Two-Stage Tour Route Recommendation Approach by Integrating Crowd Dynamics Derived from Mobile Tracking Data
Abstract
:1. Introduction
2. Literature Review
2.1. Tourist Trip Design Problem
2.2. Crowd Dynamics in Tourism
3. Methodology
3.1. Research Framework and Definitions for TTDP-CD
3.2. Data Processing: Generating Tourism Activity Chains
3.3. Indices Deriving: Calculating Crowd Dynamics Indicators
- Crowd Flow Indicator. To some extent, the crowding of attractions represents a higher popularity and a more entertaining atmosphere; however, “over-tourism” poses more significant security risks and reduces the quality of the tourism experience. Since the congestion at each attraction has time-period regularity, the crowding experienced on the tour can be reduced by avoiding the peak hours at each attraction. The crowd flow indicator () represents the average relative crowding between different days in the same time window, which is calculated as follows:where denotes the number of tourists at within time window of day D; denotes the maximum number of tourists at in all time windows over several days; is the total number of days.
- Crowd Interaction Indicator. Crowd interaction refers to the movement of crowds between attractions resulting from the transformation of tourists. The directed crowd interactive network of attractions in different time windows is constructed by calculating the number of transfers between attractions with the tourism activity chains of all tourists, which are used as the weight of edges. In the interaction network, the nodes with a higher degree centrality have higher significance and status. The in-degree and out-degree of centrality of the node in different time windows can be calculated as follows:where is the number of tourists from attraction to in time window ; is the number of tourists from to in .
- Crowd Structure Indicator. The tourism behavioral characteristics of tourists can reflect the characteristics of the target audience of the attraction, which can be obtained from the tourism activity chains, listed as follows. (1) duration of stay at an attraction (); (2) average ticket expense per day (); (3) average number of attractions per day (); (4) average duration of stay per attraction (); (5) number of days to play (); (6) activity entropy (); (7) radius of gyration (). Activity entropy measures the diversity of an individual’s mobility behavior [57]:where is the proportion of stay time at attraction . A larger value for implies the tourist has a higher diversity of activities. Radius of gyration is commonly used to evaluate the spatial dispersion of an individual’s movement [58]:where denotes the x, y coordinates vector of ; , which refers to the center of all the location of tourism attractions in the tourist’s tourism activity chain. A large value for reveals that the tourist is willing to travel in a large space. Thus, a tourist’s tourism behavioral characteristics can be denoted as a tuple: . Then, these behavior characteristics are divided into independent bins according to deciles and data characteristics, with the detailed dividing points are listed in Table A1 in the Appendix A. The crowd structure indicator describes the proportional population structure of tourists with varying behavioural characteristics at an attraction, which is denoted . Each element in is a list detailing the proportion of tourists in each interval bin. Consequently, the similarity of crowd structure between attraction and in time window can be calculated as follows:where and denote the tourist proportion of the i-th element in of attraction and B; denotes the squared Euclidean distance between the proportions; denotes the elements of , and . The larger the value for is, the more similar the crowd structure of the two attractions is, indicating that their audience groups are more similar. Therefore, the similarity relationship between attractions can serve as a reference for attraction substitution.
