Next Article in Journal
A Novel Disassembly Strategy of Hexagonal Screws Based on Robot Vision and Robot-Tool Cooperated Motion
Previous Article in Journal
Research on the Interaction between the Pile and Shield Machine in the Process of Cutting a Reinforced Concrete Pile Foundation
 
 
Font Type:
Arial Georgia Verdana
Font Size:
Aa Aa Aa
Line Spacing:
Column Width:
Background:
Article

Influence of Turbulence Intensity on the Aerodynamic Performance of Wind Turbines Based on the Fluid-Structure Coupling Method

College of Shipbuilding Engineering, Harbin Engineering University, Harbin 150001, China
*
Author to whom correspondence should be addressed.
Appl. Sci. 2023, 13(1), 250; https://doi.org/10.3390/app13010250
Submission received: 22 November 2022 / Revised: 19 December 2022 / Accepted: 21 December 2022 / Published: 25 December 2022
(This article belongs to the Section Marine Science and Engineering)

Abstract

The deformation and vibration of wind turbine blades in turbulent environment cannot be ignored; therefore, in order to better ensure the safety of wind turbine blades, the study of air-elastic response of wind turbine blades under turbulent wind is indispensable. In this paper, the NREL 5MW wind turbine blades are modeled with accurate 3D lay-up design, firstly, based on the joint simulation of commercial software STAR CCM+ and ABAQUS, the two-way fluid-solid coupling technology, the wind turbine under uniform wind condition is simulated, and the results from thrust, torque, structural deformation and force perspective and FAST are compared with good accuracy and consistency below the rated wind speed. Secondly, the aerodynamic performance, flow field distribution and structural response of turbulent winds with different turbulence strengths at 10 m/s were studied. The results show that the turbulence intensity has a greater impact on the amplitude of the wind turbine blade, and the stress distribution of the blade is more concentrated, which in turns affects the stability and safety of the wind turbine blade and is not conducive to the normal operation of the wind turbine.

1. Introduction

In the past 20 years, with the emergence of global energy, environmental and resource problems, especially global warming and increasing depletion of fossil energy sources, it has become more and more obvious to vigorously develop renewable energy and accelerate the green and low-carbon transformation of the energy system, and wind energy has become a common choice for countries around the world to cope with climate change and ensure energy security [1]. With the increase in wind turbine blade size, the deformation of the blade is getting larger and larger, and the deformation of the blade has a greater impact on the local distribution of the flow field, aeroelasticity becomes an important part of the optimal design of the blade. The essence of the aeroelasticity problem is fluid-structure coupling, which can respond to the interaction between the structure and the aerodynamic forces on the structure in real time, thus more accurately describing the operating state and the real-time changes in power generation of wind turbines operating in a real environment.
In the last decade, an increasing number of scholars have studied the aeroelasticity of wind turbine blades by various methods. First, for the model of fluid-solid coupling, scholars from various countries have studied different forms of coupling (unidirectional or bidirectional) for different objects. Alexandrina Untaroiu and Houston G. Wood and Paul E. Allaire et al.(2011) [2] developed a new method for studying unidirectional fluid-structure coupling of VAWT blades. The effects of different fluid models, different time steps and different blade rotation angular velocities on aerodynamic performance of wind turbine blades were considered. Pei Ji et al. (2012) [3] carried out numerical simulation of centrifugal pump with unidirectional and bidirectional fluid-structure coupling methods, discussed the problem of solid vibration, and compared the analysis results with the experimental results. In the same year, Lee Jong-Won Lee used the modified strip theory (MST) to establish the aerodynamic model and structural model based on the multi-body dynamics method and realized the aeroelastic analysis of wind turbine blades. Dong ok Yu (2014) [4] applied software NUMECA and ABAQUS to numerically simulate the aeroelastic response and aerodynamic load of wind turbine rotor blades by using the CFD-CSD coupling method, calculated the aerodynamic load of blades based on the N-S equation, and calculated the elastic deformation of blades based on the CSD solver of FEM. Heinz (2016) [5] et al. realized the fluid-solid interaction between the structural part of HAWC2 aeroelastic solution and the finite-volume CFD solver EllipSys3D. Although only the weak coupling between the two was realized, sufficient numerical stability and second-order accuracy were maintained.
The research on the aeroelasticity of large wind turbine blades focuses on rapid wake prediction and 3D modeling. In terms of rapid wake prediction and calculation, Yu Ziying (2019) [6] calculated the aerodynamic performance of the floating fan by using the openFOAM with CFD toolbox and turbinesFOAM based on the elastic excitation line. The aerodynamic elasticity of the blade has little influence on the aerodynamic performance of the fan, especially in the wake field, which has almost no influence.
For the analysis of three-dimensional models, especially the structural analysis, scholars from different countries have also adopted different software or programs to conduct relevant studies: Wang (2016) [7] proposed that in blade modeling, three-dimensional finite element method has the highest calculation accuracy, but takes the longest time. Di Tang et al. (2017) [8] developed an aeroelastic method for wind turbines, emphasizing the influence of aeroelasticity on aerodynamics and structural performance. Jason Howison et al. (2018) [9] proposed an aeroelastic model of wind turbine blade derived from the unsteady Navier-Stokes equations and a structural dynamics model based on modal shapes. Classical laminate theory is less accurate, but the fastest; In practical engineering application, compromise selection should be made according to engineering needs and conditions. Bazilevs and Hsu et al. (2011) [10] studied NREL 5MW full-scale wind turbine using two methods. Through numerical simulation of fluid-structure coupling, they found that the coupling between the blades and the tower would reduce the power generation of the blades. Zheng Hei Chow et al. (2019) [11] explored the fluid-solid interaction characteristics of offshore wind turbine platforms by combining experimental and numerical simulation methods. Miao Weibao (2019) [12] conducted quasi-static and dynamic analysis of blades of different shapes in typhoon environment under shutdown conditions through parametric modeling and two-way fluid-structure coupling technology and achieved vibration and noise reduction effect through blade pre-bending and torsion.
The primary function of wind turbines is to generate electricity; therefore, the stable power performance and blade stability are very important in the daily operation of wind turbines. Unai Fernandez-Gamiz et al. (2017) [13] investigated the effect of vortex generators (VGs) and Gurney flaps (GFs) on the power performance of NREL 5MW wind turbines based on a modified BEM method and proposed the best configuration case with the maximum increase in average power output. On this basis, Aitor Saenz-Aguirre et al. (2019) [14] propose a novel flow control strategy, AGF, using artificial neural network techniques to improve the performance of wind turbines in situations where the operating point changes rapidly due to rapid changes in the incoming wind.
In this paper, the parts are organized as follows. First of all, the method and implementation process of the bi-directional fluid-solid coupling technique (CFD-FEM) are briefly introduced. Then, the computational fluid dynamics and finite element methods are verified and analyzed, respectively. On this basis, the aeroelasticity of wind turbine blades under uniform wind is compared with the pure CFD method using the bi-directional fluid-structure coupling technique. Finally, the aeroelastic energy, flow field distribution and structural response of the wind turbine blade under the same wind speed and different turbulence intensity are studied by introducing turbulent wind field to simulate the operation condition of the wind turbine in real environment, and the effect of turbulence intensity on the stability of the wind turbine blade is elucidated. The main reference data and airfoil data of wind turbines are from official NREL reports.

