Characterizing Crustal Deformation of the Weihe Fault, Weihe Basin (Central China), Using InSAR and GNSS Observations
Abstract
1. Introduction
2. Study Area and Datasets
2.1. Background of Study Area
2.2. Data Collection
3. Methods
3.1. LOS Deformation Rate Derived from Stacking-InSAR
3.2. Three-Dimensional Deformation Rate by Integrating of GNSS and InSAR
3.3. Tectonic Deformation Decomposition through Wavelet Analysis
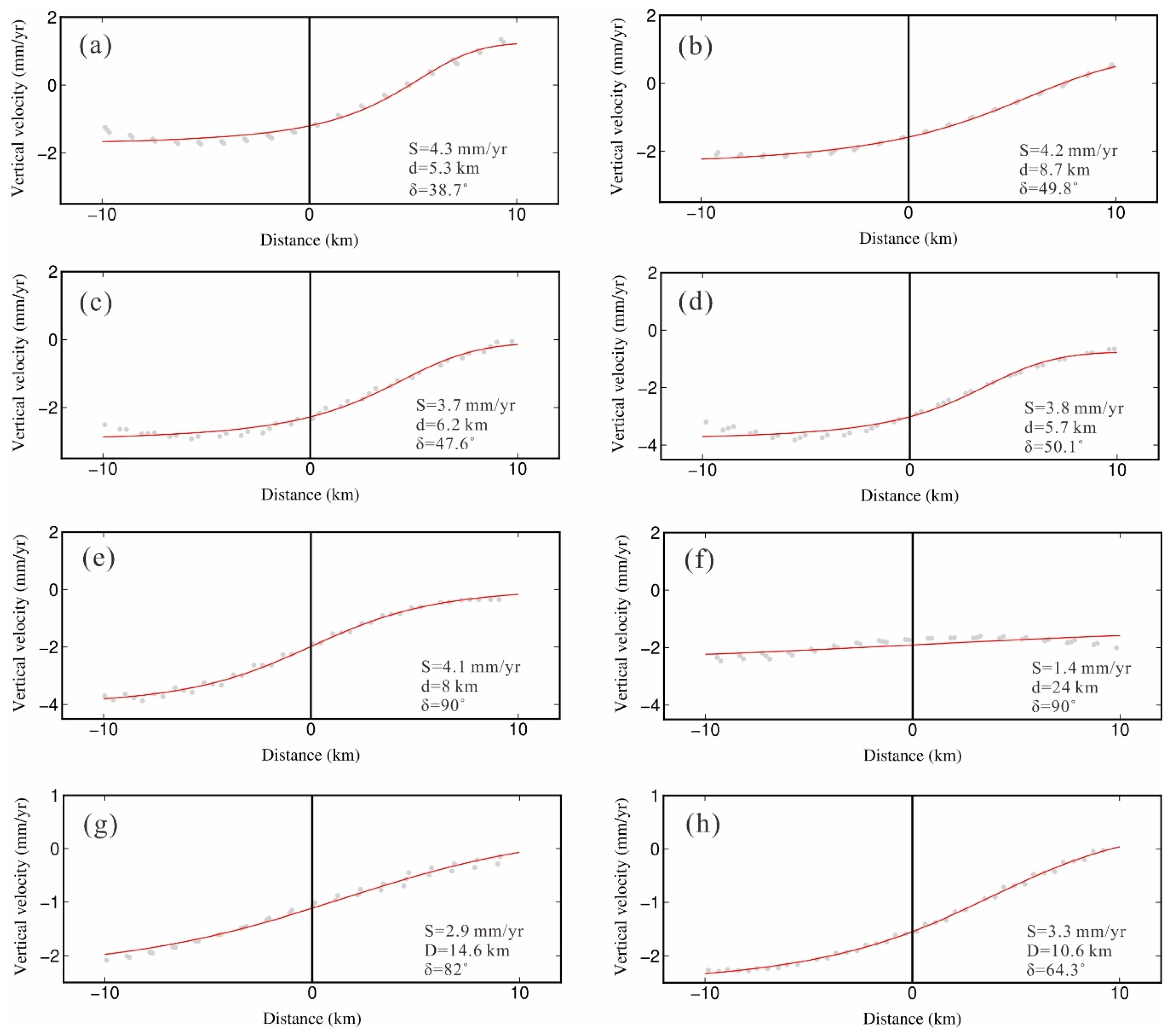
3.4. Inversion of Slip Rate and Locking Depth along the Weihe Fault
4. Experiment and Analysis
4.1. LOS Deformation Rate from Stacking-InSAR
4.2. Three-Dimensional Deformation Rates along the Weihe Fault
4.3. Tectonic Deformation along Weihe Fault
5. Discussion
5.1. Current Earthquake Risk of the Weihe Fault
5.2. Ground Subsidence Caused by Groundwater Withdrawal
6. Conclusions
- (1)
- The high-spatial-resolution vertical deformation rate of the Weihe Fault was successfully estimated through integrating InSAR and GNSS observations. The GNSS was sensitive to the horizontal deformation, while InSAR was sensitive to the vertical deformation. Based on this fact, the three-dimensional deformation rates were produced by integrating GNSS and InSAR datasets. The standard deviation between the leveling and integrated vertical deformation rate was 1.69 mm/yr, and the mean value was 0.6 mm/yr, demonstrating the reliability of the proposed method.
