yard occupancy level.
A method to avoid unproductivity in the context of container terminals is adopting an appropriate operational strategy and consciously approaching the issue of repeating container operations arising from storage yard occupancy. The objective of the paper is to indicate that the change in storage position occupancy directly influences timely schedule implementation. The analysis is based on the same operational strategy of changing storage yard occupancy. The paper has been developed as follows:
  • the methods for eliminating unproductive manipulations have been discussed,
  • previous conclusions associated with the correlation between the number of occupied positions in container yards and the number of unproductive manipulations have been considered,
  • the issue related to waiting time in the light of the queuing theory has also been researched.
Next, the authors discuss a freight unit handling model with a mathematical description of a selected part of this process. The paper presents computation assumptions arising from actual data and discusses the practical importance of storage position occupancy in the context of the possibility to handle a specific number of freight units. The graph method is used when defining the model, and computations are performed using the mass service theory. The paper ends with conclusions.

2. Handling Loading Units in an Intermodal Handling Transshipment

Container transshipment takes place at container terminals. In a broader sense, a terminal handling intermodal freight units is a loading point that deals with handling specific freight units. A loading point is a place where the handling of different means of transport is conducted [11]. The basic purpose of a container terminal is ensuring that the appropriate equipment and human and organizational resources efficiently serve freight units. Loading and unloading of railway carriages should be conducted in compliance with the provisions in railway regulations on the loading service of freight carriages set out in the “Regulations on mutual use of freight carriages in international communication” or RIV (Regolamento Internazionale Veicoli) and the “Regulations on mutual use of passenger and luggage carriages” or RIC (Regolamento Internazionale Carozzi), and in compliance with the instructions on handling loading stations.
Both the RIV and RIC regulations do not refer to monitoring the efficiency of transshipment operations. They set out conditions for safe cargo handling. More often, internal procedures of container terminals refer to the manner of performing operations over a freight unit, which are usually divided into:
  • collection from a railway carriage,
  • loading onto a railway carriage,
  • deposition within the storage yard space,
  • collection from a storage yard,
  • loading onto road means of transport,
  • collection from road means of transport.
The literature associated with reducing unproductive manipulations at intermodal terminals includes the following issues considered by the authors:
  • assignment of a storage place and container translocation within a terminal,
  • assignment of equipment for executing container operations (in various transshipment relations).

2.1. Assignment of a Storage Position and Container Translocation within a Terminal

The assignment of storage position to container units is called allocation, and the potential change in the storage location is called translocation. The imperfect container storage position allocation results in the need to rearrange them. Such operations are unproductive since they require the involvement of various resources (equipment, people, time, energy) and do not bring financial or technical benefits. As noted in [12], up to 60% of moves at a sea terminal can be unproductive, which was demonstrated on a terminal with an approximately 50% occupancy of storage position. The main reason for such a high unproductivity value is the lack of information on the planned date of releasing containers to the recipient. Therefore, the level of load arrangement planning at a terminal should be improved wherever possible to limit the number of unproductive manipulations. At the same time, the authors noted that increasing the percentage share of occupied positions leads to an increase in unproductive manipulations.
The authors of [13] analyzed four approaches associated with achieving higher operational effectiveness at a storage yard. Solutions from [14,15,16] were compared. Having information on the time of container pick-up by a truck is a significant simplification in the case of heuristics proposed in [15,17].
The strategy suggested in [18] refers to unloading containers delivered to the port by ships. The authors proposed three approaches to modeling the request stream: regular, cyclic, and dynamic, with several dozen cases discussed for them. All cases assume that the average space occupancy was 60–70% or 20–30% of the maximum storage yard capacity.
In paper [19], the authors proposed a flexible yard template strategy for storage yard management in container terminals as an alternative to the fixed yard template strategy. An integrated optimization model was formulated to simultaneously consider space allocation and yard crane deployment for tactical yard management. However, the current model has limitations, especially when solving problems on a large scale. In paper [20], a yard-sharing strategy that utilizes surplus space in dry ports to alleviate container congestion was presented. A multiple-objective mixed integer programming model was formulated to optimize container storage space allocation between the terminal and dry port. The authors used the NSGA-II algorithm with the elitist strategy to solve the problem. Results show that yard sharing significantly improves performance compared to random stacking and traditional strategies. However, the current model has limitations, and further research is needed to consider mixed inbound and outbound containers, time window constraints, and the scalability of the algorithm. In [21], the allocation involved assigning containers to a yard block and providing them with specific positions within the selected block. A generic algorithm was used to solve the problem, and the objective was to limit the costs of unproductive moves. Computations were performed for two rows at the storage yard. This is a great simplification, and the method introduces significant differences from actual storage positions. The authors of [22] developed and tested strategies that can reduce unproductive crane manipulations during the loading process, hence shortening the total container loading time. They proposed the idea of using a buffer zone, where a certain number of empty chassis for transporting cargo to the main zone is used for the temporary storage of export containers. The authors also developed a simulation model to study the impact of a buffer area on port operations. The conclusion was that indirect storage was effective since it led to the shortening of the total loading time by an average of 4%. According to the authors, the method can be implemented at any container port. The authors of [23] analyzed the impact of transshipment equipment on work effectiveness. They discussed various technologies that can be employed to serve a container terminal and described their impact on terminal arrangement (container trucks, gantry cranes, RTG cranes). They also defined various container terminal arrangement categories and attempted to select appropriate handling machines. However, they failed to mention the problem associated with the non-productivity of the moves related to container translocation.
The relocation operations at container (CRP) yards were analyzed in [24]. The paper presented a beam search (BS) algorithm combined with heuristics to tackle the CRP. The proposed BS algorithm was compared to other heuristics in benchmark tests, showing compatibility and the ability to find quality solutions quickly. In paper [25], the authors suggested some solutions in the area of quay crane scheduling and yard operations, as well as [26,27,28]. Those studies are focused on one of the major challenges in container terminals and applied simulation and optimization methods. The authors mentioned that further work is mostly related to improving models by limiting the boundaries and the planning of other resources such as berth allocation and quay crane assignment. The issue of storage space shape was addressed in [29]. The authors concluded that there was a difference between the times of certain operation sequences (container collection time, registration at the gate), which is a condition in considering container allocation. In the paper, allocating storage position according to storage operation time minimization is an allocation method. However, the authors did not address the need to translocate cargo within the terminal. Similarly, the authors of [30] strived to minimize energy consumption, focusing only on a single operation and not their sequence.
An allocation method combined with using the sequences of the conducted operation was employed in [31]. In this case, we are dealing with a heuristic method, which involves assigning values to individual freight units, determining vehicle routes within a terminal, and defining the sequence of task execution to reduce the number of moves and shorten train unloading operation time. This approach presumes that train handling is the sum of the times of single operations, thus, each operation impacts the result achieved. Its weakness is the lack of simulation computations for various variants, which would confirm the method’s effectiveness.
In paper [32], the DEA method proved effective for evaluating the technological efficiency of port container terminals. To enhance the reliability of the DEA method, a sufficient number of input parameters are supposed to be analyzed. The analysis considered macroeconomic factors (such as labor costs and transport infrastructure quality) and social factors (including demographics and employee qualifications). Additionally, comparing a large number of terminals is recommended, with the number of entities analyzed being approximately 3–5 times greater than the total number of input and output parameters.
The problem was also addressed in [33,34,35,36]. These studies examined the energy-saving potential of installing roof shades over reefer containers in container terminals. The simulations revealed that roof shades effectively reduce thermal energy from solar radiation, resulting in approximately 9% energy savings during the day.
In the context of research on assigning positions to freight units, the terms “optimal” or “efficient” action plan can be interpreted in various ways, specifically as
  • conducting work in a way that ensures the shortest possible operation time when handling freight units by equipment (including minimizing energy and fuel consumption, shortening operations to enable the handling of a larger number of units in a given time),
  • shortening the handling time of units towards the vehicles,
  • maximizing or evenly utilizing the surface of the storage yard (striving to even out the height of intermodal unit stacks, equalizing loading operation times),
  • limiting the number of unproductive operations (modifying the execution of operations that may not result in the shortest handling of freight units during a single operation, but contribute to a shorter overall terminal working time).
Terminal operations can be divided into those related to unloading, warehousing, equipment scheduling, gate handling, and railway forwarding, but none of these areas are treated separately. The authors do not consider how the effect of rationalizing actions in one area can complicate (or simplify) operations in the next stage of terminal handling.
Issues of minimizing cargo handling energy expenditure are presented in publications [14,17,23,28,29,30]. The main context of minimizing energy consumption of equipment is shown in [14,18,22,35,36,37]. Increasing container terminal efficiency by limiting the number of manipulations is proposed in [14,15,18,22,24,25,26].
Container terminal efficiency understood as balancing workload is visible in [12,15,23,36,38,39]. Ways to increase productivity by decreasing task lead time are presented in [14,18,22,25,32,33,34,37,40,41] and by maximizing position utilization in publications [40,41].
Most publications are related to the issue of ship or train unloading. Given the fact that unloading requires a large number of operations over a limited time, the basic problem addressed in the papers is minimizing unloading time. Some studies investigate minimizing the energy associated with allocating or unloading freight units. The first case refers to balancing consumed energy in the context of handling a greater number than several freight units. The second case concerns minimizing individual manipulations. The first approach should be treated as slightly more complex because the authors specify the possibility of manipulations that are not the most economic individually, but their sum leads to minimizing the total energy expenditure (however, only within the studied area). The authors of [41] noted that adopting other operational strategies when unloading freight units at a storage yard can lead to various effects in the form of different train handling times. Eliminating unproductive moves is an overlooked issue, which can be surprising in the context of striving for minimizing freight unit handling times or minimizing the energy that is required for all conducted operations. The issue appears in just a few publications; however, they manifest a strong assumption related to the knowledge of the freight unit release date.

