Abstract
Unmanned aerial vehicles (UAVs) are considered an important component of 6G wireless technology. However, there are many challenges to the employment of UAVs, one of which is spectrum scarcity. To address this challenge, non-orthogonal multiple access (NOMA) and cognitive radio (CR) techniques are employed in UAV short-packet communication systems. In this paper, we consider a NOMA-based cognitive UAV short-packet communication system. Firstly, a mathematical expression for the effective throughput of the secondary users is derived. Then, we aim to maximize the effective throughput of the far secondary user by optimizing the sensing time, power allocation, and information bits under the constraints of the transmission power and effective decoding error probability. A joint optimization algorithm is used to solve this problem, where the bisection method and the one-dimensional linear search algorithm are used to solve the subproblem. The simulation results show that the proposed algorithm has low complexity and similar performance compared to the exhaustive method. In addition, the necessity of joint optimization is shown in the simulation results.
1. Introduction
1.1. Background and Related Works
With the development of 6G communication technology, UAV communication is becoming a hot research topic [1]. In ultra-reliable and low-latency communication (URLLC) scenarios, stable line-of-sight (LoS) communication can be obtained using UAV communication [2]. In addition, UAVs can rapidly change location and be deployed on demand [3] for emergency communication scenarios. However, they also face several challenges, one of which is spectrum scarcity. Due to the development of communication technologies and the increase in communication users [4,5,6], the problem of spectrum resource scarcity has become more severe. To solve this challenge, the concept of spectrum sharing is proposed and cognitive radio (CR) technology is created [7]. In addition, non-orthogonal multiple access (NOMA) techniques can also improve spectrum utilization efficiency [8].
By using cognitive radio technology, the state of the primary user (PU) can be sensed by the UAV and when the state of the PU is idle, the UAV uses the spectrum of the PU for communication [9]. In [10], the authors investigated the effect of the UAV’s sensing radius on the performance of the communication system under circular and straight trajectories. In [11], the sensing time and the transmitting power of the UAV were jointly optimized to improve the energy efficiency of the system. In [12], a cognitive UAV mobile relay network based on energy harvesting was studied and power control algorithms were proposed to maximize the throughput of the system. In [13], UAV cognitive communication systems in overlay mode and hybrid mode were investigated separately. Specifically, the energy and spectral efficiency of the system were improved by optimizing the system parameters. In [14], multiple PUs were considered in UAV cognitive communication systems. The results show that the trajectory of the UAV has an impact on the system transmission rate and the existence of an optimal trajectory.
Successive interference cancellation (SIC) is used in NOMA communications, which allows the receiver to process information on the same time/frequency carrier [15]. This provides an efficient way for UAVs to serve users with different types of service needs with limited spectrum resources. Until now, many studies have been conducted on the application of NOMA to UAVs. In [16], the height of the UAV was optimized to ensure the fairness of the NOMA-based UAV communication system under the single-user rate limit. In [17], the authors derived the outage probability of the NOMA-based UAV communication system under the Rician channel model and analyzed the effect of the parameters on the system. In [18], the NOMA-UAV transmitted data from the base station to multiple ground users and the authors considered jointly optimizing the location and transmission power of the UAV to minimize its total power consumption. In [19], a UAV was used as a relay node for emergency communication employing NOMA techniques while considering fair transmission for ground users. In [20], a scenario of data collection by NOMA-based UAV was considered. The UAV flew in a linear trajectory and the authors took the time efficiency of the data collection as the optimization objective.
As an important component of 6G wireless technology, UAVs need to provide URLLC, which typically uses short-packet communication (SPC) to reduce physical-layer transmission delays [21]. In [22], Professor Polyanskiy investigated the mathematical relationship between the transmission rate and relevant parameters in short-packet communication under additive Gaussian white noise (AWGN) channels. In contrast to long-packet communication, where the packets are shorter, the transmission rate of the packets was shown to be smaller than the Shannon capacity and the decoding error probability should be considered [23,24,25,26]. In [27], the reliability of the short-packet-based UAV relay communication system was taken as the optimization objective, and from the paper, it could be seen that the optimal transmit power and UAV locations could be obtained. In [28], a two-way communication model for UAVs was proposed. In the forward link, short packets are transmitted with control information and the backward link transmits the information collected through the long packets.
Until now, there have been relatively few studies combining CR and NOMA techniques for UAV communications. In [29], the authors considered maximizing the total rate of secondary users in a cognitive radio network by optimizing the relevant parameters. In addition, [30] investigated the problem of optimizing the safe transmission rate for UAVs. However, the effect of the decoding error probability on UAV communication has not been researched.
1.2. Motivation and Contributions
In mission-critical communication networks, information is always transmitted in short packets so we consider a UAV short-packet communication network. In addition, we find that the cognitive radio and non-orthogonal multiple-access techniques have been applied in previous studies to solve the spectrum scarcity problem and improve the spectrum efficiency in short-packet communication. In [31], the NOMA technique was applied in short-packet communication and the effective throughput of users with better channel gain was taken as the optimization objective. In [32], the authors improved the energy efficiency of the UAV short-packet communication system by optimizing the parameters such as the sensing time, transmit power, etc. Together with the above analysis, we consider a NOMA-based cognitive UAV short-packet communication system. The UAV in this system flies around the ground base station (GBS) in a circular path and detects its status by spectrum sensing. When the ground base station is idle, the UAV provides short-packet communication to secondary users using the NOMA technique.