2. Numerical Modeling

In order to analyze the motion characteristics and flow field of wind turbine blades by using bi-directional fluid-structure coupling technology, the strong coupling method of STAR CCM+ and ABAQUS co-simulation is adopted in this paper to conduct real-time analysis from both fluid and solid fields.

2.1. CFD Numerical Simulation Method

Modern wind turbines operate normally at low wind speeds (Mach number does not exceed 0.3), the flow can be regarded as incompressible, and the density of air can be regarded as constant [15]. Moreover, temperature changes are usually not considered in wind turbine simulations, and the equation for conservation of fluid energy can be decoupled from the incompressible Navier-Stokes (N-S) equation, so the vector expression of the N-S equation can be written as:
ρ t + ( ρ v ) = 0
( ρ v ) t + ( ρ v v ) = σ + f b
where: v is the velocity vector, ρ is the air density, is the Crocker operator, f b is the body force, σ is the stress tensor; σ = p I + T represents the sum of the normal and tangential stress, I is the unit tensor, T is the viscous stress tensor.
With the help of numerical solution method, the computational domain is discretized into independent units by finite volume method, and the N-S partial differential equations without analytical solution are converted into discrete algebraic equations on the unit, and then the equation system is closed according to the specific boundary conditions of the problem to be studied and the additional constitutive equations, and the fluid parameters such as velocity and pressure of each node in the calculation domain can be obtained.
There are several common turbulence models in the RANS method, and the most commonly used turbulence models in wind turbine CFD numerical simulation are briefly introduced below. The SST turbulence model is an evolution of the turbulence model. Menter F.R. adds a non-conservative cross-diffusion term on the basis of the Wilcox [16] correction model, so that the model can obtain the same results as the model in some cases, thus effectively mixing the efficiency of the model in the far field and the model in the advantages of robustness and precision in the near-wall region. Menter [17] calls this model the Shear-Stress Transport (SST) model. This model is widely used in the simulation of the aviation industry and boundary layer flow, and the aerodynamics of wind turbine blades are similar to the aerodynamics of airfoils in the aviation industry, which makes the SST model also suitable for studying the aerodynamic performance of wind turbine blades. Therefore, this model was also selected for the CFD numerical simulation in this paper. The SST turbulence model equation is expressed as:
( ρ k ) t + x i ( ρ k u i ) = x j ( Γ k k x j ) + G k Y k + S k
( ρ ω ) t + x i ( ρ ω u i ) = x j ( Γ ω ω x j ) + G ω Y ω + D ω + S ω
where: Γ k ,   Γ ω is the effective diffusivity term for k ,   ω , S k ,   S ω is the user-defined source term for k ,   ω , G k ,   G ω is the displacement in the i ,   j direction, Y k ,   Y ω is the dissipation term of k ,   ω , k is the turbulent flow energy, ω is the turbulent dissipation rate, and D ω is the lateral dissipation rate. (interested readers can refer to Ref. [17] for a more detailed description of the SST k-ω turbulence model).