2.2. Conclusions Related to the Dependence between the Number of Occupied Positions and the Number of Unproductive Manipulations

The concept of individual methods aimed at improving the operations of a container terminal has one fundamental flaw in the form of the lack of testing the total value of request streams to the handling system with the terminal transshipment capacity. It is worth employing simulation methods for this purpose. One of the interesting examples of employing simulation to reduce the number of unproductive manipulations was demonstrated in [42]. It was hypothesized that container allocation was a key factor impacting terminal operating effectiveness. The suggested model determines a possible freight operation sequence that minimizes costs associated with container storage. The model was verified based on data from one of the observed inland terminals and was able to limit unproductive manipulations significantly, which consumed about 60% of the productivity at the inland terminal subjected to the simulation. The method resulted in saving almost 18% of unproductive manipulations. The authors of [43] noted that “higher container stacking” impacts the number of conducted unproductive manipulations significantly and is a major influencing factor in the delivery operation. The authors pointed out that if terminals were able to maintain a good quality of received information on the containers, they could reduce the impact of higher container stacking on other terminal operations (e.g., unloading, loading, and pick-up) to a minimum. In other words, terminal operators that attempt to increase yard effectiveness through higher container stacking must improve all other relevant conditions simultaneously to reduce the possible impact of higher container stacking on terminal operations. Otherwise, higher container stacking combined with obtained insufficient information on their release date leads to a great number of unproductive container translocations, which must be conducted as part of terminal operations, thus reducing operational efficiency.
In the subsequent part of this paper, Section 3, a model is presented which separately classifies the operation time and container handling waiting time and also compares the impact of storage space occupancy and selected strategy on handling time. It makes it possible to analyze the current operating strategy of the terminal and introduce corrections to operations. It also allows comparing the adopted strategies and drawing conclusions based on selected parameters, whether to use one type of operational assumption or to change it (because the new one can lead to achieving better operating results). It was possible to determine results by identifying the processes taking place at the inland terminal and by applying the queuing theory in modeling. In the next section, the principles of modeling according to this theory are discussed.

2.3. Issues Associated with Waiting Time in Light of the Queuing Theory

The queuing theory is a field of probability calculus dealing with studying service processes. Based on applied statistics, it helps in assessing the relationship between decisions regarding the production capacity level and important issues associated with efficiency such as waiting time and queue length. The main objective of the theory is developing methods that enable determining the values characterizing a service process and assessing the system operation quality, as well as selecting an optimal service structure. From the perspective of a user, it is important to decide on the system utilization manner [44,45].
From the system administrator’s standpoint, it is important to determine the conditions for effective system utilization. Searching for possible system operation improvements, e.g., through adding a new service channel or its appropriate reorganization, is often a priority in striving to increase the efficiency of a given system. Mass service systems are composed of such basic elements as request sources, queues, and service equipment. Optimal queue control involves shortening the handling waiting time, which leads to user satisfaction and increased effectiveness of a given system. It is also associated with reducing or expanding of handling station number. In the case of a container terminal, the queue can be shortened in several ways [44]:
  • shortening a transport task lead time inside the terminal (shorter cycle),
  • increasing the number of handling equipment units, which are treated as new handling stations in this case,
  • reducing the number of requests.
The first of the factors is related to the rationalization of assigned tasks. This aspect was discussed in the previous paragraphs. Increasing the number of handling equipment units is a technically simple solution; however, finances are a fundamental barrier against its implementation. Purchasing (owning) another piece of equipment is cost-intensive and should be preceded by other technical activities that enable a fuller utilization of available resources. On the surface, reducing the number of requests within a transshipment system at a terminal can solely entail reduced demand for transshipment services. However, it should be notes that a stream of requests to a handling system also applies to these containers that must be translocated within a given terminal. These orders refer to unproductive moves, i.e., unproductivity reduction. Therefore, shortening the queue of pending requests is associated with adopting an appropriate order execution strategy so that there are as few requests to the system as possible [45].
A mass service system mathematical functional model is primarily based on the theory of stochastic processes. The occurring random variables and their interpretation are presented in Table 1.
Mathematical model assumptions define the type of random variable probability distribution, e.g., deterministic, exponential, Erlang or any distribution, independence or dependence of request waiting time and handling time random variables, finite or infinite number of handling stations, queue length, and the handling discipline applicable within a given system [46].