3.4. Model Construction: Two-Stage Multi-Objective Model for TTDP-CD
3.4.1. Model Objectives
3.4.2. Model Constraints
3.4.3. Two-Stage Route Strategy
3.5. Algorithm Operation: Solving the Model with Extended INSGA-II
| Algorithm 1: Improved non-dominated sorting genetic algorithm II |
| Input: Model parameters |
|
|
|
|
|
|
|
| Output: |
3.5.1. Initialization
3.5.2. Route Evolution
3.5.3. Route Evaluation
3.5.4. Termination Criteria
4. Experiment and Results
4.1. Study Area and Data
4.2. Derived Crowd Dynamics from Detected Tourism Activity Chains
4.3. Algorithm Parameters
4.4. Optimization Results
4.4.1. Initial Route Solutions
4.4.2. Adjusted Route Solutions
5. Discussion
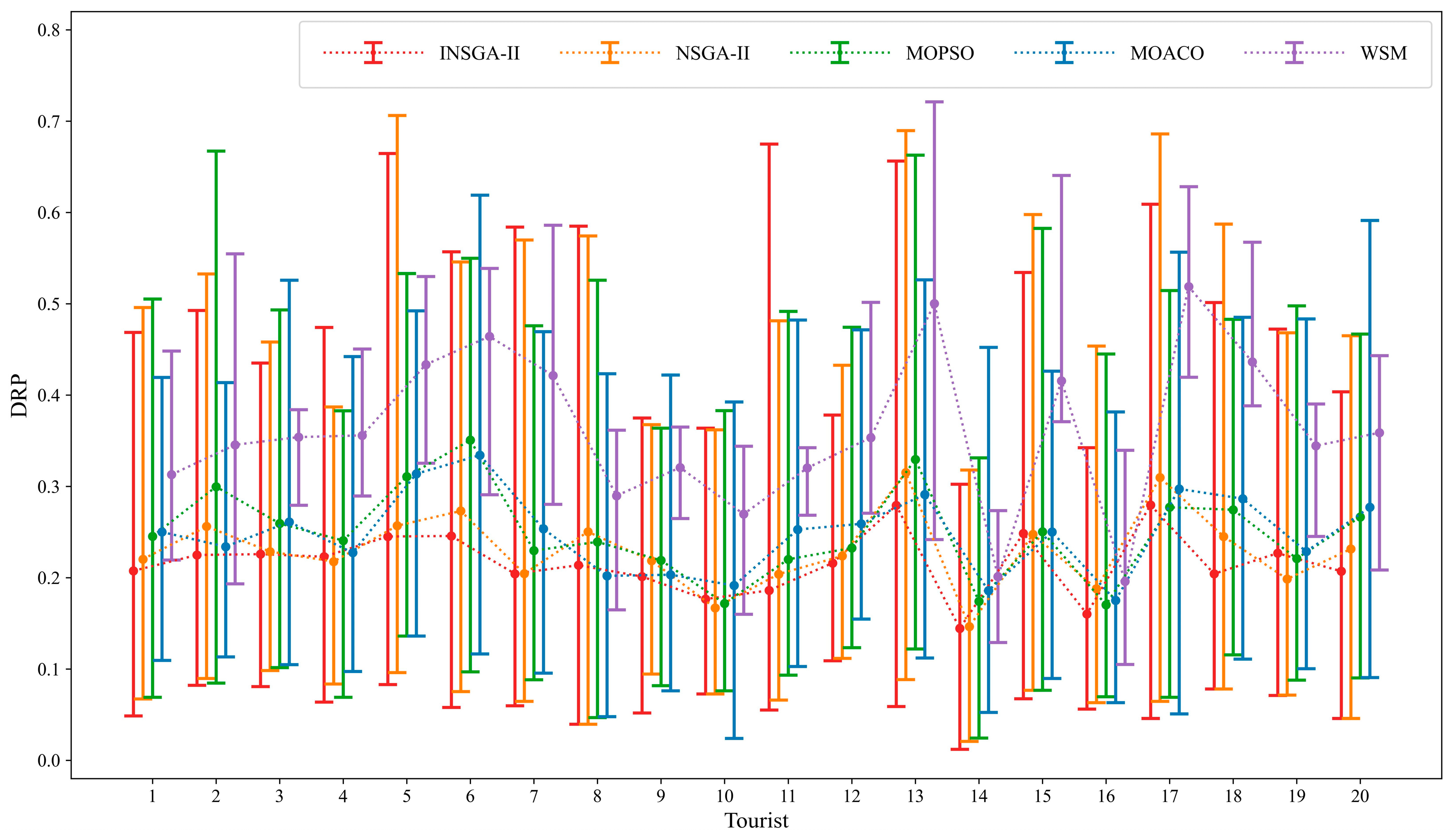
5.1. Performance Comparison
5.2. Solution Comparison
5.3. Dynamic Adjustment Evaluation
6. Conclusions
Author Contributions
Funding
Institutional Review Board Statement
Informed Consent Statement
Data Availability Statement
Conflicts of Interest
Appendix A
| Index | Dividing Point |
|---|---|
| Duration of stay | [30.38, 40.81, 50.13, 59.44, 70.68, 84.68, 102.95, 129.73, 180.03] |
| Expense per day | [0, 26, 98] |
| Number of attractions per day | [1, 1.5, 2, 3] |
| Travel days | [1, 2, 3] |
| Activity entropy | [0, 0.43, 0.51, 0.65, 0.7707, 0.89, 0.98, 1.03] |
| Radius of gyration | [53.82, 163.11, 284.95, 511.80, 940.39, 1671.35, 2934.14, 4356.37, 9996.55] |
Appendix B
| ID | Category Preference Weights | Objective Importance Weights | Time Budget | Departure Location | Final Arrival Location |
|---|---|---|---|---|---|
| 1 | [0.3, 0.2, 0.5] | [0.4, 0.3, 0.3] | 9:00–22:00 | [121.60, 38.91] | [121.60, 38.91] |
| 2 | [0.25, 0.5, 0.25] | [0.5, 0.3, 0.2] | 8:00–18:30 | 121.62, 38.90] | [121.33, 38.83] |
| 3 | [0.7, 0.1, 0.2] | [0.333, 0.333, 0.333] | 8:30–22:00 | [121.18, 38.82] | [121.18, 38.82] |
| 4 | [0.65, 0.2, 0.15] | [0.3, 0.3, 0.4] | 9:30–19:00 | [121.18, 38.82] | [121.45, 38.87] |
| 5 | [0.3, 0.5, 0.2] | [0.4, 0.4, 0.2] | 8:00–22:00 | [121.64, 38.93] | [121.64, 38.93] |
| 6 | [0.15, 0.6, 0.25] | [0.2, 0.5, 0.3] | 7:30–21:00 | [121.56, 38.89] | [121.56, 38.89] |
| 7 | [0.3, 0.4, 0.4] | [0.333, 0.333, 0.333] | 10:00–21:30 | [121.69, 38.89] | [121.62, 38.91] |
| 8 | [0.4, 0.1, 0.5] | [0.333, 0.333, 0.333] | 8:00–19:00 | [121.65, 38.93] | [121.65, 38.93] |
| 9 | [0.65, 0.25, 0.1] | [0.4, 0.3, 0.3] | 10:00–19:00 | [121.29, 38.82] | [121.29, 38.82] |
| 10 | [0.2, 0.2, 0.6] | [0.333, 0.333, 0.333] | 9:30–18:00 | [121.56, 38.89] | [121.54, 38.87] |