- (2)
- The earthquake risk of the eastern section of the Weihe Fault should attract attention. The long-wavelength tectonic movement and small-scale human-activities-induced deformation were decomposed by wavelet analyses. The expected tectonic velocity gradient was found along the Weihe Fault, implying stress accumulation and posing a risk of moderate to strong earthquakes in the Weihe Fault. Taking into account the higher locking depth and historical earthquake record, attention should be paid to the earthquake risk of the eastern section of the Weihe Fault.
Author Contributions
Funding
Institutional Review Board Statement
Informed Consent Statement
Data Availability Statement
Acknowledgments
Conflicts of Interest
References
- Deng, W.; Song, J.; Sun, H.; Cheng, D.; Zhang, X.; Liu, J.; Kong, F.; Wang, H.; Khan, A.J. Isolating of climate and land surface contribution to basin runoff variability: A case study from the Weihe River Basin, China. Ecol. Eng. 2020, 153, 105904. [Google Scholar] [CrossRef]
- Qu, F.; Zhang, Q.; Niu, Y.; Lu, Z.; Wang, S.; Zhao, C.; Zhu, W.; Qu, W.; Yang, C. Mapping the recent vertical crustal deformation of the Weihe Basin (China) using Sentinel-1 and ALOS-2 ScanSAR imagery. Remote Sens. 2022, 14, 3182. [Google Scholar] [CrossRef]
- Yang, C.; Ji, L.; Yang, Y.; Su, L.; Wang, Y.; Shi, H. Present-day activity and seismic potential of the north Qinling fault, southern ordos block, central China, as revealed from GPS data and seismicity. Front. Earth Sci. 2023, 10, 2396. [Google Scholar] [CrossRef]
- Peng, J.B. Tectonic evolution and seismicity of Weihe Fault zone. Seismol. Geol. 1992, 14, 113–120. [Google Scholar]
- Luo, Q.; Li, C.; Ren, G.; Hu, X.; Li, X.; Li, Y. The 1673 Tianzhen earthquake and rupture behavior of the Yanggao-Tianzhen Fault in the northern Shanxi Graben, China. Tectonics 2023, 42, e2022TC007582. [Google Scholar] [CrossRef]
- Ren, J.; Peng, J.B.; Wang, F.Y.; Liu, C.; Feng, X.J.; Dai, W.Q. The research of deep structural features of Weihe basin and adjacent areas. Chin. J. Geophys. 2012, 55, 2939–2947. [Google Scholar]
- Zhang, Y.Z.; Xu, H.J.; Wang, W.D.; Liu, J.; Shan, F. Inversion on Slip Velocity of Main Faults in Weihe Basin by Particle Swarm Optimization Algorithm with GPS Data. China Earthq. Eng. J. 2011, 33, 322–325. [Google Scholar]
- Zhang, Q.; Qu, W.; Peng, J.B.; Wang, Q.L.; Li, Z.H. Research on tectonic causes of numerous ground fissures development mechanism and its unbalance distribution between eastern and western of Weihe basin. Chin. J. Geophys. 2012, 55, 2589–2597. [Google Scholar]
- Hu, Y.; Qin, S.; Hao, M. Three-dimensional crustal deformation before and after the Wenchuan earthquake in Guanzhong and adjacent regions. Geod. Geodyn. 2015, 6, 16–24. [Google Scholar] [CrossRef]
- Qu, W.; Wang, Y.S.; Xu, C.; Zhang, Q.; Wang, Q.L. Current Tectonic Stress and Activities Characteristics of the Deep Faults Within Weihe Basin. Geomat. Inf. Sci. Wuhan Univ. 2017, 42, 825–830. [Google Scholar]
- Cui, D.X.; Hao, M.; Qin, S.L.; Wang, W.P. Inversion of fault dip-slip rate and locking depth in Central-Southern Shaanxi of China. Chin. J. Geophys. 2019, 62, 4648–4657. [Google Scholar]
- Gao, Y.; Qu, W.; Zhang, Q.; Wang, Q.L.; Hao, M. Differential Characteristics of Present-Day Crustal Movement and Strain Field in the Fenwei Basin and Its Surrounding Regions Revealed by GNSS Observations. Geomat. Inf. Sci. Wuhan Univ. 2021, 46, 1063–1070. [Google Scholar]
