Study on Seismic Attenuation Based on Wave-Induced Pore Fluid Dissolution and Its Application
Abstract
1. Introduction
- The Backus effective average method uses effective medium theory and a layered method to achieve high-frequency to low-frequency velocity correction. [11] deeply discussed the effect of Backus effective averaging on elastic scattering characteristics in the medium; ref. [12] used Backus effective averaging to conduct in-depth research on logging data scaling upscaling. The P and S wave velocities lead to rock physical analysis conclusions comparable to seismic scales.
- The multi-resolution analysis method stretches the signals between adjacent events of the sonic logging synthetic seismic traces to align them with the corresponding events on the side-well traces. Ref. [13] applied multi-resolution analysis technology to the resampling of logging data and the matching of synthetic records and seismic traces, and the matching accuracy was high.
- The rock physical model calibration method combines velocity dispersion theory and an absorption attenuation mechanism to achieve velocity calibration at different scales. Based on the resonant Q model [14], many researchers [15] measured the sonic logging velocity in different target blocks. Dispersion calibration was performed to improve the well–seismic matching effect. Ref. [16] combined the DEM model and the microscopic dispersion theoretical model to extrapolate the logging frequency band velocity to the seismic frequency band for well–seismic matching and inversion calculations and achieved good results in carbonate reservoirs.
2. Materials and Methods
Rock Physics Model Upscaling by Visco-Elastic Model
- Rock physics modeling. Based on the geology, geochemistry and core data, a suitable rock physics model is selected, and the parameters in the model are upgraded. The WIGED model is used here for fluid, and the SCA model is used for rock matrix. Then, the saturated rock is obtained by Gassmann substitution. The key parameters in the WIGED model are the size of the bubble and diffusion length.
- Attenuation curve calculation. Q(f) curve is then calculated from the rock physics model. The explicit Q(f) expression can be derived through upscaling by visco-elastic model. Here, we use the SLS model for upscaling, which yields best results compared with other visco-elastic models, such as the power-law model.
- Well-to-seismic data calibration. Based on the reflection coefficient and Q(f), the attenuated synthetic seismic data can be generated. By adjusting the Q related parameters in visco-elastic model (strain relaxation time and stress relaxation time in the SLS model), the optimal match between synthetic seismic data and field data can be found.
3. Synthetic Data Test
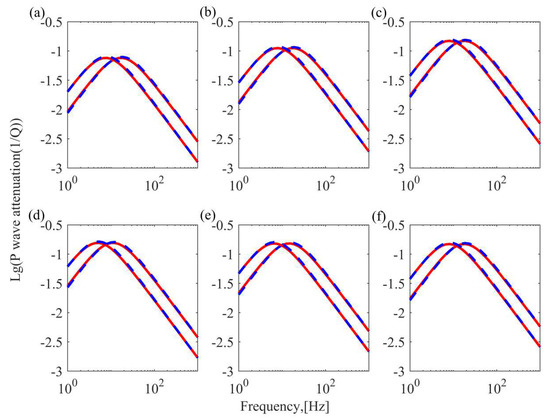
3.1. Rock Physics Modeling and Velocity Dispersion Analyzing
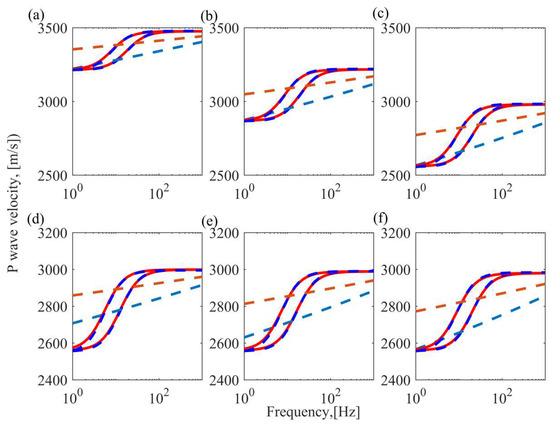
3.2. Velocity Variation from Logging Data to Seismic Data Based on Rock Physics Model and Backus Averaging Method
3.3. Velocity Dispersion Correction on Synthetic Seismic Data
4. Real Data Application
5. Discussion
6. Results
Author Contributions
Funding
Data Availability Statement
Acknowledgments
Conflicts of Interest
References
- Pride, S.R.; Berryman, J.G.; Harris, J.M. Seismic attenuation due to wave-induced flow. J. Geophys. Res. Solid Earth 2004, 109, 1–19. [Google Scholar] [CrossRef]