The contributions of this paper are summarized in the following three points:
- (1)
- In the NOMA-based cognitive UAV short packet communication system, we present the problem of maximizing the effective throughput of far secondary users under the constraints of the transmission power and effective decoding error probability.
- (2)
- To solve this problem, the sensing time, information bits, and transmit power are optimized in the system.
- (3)
- The proposed optimization algorithm has low complexity and leads to similar results as the exhaustive method. The NOMA scheme can achieve higher throughput compared to some benchmark schemes.
1.3. Organization
The rest of this paper is organized as follows. Section 2 presents the model of the NOMA-based cognitive UAV short-packet communication system and formulates the problem under some constraints. Section 3 describes the method for the specific solution. Section 4 provides a simulation to verify the proposed method. Finally, Section 5 concludes the paper.
2. System Model and Problem Formulation
As shown in Figure 1a, we consider a NOMA-based cognitive UAV short-packet communication system consisting of a GBS, a UAV, and several secondary users, where the UAV is equipped with onboard sensors and transmits measurement information (e.g., meteorological, imagery, and electromagnetic information) to the secondary users. We assume that the UAV flies in a circular path around the GBS, where. its radius is R and the altitude is H. The GBS has priority to access the licensed spectrum with bandwidth B. Spectrum sensing is required to determine whether the GBS is idle or busy before UAV communication. When the GBS is idle, the UAV is allowed to access the licensed spectrum and provide communication to the secondary users around the flight path by utilizing NOMA. The secondary users are divided into multiple groups and the UAV provides communication services to one of the secondary user groups in one frame. In this paper, we focus on the effect of the system parameters on the effective throughput under the proposed model. Considering the high complexity of multi-user SIC in NOMA, we assume that each group has two secondary users. The horizontal distance from the UAV to the secondary user is , . In addition, since a GBS frame duration is usually very short, the distance between the UAV and , can be seen as unchanged for the duration of one frame.
Figure 1.
(a) Illustration of a NOMA-based cognitive UAV short-packet communication system. (b) GBS and UAV frame structures.
The channel power gain from the UAV to the secondary user is denoted as . When the UAV is located above a certain altitude, the free-space channel model can be adopted [33]. Hence, can be represented as , where is the channel power gain at a distance of one meter. We assume that and the distance between and the UAV is smaller than the distance between and the UAV. Then, it is obtained that . Next, we provide the sensing model, the transmission model, and the optimization problem formulation.
2.1. Sensing Model
As shown in Figure 1b, each GBS frame consists of N symbol periods and the UAV frame is synchronized with the GBS frame. Each symbol period is 1/B seconds. To avoid interference with GBS communication, the UAV uses a periodic sensing scheme to determine the state of the GBS. In each UAV frame, symbol periods are used to sense the state of the GBS and symbol periods are used to transmit information to the secondary users when the GBS is idle.
We assume that the UAV employs the energy detection method for spectrum sensing. Since the sensing is not perfect, the sensing results may not be correct. Based on [34], for a given detection probability , the false alarm probability can be calculated as
where is the sampling frequency at the UAV, is the signal-to-noise ratio (SNR) of the sensed GBS signal at the UAV, and is the Gaussian function, with . Since is determined by , we use to replace .
2.2. Transmission Model
When the GBS is idle, the UAV will transmit symbols to the secondary users using NOMA. In contrast to long-packet communication, the decoding error probability in short-packet communication is not negligible. According to [22], for a given transmission rate R, the decoding error probability of the secondary users can be approximated as
where , denotes the SNR at the secondary users, and V denotes the channel dispersion, .
Considering the effect of the non-zero error decoding probability, a perfect SIC with the NOMA transmission scheme cannot be guaranteed. Thus, we introduce the effective decoding error probability, which is defined as , , to represent the actual error probability at . In the following, we derive the expressions for the effective decoding error probability for and , respectively.
(1) Transmission to user : The received signal at can be expressed as
where denotes the AWGN with zero mean and variance at . and denote the signals sent by the UAV to and , respectively. and are the transmit power assigned to and , respectively.
For the received signal , the secondary user needs to eliminate before decoding . To this end, will be firstly decoded by and is regarded as interference. According to (2), for a given transmission rate , the decoding error probability of at is
where is the signal-to-interference-plus-noise ratio (SINR) at .
Then, if the secondary user successfully decodes , can use SIC to remove the interference caused by . In this case, for a given transmission rate , the decoding error probability of at the secondary user is
where is the SNR at the secondary user .
If the secondary user fails to decode , can only decode and is regarded as interference. According to (2), for a given transmission rate , the decoding error probability of at is
where is the SINR at the secondary user .
Based on the above analysis, the effective decoding error probability of at is given by
(2) Transmission to user : The received signal at can be expressed as
where denotes the AWGN with zero mean and variance at . According to the NOMA scheme, we decode at directly and is considered as interference.
According to (2), for a given transmission rate , the decoding error probability of at is
where is the SINR at . Since decodes directly by treating as interference, is equal to the effective decoding error probability for , i.e., .