2.2. FEM Numerical Simulation Method

Modal analysis can obtain relatively accurate natural frequencies and modal shapes of the blade. This can not only verify the accuracy of finite element structural modeling, but also the basis for the corresponding structural dynamics analysis. In the environment of high wind speed and high turbulence, the blade as a slender body is very prone to structural resonance or blade tip flutter, so it is necessary to carry out structural modal analysis in advance.
For wind turbine blades, the overall dynamic balance equation of the structure after finite element discretization is:
[ M ] { u ¨ } + [ C ] { u ˙ } + [ K ] { u } = 0
When the intrinsic properties of the blade are often ignored in engineering, the equation becomes:
[ M ] { u ¨ } + [ K ] { u } = 0
For linear systems, the solution of the above equation can be written as:
{ u } = { ϕ } i cos ( ω i t )
where { ϕ } i is the mode shape eigenvector corresponding to the ith order mode; ω i is the natural frequency of the order ith mode;
( [ K ] ω i 2 ) { ϕ } i = 0
where { ϕ } i is the mode shape eigenvector corresponding to the ith order mode; ω i is the natural frequency of the order ith mode; [ K ] is an intrinsic property of the structure, which is related to the elastic modulus of the structure itself and the Poisson’s ratio.
Therefore, in modal analysis, only the elastic modulus, Poisson’s ratio and density of all materials of the blade need to be known to solve the modal analysis of the entire blade: the natural frequency and its corresponding mode shape.

2.3. Numerical Simulation Method of Fluid-Structure Interaction

In fluid-structure interaction technology, there are two kinds of solutions: direct solution method and separation solution method. Direct solution method refers to the fluid governing equation and solid governing equation put together in the same matrix to solve directly, this method does not exist the lag problem between the fluid and the structure, but the calculation is huge and not easy to converge, generally not considered. The other method refers to the separation solution method, in which the fluid governing equation and solid governing equation are solved separately, and the two are connected through the coupling surface to realize the coupling calculation. This method has relatively low computational requirements, and different software can be selected to solve the fluid domain and solid domain, which is more friendly and extensive in engineering applications. The separation solution method is adopted in this paper, so the conservation of displacement and pressure must be guaranteed on the coupling interface. Temperature change is not considered in this paper, so the governing equation at the interface is:
{ τ f n f = τ s n s d f = d s q f = q s
where: τ is the stress, d is the displacement, q is the heat, n is the direction cosine, subscript f is the fluid domain, and subscript s is the solid domain.
In this paper, STAR CCM+ is used to solve the governing equation in the fluid domain, ABAQUS is used to solve the governing equation in the solid domain, and the dynamic link library of Co-simulation is used to realize the numerical simulation, that is, the blade surface pressure is obtained by solving the N-S equation through STAR CCM+. Through the compilation of the INP file of ABAQUS, the blade surface pressure of STAR CCM+ is transferred to ABAQUS to calculate the displacement and deformation, and then the deformation value is transferred to STAR CCM+. The bidirectional fluid-structure coupling calculation method used in this paper is shown in Figure 1.

3. Modeling and Validation

The real wind turbine blades are composed of three-dimensional spatial surfaces and the internal structure is usually made of complex composite materials. In order to analyze the working condition of a real blade, a high precision model must be built. This section will ensure the accuracy of the analysis from three aspects: modeling, fluid verification and structural verification.

3.1. Wind Turbine Modeling

The research object of this paper is NREL 5MW wind turbine [18]. Since the fluid-structure coupling involves both the fluid domain and the solid domain, it needs to be modeled separately. The specific method is as follows: the solid model of the whole 5MW blade is first established in SOLIDWORKS, which is derived into IGS model, and then post-processed in STAR CCM+ and ABAQUS, respectively.
Blade layup design is a prerequisite for accurate 3D finite element simulation of real wind turbine blades, and iterative adjustment requires a lot of time. Maximizing the restoration of the real blade lay-up while ensuring the stability and convergence of the finite element calculation is one of the difficulties of this paper’s research. In this paper, we choose the literature [19] as the benchmark, which is a study of NREL 5MW offshore floating wind turbine by SANDIA labs in 2013, designed according to the design criteria specified by IEC Class I onshore wind turbine standard with the stratification preprocessing software NuMAD. The wind turbine blade lay-up design was verified by FAST and ANSYS. However, NuMAD lay-up can only be imported into ANSYS for analysis. Therefore, this paper will use the composite layer manager module of ABAQUS for blade lay-up design.
It can be seen from Figure 2 that the wind turbine blades are divided into several sections in the spreading direction and five areas (LE, LE_panel, Web, Cap, TE) in the cutting direction. A single blade is divided into nearly 400 small areas.
The created IGS solid model is imported into ABAQUS. First of all, the solid model is converted into a shell model without the actual thickness by the shell extraction technique. Then, the blade surface and web are divided into different small areas by cutting the reference plane. Finally, according to the thickness of the composite plies extending from each section of the blade shown in Figure 2b, the details of delamination, fiber angle adjustment and thickness offset are adjusted sequentially in the CM module of ABAQUS to complete the whole finite element delamination design. The established composite laminated blade and the lamination of each section are shown in Figure 3.