| 11 | [0.35, 0.15, 0.5] | [0.3, 0.3, 0.4] | 8:00–22:00 | [121.62, 38.92] | [121.29, 38.82] |
| 12 | [0.5, 0.3, 0.2] | [0.333, 0.333, 0.333] | 7:30–21:00 | [121.54, 38.87] | [121.69, 38.89] |
| 13 | [0.1, 0.65, 0.25] | [0.4, 0.4, 0.2] | 10:00–22:00 | [121.63, 38.94] | [121.56, 38.94] |
| 14 | [0.8, 0.1, 0.1] | [0.4, 0.3, 0.3] | 9:00–20:00 | [121.64, 38.93] | [121.66, 38.87] |
| 15 | [0.55, 0.2, 0.25] | [0.5, 0.3, 0.2] | 9:30–21:00 | [121.81, 39.05] | [121.81, 39.05] |
| 16 | [0.25, 0.1, 0.65] | [0.4, 0.3, 0.3] | 8:00–18:00 | [121.62, 38.91] | [121.56, 38.89] |
| 17 | [0.1, 0.75, 0.15] | [0.4, 0.4, 0.2] | 8:00–17:30 | [121.81, 39.05] | [121.81, 39.05] |
| 18 | [0.35, 0.35, 0.3] | [0.333, 0.333, 0.333] | 8:00–22:00 | [121.65, 38.93] | [121.62, 38.92] |
| 19 | [0.4, 0.4, 0.2] | [0.3, 0.3, 0.4] | 9:30–19:00 | [121.64, 38.93] | [121.64, 38.93] |
| 20 | [0.25, 0.25, 0.5] | [0.333, 0.333, 0.333] | 9:00–22:00 | [121.59, 38.91] | [121.59, 38.91] |
References
- Borràs, J.; Moreno, A.; Valls, A. Intelligent Tourism Recommender Systems: A Survey. Expert Syst. Appl. 2014, 41, 7370–7389. [Google Scholar] [CrossRef]
- Gavalas, D.; Konstantopoulos, C.; Mastakas, K.; Pantziou, G. Mobile Recommender Systems in Tourism. J. Netw. Comput. Appl. 2014, 39, 319–333. [Google Scholar] [CrossRef]
- Hamid, R.A.; Albahri, A.S.; Alwan, J.K.; Al-qaysi, Z.T.; Albahri, O.S.; Zaidan, A.A.; Alnoor, A.; Alamoodi, A.H.; Zaidan, B.B. How Smart Is E-Tourism? A Systematic Review of Smart Tourism Recommendation System Applying Data Management. Comput. Sci. Rev. 2021, 39, 100337. [Google Scholar] [CrossRef]
- Rodríguez, B.; Molina, J.; Pérez, F.; Caballero, R. Interactive Design of Personalised Tourism Routes. Tour. Manag. 2012, 33, 926–940. [Google Scholar] [CrossRef]
- Vansteenwegen, P.; Van Oudheusden, D. The Mobile Tourist Guide: An OR Opportunity. OR Insight 2007, 20, 21–27. [Google Scholar] [CrossRef]
- Liao, Z.; Zheng, W. Using a Heuristic Algorithm to Design a Personalized Day Tour Route in a Time-Dependent Stochastic Environment. Tour. Manag. 2018, 68, 284–300. [Google Scholar] [CrossRef]
- Zheng, W.; Ji, H.; Lin, C.; Wang, W.; Yu, B. Using a Heuristic Approach to Design Personalized Urban Tourism Itineraries with Hotel Selection. Tour. Manag. 2020, 76, 103956. [Google Scholar] [CrossRef]
- Liao, Z.; Zhang, X.; Zhang, Q.; Zheng, W.; Li, W. Rough Approximation-Based Approach for Designing a Personalized Tour Route under a Fuzzy Environment. Inf. Sci. 2021, 575, 338–354. [Google Scholar] [CrossRef]