2.3. Optimization Problem Formulation
In order to balance the effectiveness and reliability of the system, we evaluate the performance of the system using effective throughput as a metric. In this paper, the effective throughput of the secondary user is defined as
where is the prior probability that the state of the GBS is idle.
In short-packet communication, we can use the bits-per-channel use (BPCU) instead of the bits per second as the transmission rate. Suppose that the UAV sends I bits of information to the secondary user in each frame, then, the transmission rate can be redefined as [35]. Therefore, the effective throughput of the secondary user can be simplified as
In this paper, we aim to maximize the effective throughput of the far secondary users by optimizing the sensing time, power allocation, and information bits with constraints on the transmission power and effective decoding error probability. Thus, the problem we are interested in is formulated as
where P is the maximum transmit power of the UAV, is the maximum number of information bits transmitted by the UAV in each frame, is the maximum decoding error probability at the secondary user , Constraint (12b) specifies the range of the UAV transmission power, Constraint (12c) guarantees that the UAV allocates more transmission power to the secondary user , Constraints (12d) and (12e) are the feasible regions of the sensing time and information bits, respectively, and Constraint (12f) is the acceptable range of the decoding error probability for the secondary user .
3. Solutions of the Formulated Problems
In this section, the problem of maximizing the effective throughput of the far secondary users is investigated. Firstly, the formulated problem is divided into three subproblems, which are solved by a successive optimization algorithm. Then, a joint optimization algorithm is proposed to obtain the optimal system parameters.
3.1. Sensing Time Optimization with Fixed , , and I
When the power allocation and information bits are given, we only need to optimize the sensing time . In the following theorem, it is proved that is a concave function with respect to .
Theorem 1.
Given the power allocation , and the information bits I, is a concave function with respect to .
Proof.
Given the power allocation , and the information bits I, is determined by . Therefore, we employ instead of . The first- and second-order derivatives of are, respectively,
In addition, the first- and second-order derivatives of are given by
where , . (15) shows that the first-order derivative of is less than or equal to zero. (16) shows that the second-order derivative of is greater than or equal to zero.
Then, to simplify the notation, we denote , and the first- and second-order derivatives of are
where the first- and second-order derivatives of are given by
and , .
Based on Theorem 1, we can obtain the optimal sensing time via the bisection method by solving the following equation:
3.2. Power Allocation with Fixed and I
Given the sensing time and information bits, the optimization problem in (12) can be transformed into the following subproblem:
Theorem 2.
is a monotonically decreasing function with respect to .
Proof.
The first-order derivative of with respect to is derived as
where
Let define the function as . The first-order derivative of is given by
where .
We calculate the first-order derivative of as . Since , we have . Hence, is a monotonically decreasing function with respect to and . When , we can obtain . Since is a monotonically decreasing function with respect to , .
Based on the above analysis, we can derive
Following (26), it is easily derived that . Therefore, we can conclude that is a monotonically decreasing function with respect to . Theorem 2 is proved. □
From Theorem 2, we know that the effective decoding error probability of at is decreased by increasing the value of . Therefore, in order to maximize the value of , the value of should be as large as possible under the constraints of the transmission power and effective decoding error probability. Next, we prove Theorem 3 based on Theorem 2.
Theorem 3.
To maximize , the equality of Constraint (12b) should be guaranteed.
Proof.
Suppose that the optimal power allocation that maximizes the effective throughput of the far secondary users is and , satisfying . Define . The new power allocation can be obtained as and , satisfying .
Since , we have . It is easily derived that . According to Theorem 2, we have . Since is a monotonically decreasing function with respect to , it is obtained that . This contradicts the supposition that is the maximum effective throughput; hence, the optimal effective throughput is achieved when . Theorem 3 is proved. □
In order to reduce the complexity of the calculation, we investigate the feasible region of . Due to , we can obtain based on Constraint (12f). Then, we have . Thus, the lower bound of can be denoted as
From Theorem 3 and Constraint (12c), we know that . In addition, to guarantee the significance of , should be satisfied. Therefore, we can derive that . The upper bound of can be denoted as
Theorem 4.
To maximize , the equality of Constraint (12f) should be guaranteed.
Proof.
Suppose that the optimal power allocation that maximizes the effective throughput of the far secondary users is and . The effective decoding error probability for the near secondary user can be denoted as , which satisfies . From (27), we have . Since , we have .
Based on the fact that and , there must exist a value that can make . Then, following and Theorem 3, we have . It is easily derived that . According to Theorem 2, we can obtain . This contradicts the assumption that and are the optimal values of power allocation. Therefore, should be guaranteed in the optimization problem. Theorem 4 is proved. □
Based on Theorem 4, we can use a one-dimensional linear search algorithm to find the optimal value of in the region . Then, we obtain the optimal value of by .
3.3. Information Bits Optimization with Fixed ,, and
When the power allocation and sensing time are given, we only need to optimize the information bits I. In the following theorem, we prove that is a concave function with respect to I.
Theorem 5.
Given the power allocation ,, and the sensing time , is a concave function with respect to I.
Proof.