3.2. CFD Validation

The diameter of the wind wheel of NREL 5MW wind turbine is D = 126 m, and to take into account the rotation of the blade, two areas need to be divided: background area and rotation area, and the flow field information between the two areas is transmitted through the slip grid. The dimensions of the background domain are 5D × 5D × 8D, and the diameter and width of the rotation domain are 170 m and 30 m, respectively. The fan is 2.5D away from the upstream inlet and 5.5D away from the downstream outlet. Figure 4 shows the setting of boundary conditions: the upstream boundary of the wind turbine is the velocity inlet, the downstream boundary of the wind turbine is the pressure outlet, and the other four surfaces are symmetric planes, which can effectively reduce the blocking effect and ensure the accuracy of calculation. The blockage ratio of the model turbines, defined as the rotor swept area divided by the wind tunnel cross-section area, was about 3.14%. As suggested, the upper limit to prevent the wind tunnel wall interference was 10% [20,21], the current blockage ratio achieved well. The surface of the wind turbine blade is the non-slip wall, and the turbulence model chooses the SST kω turbulence model.
Due to the complex shape of wind turbine blades but the need to capture the flow on the blade surface, this paper adopts the technique of cut volume meshing to generate 10 layers of prismatic layer meshes on the blade and hub surfaces simultaneously, with a total thickness of 0.04 m, 10 layers in total, and a growth rate of 1.2. Figure 5 shows the meshing of the blade surface and the surrounding flow field, as well as the boundary layer meshes of the blade cross-section.
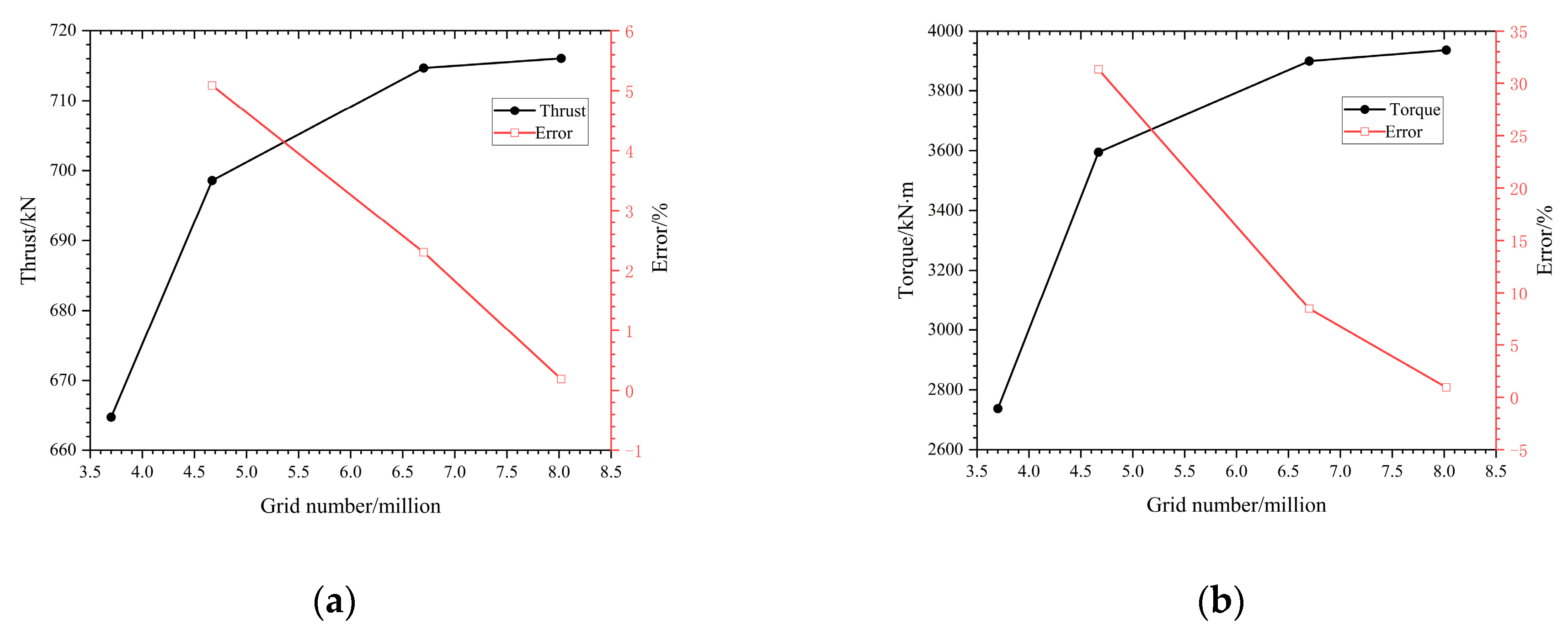
In order to verify the rationality and accuracy of the meshing, the convergence of the meshing is verified in the following. At the wind speed of 11.4 m/s, the mesh size of the flow field in the outer domain is kept constant, and the meshes of the rotating domain and the blade surface are scaled to different degrees to achieve mesh encapsulation. The mesh size of the outer domain is 8 m. The mesh size of the rotating domain, the mesh size of the blade surface and the mesh number of the whole computational domain are shown in Table 1.
After grid division is completed, the wind speed at rated working condition is selected as 11.4 m/s, the wind turbine blade speed is 12.10 rpm, and the time step is selected as the wind turbine rotation time of one degree of 0.0138 s. The calculation results of wind turbine thrust and torque under different grid sizes are shown in Table 2, and Figure 6 shows the relationship between the number of grids and blade thrust, torque and relative error.
The following conclusions can be drawn from the contents shown in Table 2 and Figure 6: with the reduction in the rotation domain and blade surface mesh size, the thrust and torque of the wind turbine are closer and closer to the values reported by NREL official FAST calculation. At the same time, the relative errors between adjacent examples are gradually reduced, and the convergence of the mesh is guaranteed. In order to ensure the accuracy of simulation and improve the computational efficiency as much as possible, the grid size of case3 will be selected for the subsequent calculation in this paper to simulate the aerodynamic performance under different wind speeds and compare with various numerical simulation methods to further ensure the reliability and accuracy of the grid.
To verify the accuracy of the numerical results, the uniform wind speeds were calculated for five conditions: 5 m/s, 7 m/s, 8 m/s, 10 m/s, 11 m/s and 11.4 m/s, the rotation speed of the NREL 5MW wind turbine corresponding to different wind speeds is shown in Table 3.
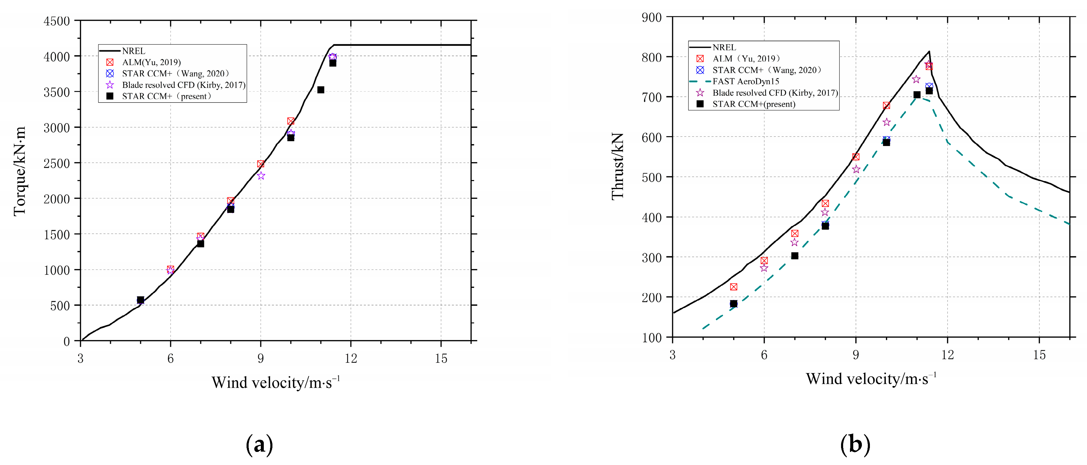
The thrust and torque results obtained from CFD calculations were compared with those obtained by NREL officials and some scholars [6,22,23], as shown in Figure 7. It can be seen from the figure that the thrust calculated by STAR CCM+ in this paper is lower than the data in the official NREL report, which has a high agreement with the results of FAST simulation, because the thrust calculated in the official NREL report includes the gravity classification perpendicular to the direction of the slurry disk. The results of this paper are in good agreement with those of Wang [22], who also simulated by STAR CCM+. The calculation results of CFD method are generally low due to the absence of an actual blade model in the fluid domain by the Actuator Line Method. In terms of torque, the results in this paper are slightly higher than the official report when the wind speed is low, and the torque value is slightly smaller than the official report when the wind speed gradually increases. Secondly, in terms of torque, the results of this paper’s method do not differ much from those obtained by other scholars using different methods, and are in the highest agreement with Wang’s results, which are also simulated by STAR CCM+. The maximum error of the simulated horizontal thrust and torque compared with the official report is 3.65% and 6.73% at 11.4 m/s, and the deviation of the simulated results is within the acceptable range, which verifies the accuracy and validity of the model in terms of aerodynamic performance.