3. The Model of Freight Unit Flow at a Container Terminal

In this section of the paper, a model describing the handling of containerized cargo is proposed. The description is based on the graph method. The model itself does not enable unproductivity control; however, it allows testing various types of strategies aimed at selecting such operating conditions. These are characterized by the lowest labor intensity and a minimum number of requests for unproductive manipulations. This paper assumes the execution of transport tasks appearing in the system successively, namely FIFO. Consequently, it is possible to determine the handling waiting time according to the mass service theory. The most important stages of cargo handling within a container terminal space are distinguished. The authors mainly focus on activities involving technical equipment (usually handling machines).
In modeling transport tasks according to the FIFO, it is justified to prioritize the aim to maintain the order of load units, i.e., to transport them in the order in which they were accepted. However, the use of the FIFO algorithm can be beneficial for the transport of load units that do not have special requirements regarding transit time or critical delivery dates. By maintaining the order in which the units were accepted, it is possible to avoid situations in which load units wait for transport for too long, which may lead to delays or downtime in logistics processes.
In addition, the use of the FIFO algorithm can facilitate transport planning and speed up logistics processes because it does not require a detailed analysis of the parameters of load units or priorities for their transport. As a result, the algorithm can be used in situations where there are no special requirements regarding the optimization of transport processes or when the analysis of other logistics factors is too time-consuming or difficult to implement. It is worth remembering, however, that the use of the FIFO algorithm may lead to irrational use of resources and transport infrastructure if the load units waiting for transport are located in different places or require different transport conditions. In such situations, it is worth considering the use of other algorithms for optimizing transport processes that take into account the specificity of load units and logistics priorities. In this case, this type of algorithm is also adopted because of the ease of computation. Therefore, we assume that there are no tasks with different priorities in the service system, as it was presented in publication [47].
Graph model theory is used to record the processes taking place in the container terminal. Graph method theory is a mathematical method that uses graphs to analyze and solve various types of problems. A graph is a collection of vertices that are connected by edges or arcs [47,48]. In graph method theory, graphs are used to model problems and represent relationships between elements. For example, a graph may represent a collection of cities and the connections between them, or a network of material or information flows in a manufacturing process. Graph method theory can be applied in solving such problems as [48].
  • finding paths between vertices in a graph,
  • finding cycles in a graph,
  • specifying a Minimum Spanning Tree,
  • performing graph coloring operations.
Graph method theory is used in many fields such as engineering, computer science, social sciences, and economics. Examples of applications of this method include the optimization of transport routes, management of telecommunications networks, optimization of production processes, and analysis of social networks. The use of graph method theory has many advantages, including the following [49]:
  • problem simplification: this method allows complex problems to be presented in the form of a graph, which makes them easier to understand and solve. Graphs allow visualization and analysis of relationships between elements to be performed, which makes it easier to identify problems and search for solutions;
  • flexibility: graph method theory is used in various fields, which shows its flexibility and universality. It can be used to analyze and solve problems in many fields, such as engineering, computer science, social sciences, and economics;
  • optimization: graph method theory enables the optimization of processes and activities. For example, the Minimum Spanning Tree allows finding the cheapest path between points in a graph, which can be used in the optimization of transport routes or telecommunications networks;
  • automation: using IT tools, graph method theory can be employed in the automation of processes and activities, which speeds up the decision-making process and improves work.
Based on these arguments, the authors decided to apply this approach to modeling the flow of cargo units in a container terminal.
A transport task within a terminal starts with a machine operator reporting a need to handle cargo. The time from the request until arriving at the cargo pick-up place is the waiting time for task execution. During the waiting time, the task can be modified, which is also possible using the graph model. After the cargo is picked up, it is transported to the destination. If executing the transport task requires translocating the container above it, such translocation is classified as unproductive manipulation. Because container translocation is also a separate task, yet necessary to complete the primary task, it does not proceed to the end of the order queue, but is executed immediately. The translocated container proceeds to the first available (free) position.
The paper also presents a method for implementing the model in a computing environment and a set of information that should be recorded as part of the data collection process. Because the complete description of the model is exhaustive, the paper presents only one of many operations outlined in the graph model. The computations take into account all request streams from all determined container handling zones:
  • means of transport unloading,
  • means of transport loading
  • orders to place a container between storage yard zones,
  • orders to translocate a container within the same storage yard sections (unproductive manipulations).
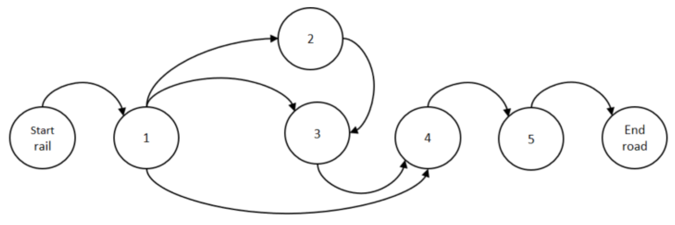
The authors assume that all cargo is stored, at least temporarily, and there are no direct reloading operations between means of transport. The scope of the analysis also does not include long-term storage, the so-called depot. A container flow graph in the road–rail direction is shown in Figure 1, while that in the rail–road direction is presented in Figure 2. The model distinguishes between only these system states that characterize processes involving handling machines. If system analysis requires conducting operations not related to handling machines, such a model can be modified to the desired form.
In Figure 1, the containers appear at the terminal via road transport. They are then subjected to a technical inspection (including unloading from the vehicle and weighing). Next, after the technical inspection and depending on the needs, the container is transported to customs, the repair point, buffer zone at the road entrance. In the last zone, the container can be translocated (unproductive manipulations). Then, either from customs or the repair point and road buffer zone, the container is sent to a rail buffer zone to be released. In this area, a freight unit can also (but does not have to) be translocated once or repeatedly. After that, the container is subject to a technical and documentation inspection before being loaded and finally loaded onto a railway carriage.
Figure 2 shows the flow of a container unit arriving at a transport terminal by rail. In this case, a technical and documentation inspection is also conducted at the entrance to the system, followed by unloading from the carriage. The container can, as previously, be sent to customs, a repair point, or a buffer zone (at the railway entrance). In this zone, the freight unit can (but does not have to) be translocated once or repeatedly. Next, it is sent to the buffer zone at the road exit, where it awaits the assignment of the road transport departure time. The container can also be translocated in this zone. Finally, after a shipment decision is made, the container’s technical condition and documents are checked, and it is loaded onto a road vehicle. Loading onto a vehicle is equivalent to completing container handling at the terminal and means the ultimate completion of handling time measurement.