Given the power allocation , and the sensing time , is determined by I. Therefore, we employ instead of . The first- and second-order derivatives of are
Then, to simplify the notation, we denote , the first- and second-order derivatives of are
where the first- and second-order derivatives of are given by
Based on Theorem 5, we can obtain the optimal information bits via the bisection method by solving the following equation:
3.4. Joint Optimization and Analysis
Based on the above analysis, we propose a joint optimization algorithm to obtain the optimal solution of (12). Details of the joint optimization algorithm are given in Algorithm 1.
In Algorithm 1, the optimal sensing time is derived for the given information bits and power allocation. Then, the optimal information bits are derived for the given sensing time and power allocation. Then, the optimal power allocation is derived for the given sensing time and information bits. Finally, a joint optimization algorithm is used to obtain these optimal system parameters.
| Algorithm 1: Proposed Algorithm for Problem (12) |
|
| Output:,,,,. |
The complexity analysis of Algorithm 1 is as follows. The complexity of obtaining the optimal sensing time in step 3 of Algorithm 1 is . The complexity of obtaining the optimal information bits in step 5 of Algorithm 1 is , where is the error tolerance of the bisection method. In step 6 of Algorithm 1, the complexity of obtaining the optimal power allocation is . Therefore, the complexity of Algorithm 1 is , where is the maximum number of iterations of Algorithm 1. In the simulations, the algorithm usually converges within ten iterations. By using a similar analysis, the complexity of the exhaustive search algorithm is , where is the error tolerance of the exhaustive search algorithm. The complexity of Algorithm 1 is significantly lower than that of the exhaustive search algorithm. From the simulation results, it can be seen that the performance of Algorithm 1 is almost the same as the exhaustive search algorithm.
4. Numerical and Simulation Results
In this section, we provide the simulation results to show the performance of the proposed algorithm. The simulation parameters are set as follows: MHz, , and m. The horizontal distance from the UAV to and are m and m, respectively. The maximum transmission power of the UAV is W. The sensing SNR is dB. The noise power at the two secondary users is set to be dBmW. The probability of the idle state of the GBS is and the detection probability is . The channel power gain at a distance of one meter is dB. The maximum decoding error probability is and the maximum number of iterations of Algorithm 1 is . In the OMA scheme, the resource allocation factor for is 50%.
Figure 2 shows versus the number of iterations for different values of P. As shown in Figure 2, Algorithm 1 converges rapidly. It usually reaches convergence in ten iterations for the considered UAV transmission power, which indicates that the proposed algorithm has low complexity.
Figure 2.
Convergence behavior of Algorithm 1 for various values of P.
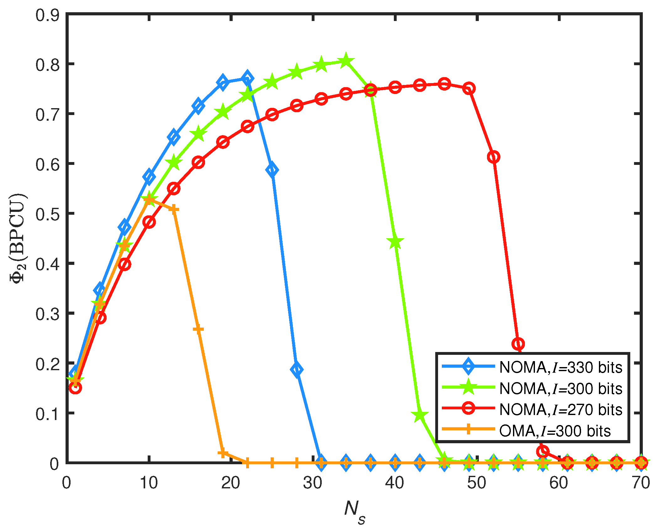
Figure 3 shows the impact of the sensing time on when bits, 300 bits, 330 bits. When the transmitted information bits are given, firstly increases and then decreases with the sensing time, and there is a unique optimal value such that achieves the maximum value. This coincides with the analysis in Theorem 1. When the value of is small, the increase in the sensing time mainly leads to a decrease in the false alarm probability, thus is increased. However, when is increased further, the increase in the sensing time mainly leads to an increase in and is decreased. In addition, the optimal value of in the NOMA scheme is higher than that in the OMA scheme.
Figure 3.
versus the sensing time for different schemes and I.
Figure 4 illustrates the impact of information bits on for different values of the sensing time. When the sensing time is given, firstly increases and then decreases with the increase in the information bits and there exists a unique value that maximizes . Therefore, Theorem 5 is verified. The increase in the information bits can enhance the value of , but when the information bits reach a certain value, will decrease sharply, causing to decrease to zero. It can be observed in Figure 4 that the NOMA scheme can achieve higher optimal values compared to the OMA scheme with the same sensing time.
Figure 4.
versus the information bits for different schemes and .