3.3. FEM Validation

The blade stratification model of the NREL 5MW wind turbine developed in this paper is required to meet the design parameters of the original blade. The linear mass density in the blade extension direction was calculated and compared with the official NREL report, as shown in Figure 8. The linear density is higher near the hub and lower at the blade tip, but the overall trend stays the same, the reason is that the model in NREL’s official report is based on a truncated model, while the blade built in this paper is a smooth connection out of SOLIDWORKS software, and the cross-sectional dimensions are variable, leading to the difference between them.
After ensuring the validity of the blade model, the verification of the mesh independence should be further completed to ensure that the finite element analysis accurately expresses the stresses, strains and other parameters of the structure, and to maximize the computational efficiency. In this paper, modal analysis is used to verify the grid size, only for the single blade. The finite element mesh uses a linear quadrilateral mesh with normalized structure, with mesh element S4R, and a linear triangular mesh with mesh element S3 at the tip of the blade and part of the trailing edge where there is a sharp shape.
The grid size changes on the blade surface and the total number of grids on the whole blade are shown in Table 4: As in the meshing pattern of the fluid domain, the base size and minimum size of the blade surface were halved from 0.8 m to 0.15 m, and the number of meshes for a single blade was increased from 4671 to 35,785. Figure 9 shows the grid of single blade. The boundary conditions are fixed at the blade root and no load is added. The first six modes of a single blade are analyzed and compared with literature [18]:
From Table 5, it can be obtained that the modal analysis of the finite element model is not highly sensitive to the mesh, and the modal frequencies calculated by the four meshes do not differ much. In order to ensure faster data transfer of the bidirectional fluid-solid coupling, the mesh size of case3 with the same settings as the fluid domain can better ensure the mesh size matching between the fluid domain and the solid domain at the intersection. The final analysis results of the first six modes of a single blade are shown in Figure 10. The first, third and fifth modes of the single blade of the wind turbine are flapwise bending, the second and fourth modes are the edgewise bending, and the sixth mode is the torsional deformation around the blade axis. It is proved that the most important deformation of the blade is the flapwise bending, followed by the edgewise bending, and the torsion is smaller.