3.1. Model Notation Method

As mentioned previously, model notation was based on the graph method. A subgraph of any freight unit handling stage can be defined as
K m ( γ m ; ξ m ) ,
where
γ m —change in the waiting time for operation start, determined by the probability density function f(t); and
ξ m —decision variable describing the consequence operation implementation.
The freight unit handling process after the completed waiting time for the operation to start is defined by the vertex:
W n ( ξ n ) ,
where
ξ n —is a decision variable describing the consequence of waiting for operation implementation.
Another freight unit handling process possible after completing an operation defined by the subgraph is described by the vertex:
W r ( ξ r ) ,
where:
ξ r —decision variable describing the consequence of operation implementation.
Notation of a state example in tree form is described below. A definition of the state of technical inspection after accepting a freight unit at a container terminal via road transport is presented below. A place where the process is implemented is usually a position marked within the terminal—a parking place for road vehicles arriving with a container for unloading or transshipment.
Freight unit technical condition is assessed after the vehicle with a freight unit enters the terminal or after other processes are completed (e.g., parking or document inspection). It involves checking the container (potential damage) and seal condition and weighing the freight unit.
The graph of the freight unit road entrance technical condition inspection system can be defined as
K d ( γ d ; ξ d ) ,
where
γ d —time variable of freight unit road entrance technical condition inspection determined by the probability density function f(td);
ξ d —decision variable describing the consequence of freight unit road entrance technical condition inspection.
After the technical condition of the freight unit is inspected, it can be called to the next process stages described previously.
The freight unit road entrance technical inspection U d ( γ d ; ξ d ) , consists of four main subprocesses:
-
waiting at a technical condition inspection station,
-
freight unit technical inspection,
-
waiting at a weighing station,
-
freight unit weighing.
The process of freight unit waiting for a technical inspection can be described as a path in the subgraph
K w 1 ( γ w 1 ; n w 1 ) ,
where
γ w 1 —decision variable of waiting for the freight unit road entrance technical inspection,
n w 1 —variable characterizing the probability of an unproductive move during the freight unit waiting for a technical inspection at the road entrance.
Another freight unit handling process possible after the completed waiting time for the technical inspection is defined by the vertex:
W w 1 ( ξ w 1 ) ,
where
( ξ w 1 ) —decision variable describing the consequence of a freight unit waiting for a technical inspection at the road entrance.
ξ w 1 = { 0 u n i t   f o r w a r d e d   t o   t e c h n i c a l   i n s p e c t i o n 1 u n i t   w i t h r a w n   f r o m   f u t h e r   h a n d l i n g   a t   a   t e r m i n a l
The process of freight unit road entrance technical inspection can be described as a path in the subgraph
K d 1 ( γ d 1 ; n d 1 ) ,
where
γ d 1 —time variable of freight unit road entrance technical inspection execution time,
n d 1 —variable characterizing the probability of an unproductive manipulation during freight unit road entrance technical inspection.
Technical inspection involves a visual check of the side and rear walls, as well as the doors and locking mechanisms of a freight unit. This leads to identifying possible damage (e.g., torn sheathing, indentation, deformation). The condition of corner cubes and customs seals (if any) is also inspected. Customs seal inspection does not mean customs control and is a mere confirmation of their technical condition.
Another possible freight unit road entrance technical condition inspection process is defined by the vertex
W d 1 ( ξ d 1 ) ,
where
ξ d 1 —decision variable describing the consequence of a freight unit waiting for a technical inspection at the road entrance.
ξ d 1 = { 0 u n i t   f o r w a r d e d   t o   w e i g h i n g   p r o c e s s 1 u n i t   w i t h d r a w   f r o m   f u t h e r   h a n d l i n g   a t   t e r m i n a l .
The process of the freight unit waiting for weighing can be described as a path in the subgraph
K w 2 ( γ w 2 ; n w 2 ) ,
where
γ w 2 —decision variable of the freight unit awaiting weighing at the road entrance,
n w 2 —variable characterizing the probability of an unproductive manipulation when the freight unit is waiting for weighing at the road entrance.
Weighing is implemented without the vehicle used to deliver the freight unit to the intermodal terminal. It consists of successive operations of picking up the freight unit from the vehicle, moving it to the weighbridge, placing it on the weighbridge, collecting the freight unit after recording the result, and placing it in the station’s storage bay.
Another freight unit handling process possible after completed freight unit weighing is defined by the vertex
W d 2 ( ξ d 2 ) ,
where
ξ d 2 —decision variable describing the consequence of freight unit weighing.
ξ 2 d = { 0 u n i t   f o r w a r d e d   t o   s t o r a g e   i n   r o a d   b u f f e r   z o n e 1 u n i t   f o r w a r d e d   t o   h a n d l i n g   a t   c u s t o n   s t a t i o n 2 u n i t   f o r w a r d e d   t o   w o r k s h o p 3 u n i t   w i t h d r a w n   f r o m   f u t h e r   h a n d l i n g   a t   t e r m i n a l .
Successive states of the graph showing freight unit handling at the intermodal terminal can be mapped similarly. Due to the limited number of pages in this paper, the authors decided to present only the example above, and the rest can be made available upon request from the authors.

3.2. Mapping in a Simulation Environment

Another stage that belongs to the terminal operation analysis process is mapping the model in a computing environment. The adopted approach is presented below. Figure 3 shows the mapped graph model of a freight unit waiting for handling in the technical condition inspection zone at the road entrance.
The request stream is set to one queue and then handled by the first available equipment (handling station). Two conditions are simultaneously verified at each subsequent computing simulation stage: whether the freight unit was moved to a different terminal handling position according to the probability p R w 1 or whether cargo handling at this station was not completed. Completed handling at this station is associated with closing the office or ending the working day. If the second condition occurs, the freight unit remains in waiting. Figure 4 shows the mapped graph model of a freight unit handling for handling in the technical inspection zone at the road entrance.
A freight unit arriving at the handling zone generates the freight unit residence time in the document inspection zone following the probability density function f(tw1), and the level of probability of an unproductive manipulation ηw1 is assigned. After handling is completed, the freight unit is sent to the next handling stage, following ξw1.
During the next stage within the freight unit technical inspection zone, the freight unit awaits weighing. Figure 5 shows the mapped graph model of a freight unit waiting for weighing in the technical condition inspection zone at the road entrance (d2).
The freight unit is weighed without a vehicle. In practical terms, this means unloading it from the road vehicle. The request stream is set to one queue and then handled by the first available handling machine (handling station). Two conditions are simultaneously verified at each subsequent computing simulation stage: whether the freight unit was moved to a different terminal handling position according to the probability p R w 2 or whether cargo handling at this station was not completed. Completed handling at this station is associated with closing the office or ending the working day. If the second condition occurs, the freight unit remains in waiting. It is important to consider whether the freight unit is first in line and whether the freight unit road entrance handling station is free. Meeting both conditions results in releasing the freight unit for handling at the station. Figure 6 shows the mapped graph model of a freight unit handling for handling in the document inspection zone at the road entrance.
A freight unit arriving at the handling zone in question generates the freight unit residence time in the document inspection zone following the probability density function f(td2), and the level of probability of an unproductive manipulation ηd2 is assigned. After handling is completed, the freight unit is sent to the next handling stage, following ξd2.

3.3. Data Collection Method

Correct data collection directly impacts the accuracy of results obtained from the simulation experiment. Data acquisition is completed as follows:
  • time data acquisition aimed at determining random variables for the lead times of individual partial activities,
  • quantitative data acquisition aimed at determining freight unit flow streams and random variables associated with repeating certain activities at selected nodes.
The model parameters are estimated based on the obtained data. It is assumed that individual parameters should be considered separately, depending on the reloading direction we are dealing with.