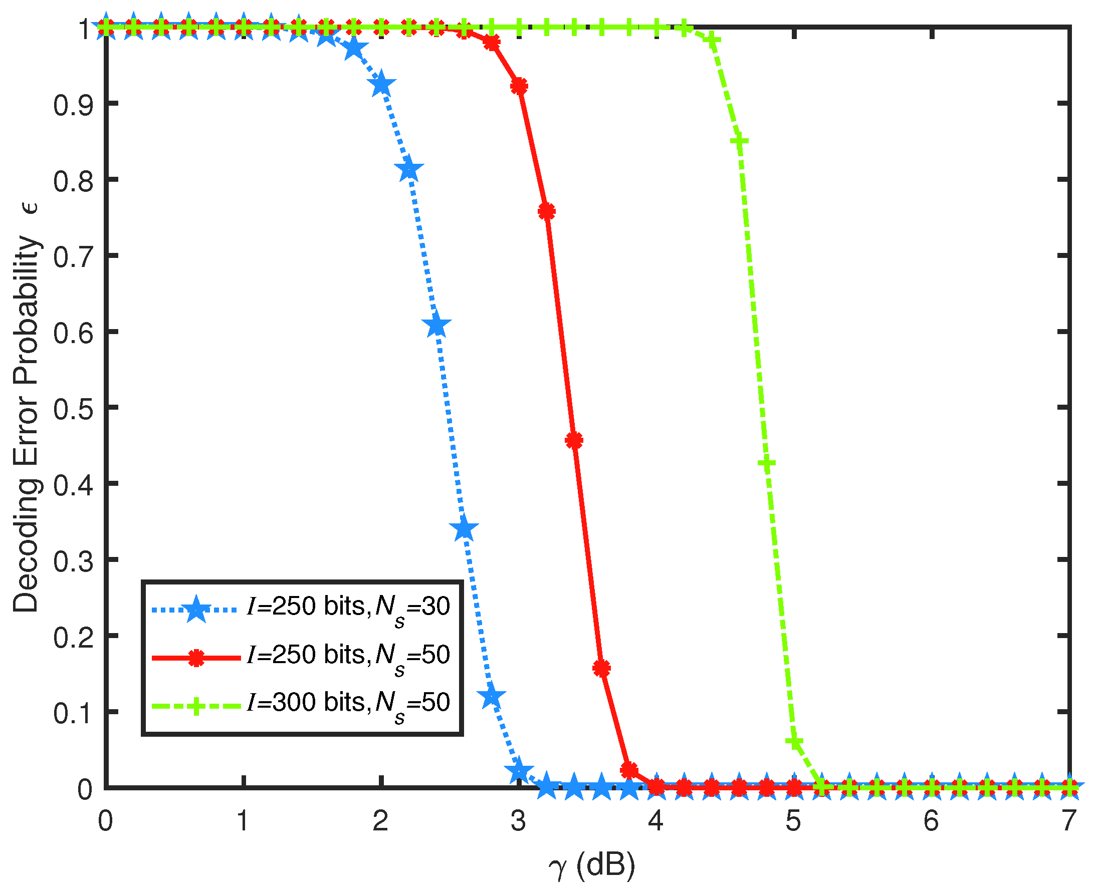
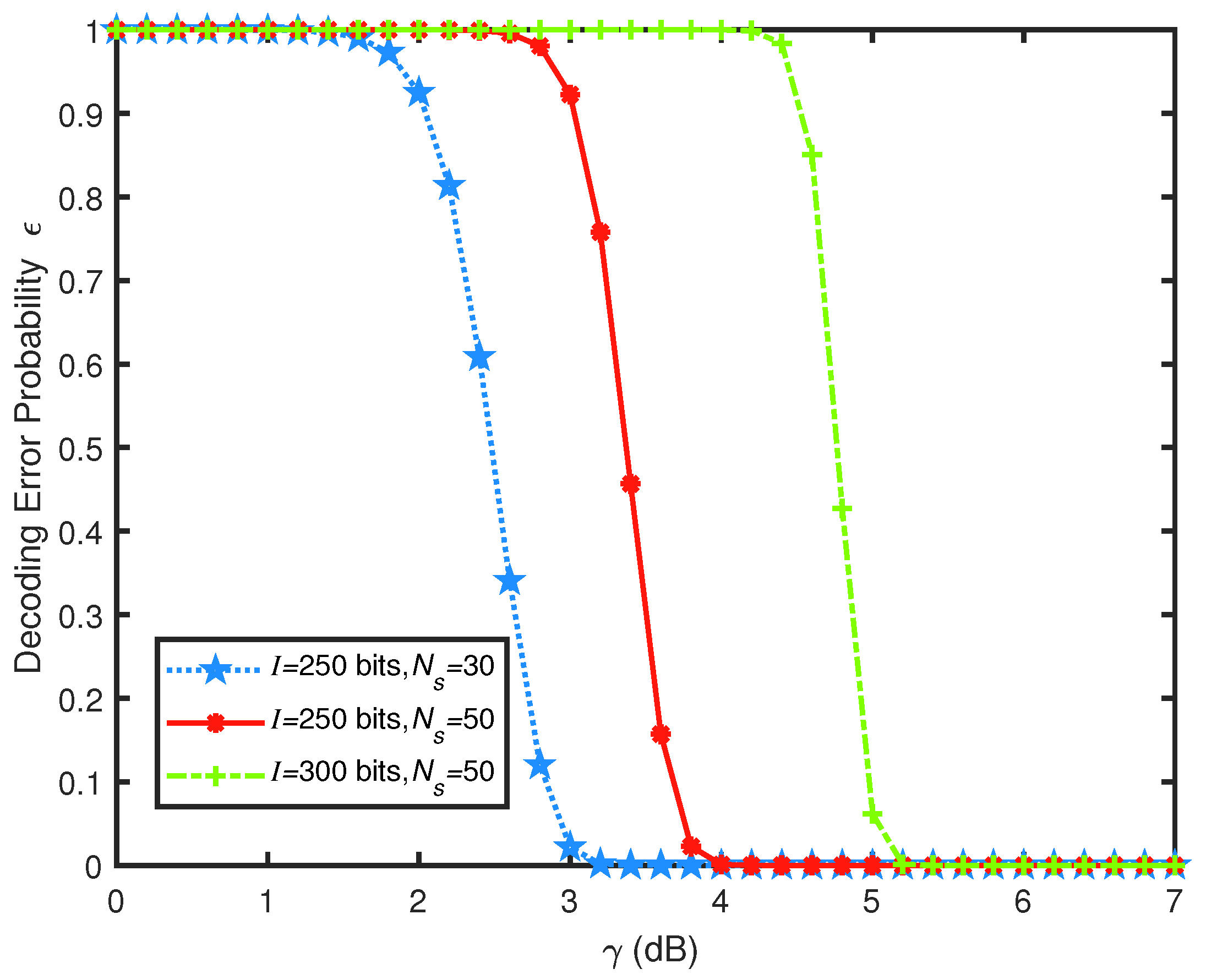
In Figure 5, the decoding error probability versus the SNR is shown. In Figure 5, it can be seen that the decoding error probability decreases as the SNR increases, which verifies Theorem 2. It can be seen in the figure that the information bits, sensing time, and SNR have a significant impact on the decoding error probability of the short-packet communication. Therefore, these three parameters need to be optimized in short-packet communication to reduce the impact of the decoding error probability on system communication performance.
Figure 5.
Decoding error probability versus the SNR for different I and .
Figure 6 describes the false-alarm probability versus the sensing time. In Figure 6, it can be seen that the false alarm probability decreases with the increase in the sensing time. It can also be seen in the figure that when is smaller and is larger, the sensing time that the UAV uses to reduce the false-alarm probability will be larger. In order to ensure that the communication of the GBS is not interfered with by the UAV, the sensing SNR is usually required to be as low as possible, whereas the detection probability is less than but close to 1. In this case, the UAV requires more sensing time to reduce the probability of a false alarm but at the same time, increases the decoding error probability. Therefore, the optimization of the sensing time in (12) is essential.
Figure 6.
False-alarm probability versus sensing time for different and .
In Figure 7, we can compare the performance of the different algorithms and schemes. In the NOMA scheme, the joint optimization algorithm can significantly improve the performance of the system compared to the other algorithms, which also reflects the importance of joint optimization. By comparing the performance of the NOMA scheme and the OMA scheme, we find that the NOMA scheme can obtain better results. The proposed algorithm almost matches the exhaustive search algorithm and verifies its global optimality.
Figure 7.