- Müller, T.M.; Gurevich, B.; Lebedev, M. Seismic wave attenuation and dispersion resulting from wave-induced flow in porous rocks—A review. Geophysics 2010, 75, A147–A175. [Google Scholar] [CrossRef]
- Dvorkin, J.; Mavko, G.; Nur, A. Squirt flow in fully saturated rocks. Geophysics 1995, 60, 97–107. [Google Scholar] [CrossRef]
- White, J.E. Computed seismic speeds and attenuation in rock with partial gas saturation. Geophysics 1975, 40, 224–232. [Google Scholar] [CrossRef]
- White, J.E.; Mikhaylova, N.G.; Lyakhovitskiy, F.M. Low-frequency seismic waves in fluid-saturated layered rocks. Phys. Solid Earth 1975, 11, 654–659. [Google Scholar] [CrossRef]
- Johnson, D.L. Theory of frequency dependent acoustics in patchy-saturated porous media. Geology 2001, 110, 682–694. [Google Scholar] [CrossRef]
- Tisato, N.; Quintal, B.; Chapman, S.; Podladchikov, Y.; Burg, J.P. Bubbles attenuate elastic waves at seismic frequencies: First experimental evidence. Geophys. Res. Lett. 2015, 42, 3880–3887. [Google Scholar] [CrossRef]
- Tisato, N.; Madonna, C. Attenuation at low seismic frequencies in partially saturated rocks: Measurements and descriptions of a new apparatus. J. Appl. Geophys. 2012, 86, 44–53. [Google Scholar] [CrossRef]
- Tisato, N.; Quintal, B. Measurements of seismic attenuation and transient fluid pressure in partially saturated Berea sandstone: Evidence of fluid flow on the mesoscopic scale. Geophys. J. Int. 2013, 195, 342–351. [Google Scholar] [CrossRef]
- Chapman, N.; Quintal, S.; Tisato, B.; Holliger, K. Frequency scaling of seismic attenuation in rocks saturated with two fluid phases. Geophys. J. Int. 2017, 208, 221–225. [Google Scholar] [CrossRef][Green Version]
- Sams, M.S.; Wolliamson, P.R. Backus averaging, scattering and drift. Geophys. Prospect. 1994, 42, 541–564. [Google Scholar] [CrossRef]
- Cao, D. The upscaling method of the well logging data based on Backus equivalence average method. Geophys. Prospect. Pet. 2015, 54, 105–111. [Google Scholar]
- Dong, E.Q.; Liu, G.Z.; Zhang, Z.P.; Chen, H.Z. Resampling of Logging Data and Matching of Synthetic Seismogram with Seismic Trace by Multiresolution Analysis. WLT 1999, 23, 264–267. [Google Scholar]
- Yang, W. A resonance Q model for viscoelastic rocks. Acta Geophys. Sin. 1987, 30, 399–411. [Google Scholar]
- Ba, J.; Jm, C.; Cao, H.; Du, Q.Z.; Yuan, Z.Y.; Lu, M.H. Velocity dispersion and attenuation of P waves in partially-saturated rocks: Wavepropagation equations in double-porosity medium. Chin. J. Geophys. 2012, 55, 219–231. (In Chinese) [Google Scholar]
- Wang, Z.; Sun, Y.; Xiao, Y. Full-frequency band velocity prediction model and its application on seismic reservoir prediction. Geology 2011, 73, 23–26. [Google Scholar]
- Picotti, S.; Carcione, J.M.; Rubino, J.G.; Santos, J.E.; Cavallini, F. A viscoelastic representation of wave attenuation in porous media. Comput. Geosci. 2010, 36, 44–53. [Google Scholar] [CrossRef]
- Wang, E.; Carcione, J.M.; Ba, J. Wave simulation in double-porosity media based on the Biot-Rayleigh theory. Geophysics 2019, 84, WA11–WA21. [Google Scholar] [CrossRef]
- Zhang, B.; Yang, D.; Cheng, Y.; Zhang, Y. A unified poroviscoelastic model with mesoscopic and microscopic heterogeneities. Geology 2019, 64, 1246–1254. [Google Scholar] [CrossRef]
- Picotti, S.; Carcione, J.M. Numerical simulation of wave-induced fluid flow seismic arrenuation based on the Cole-Cole model. Geology 2017, 142, 134–145. [Google Scholar]
- Lu, J.F.; Hanyga, A. Numerical modelling method for wave peopagation in a linear viscoelastic medium with singulat memory. Grophysical J. Int. 2004, 159, 688–702. [Google Scholar] [CrossRef]