4. Results and Discussion

In CFD simulation calculation, wind turbine blade is a rigid body without deformation, and all the analysis only focuses on the flow field, fluid motion on blade surface and aerodynamic load. However, the length of NREL 5MW blade is 61.5 m, and the actual large deformation of the blade will have a great impact on the flow field, so aerodynamic analysis must be introduced.

4.1. Influence of Fluid-Structure Interaction on Aerodynamic Performance of Wind Turbines

In exploring the effect of wind turbine blade deformation on aerodynamic performance, six conditions of uniform wind speed, 5 m/s, 7 m/s, 8 m/s, 10 m/s, 11 m/s and 11.4 m/s were calculated. In this section, the aerodynamic load characteristics, flow field distribution and structural response of wind turbine blades at different wind speeds are analyzed by the bidirectional fluid-structure coupling technique and compared with CFD methods.
In this paper, the CFD and mesh settings are the same as in Case 3 and will not be detailed in this section. In this section, the air elastic energy of the wind turbine under different wind speeds is analyzed, and the calculation time is related to the wind speed. In order to obtain stable blade tip displacement and aerodynamic performance, we need to ensure that the wind turbine rotates at least three turns smoothly after starting. Taking the rated working condition of 11.4 m/s as an example, the wind turbine speed is 12.1 rpm, and the time it takes to rotate a circle is 4.95 s. It takes 14.85 s to rotate three turns; in order to obtain more stable results, it is reasonable to choose 20 s to remove the starting time of 3 s when the rotational speed of the wind turbine is uniformly increased. And so on for the rest of the conditions. The lower the wind speed, the longer the simulation calculation time. Figure 11 shows the structure of the NREL 5MW full-size case model. Due to the small deformation of the hub part, it is not the focus of this paper to study the blade aeroelasticity. In order to improve the efficiency of fluid-structure interaction, this part will be considered as rigid body in ABAQUS and not involved in deformation. The mesh division is shown in Figure 11. The basic grid size is 0.2 m, and the minimum grid size is 0.02 m with S4R/S3 grid.
In addition, in order to ensure that the joint simulation of STAR CCM+ and ABAQUS works properly, it is necessary to ensure that both settings are identical. In STAR CCM+ the rotational domain is set to deform, and the mesh deformation technique is used to ensure that the structural deformations are mapped onto the wind turbine blades. In ABAQUS the wind turbine blades are set to the same speed as in STAR CCM+ and the center of rotation is the hub center. It is also important to note that the initial position of the wind turbine and the azimuth of the blade must be identical in both software versions.

4.1.1. Effect of Coupling on Aerodynamic Loads

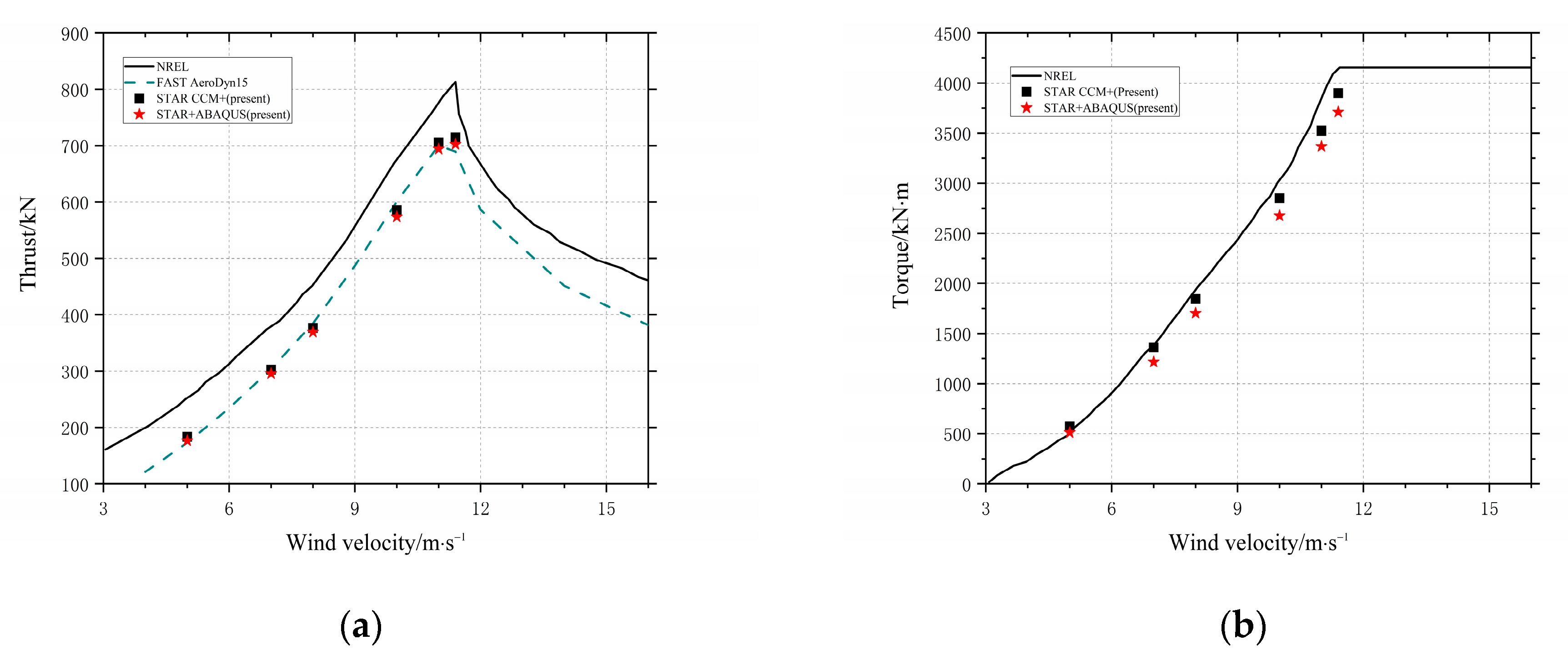
Due to the common simulation of STAR CCM+ and ABAQUS, the settings of both software need to be consistent, so the same time step needs to be set in ABAQUS. Due to the high accuracy requirement of bidirectional fluid-structure coupling, the time of 0.5 degrees of blade rotation is chosen as the coupling time step in this paper. In addition, Table 6 and Figure 12 show the comparison of thrust and torque results using bidirectional fluid-structure coupling technique, CFD technique and official NREL reports at different wind speeds.
It can be seen from Figure 12 that the thrust and torque simulated with the bidirectional fluid-structure coupling technique are smaller than those of the pure CFD method. The thrust of the wind turbine is determined by the swept area of the wind turbine blade surface. The coupled calculation takes into account the deformation of the blade, which leads to a slight reduction in the swept area of the wind turbine blade and a slight decrease in the thrust force. The torque of the wind turbine becomes smaller as the wind speed increases, because as the wind speed increases, the rotation speed of the turbine becomes faster, the degree of twisting of the blades around the blade span axis increases, and the torque decreases instead.
The results in Figure 13 show that the aerodynamic performance of the wind turbine blade decreases due to deformation. As the wind speed increases, the thrust and torque losses caused by blade deformation also increase. From the perspective of power generation, a wind turbine with a design power of 5000 kw will lose 238.276 kw under the rated operating conditions of 11.4 m/s. The effect of aeroelasticity is not negligible. Although there are higher losses, this paper introduces the concept of power/thrust coefficient variation:
δ C P = P 1 P 0 0.5 ρ U 3 π R 2
δ C T = T 1 T 0 0.5 ρ U 2 π R 2
where, P 1 and T 1 represent the power and thrust obtained by CFD calculation, P 0 and T 0 represent the power and thrust obtained by two-way fluid-structure coupling calculation. ρ is the air density, U is the uniform wind speed, and R is the radius of the wind turbine.
According to the calculation, when the wind speed increased from 5 m/s to 11.4 m/s, δ C P decreased from 0.0502 to 0.0210, and δ C T decreased from 0.0360 to 0.0123. This indicates that although the generation power lost due to blade deformation increased with the increase in wind speed, the change of power coefficient decreased significantly, and the wind speed doubled. δ C P is doubled, so in order to improve the power generation efficiency, the rated working condition is still the first choice.