- De Falco, I.; Scafuri, U.; Tarantino, E. A Multiobjective Evolutionary Algorithm for Personalized Tours in Street Networks. In Applications of Evolutionary Computation; Mora, A.M., Squillero, G., Eds.; Springer International Publishing: Cham, Switzerland, 2015; Volume 9028, pp. 115–127. ISBN 978-3-319-16548-6. [Google Scholar]
- Zheng, W.; Liao, Z.; Lin, Z. Navigating through the Complex Transport System: A Heuristic Approach for City Tourism Recommendation. Tour. Manag. 2020, 81, 104162. [Google Scholar] [CrossRef]
- Lim, K.H.; Chan, J.; Karunasekera, S.; Leckie, C. Tour Recommendation and Trip Planning Using Location-Based Social Media: A Survey. Knowl. Inf. Syst. 2019, 60, 1247–1275. [Google Scholar] [CrossRef]
- Lamsfus, C.; Martín, D.; Alzua-Sorzabal, A.; Torres-Manzanera, E. Smart Tourism Destinations: An Extended Conception of Smart Cities Focusing on Human Mobility. In Information and Communication Technologies in Tourism 2015; Tussyadiah, I., Inversini, A., Eds.; Springer International Publishing: Cham, Switzerland, 2015; pp. 363–375. ISBN 978-3-319-14342-2. [Google Scholar]
- Moyle, B.; Croy, G. Crowding and Visitor Satisfaction During the Off-season: Port Campbell National Park. Ann. Leis. Res. 2007, 10, 518–531. [Google Scholar] [CrossRef]
- Zehrer, A.; Raich, F. The Impact of Perceived Crowding on Customer Satisfaction. J. Hosp. Tour. Manag. 2016, 29, 88–98. [Google Scholar] [CrossRef]
- Liu, J.; Wood, K.L.; Lim, K.H. Strategic and Crowd-Aware Itinerary Recommendation. In Machine Learning and Knowledge Discovery in Databases: Applied Data Science Track; Dong, Y., Mladenić, D., Saunders, C., Eds.; Springer International Publishing: Cham, Switzerland, 2021; Volume 12460, pp. 69–85. ISBN 978-3-030-67666-7. [Google Scholar]
- Yu, F.-C.; Lee, P.-C.; Ku, P.-H.; Wang, S.-S. A Theme Park Tourist Service System with a Personalized Recommendation Strategy. Appl. Sci. 2018, 8, 1745. [Google Scholar] [CrossRef] [Green Version]
- Park, S.; Xu, Y.; Jiang, L.; Chen, Z.; Huang, S. Spatial Structures of Tourism Destinations: A Trajectory Data Mining Approach Leveraging Mobile Big Data. Ann. Tour. Res. 2020, 84, 102973. [Google Scholar] [CrossRef]
- Zheng, W.; Li, M.; Lin, Z.; Zhang, Y. Leveraging Tourist Trajectory Data for Effective Destination Planning and Management: A New Heuristic Approach. Tour. Manag. 2022, 89, 104437. [Google Scholar] [CrossRef]
- Augstein, M.; Herder, E.; Wörndl, W. (Eds.) Tourist Trip Recommendations—Foundations, State of the Art, and Challenges. In Personalized Human-Computer Interaction; De Gruyter Oldenbourg: Berlin, Germany, 2019; pp. 159–182. ISBN 978-3-11-055248-5. [Google Scholar]