Handling in the Technical Inspection Zone at the Road Entrance

This section of the paper presents a list of the data collected for calculating the freight unit technical inspection process when the unit is accepted at the terminal by road transport. Due to the volume of the entire elaboration, other parameters are not included in this paper.
The following data are acquired as part of the freight unit waiting and technical condition inspection processes:
  • time of the freight unit arriving at the queue and waiting for handling in the freight unit technical condition inspection zone, marked as t w e w 1 ,
  • time of completed wait for handling in the freight unit technical condition inspection zone, marked as t w 1 ,
  • time of leaving the queue without further process implementation, marked as t R w 1 ,
  • start time handling at the freight unit technical inspection zone, marked as t w e d 1 ,
  • end time handling at the freight unit technical inspection zone, marked as t w y d 1 ,
  • start time of waiting for weighing at the freight unit technical inspection zone, marked as t w e w 2 ,
  • end time of waiting for weighing at the freight unit technical inspection zone, marked as t w y w 2 ,
  • time of leaving the queue without further process implementation, marked as t R w 2 ,
  • start time of weighing at the freight unit technical inspection zone, marked as t w e d 2 ,
  • end time of weighing at the freight unit technical inspection zone, marked as t w y d 2 ,
  • the number of intermodal freight units subject to testing while waiting for handling in the freight unit technical condition inspection zone, taking reloading direction into account, marked as n w 1 ,
  • the number of intermodal freight units withdrawn from waiting for handling in the freight unit technical condition inspection zone and left the system, taking reloading direction into account, marked as n R w 1 ,
  • the number of intermodal freight units subject to freight unit technical condition inspection, taking reloading direction into account, marked as n d 1 ,
  • the number of intermodal freight units withdrawn from waiting for weighing in the freight unit technical condition inspection zone and left the system, marked as n R w 2 ,
  • the number of intermodal freight units subject to testing while waiting for weighing in the freight unit technical condition inspection zone, marked as n w 2 ,
  • the number of intermodal freight units resigned from waiting for weighing in the freight unit technical condition inspection zone and left the system, marked as n R w 2 ,
  • the number of intermodal freight units subject to testing during weighing in the freight unit technical condition inspection zone, marked as n d 2 ,
  • the number of intermodal freight units translocated to the buffer zone after weighing in the freight unit technical condition inspection zone, marked as n 0 d 2 ,
  • the number of intermodal freight units translocated to the customs zone after weighing in the freight unit technical condition inspection zone, marked as n 1 d 2 ,
  • the number of intermodal freight units translocated to repair after weighing in the freight unit technical condition inspection zone n 2 d 2 ,
  • the number of freight units withdrawn from further handling at the terminal after weighing in the freight unit technical condition inspection zone, marked as n 3 d 2 .
The freight unit waiting time for handling in the technical condition inspection zone at the road entrance is determined using the following formula:
t w 1 = t w y w 1 t w e w 1 .
The s linear regression function in the form below should be determined for acquired data in the form of ( t i w 1 ; s i w 1 ) , where i ϵ { 1 , 2 , 3 , , n w 1 } :
s w 1 = A · t w 1 + B ,
where
A = ( t i w 1 ) 2 ( s i w 1 ) ( t i w 1 ) ( t i w 1 · s i w 1 ) Δ , B = n w 1 ( t i w 1 · s i w 1 ) ( t i w 1 · s i w 1 ) Δ ,
Δ = n w 1 ( t i w 1 ) 2 ( t i w 1 ) 2 ,
t i w 1 —variable of waiting time for handling in the freight unit technical condition inspection zone for the i freight unit,
s i w 1 —variable of the probability of unproductive manipulations when waiting for handling in the freight unit technical condition inspection zone for the i freight unit.
The probability of leaving (resigning from) the queue in the inspection zone is determined from the formula
p R w 1 = n R w 1 n w 1 .
The handling time of an intermodal freight unit at the freight unit technical condition inspection zone is determined using the formula
t d 1 = t w y d 1 t w e d 1 .
Probability density distributions are then matched and the parameters are estimated. This is followed by conducting the Kolmogorov or Chi-square test for a set significance level (not greater than 0.05). Probability density distribution matching and parameter estimation provide
f ( t d 1 ) —the probability density function for the handling time of an intermodal freight unit at the freight unit technical condition inspection zone.
The s d 1 = f ( t d 1 ) linear regression function in the form below should be determined for acquired data in the form of ( t i d 1 ; s i d 1 ) , where i ϵ { 1 , 2 , 3 , , n d 1 } ,
s d 1 = A · t d 1 + B ,
where
A = ( t i d 1 ) 2 ( s i d 1 ) ( t i d 1 ) ( t i d 1 · s i d 1 ) Δ ,
B = n d 1 ( t i d 1 · s i d 1 ) ( t i d 1 · s i d 1 ) Δ
and
t i d 1 —variable of handling time in the technical condition inspection zone of the i freight unit,
s i d 1 —variable of the probability of unproductive moves when handling in the technical condition inspection zone for the i freight unit.
The freight unit waiting time for weighing in the technical condition inspection zone at the road entrance is determined using the following formula:
t w 2 = t w y w 2 t w e w 2 .
The s linear regression function in the form below should be determined for acquired data in the form of ( t i w 2 ; s i w 2 ) , where i ϵ { 1 , 2 , 3 , , n w 2 } ,
s w 2 = A · t w 2 + B ,
where
A = ( t i w 2 ) 2 ( s i w 2 ) ( t i w 2 ) ( t i w 2 · s i w 2 ) Δ ,  
B = n w 2 ( t i w 2 · s i w 2 ) ( t i w 2 · s i w 2 ) Δ
Δ = n w 2 ( t i w 2 ) 2 ( t i w 2 ) 2 ,
and
t i w 2 —time variable of waiting for weighing in the technical condition inspection zone for the i freight unit,
s i w 2 —variable of the probability of unproductive moves when waiting for weighing in the technical condition inspection zone for the i freight unit.
The probability of leaving (resigning from) the weighing queue in the inspection zone is determined from the formula
p R w 2 = n R w 2 n w 2 .
Container handling time at a weighing station is determined using the formula
t d 2 = t w y d 2 t w e d 2 .
Probability density distributions are then matched and the parameters are estimated. This is followed by conducting the Kolmogorov or Chi-square test for a set significance level (not greater than 0.05). Probability density distribution matching and parameter estimation provide
f ( t d 2 ) —freight unit weighing time probability density function.
The s d 2 = f ( t d 2 ) linear regression function in the form below should be determined for acquired data in the form of ( t i d 2 ; s i d 2 ) , where i ϵ { 1 , 2 , 3 , , n d 2 } ,
s d 2 = A · t d 2 + B ,
where
A = ( t i d 2 ) 2 ( s i d 2 ) ( t i d 2 ) ( t i d 2 · s i d 2 ) Δ , B = n d 2 ( t i d 2 · s i d 2 ) ( t i d 2 · s i d 2 ) Δ
Δ = n d 2 ( t i d 2 ) 2 ( t i d 2 ) 2 ,
and
t i d 2 —variable of weighing time in the technical condition inspection zone for the i freight unit,
s i d 2 —variable of the probability of unproductive moves when weighing for the i freight unit.