4.1.2. Influence of Bidirectional Coupling on Flow Field Characteristics

Figure 14 shows the velocity distribution of CFD and 2D fluid-solid coupling flow field at 10 m/s wind speed. From the figure, it can be seen that the turbine flow field is divided into two regions regardless of whether the fluid-structure coupling technique is used or not: the normal region downstream of the wind turbine and the low-speed region upstream, and the effect of the turbine on the downstream spreads to about 1.5D when the time of calculation is 20 s. However, due to the large deformation of the blade tip, which is about 5 m, the fluid-structure coupling method considering the elastic deformation has a little loss of the blade tip velocity.
The pressure distribution on each blade section at 10%, 50%, 70% and 90% of the length from the blade root was extracted, and the maximum pressure difference between the positive pressure zone on the windward side and the negative pressure zone on the leeward side was analyzed. The results are shown in Figure 15. It can be seen from the figure that the pressure difference between the windward and leeward sides of the blade increases nonlinearly with the increase in the span, and the longer the span, the faster the increase. Considering the deformation of the blade, the fluid-structure coupling method is adopted. The flapping motion of the blade makes the pressure change on both sides of the blade more obvious, and the surface pressure of the blade is greater, which has a greater test on the pressure resistance of the blade surface. The red dashed line indicates that the effect of bidirectional fluid-structure interaction becomes more significant as the wind speed increases. For higher wind speeds of 10 m/s, the pressure difference between 50% of the blade length and the blade tip increases rapidly, and the blade deformation is most severe. The higher the wind speed, the greater the effect of deformation on the pressure difference between the two sides of the blade, which again proves the necessity of aeroelastic analysis in the design of wind turbine blades.