- Hyde, K.F.; Lawson, R. The Nature of Independent Travel. J. Travel Res. 2003, 42, 13–23. [Google Scholar] [CrossRef]
- Kotiloglu, S.; Lappas, T.; Pelechrinis, K.; Repoussis, P.P. Personalized Multi-Period Tour Recommendations. Tour. Manag. 2017, 62, 76–88. [Google Scholar] [CrossRef] [Green Version]
- Gavalas, D.; Konstantopoulos, C.; Mastakas, K.; Pantziou, G. A Survey on Algorithmic Approaches for Solving Tourist Trip Design Problems. J. Heuristics 2014, 20, 291–328. [Google Scholar] [CrossRef]
- Tsiligirides, T. Heuristic Methods Applied to Orienteering. J. Oper. Res. Soc. 1984, 35, 797. [Google Scholar] [CrossRef]
- Kantor, M.G.; Rosenwein, M.B. The Orienteering Problem with Time Windows. J. Oper. Res. Soc. 1992, 43, 629–635. [Google Scholar] [CrossRef]
- Fomin, F.V.; Lingas, A. Approximation Algorithms for Time-Dependent Orienteering. Inf. Process. Lett. 2002, 83, 57–62. [Google Scholar] [CrossRef]
- Archetti, C.; Hertz, A.; Speranza, M.G. Metaheuristics for the Team Orienteering Problem. J. Heuristics 2007, 13, 49–76. [Google Scholar] [CrossRef]
- Tlili, T.; Krichen, S. A Simulated Annealing-Based Recommender System for Solving the Tourist Trip Design Problem. Expert Syst. Appl. 2021, 186, 115723. [Google Scholar] [CrossRef]
- Ko, T.; Qureshi, A.G.; Schmöcker, J.-D.; Fujii, S. Tourist Trip Design Problem Considering Fatigue. J. East. Asia Soc. Transp. Stud. 2019, 13, 1233–1248. [Google Scholar] [CrossRef]
- Trachanatzi, D.; Rigakis, M.; Marinaki, M.; Marinakis, Y. An Interactive Preference-Guided Firefly Algorithm for Personalized Tourist Itineraries. Expert Syst. Appl. 2020, 159, 113563. [Google Scholar] [CrossRef]
- Divsalar, G.; Divsalar, A.; Jabbarzadeh, A.; Sahebi, H. An Optimization Approach for Green Tourist Trip Design. Soft Comput. 2022, 26, 4303–4332. [Google Scholar] [CrossRef]
- Talbi, E.-G. Metaheuristics: From Design to Implementation; John Wiley & Sons: Hoboken, NJ, USA, 2009; ISBN 978-0-470-27858-1. [Google Scholar]
- Verbeeck, C.; Vansteenwegen, P.; Aghezzaf, E.-H. An Extension of the Arc Orienteering Problem and Its Application to Cycle Trip Planning. Transp. Res. Part E Logist. Transp. Rev. 2014, 68, 64–78. [Google Scholar] [CrossRef]
- Kwon, W.Y.; Kim, M.; Suh, I.H. Probabilistic Tourist Trip-Planning with Time-Dependent Human and Environmental Factors. In Proceedings of the 2016 International Conference on Big Data and Smart Computing (BigComp), Hong Kong, China, 18–20 January 2016; pp. 505–508.