4. Analysis of the Impact of Loading Strategies on Operation Time

This part of the paper presents the analysis of the terminal container handling system considering the number of unproductive manipulations. The objective is to demonstrate that the number of unproductive manipulations is influenced by at least two factors:
  • storage position occupancy,
  • adopted cargo distribution strategy.
Storage location occupancy is a feature that is easily determined. Comparison of the number of occupied positions with the number of available ones is simply required, calculating the data in TEU or pieces of freight units of a given type. After one of the freight unit forms is adopted, it should continue to be used. In this paper, calculations are conducted using container units.
The adopted cargo distribution strategy is a broader issue. Different approaches in this regard were mentioned earlier. In reality, terminal operators also apply their strategies. In most cases, these are based on observations and focus on accelerating only one operation, e.g., train unloading, followed by a series of unproductive manipulations that are usually not considered any further. The authors of this paper tested the results of the two papers at one of the terminals in Poland. The first strategy referred to the fastest handling of a training delivering cargo, which in practice meant placing containers picked up from carriages in the first available position within a block to fill container blocks. The second approach enabled longer train handling to stack containers by weight (heaviest in a lower position, lighter in a higher position, and empty contained separately). The study lasted for about a week for each method and involved reading the number of moves above each of the containers from the terminal operating system. It should be noted that only 25% of the container had a known date of cargo delivery to the destination before arriving at the terminal; however, the date specified only the day and not the day and time. In principle, this means a complete absence of information on determining which of the containers should be stacked lower (for a longer stand), and which should be stacked higher up. Next, by combining storage position occupancy and the adopted cargo distribution strategy and proceeding with the mass service theory, the authors determined the average freight unit handling time. For this purpose, the procedure was adopted according to the M/m/n method.
The study lasted for two weeks, testing the first strategy for 6 working days and the second strategy also for 6 days. When open 14 h/day, the terminal accepts approximately 60 containers (the analysis involved 50 to 70 containers arriving daily). In total, 55% of these are 40′ and 45′ containers, approx. 40% are 20′ containers with the rest being 30′ containers. Three or four handling machines are operated at the facility. These are the popular reach stackers. The number of the equipment in operation depends on the number of employees on a working shift. The storage yard occupancy level during the study ranged from 35% to 45%. The times of individual operations (time of picking up and putting down a freight unit depending on the level of the container) were also analyzed. Freight unit handling times were determined by combining that information based on the mass service theory.
Table 2 shows the average freight unit handling times according to the first strategy (placing containers from carriages in the first free position, with the provision that the storage block is to be full). The average repetition rate was 20%, which means that 20 containers in every 100 required translocations to handle the unit underneath (see Figure 7). Table 3 shows the average freight unit handling time according to the second strategy (putting down containers from carriages and filling the stack so that heavier containers are lower and lighter ones are higher) (see Figure 8).
Based on the collected data, the authors simulated the process by which the number of occupied positions and the operation repetition rate can impact the average freight unit handling time. The simulation assumed operation according to the following parameters: average freight unit stream of 60 units/day, terminal open 14 h per day with four handling pieces of equipment.
The operation repetition rate on the same freight unit changes depending on the adopted strategy. Under actual conditions, this value should be observed, e.g., as proposed previously, in the TDS system. Calculations were conducted for a repetition rate from 0% (complete cargo distribution infallibility) to 50% (this value was adopted as the limit based on an expert estimation). The calculations conducted for the presented assumptions are collectively shown in Table 4.
There were no differences in the average freight unit handling time for an occupancy below 35%, regardless of the adopted strategy (therefore, these data are not shown in the table). This means that in the case of terminals with a low storage position occupancy rate, the selected strategy does not impact the average freight unit handling time. In the case of a 35% terminal occupancy, the unit handling time range was 1.45 min and 1.86 min for a 50% occupancy. These are differences that are significant in practice. However, together with increasing terminal space occupancy, the significance of the operation repetition rate is growing. In the case of terminal space occupancy, it rises around 50%, and the average freight unit handling time for operations without repetitions is 1.87 min, while adopting a strategy that requires repeating operations for 50% of the containers results in increasing this time by half, up to 2.81 min.
Further increase in the terminal space occupancy leads to a considerably greater significance of the adopted strategy or the repetition rate for operations on the same container. The difference between container handling time in the case of previously described Strategies 1 and 2 and for a 65% terminal occupancy is almost a minute. Selection of a less effective strategy causes a further increase in the freight unit handling time. When inspecting the table data vertically, one can notice that the average freight unit handling time also increases when the chosen strategy remains the same, but the storage yard occupancy rate grows. This is a consequence of the need to transport the containers further, as well as pick up and collect cargo from higher floors (not a linear relationship). A less effective strategy (leading to more repetitions) determines a higher operation time increase rate, while a greater share of occupied positions leads to longer handling waiting time.

5. Conclusions

The paper presents the graph model that enables dividing cargo handling time into waiting time and actual operation time on inland container terminals. The authors presented assumptions associated with data acquisition and data interpretation. The practical section compares cargo handling time depending on the adopted strategy of container distribution within the terminal. The difference is a consequence of different operation time components, which mostly refers to the freight unit waiting time. While it does not matter much in the case of less occupied facilities, in terminals with a higher (approx. 50% occupancy) share of occupied positions, the selected strategy impacts the waiting time, and then the average total operation time.
Analyzing the time of operations and the number of unproductive movements on container terminals is crucial for several reasons. Firstly, it helps to identify bottlenecks and inefficiencies in the terminal’s workflow, which can then be addressed to increase productivity and reduce costs. This, in turn, can lead to better customer satisfaction and improved profitability for terminal operators.
Secondly, understanding the time required for different operations and the number of unproductive movements can help to optimize the terminal layout and equipment deployment. By analyzing the data, terminal operators can determine the most efficient way to store and handle containers, reducing unnecessary movements and improving the flow of goods.
Lastly, the analysis of time and unproductive movements can be useful in the planning of resources, including labor and equipment. By understanding the amount of time required for operations and the number of unproductive movements, terminal operators can better allocate resources to ensure optimal efficiency and avoid unnecessary downtime.
While the paper presents a useful tool, it also has some limitations that are mostly related to the fact that FIFO handling strategies were adopted in the calculations. Further work is needed to bring the adapted strategies closer to real conditions. First of all, attention to prioritizing certain operations in time intervals is needed. It is also worth paying attention to other strategies related to the arrangement of containers (e.g., leveling, block strategy, or mixed strategies). The model is developed considering these limiting constraints. A solution based on the probability density functions of individual operations is presented.

Author Contributions

Conceptualization, M.Z.; methodology, M.Z.; validation, M.Z. and T.R.; investigation, M.Z. and T.R.; resources, M.Z.; writing—original draft preparation, T.R. and I.B.; writing—review and editing, T.R. and I.B. All authors have read and agreed to the published version of the manuscript.

Funding

This research has no external funding.

Institutional Review Board Statement

Not applicable.

Informed Consent Statement

Not applicable.

Data Availability Statement

Data are unavailable due to privacy restrictions.

Conflicts of Interest

The authors declare no conflict of interest.