Performance comparison for different algorithms and schemes.
5. Conclusions
In this paper, we derive an effective throughput for secondary users and optimize the power allocation, information bits, and sensing time to maximize the effective throughput for the secondary users under the constraints of the transmission power and effective decoding error probability. Specifically, we prove that the effective throughput is a concave function with respect to the sensing time and information bits, respectively, and then the bisection method is employed to obtain the optimal value. For the power allocation, we first reduce the feasible power range of . Then, the one-dimensional linear search method is used to obtain the optimal value. Therefore, the complexity of the proposed algorithm is considerably reduced compared to the exhaustive method. In the simulations, it can be seen that the NOMA scheme can achieve higher optimal values compared to the OMA scheme. In Figure 7, we can see that the proposed algorithm has a similar performance to that of the exhaustive method. In addition, when there are significant differences between the two channels, the NOMA is more appealing.
Author Contributions
Conceptualization, S.Z., H.H. (Hang Hu) and Y.H.; Methodology, S.Z., H.H. (Hang Hu) and H.H. (Huizhu Han); Software, H.H. (Huizhu Han); Validation, S.Z.; Writing—original draft, S.Z.; Writing—review & editing, H.H. (Hang Hu), Y.H., G.C., T.H. and H.H. (Huizhu Han); Visualization, S.Z. and Q.A.; Supervision, H.H. (Hang Hu), Y.H., G.C., T.H. and Q.A.; Project administration, H.H. (Hang Hu); Funding acquisition, H.H. (Hang Hu). All authors have read and agreed to the published version of the manuscript.
Funding
This work is supported by grants from the National Natural Science Foundation of China (No. 61901509) and the Natural Science Foundation of Shanxi Province of China (No. 2021JQ-366).
Institutional Review Board Statement
Not applicable.
Informed Consent Statement
Not applicable.
Data Availability Statement
Not applicable.
Conflicts of Interest
The authors declare no conflict of interest.