- Wang, X.; Leckie, C.; Chan, J.; Lim, K.H.; Vaithianathan, T. Improving Personalized Trip Recommendation by Avoiding Crowds. In Proceedings of the 25th ACM International on Conference on Information and Knowledge Management, Indianapolis, IN, USA, 24–28 October 2016; pp. 25–34. [Google Scholar]
- Ruiz-Meza, J.; Montoya-Torres, J.R. A Systematic Literature Review for the Tourist Trip Design Problem: Extensions, Solution Techniques and Future Research Lines. Oper. Res. Perspect. 2022, 9, 100228. [Google Scholar] [CrossRef]
- Gavalas, D.; Kasapakis, V.; Konstantopoulos, C.; Pantziou, G.; Vathis, N.; Zaroliagis, C. The ECOMPASS Multimodal Tourist Tour Planner. Expert Syst. Appl. 2015, 42, 7303–7316. [Google Scholar] [CrossRef]
- Kurata, Y.; Hara, T. CT-Planner. In Information and Communication Technologies in Tourism 2014; Xiang, Z., Tussyadiah, I., Eds.; Springer International Publishing: Cham, Switzerland, 2013; pp. 73–86. ISBN 978-3-319-03972-5. [Google Scholar]
- Barbosa, H.; Barthelemy, M.; Ghoshal, G.; James, C.R.; Lenormand, M.; Louail, T.; Menezes, R.; Ramasco, J.J.; Simini, F.; Tomasini, M. Human Mobility: Models and Applications. Phys. Rep. 2018, 734, 1–74. [Google Scholar] [CrossRef]
- Hernández, J.M.; Santana-Jiménez, Y.; González-Martel, C. Factors Influencing the Co-Occurrence of Visits to Attractions: The Case of Madrid, Spain. Tour. Manag. 2021, 83, 104236. [Google Scholar] [CrossRef]
- Mou, N.; Zheng, Y.; Makkonen, T.; Yang, T.; Tang, J.; Song, Y. Tourists’ Digital Footprint: The Spatial Patterns of Tourist Flows in Qingdao, China. Tour. Manag. 2020, 81, 104151. [Google Scholar] [CrossRef]
- Xu, Y.; Xue, J.; Park, S.; Yue, Y. Towards a Multidimensional View of Tourist Mobility Patterns in Cities: A Mobile Phone Data Perspective. Comput. Environ. Urban Syst. 2021, 86, 101593. [Google Scholar] [CrossRef]
- Popp, M. Positive and Negative Urban Tourist Crowding: Florence, Italy. Tour. Geogr. 2012, 14, 50–72. [Google Scholar] [CrossRef]
- Cheng, H.; Liu, Q.; Bi, J.-W. Perceived Crowding and Festival Experience: The Moderating Effect of Visitor-to-Visitor Interaction. Tour. Manag. Perspect. 2021, 40, 100888. [Google Scholar] [CrossRef]
- Jacobsen, J.K.S.; Iversen, N.M.; Hem, L.E. Hotspot Crowding and Over-Tourism: Antecedents of Destination Attractiveness. Ann. Tour. Res. 2019, 76, 53–66. [Google Scholar] [CrossRef]
- Kainthola, S.; Tiwari, P.; Chowdhary, N.R. Overtourism to Zero Tourism: Changing Tourists’ Perception of Crowding Post COVID-19. J. Spat. Organ. Dyn. 2021, 9, 115–137. [Google Scholar]
- Casanueva, C.; Gallego, Á.; García-Sánchez, M.-R. Social Network Analysis in Tourism. Curr. Issues Tour. 2016, 19, 1190–1209. [Google Scholar] [CrossRef]
- McPherson, M.; Smith-Lovin, L.; Cook, J.M. Birds of a Feather: Homophily in Social Networks. Annu. Rev. Sociol. 2001, 27, 415–444. [Google Scholar] [CrossRef] [Green Version]
- Tsai, C.-Y.; Chung, S.-H. A Personalized Route Recommendation Service for Theme Parks Using RFID Information and Tourist Behavior. Decis. Support Syst. 2012, 52, 514–527. [Google Scholar] [CrossRef]