References

  1. Basallo-Triana, M.J.; Vidal-Holguín, C.J.; Bravo-Bastidas, J.J. Planning and design of intermodal hub networks: A literature review. Comput. Oper. Res. 2021, 136, 105469. [Google Scholar] [CrossRef]
  2. Wendler-Bosco, V.; Nicholson, C. Port disruption impact on the maritime supply chain: A literature review. Sustain. Resilient Infrastruct. 2020, 5, 378–394. [Google Scholar] [CrossRef]
  3. Agamez-Arias, A.D.M.; Moyano-Fuentes, J. Intermodal transport in freight distribution: A literature review. Transp. Rev. 2017, 37, 782–807. [Google Scholar] [CrossRef]
  4. Zamparini, L. A review of models for transport security and of their relevance for supply chains. Transp. Rev. 2022, 42, 784–800. [Google Scholar] [CrossRef]
  5. Wan, C.; Yang, Z.; Zhang, D.; Yan, X.; Fan, S. Resilience in transportation systems: A systematic review and future directions. Transp. Rev. 2018, 38, 479–498. [Google Scholar] [CrossRef]
  6. Heilig, L.; Voß, S. Inter-terminal transportation: An annotated bibliography and research agenda. Flex. Serv. Manuf. J. 2017, 29, 35–63. [Google Scholar] [CrossRef]
  7. López-Bermúdez, B.; Freire-Seoane, M.J.; González-Laxe, F. Efficiency and productivity of container terminals in Brazilian ports (2008–2017). Util. Policy 2019, 56, 82–91. [Google Scholar] [CrossRef]
  8. Speer, U.; Fischer, K. Scheduling of different automated yard crane systems at container terminals. Transp. Sci. 2017, 51, 305–324. [Google Scholar] [CrossRef]
  9. Zheng, X.B.; Park, N.K. A study on the efficiency of container terminals in Korea and China. Asian J. Shipp. Logist. 2016, 32, 213–220. [Google Scholar] [CrossRef]
  10. Ding, Z.Y.; Jo, G.S.; Wang, Y.; Yeo, G.T. The relative efficiency of container terminals in small and medium-sized ports in China. Asian J. Shipp. Logist. 2015, 31, 231–251. [Google Scholar] [CrossRef]
  11. Jakubowski, L. Technologia Prac Ładunkowych; Warsaw University of Technology Publishing House: Warsaw, Poland, 2009. [Google Scholar]
  12. Rožić, T.; Ivanković, B.; Bajor, I.; Starčević, M. A Network-Based Model for Optimization of Container Location Assignment at Inland Terminals. Appl. Sci. 2022, 12, 5833. [Google Scholar] [CrossRef]
  13. Kastner, M.; Peters, M.; Jahn, C. Assessing performance of container slot allocation heuristics. In Adapting to the Future: Maritime and City Logistics in the Context of Digitalization and Sustainability, Proceedings of the Hamburg International Conference of Logistics (HICL), Hamburg, Germany, 23–24 September 2021; Epubli GmbH: Berlin, Germany; Volume 32, pp. 427–454.
  14. Güven, C.; Eliiyi, D.T. Trip allocation and stacking policies at a container terminal. Transp. Res. Procedia 2014, 3, 565–573. [Google Scholar] [CrossRef]
  15. Güven, C.; Türsel Eliiyi, D. Modelling and optimisation of online container stacking with operational constraints. Marit. Policy Manag. 2019, 46, 201–216. [Google Scholar] [CrossRef]
  16. Kemme, N. Design and Operation of Automated Container Storage Systems; Springer Science & Business Media: Berlin/Heidelberg, Germany, 2012. [Google Scholar]
  17. Zajac, M.; Swieboda, J. An unloading work model at an intermodal terminal. In International Conference on Dependability and Complex Systems; Springer: Cham, Switzerland, 2015; pp. 573–582. [Google Scholar]
  18. Kim, K.H.; Kim, H.B. Segregating space allocation models for container inventories in port container terminals. Int. J. Prod. Econ. 1999, 59, 415–423. [Google Scholar]
  19. Tan, C.; He, J.; Wang, Y. Storage yard management based on flexible yard template in container terminal. Adv. Eng. Inform. 2017, 34, 101–113. [Google Scholar] [CrossRef]
  20. Hu, X.; Liang, C.; Chang, D.; Zhang, Y. Container storage space assignment problem in two terminals with the consideration of yard sharing. Adv. Eng. Inform. 2021, 47, 101224. [Google Scholar] [CrossRef]
  21. Chang, Y.-M.; Zhu, X.-N. Slot allocation of railway container terminal considering stowage plan. J. Transp. Eng. 2020, 20, 205–216. [Google Scholar]
  22. Chung, Y.G.; Randhawa, S.U.; McDowell, E.D. A simulation analysis for a transtainer-based container handling facility. Comput. Ind. Eng. 1988, 14, 113–125. [Google Scholar] [CrossRef]
  23. Wiese, J.; Suhl, L.; Kliewer, N. Planning container terminal layouts considering equipment types and storage block design. In Handbook of Terminal Planning; Springer: New York, NY, USA, 2011; pp. 219–245. [Google Scholar]
  24. Ting, C.J.; Wu, K.C. Optimizing container relocation operations at container yards with beam search. Transp. Res. Part E Logist. Transp. Rev. 2017, 103, 17–31. [Google Scholar] [CrossRef]
  25. Kizilay, D.; Eliiyi, D.T. A comprehensive review of quay crane scheduling, yard operations and integrations thereof in container terminals. Flex. Serv. Manuf. J. 2021, 33, 1–42. [Google Scholar] [CrossRef]
  26. Zhang, C.; Guan, H.; Yuan, Y.; Chen, W.; Wu, T. Machine learning-driven algorithms for the container relocation problem. Transp. Res. Part B Methodol. 2020, 139, 102–131. [Google Scholar] [CrossRef]
  27. Zhou, C.; Wang, W.; Li, H. Container reshuffling considered space allocation problem in container terminals. Transp. Res. Part E Logist. Transp. Rev. 2020, 136, 101869. [Google Scholar] [CrossRef]
  28. Facchini, F.; Digiesi, S.; Mossa, G. Optimal dry port configuration for container terminals: A non-linear model for sustainable decision making. Int. J. Prod. Econ. 2020, 219, 164–178. [Google Scholar] [CrossRef]
  29. Maguire, A.; Ivey, S.; Golias, M.M.; Lipinski, M.E. Relieving congestion at intermodal marine container terminals: Review of tactical/operational strategies. Transp. Res. Forum 2010, 2010, 207280. [Google Scholar]
  30. De, A.; Pratap, S.; Kumar, A.; Tiwari, M.K. A hybrid dynamic berth allocation planning problem with fuel costs considerations for container terminal port using chemical reaction optimization approach. Ann. Oper. Res. 2020, 290, 783–811. [Google Scholar] [CrossRef]
  31. Zajac, M. The model of reducing operations time at a container terminal by assigning places and sequence of operations. Appl. Sci. 2021, 11, 12012. [Google Scholar] [CrossRef]
  32. Wiśnicki, B.; Chybowski, L.; Czarnecki, M. Analysis of the efficiency of port container terminals with the use of the data envelopment analysis method of relative productivity evaluation. Manag. Syst. Prod. Eng. 2017, 25, 9–15. [Google Scholar] [CrossRef]
  33. Gulić, M.; Maglić, L.; Krljan, T.; Maglić, L. Solving the container relocation problem by using a metaheuristic genetic algorithm. Appl. Sci. 2022, 12, 7397. [Google Scholar] [CrossRef]
  34. Chaves, L.C.; Dutra, A.; Ensslin, S.R.; Ensslin, L. Performance evaluation in containerised cargo ports: A systematic analysis. Int. J. Adv. Oper. Manag. 2023, 15, 42–63. [Google Scholar]
  35. Budiyanto, M.A.; Shinoda, T. Energy efficiency on the reefer container storage yard; an analysis of thermal performance of installation roof shade. Energy Rep. 2020, 6, 686–692. [Google Scholar] [CrossRef]
  36. Chang, Y.; Zhu, X. A novel two-stage heuristic for solving storage space allocation problems in rail–water intermodal container terminals. Symmetry 2019, 11, 1229. [Google Scholar] [CrossRef]
  37. He, J.; Xiao, X.; Yu, H.; Zhang, Z. Dynamic yard allocation for automated container terminal. Ann. Oper. Res. 2022, 1–22. [Google Scholar] [CrossRef]
  38. Kaoud, E.; El-Sharief, M.A.; El-Sebaie, M.G. Scheduling problems of automated guided vehicles in job shop, flow shop, and container terminals. In Proceedings of the 2017 4th International Conference on Industrial Engineering and Applications (ICIEA), Nagoya, Japan, 21–23 April 2017; pp. 60–65. [Google Scholar]