References
- You, X.; Wang, C.X.; Huang, J.; Gao, X.; Zhang, Z.; Wang, M.; Huang, Y.; Zhang, C.; Jiang, Y.; Wang, J.; et al. Towards 6G wireless communication networks: Vision, enabling technologies, and new paradigm shifts. Sci. China Inf. Sci. 2021, 64, 1–74. [Google Scholar] [CrossRef]
- Wu, Q.; Xu, J.; Zeng, Y.; Ng, D.W.K.; Al-Dhahir, N.; Schober, R.; Swindlehurst, A.L. A Comprehensive Overview on 5G-and-Beyond Networks With UAVs: From Communications to Sensing and Intelligence. IEEE J. Sel. Areas Commun. 2021, 39, 2912–2945. [Google Scholar] [CrossRef]
- Hellaoui, H.; Bekkouche, O.; Bagaa, M.; Taleb, T. Aerial Control System for Spectrum Efficiency in UAV-to-Cellular Communications. IEEE Commun. Mag. 2018, 56, 108–113. [Google Scholar] [CrossRef]
- Saad, W.; Bennis, M.; Chen, M. A Vision of 6G Wireless Systems: Applications, Trends, Technologies, and Open Research Problems. IEEE Netw. 2020, 34, 134–142. [Google Scholar] [CrossRef]
- Wu, D.; Wang, J.; Hu, R.Q.; Cai, Y.; Zhou, L. Energy-Efficient Resource Sharing for Mobile Device-to-Device Multimedia Communications. IEEE Trans. Veh. Technol. 2014, 63, 2093–2103. [Google Scholar] [CrossRef]
- Gubbi, J.; Buyya, R.; Marusic, S.; Palaniswami, M. Internet of Things (IoT): A vision, architectural elements, and future directions. Future Gener. Comput. Syst. 2013, 29, 1645–1660. [Google Scholar] [CrossRef]
- Kakkavas, G.; Tsitseklis, K.; Karyotis, V.; Papavassiliou, S. A Software Defined Radio Cross-Layer Resource Allocation Approach for Cognitive Radio Networks: From Theory to Practice. IEEE Trans. Cogn. Commun. Netw. 2020, 6, 740–755. [Google Scholar] [CrossRef]
- Xia, B.; Wang, J.; Xiao, K.; Gao, Y.; Yao, Y.; Ma, S. Outage Performance Analysis for the Advanced SIC Receiver in Wireless NOMA Systems. IEEE Trans. Veh. Technol. 2018, 67, 6711–6715. [Google Scholar] [CrossRef]
- Arjoune, Y.; Kaabouch, N. A Comprehensive Survey on Spectrum Sensing in Cognitive Radio Networks: Recent Advances, New Challenges, and Future Research Directions. Sensors 2019, 19, 126. [Google Scholar] [CrossRef]
- Liu, X.; Guan, M.; Zhang, X.; Ding, H. Spectrum Sensing Optimization in an UAV-Based Cognitive Radio. IEEE Access 2018, 6, 44002–44009. [Google Scholar] [CrossRef]
- Pan, Y.; Da, X.; Hu, H.; Zhu, Z.; Xu, R.; Ni, L. Energy-Efficiency Optimization of UAV-Based Cognitive Radio System. IEEE Access 2019, 7, 155381–155391. [Google Scholar] [CrossRef]
- Li, H.; Zhao, X. Throughput Maximization With Energy Harvesting in UAV-Assisted Cognitive Mobile Relay Networks. IEEE Trans. Cogn. Commun. Netw. 2021, 7, 197–209. [Google Scholar] [CrossRef]
- Hu, H.; Da, X.; Huang, Y.; Zhang, H.; Ni, L.; Pan, Y. SE and EE Optimization for Cognitive UAV Network Based on Location Information. IEEE Access 2019, 7, 162115–162126. [Google Scholar] [CrossRef]
- Huang, Y.; Xu, J.; Qiu, L.; Zhang, R. Cognitive UAV Communication via Joint Trajectory and Power Control. In Proceedings of the 2018 IEEE 19th International Workshop on Signal Processing Advances in Wireless Communications (SPAWC), Kalamata, Greece, 25–28 June 2018; pp. 1–5. [Google Scholar] [CrossRef]
- Islam, S.M.R.; Avazov, N.; Dobre, O.A.; Kwak, K.s. Power-Domain Non-Orthogonal Multiple Access (NOMA) in 5G Systems: Potentials and Challenges. IEEE Commun. Surv. Tutorials 2017, 19, 721–742. [Google Scholar] [CrossRef]
- Sohail, M.F.; Leow, C.Y. Maximized fairness for NOMA based drone communication system. In Proceedings of the 2017 IEEE 13th Malaysia International Conference on Communications (MICC), Johor Bahru, Malaysia, 28–30 November 2017; pp. 119–123. [Google Scholar] [CrossRef]
- Sharma, P.K.; Kim, D.I. UAV-Enabled Downlink Wireless System with Non-Orthogonal Multiple Access. In Proceedings of the 2017 IEEE Globecom Workshops (GC Wkshps), Singapore, 4–8 December 2017; pp. 1–6. [Google Scholar] [CrossRef]
- Jiang, X.; Wu, Z.; Yin, Z.; Yang, Z.; Zhao, N. Power Consumption Minimization of UAV Relay in NOMA Networks. IEEE Wirel. Commun. Lett. 2020, 9, 666–670. [Google Scholar] [CrossRef]