- Li, Y.; Yang, L.; Shen, H.; Wu, Z. Modeling Intra-Destination Travel Behavior of Tourists through Spatio-Temporal Analysis. J. Destin. Mark. Manag. 2019, 11, 260–269. [Google Scholar] [CrossRef]
- Sun, Y.; Shao, Y.; Chan, E.H.W. Co-Visitation Network in Tourism-Driven Peri-Urban Area Based on Social Media Analytics: A Case Study in Shenzhen, China. Landsc. Urban Plan. 2020, 204, 103934. [Google Scholar] [CrossRef]
- Li, J.; Xu, L.; Tang, L.; Wang, S.; Li, L. Big Data in Tourism Research: A Literature Review. Tour. Manag. 2018, 68, 301–323. [Google Scholar] [CrossRef]
- Schmöcker, J.-D. Estimation of City Tourism Flows: Challenges, New Data and COVID. Transp. Rev. 2021, 41, 137–140. [Google Scholar] [CrossRef]
- Ye, B.H.; Ye, H.; Law, R. Systematic Review of Smart Tourism Research. Sustainability 2020, 12, 3401. [Google Scholar] [CrossRef] [Green Version]
- Gretzel, U.; Sigala, M.; Xiang, Z.; Koo, C. Smart Tourism: Foundations and Developments. Electron. Mark. 2015, 25, 179–188. [Google Scholar] [CrossRef] [Green Version]
- Qian, C.; Li, W.; Duan, Z.; Yang, D.; Ran, B. Using Mobile Phone Data to Determine Spatial Correlations between Tourism Facilities. J. Transp. Geogr. 2021, 92, 103018. [Google Scholar] [CrossRef]
- Raun, J.; Ahas, R.; Tiru, M. Measuring Tourism Destinations Using Mobile Tracking Data. Tour. Manag. 2016, 57, 202–212. [Google Scholar] [CrossRef]
- Pappalardo, L.; Vanhoof, M.; Gabrielli, L.; Smoreda, Z.; Pedreschi, D.; Giannotti, F. An Analytical Framework to Nowcast Well-Being Using Mobile Phone Data. Int. J. Data Sci. Anal. 2016, 2, 75–92. [Google Scholar] [CrossRef] [Green Version]
- González, M.C.; Hidalgo, C.A.; Barabási, A.-L. Understanding Individual Human Mobility Patterns. Nature 2008, 453, 779–782. [Google Scholar] [CrossRef]
- Castellani, M.; Pattitoni, P.; Vici, L. Pricing Visitors’ Preferences for Temporary Art Exhibitions. SSRN J. 2012, 21, 83–103. [Google Scholar] [CrossRef]
- Zheng, W.; Liao, Z.; Qin, J. Using a Four-Step Heuristic Algorithm to Design Personalized Day Tour Route within a Tourist Attraction. Tour. Manag. 2017, 62, 335–349. [Google Scholar] [CrossRef]
- Deb, K.; Pratap, A.; Agarwal, S.; Meyarivan, T. A Fast and Elitist Multiobjective Genetic Algorithm: NSGA-II. IEEE Trans. Evol. Computat. 2002, 6, 182–197. [Google Scholar] [CrossRef] [Green Version]
- Shang, K.; Ishibuchi, H.; He, L.; Pang, L.M. A Survey on the Hypervolume Indicator in Evolutionary Multiobjective Optimization. IEEE Trans. Evol. Computat. 2021, 25, 1–20. [Google Scholar] [CrossRef]
- Marler, R.T.; Arora, J.S. The Weighted Sum Method for Multi-Objective Optimization: New Insights. Struct. Multidisc. Optim. 2010, 41, 853–862. [Google Scholar] [CrossRef]














| User ID | CI | LAC | Timestamp |
|---|---|---|---|
| 0000****c2b8 | 16782 | 223776194 | 2020/10/1 11:49:56 |
| 0000****c2b8 | 16659 | 60862987 | 2020/10/1 11:52:16 |
| 000b****497c | 16810 | 68539659 | 2020/10/1 14:10:00 |
| 000b****497c | 16766 | 226422245 | 2020/10/1 14:12:58 |