- Cai, X.C.; Tang, H.T. Discussion on dynamic evolution characteristics of the crust in the southwestern margin of Ordos block based on GPS data. Seismol. Geomagn. Obs. Res. 2022, 43, 14–21. [Google Scholar]
- Peng, M.; Zhao, C.; Zhang, Q.; Lu, Z.; Li, Z. Research on spatiotemporal land deformation (2012–2018) over Xi’an, China, with multi-sensor SAR datasets. Remote Sens. 2019, 11, 664. [Google Scholar] [CrossRef]
- Chen, J.; Zhang, D.L.; Zhou, Y. Estimating present slip rate of the faults in the Weihe Graben using Envisat ASAR data. Seismol. Geol. 2020, 42, 333–345. [Google Scholar]
- Niu, Y.F. Applications of SAR interferometry for co-seismic, interseismic and volcano deformation monitoring, modeling and interpretation. Acta Geod. Cartogr. Sin. 2022, 51, 471. [Google Scholar]
- Li, X.N.; Zhang, P.Z.; Zheng, W.J.; Feng, X.J.; Li, C.Y.; Pierce, I.K.; Xu, H.Y. Kinematics of Late Quaternary Slip Along the Qishan-Mazhao Fault: Implications for Tectonic Deformation on the Southwestern Ordos, China. Tectonics 2018, 37, 2983–3000. [Google Scholar] [CrossRef]
- Du, J.; Shi, C.X. Effects of climatic factors and human activities on runoff of the Weihe River in recent decades. Quatern. Int. 2012, 282, 58–65. [Google Scholar] [CrossRef]
- Peng, J.B.; Su, S.R.; Mi, F.S. Active Faults and Geological Hazards in the Weihe Basin; Northwest University Press: Evanston, IL, USA, 1992. [Google Scholar]
- Yang, C.; Li, X.; Tao, W. Microstructure characteristics and tectonic significance of bedrock fault plane of the Kouzhen-Guanshan fault. In Advances in Geology and Resources Exploration; CRC Press: Boca Raton, FL, USA, 2022; pp. 88–96. [Google Scholar]
- Du, J.; Li, D.; Wang, Y.; Ma, Y. Late quaternary activity of the Huashan Piedmont fault and associated hazards in the southeastern Weihe Graben, Central China. Acta Geol. Sin. Engl. Ed. 2017, 91, 76–92. [Google Scholar] [CrossRef]
- Li, W.; Feng, X. Discovery of the Qinghe fault, the inner part of the Weihe graben, central China, and its geological significance. Front. Earth Sci. 2023, 11, 1127897. [Google Scholar] [CrossRef]
- Wang, M.; Shen, Z.K. Present-day crustal deformation of continental China derived from GPS and its tectonic implications. J. Geophys. Res. 2020, 125, e2019JB018774. [Google Scholar] [CrossRef]
- Hao, M.; Wang, Q.; Cui, D.; Liu, L.; Zhou, L. Present-day crustal vertical motion around the Ordos block constrained by precise leveling and GPS data. Surv. Geophys. 2016, 37, 923–936. [Google Scholar] [CrossRef]
- Sandwell, D.T.; Price, E.J. Phase gradient approach to stacking interferograms. J. Geophys. Res. 1998, 103, 30183–30204. [Google Scholar] [CrossRef]
- Zhang, W.T.; Zhu, W.; Tian, X.D.; Zhang, Q.; Zhao, C.; Niu, Y.F.; Wang, C.S. Improved DEM Reconstruction Method based on Multi Baseline InSAR. IEEE Trans. Geosci. Remote Sens. Lett. 2022, 19, 4011505. [Google Scholar]
- Costantini, M. A novel phase unwrapping method based on network programming. IEEE Trans. Geosci. Remote Sens. 1998, 36, 813–821. [Google Scholar] [CrossRef]
- Ferretti, A. Nonlinear subsidence rate estimation using permanent scatters in differential SAR interferometry. IEEE Trans. Geosci. Remote Sens. 2000, 38, 2202–2212. [Google Scholar] [CrossRef]
- Weiss, J.R.; Walters, R.J.; Morishita, Y.; Wright, T.J.; Lazecky, M.; Wang, H.; Parsons, B. High-resolution surface velocities and strain for Anatolia from Sentinel-1 InSAR and GNSS data. Geophys. Res. Lett. 2020, 47, e2020GL087376. [Google Scholar] [CrossRef]
- Shen, Z.K.; Liu, Z. Integration of GPS and InSAR data for resolving 3-dimensional crustal deformation. Earth Space Sci. 2020, 7, e2019EA001036. [Google Scholar] [CrossRef]