  39. Yang, X.; Hu, H.; Jin, J.; Luo, N. Joint optimization of space allocation and yard crane deployment in container terminal under uncertain demand. Comput. Ind. Eng. 2022, 172, 108425. [Google Scholar] [CrossRef]
  40. Jo, J.H.; Kim, S. Key performance indicator development for ship-to-shore crane performance assessment in container terminal operations. J. Mar. Sci. Eng. 2019, 8, 6. [Google Scholar] [CrossRef]
  41. de Castillo, B.; Daganzo, C.F. Handling strategies for import containers at marine terminals. Transp. Res. Part B Methodol. 1993, 27, 151–166. [Google Scholar] [CrossRef]
  42. Holguín-Veras, J.; Jara-Díaz, S. Optimal pricing for priority service and space allocation in container ports. Transp. Res. Part B Methodol. 1999, 33, 81–106. [Google Scholar] [CrossRef]
  43. Chen, T. Yard operations in the container terminal-a study in the ‘unproductive moves’. Marit. Policy Manag. 1999, 26, 27–38. [Google Scholar] [CrossRef]
  44. Bichou, K.; Gray, R. A logistics and supply chain management approach to port performance measurement. Marit. Policy Manag. 2004, 31, 47–67. [Google Scholar] [CrossRef]
  45. Lipsky, L. Queueing Theory: A Linear Algebraic Approach; Springer Science & Business Media: Berlin/Heidelberg, Germany, 2014. [Google Scholar]
  46. Sengupta, R.N.; Gupta, A.; Dutta, J. (Eds.) Decision Sciences: Theory and Practice; CRC Press: Boca Raton, FL, USA, 2016. [Google Scholar]
  47. Zając, M.; Swieboda, J. Method of Assessing the Logistics Process as Regards Information Flow Unreliability on the Example of a Container Terminal. Appl. Sci. 2023, 13, 962. [Google Scholar] [CrossRef]
  48. Gross, J.L.; Yellen, J. Handbook of Graph Theory; CRC Press: Boca Raton, FL, USA, 2003. [Google Scholar]
  49. Maathuis, M.; Drton, M.; Lauritzen, S.; Wainwright, M. (Eds.) Handbook of Graphical Models; CRC Press: Boca Raton, FL, USA, 2018. [Google Scholar]
Figure 1. Road–rail direction container flow graph. 1—technical condition check, 2—customs service, 3—container repair zone, 4—road buffer zone, 5—railway buffer zone.
Figure 1. Road–rail direction container flow graph. 1—technical condition check, 2—customs service, 3—container repair zone, 4—road buffer zone, 5—railway buffer zone.
Applsci 13 07127 g001
Figure 2. Rail–road direction container flow graph. 1—technical condition check, 2—customs service, 3—container repair zone, 4—road buffer zone, 5—railway buffer zone.
Figure 2. Rail–road direction container flow graph. 1—technical condition check, 2—customs service, 3—container repair zone, 4—road buffer zone, 5—railway buffer zone.
Applsci 13 07127 g002
Figure 3. Mapped graph model of a freight unit waiting for handling in the technical condition inspection zone at the road entrance.
Figure 3. Mapped graph model of a freight unit waiting for handling in the technical condition inspection zone at the road entrance.
Applsci 13 07127 g003
Figure 4. Mapped graph model of a freight unit handling for handling in the technical inspection zone at the road entrance.
Figure 4. Mapped graph model of a freight unit handling for handling in the technical inspection zone at the road entrance.
Applsci 13 07127 g004
Figure 5. Mapped graph model of waiting for weighing in the technical condition inspection zone at the road entrance.
Figure 5. Mapped graph model of waiting for weighing in the technical condition inspection zone at the road entrance.
Applsci 13 07127 g005
Figure 6. Mapped graph model of a freight unit handling for handling in the document inspection zone at the road entrance.
Figure 6. Mapped graph model of a freight unit handling for handling in the document inspection zone at the road entrance.
Applsci 13 07127 g006
Figure 7. Comparison of average freight unit handling time with a 35% station occupancy.
Figure 7. Comparison of average freight unit handling time with a 35% station occupancy.
Applsci 13 07127 g007
Figure 8. Comparison of average freight unit handling time with a 45% station occupancy.
Figure 8. Comparison of average freight unit handling time with a 45% station occupancy.
Applsci 13 07127 g008
Table 1. Interpretation of mass service theory random variables at a container terminal.
Table 1. Interpretation of mass service theory random variables at a container terminal.
Random variable as per the queuing theoryRandom variable meaning in the context of a container terminal
The time between the entry of the first and successive request to the systemThe time between the first and successive freight unit handling requests
Single request handling time by a handling stationContainer handling cycle time
Number of stationsNumber of handling equipment units
Number of places in the queue of requests awaiting handlingNumber of containers awaiting handling
Table 2. Average freight unit handling time as per adopted Strategy 1.
Table 2. Average freight unit handling time as per adopted Strategy 1.
Occupancy50 Cont./day55 Cont./day60 Cont./day65 Cont./day70 Cont./day
35%2.352.653.033.554.28
40%2.562.923.394.055.03
45%2.793.333.814.676.01
Table 3. Average freight unit handling time as per adopted Strategy 2.
Table 3. Average freight unit handling time as per adopted Strategy 2.
Occupancy50 Cont./day55 Cont./day60 Cont./day65 Cont./day70 Cont./day
35%2.52.783.273.984.26
40%2.753.243.9255.45
45%3.033.884.916.727.56
Table 4. Average freight unit handling time according to position occupancy level and operation repetition rate.
Table 4. Average freight unit handling time according to position occupancy level and operation repetition rate.
Rate of Repeated Operations
Occu.0%5%10%15%20%25%30%35%40%45%50%
35%1.451.481.511.551.581.621.661.711.751.81.86
40%1.551.581.621.661.711.761.811.861.921.992.05
45%1.651.691.741.791.851.91.972.032.112.192.27
50%1.871.9322.072.152.242.332.432.552.672.81
55%2.192.282.392.52.622.762.913.083.273.493.74
60%2.572.72.863.033.223.433.683.974.314.715.19
65%3.123.343.583.864.194.585.055.626.347.278.53
70%3.343.593.874.214.615.095.676.427.388.6810.54
75%3.573.864.24.65.085.686.437.48.7310.6213.56
Disclaimer/Publisher’s Note: The statements, opinions and data contained in all publications are solely those of the individual author(s) and contributor(s) and not of MDPI and/or the editor(s). MDPI and/or the editor(s) disclaim responsibility for any injury to people or property resulting from any ideas, methods, instructions or products referred to in the content.

Share and Cite

MDPI and ACS Style

Zając, M.; Rozic, T.; Bajor, I. Model for Evaluating the Effectiveness of Cargo Operation Strategy in an Inland Container Terminal. Appl. Sci. 2023, 13, 7127. https://doi.org/10.3390/app13127127

AMA Style

Zając M, Rozic T, Bajor I. Model for Evaluating the Effectiveness of Cargo Operation Strategy in an Inland Container Terminal. Applied Sciences. 2023; 13(12):7127. https://doi.org/10.3390/app13127127

Chicago/Turabian Style

Zając, Mateusz, Tomislav Rozic, and Ivona Bajor. 2023. "Model for Evaluating the Effectiveness of Cargo Operation Strategy in an Inland Container Terminal" Applied Sciences 13, no. 12: 7127. https://doi.org/10.3390/app13127127

APA Style

Zając, M., Rozic, T., & Bajor, I. (2023). Model for Evaluating the Effectiveness of Cargo Operation Strategy in an Inland Container Terminal. Applied Sciences, 13(12), 7127. https://doi.org/10.3390/app13127127

Note that from the first issue of 2016, this journal uses article numbers instead of page numbers. See further details here.

Article Metrics

Back to TopTop