| Experiment | |||
|---|---|---|---|
| E1 | 30 | 0.7 | 0.2 |
| E2 | 50 | 0.7 | 0.2 |
| E3 | 70 | 0.7 | 0.2 |
| E4 | 100 | 0.7 | 0.2 |
| E5 | 50 | 0.5 | 0.2 |
| E6 | 50 | 0.9 | 0.2 |
| E7 | 50 | 0.7 | 0.1 |
| E8 | 50 | 0.7 | 0.3 |
| Parameters | |||||
|---|---|---|---|---|---|
| Values | 50 | 0.7 | 0.2 | 500 | 2000 |
| ID | Category Preference Weights | Objective Importance Weights | Time Budget | Departure Location | Final Arrival Location |
|---|---|---|---|---|---|
| 1 | [0.3, 0.2, 0.5] | [0.4, 0.3, 0.3] | 9:00–22:00 | [121.60, 38.91] | [121.60, 38.91] |
| 2 | [0.25, 0.5, 0.25] | [0.5, 0.3, 0.2] | 8:00–18:30 | [121.62, 38.90] | [121.33, 38.83] |
| … | … | … | … | … | … |
| 19 | [0.4, 0.4, 0.2] | [0.3, 0.3, 0.4] | 9:30–19:00 | [121.64, 38.93] | [121.64, 38.93] |
| 20 | [0.25, 0.25, 0.5] | [0.333, 0.333, 0.333] | 9:00–22:00 | [121.59, 38.91] | [121.59, 38.91] |
| Method | Frequency of Lowest Average DRP | Frequency of the Minimum DRP |
|---|---|---|
| INSGA-II | 14 (70%) | 19 (95%) |
| NSGA-II | 4 (20%) | 4 (20%) |
| MOPSO | 1 (5%) | 0 (0%) |
| MOACO | 1 (5%) | 1 (5%) |
| WSM | 0 (0%) | 0 (0%) |
| Metrics | Count of Reduced Cases | Count of Increased Cases | Average RCR |
|---|---|---|---|
| Real-time crowding | 23 (85.19%) | 4 (14.81%) | −7.00% |
| Value objective | 4 (14.81%) | 23 (85.19%) | 10.87% |
| Distance objective | 20 (74.07%) | 7 (25.93%) | −7.95% |
| Total time | 23 (85.19%) | 4 (14.81%) | −6.74% |
Disclaimer/Publisher’s Note: The statements, opinions and data contained in all publications are solely those of the individual author(s) and contributor(s) and not of MDPI and/or the editor(s). MDPI and/or the editor(s) disclaim responsibility for any injury to people or property resulting from any ideas, methods, instructions or products referred to in the content. |
© 2023 by the authors. Licensee MDPI, Basel, Switzerland. This article is an open access article distributed under the terms and conditions of the Creative Commons Attribution (CC BY) license (https://creativecommons.org/licenses/by/4.0/).
Share and Cite
Hu, Y.; Fang, Z.; Zou, X.; Zhong, H.; Wang, L. Two-Stage Tour Route Recommendation Approach by Integrating Crowd Dynamics Derived from Mobile Tracking Data. Appl. Sci. 2023, 13, 596. https://doi.org/10.3390/app13010596
Hu Y, Fang Z, Zou X, Zhong H, Wang L. Two-Stage Tour Route Recommendation Approach by Integrating Crowd Dynamics Derived from Mobile Tracking Data. Applied Sciences. 2023; 13(1):596. https://doi.org/10.3390/app13010596
Chicago/Turabian StyleHu, Yue, Zhixiang Fang, Xinyan Zou, Haoyu Zhong, and Lubin Wang. 2023. "Two-Stage Tour Route Recommendation Approach by Integrating Crowd Dynamics Derived from Mobile Tracking Data" Applied Sciences 13, no. 1: 596. https://doi.org/10.3390/app13010596
APA StyleHu, Y., Fang, Z., Zou, X., Zhong, H., & Wang, L. (2023). Two-Stage Tour Route Recommendation Approach by Integrating Crowd Dynamics Derived from Mobile Tracking Data. Applied Sciences, 13(1), 596. https://doi.org/10.3390/app13010596