- Shen, Z.K.; Wang, M.; Zeng, Y.; Wang, F. Optimal interpolation of spatially discretized geodetic data. B Seismol. Soc. Am. 2015, 105, 2117–2127. [Google Scholar] [CrossRef]
- Tape, C.; Musé, P.; Simons, M.; Dong, D.; Webb, F. Multiscale estimation of GPS velocity fields. Geophys. J. Int. 2009, 179, 945–971. [Google Scholar] [CrossRef]
- Savage, J.C.; Burford, R.O. Geodetic determination of relative plate motion in central California. J. Geophys. Res. 1973, 78, 832–845. [Google Scholar] [CrossRef]
- Joshi, M.; Naik, S.P.; Mohanty, A.; Bhadran, A.; Girishbai, D.; Ghosh, S. First hand observations from the April 28, 2021 Sonitpur (MW 6.4) earthquake, Assam, India: Possible mechanism involved in the occurrence of widespread ground effects. Geosci. J. 2023, 27, 225–239. [Google Scholar] [CrossRef]
- Zou, Z.Y.; Jiang, Z.S.; Wu, Y.Q.; Wei, W.X.; Liu, X.X.; Zhang, L. Improvements for the strike/Dip-slip displacement theory formula of general dip fault. J. Geod. Geodyn. 2015, 35, 460–468. [Google Scholar]







| Satellite | Path | Orbital Direction | Azimuth Angle | Data Period | No. of Images |
|---|---|---|---|---|---|
| Sentinel-1A | 84 | Ascending | −13 | 12/2015–03/2019 | 26 |
| Order, q | Average Side Arc-Length, | ||||
|---|---|---|---|---|---|
| 0 | 20 | 12 | 63.435° | 7053.64 km | 3 |
| 1 | 80 | 42 | 31.718° | 3526.82 km | 6 |
| 2 | 320 | 162 | 15.859° | 1763.41 km | 11 |
| 3 | 1280 | 642 | 7.929° | 881.71 km | 23 |
| 4 | 5120 | 2562 | 3.965° | 440.85 km | 45 |
| 5 | 20,480 | 10,242 | 1.982° | 220.43 km | 91 |
| 6 | 81,920 | 40,962 | 0.991° | 110.21 km | 182 |
| 7 | 327,680 | 163,842 | 0.496° | 55.11 km | 363 |
| 8 | 1,310,720 | 655,362 | 0.248° | 27.55 km | 726 |
| 9 | 5,242,880 | 2,621,442 | 0.124° | 13.78 km | 1453 |
| 10 | 20,917,520 | 10,485,762 | 0.062° | 6.89 km | 2906 |
| 11 | 83,886,080 | 41,943,042 | 0.031° | 3.44 km | 5811 |
| 12 | 335,544,320 | 167,772,162 | 0.016° | 1.72 km | 11,623 |
Disclaimer/Publisher’s Note: The statements, opinions and data contained in all publications are solely those of the individual author(s) and contributor(s) and not of MDPI and/or the editor(s). MDPI and/or the editor(s) disclaim responsibility for any injury to people or property resulting from any ideas, methods, instructions or products referred to in the content. |
© 2023 by the authors. Licensee MDPI, Basel, Switzerland. This article is an open access article distributed under the terms and conditions of the Creative Commons Attribution (CC BY) license (https://creativecommons.org/licenses/by/4.0/).
Share and Cite
Tian, Q.-H.; Zhang, W.-T.; Zhu, W. Characterizing Crustal Deformation of the Weihe Fault, Weihe Basin (Central China), Using InSAR and GNSS Observations. Appl. Sci. 2023, 13, 6835. https://doi.org/10.3390/app13116835
Tian Q-H, Zhang W-T, Zhu W. Characterizing Crustal Deformation of the Weihe Fault, Weihe Basin (Central China), Using InSAR and GNSS Observations. Applied Sciences. 2023; 13(11):6835. https://doi.org/10.3390/app13116835
Chicago/Turabian StyleTian, Qin-Hu, Wen-Ting Zhang, and Wu Zhu. 2023. "Characterizing Crustal Deformation of the Weihe Fault, Weihe Basin (Central China), Using InSAR and GNSS Observations" Applied Sciences 13, no. 11: 6835. https://doi.org/10.3390/app13116835
APA StyleTian, Q.-H., Zhang, W.-T., & Zhu, W. (2023). Characterizing Crustal Deformation of the Weihe Fault, Weihe Basin (Central China), Using InSAR and GNSS Observations. Applied Sciences, 13(11), 6835. https://doi.org/10.3390/app13116835