- Hu, B.; Wang, L.; Chen, S.; Cui, J.; Chen, L. An Uplink Throughput Optimization Scheme for UAV-Enabled Urban Emergency Communications. IEEE Internet Things J. 2022, 9, 4291–4302. [Google Scholar] [CrossRef]
- Wang, W.; Zhao, N.; Chen, L.; Liu, X.; Chen, Y.; Niyato, D. UAV-Assisted Time-Efficient Data Collection via Uplink NOMA. IEEE Trans. Commun. 2021, 69, 7851–7863. [Google Scholar] [CrossRef]
- Durisi, G.; Koch, T.; Popovski, P. Toward Massive, Ultrareliable, and Low-Latency Wireless Communication With Short Packets. Proc. IEEE 2016, 104, 1711–1726. [Google Scholar] [CrossRef]
- Polyanskiy, Y.; Poor, H.V.; Verdu, S. Channel Coding Rate in the Finite Blocklength Regime. IEEE Trans. Inf. Theory 2010, 56, 2307–2359. [Google Scholar] [CrossRef]
- Zhang, L.; Liang, Y.C. Average Throughput Analysis and Optimization in Cooperative IoT Networks With Short Packet Communication. IEEE Trans. Veh. Technol. 2018, 67, 11549–11562. [Google Scholar] [CrossRef]
- Durisi, G.; Koch, T.; Östman, J.; Polyanskiy, Y.; Yang, W. Short-Packet Communications Over Multiple-Antenna Rayleigh-Fading Channels. IEEE Trans. Commun. 2016, 64, 618–629. [Google Scholar] [CrossRef]
- Yang, W.; Caire, G.; Durisi, G.; Polyanskiy, Y. Optimum Power Control at Finite Blocklength. IEEE Trans. Inf. Theory 2015, 61, 4598–4615. [Google Scholar] [CrossRef]
- Yang, W.; Durisi, G.; Koch, T.; Polyanskiy, Y. Quasi-Static Multiple-Antenna Fading Channels at Finite Blocklength. IEEE Trans. Inf. Theory 2014, 60, 4232–4265. [Google Scholar] [CrossRef]
- Ren, H.; Pan, C.; Wang, K.; Xu, W.; Elkashlan, M.; Nallanathan, A. Joint Transmit Power and Placement Optimization for URLLC-Enabled UAV Relay Systems. IEEE Trans. Veh. Technol. 2020, 69, 8003–8007. [Google Scholar] [CrossRef]
- Cai, Y.; Jiang, X.; Liu, M.; Zhao, N.; Chen, Y.; Wang, X. Resource Allocation for URLLC-Oriented Two-Way UAV Relaying. IEEE Trans. Veh. Technol. 2022, 71, 3344–3349. [Google Scholar] [CrossRef]
- Deng, D.; Zhu, M. Joint UAV trajectory and power allocation optimization for NOMA in cognitive radio network. Phys. Commun. 2021, 46, 101328. [Google Scholar] [CrossRef]
- Tang, N.; Tang, H.; Li, B.; Yuan, X. Cognitive NOMA for UAV-Enabled Secure Communications: Joint 3D Trajectory Design and Power Allocation. IEEE Access 2020, 8, 159965–159978. [Google Scholar] [CrossRef]
- Sun, X.; Yan, S.; Yang, N.; Ding, Z.; Shen, C.; Zhong, Z. Short-Packet Downlink Transmission With Non-Orthogonal Multiple Access. IEEE Trans. Wirel. Commun. 2018, 17, 4550–4564. [Google Scholar] [CrossRef]
- Hu, H.; Huang, Y.; Cheng, G.; Kang, Q.; Zhang, H.; Pan, Y. Optimization of Energy Efficiency in UAV-Enabled Cognitive IoT With Short Packet Communication. IEEE Sens. J. 2022, 22, 12357–12368. [Google Scholar] [CrossRef]
- Lin, X.; Yajnanarayana, V.; Muruganathan, S.D.; Gao, S.; Asplund, H.; Maattanen, H.L.; Bergstrom, M.; Euler, S.; Wang, Y.P.E. The Sky Is Not the Limit: LTE for Unmanned Aerial Vehicles. IEEE Commun. Mag. 2018, 56, 204–210. [Google Scholar] [CrossRef]
- Zhang, L.; Liang, Y.C. Joint Spectrum Sensing and Packet Error Rate Optimization in Cognitive IoT. IEEE Internet Things J. 2019, 6, 7816–7827. [Google Scholar] [CrossRef]
- Wang, H.M.; Yang, Q.; Ding, Z.; Poor, H.V. Secure Short-Packet Communications for Mission-Critical IoT Applications. IEEE Trans. Wirel. Commun. 2019, 18, 2565–2578. [Google Scholar] [CrossRef]
Disclaimer/Publisher’s Note: The statements, opinions and data contained in all publications are solely those of the individual author(s) and contributor(s) and not of MDPI and/or the editor(s). MDPI and/or the editor(s) disclaim responsibility for any injury to people or property resulting from any ideas, methods, instructions or products referred to in the content. |
© 2023 by the authors. Licensee MDPI, Basel, Switzerland. This article is an open access article distributed under the terms and conditions of the Creative Commons Attribution (CC BY) license (https://creativecommons.org/licenses/by/4.0/).