- Bano, M. Modelling of GPR waves for lossy media obeying a complex power law of frequency for dielectric permittivity. Geophys. Prospect. 2004, 52, 11–26. [Google Scholar] [CrossRef]
- Hagin, P.N.; Zoback, M.D. Viscous deformation of unconsolidated reservoir sands—Part 2: Linear viscoelastic models. Geophysics 2004, 69, 742–751. [Google Scholar] [CrossRef]
- Toverud, T.; Ursin, B. Comparison of seismic attenuation models using zero-offset vertical seismic profiling (VSP) data. Geophisics 2005, 70, F17–F25. [Google Scholar] [CrossRef]
- Sacchi, M.D. Reweighting strategies in seismic deconvolution. Geophys. J. Int. 1997, 129, 651–656. [Google Scholar] [CrossRef]
- Rickett, J. Integrated estimation of interval-attenuation distributions. Geophysics 2006, 71, A19–A23. [Google Scholar] [CrossRef]










| Parameter | Symbol | Value | Unit |
|---|---|---|---|
| bulk modulus of oil | KO | 1.8 × 109 | Pa |
| surface tension of gas | Sigma | 0.012 | Pa∙m |
| gas constant | R | 8.3144621 | m3∙Pa/K mol |
| Henry’s law constant of gas | KHpc | 4535 | Pa∙m3/mol |
| temperature | T | 350 | K |
| gas diffusion coefficient in water | DW | 1.00 × 10−8 | m2/s |
| gas solubility | S1 | 4535 | Pa∙m3/mol |
| initial pressure | Pi | 2.00 × 107 | Pa |
| delta pressure | dP | 100 | Pa |
| water viscosity | visc_f | 1.00 × 10−3 | Pa∙s |
| CO2 viscosity | visc_g | 4.80 × 10−5 | Pa∙s |
| water density | rho_w | 840 | kg/m3 |
| gas density | rho_g | 119 | kg/m3 |
| CH4 viscosity | visc_g | 6.00 × 10−6 | Pa∙s |
| oil viscosity | visc_f | 8.00 × 10−4 | Pa∙s |
| high pressure | Ph | 2.00 × 107 | Pa |
| initial radius of bubble | r | 5.00 × 10−6 | m |
| water saturation | Sat | 1.50 × 10−3 | unitless |
| porosity | phi | 6.00 × 10−2 | unitless |
| mineral content of sand | Sand | 0.35 | unitless |
| mineral content of clay | Clay | 0.65 | unitless |
| Poisson ratio | pois | 0.14 | unitless |
| bulk modulus of the gas | Kg | 1.00 × 104 | Pa |
| permeability | perm | 1.00 × 10−12 | m2 |
Disclaimer/Publisher’s Note: The statements, opinions and data contained in all publications are solely those of the individual author(s) and contributor(s) and not of MDPI and/or the editor(s). MDPI and/or the editor(s) disclaim responsibility for any injury to people or property resulting from any ideas, methods, instructions or products referred to in the content. |
© 2022 by the authors. Licensee MDPI, Basel, Switzerland. This article is an open access article distributed under the terms and conditions of the Creative Commons Attribution (CC BY) license (https://creativecommons.org/licenses/by/4.0/).
Share and Cite
Jin, Z.; Zheng, X.; Shi, Y.; Wang, W. Study on Seismic Attenuation Based on Wave-Induced Pore Fluid Dissolution and Its Application. Appl. Sci. 2023, 13, 74. https://doi.org/10.3390/app13010074
Jin Z, Zheng X, Shi Y, Wang W. Study on Seismic Attenuation Based on Wave-Induced Pore Fluid Dissolution and Its Application. Applied Sciences. 2023; 13(1):74. https://doi.org/10.3390/app13010074
Chicago/Turabian StyleJin, Ziqi, Xuelin Zheng, Ying Shi, and Weihong Wang. 2023. "Study on Seismic Attenuation Based on Wave-Induced Pore Fluid Dissolution and Its Application" Applied Sciences 13, no. 1: 74. https://doi.org/10.3390/app13010074
APA StyleJin, Z., Zheng, X., Shi, Y., & Wang, W. (2023). Study on Seismic Attenuation Based on Wave-Induced Pore Fluid Dissolution and Its Application. Applied Sciences, 13(1), 74. https://doi.org/10.3390/app13010074