4.1.3. Response Analysis of Blade Structure

According to the modeling verification in Section 3, it can be seen that the overall mass of the blade tip is the lightest part in linear density, so the displacement of the whole blade is the largest in the blade at the same wind speed, and the comparison of the displacement of the jitter direction of the blade tip with the official report is shown in Table 7. It can be seen from the table that the results of the STAR CCM+ and ABAQUS co-simulation at each wind speed simulated in this paper are consistent with the FAST simulation results from NREL laboratory, and the maximum error of the flapping direction as the main deformation direction is less than 6%, which verified the accuracy and reliability of the bidirectional fluid-structure coupling method adopted in this paper. Since the main deformation direction of the wind turbine blade is the flapping direction, Figure 16 is the comparison graph of the blade tip flapping displacement under different wind speeds. It can be seen from the figure that with the increase in wind speed, the deformation of blade tip flapping direction increases continuously, and reaches the maximum value at the rated wind speed of 11.4 m/s, when the blade deformation is the largest and the stress is also the largest. As mentioned above, the load of the wind turbine reaches the maximum value at the rated wind speed.
Under normal operating conditions, the main form of wind turbine blade deformation is deformation in the waving direction, while deformation in the edging direction and torsional deformation are very small, which will put the blade root forces to the test. Therefore, “Von Mises Stress” in ABAQUS post-processing was used to describe the stress analysis [24]. This method is based on the concept of equivalent stresses based on the von Mises criterion, which can be used to assess the fatigue and failure of the structure and to clearly describe the most dangerous areas of the structure. It can be seen from Figure 17 that the overall equivalent force of the wind turbine blade is about 15% of its length, distributed in the middle of the blade and near the root of the blade. The reason for this is that the deformation of the blade is mainly concentrated in the middle and upper part of the blade, and the closer to the blade root, the higher the stresses. However, since the material layout at the blade root is the best, the mass line density and the blade bedding are thick here. This leads to greater equivalent stresses at a relatively thin distance from the blade root length of 15%. However, the color distribution in the figure shows that the maximum stress distribution in the blade is not on the surface of the blade skin.
Figure 18 shows the equivalent stress distribution of the blade shell surface and web under two high wind speeds of 10 m/s and 11.4 m/s. It can be found that the maximum stress of the blade shell surface is on the main beam, about 15% of the length from the blade root, and the maximum stress of the web is also here, and the maximum stress of the web is obviously larger than the maximum stress of the blade shell surface. The existence of the web plate effectively improves the bending resistance and is also one of the main stressed parts.
Table 8 shows the comparison of the maximum equivalent forces of the blade surface and web for different uniform wind speeds. The difference between the maximum equivalent force of blade surface and web is about 2 times. The presence of the web reduces the force of the main beam of the blade to a large extent. In terms of structural form, the web and the main beam form a box structure, which also provides good bending and torsional resistance, which shows the importance of the web. In addition, the stress increases with the increase in wind speed in a linear trend. The blade operates at high wind speeds and the risk of localized skin material damage due to excessive local stresses must be considered.

4.2. Influence of Turbulence Intensity on Aerodynamic Performance of Wind Turbines

The shear wind considering turbulence intensity is in line with the real environment for normal wind turbine operation compared to the uniform wind in ideal conditions. The main consideration is the unstable inlet wind input. The variation of wind speed and wind direction has a great impact on the aerodynamic performance of the wind turbine. In order to simulate the actual operating conditions of the wind turbine more realistically, the aeroelastic response of the wind turbine blade under turbulent conditions is further calculated in this section. In this paper, the Turbsim [25] program is used to simulate turbulent winds, which is a set of professional pre-processing software developed by the Renewable Energy Laboratory in the United States to simulate turbulent winds. The parameters of the turbulent wind field were established in combination with the CFD flow field size used in the previous paper, as shown in Table 9:
According to the above table, turbulent wind fields were created using the IEC-Von Karman wind spectrum model with turbulent intensities of 5%, 10% and 15% in that order. The wind shear coefficients were considered in building the wind fields. The mean wind speed was used at the hub center and its height was used as the reference height to output a two-dimensional turbulent wind field. Figure 19 shows the wind speed changes of hub center height and two-dimensional section under different turbulence intensities. Then, the velocity inlet boundary conditions were input into STAR CCM+ for calculation through post-processing. Considering the computational efficiency of the fluid-solid coupling method, the simulation time of this paper is 40 s.

4.2.1. Effect of Turbulence Intensity on Flow Field Characteristics

Figure 20 shows the velocity distribution of the flow field for different turbulence intensities at 10 m/s wind speed. From the figure, it can be seen that the maximum velocity of the cross-sectional velocity field in the computational domain increases with the increase in turbulence intensity. Due to the presence of shear winds, the wake vortices develop obliquely toward the ground instead of horizontally. The reason for this is that the rotation of the wind turbine leads to a low velocity zone in the wake, while the shear wind leads to stronger winds aloft, thus squeezing the low velocity zone downward.

4.2.2. Effect of Turbulence Intensity on Structural Response

In the turbulent wind field, the unsteady load of fan blades will certainly cause the unsteady characteristics of elastic deformation of fan system blades. For large fan blades, the flexibility of blades is more obvious. Turbulent wind often brings obvious blade deformation, and there may be sudden large deformation in a certain period of time. Therefore, it is very necessary to study blade deformation under turbulent wind conditions.
The following Figure shows the corresponding deformation of blades under the conditions of uniform wind and 5%, 10% and 15% turbulence intensity in 20–40 s, respectively. The turbulent wind field corresponding to 5%, 10% and 15% turbulence intensity is set according to the wind field used in Section 4.2.
In order to describe the positions of different blades of the wind turbine, the azimuth Angle adopted in this paper is shown in Figure 21. Blade azimuth is defined as 0-degree azimuth of No. 1 blade pointing to 12 o’clock direction and 180-degree azimuth of No. 1 blade pointing to 6 o’clock direction.
From Figure 22a, it can be seen that the fan is basically in a normal working condition after 30 s under the effect of uniform wind speed. Throughout the simulation, the blade tip displacement curve is very regular, and the blade tip displacement is kept at a constant value of about 4.78 m, which is consistent with the previous conclusion. Compared with the case of uniform wind in Figure 22a, the blade vibration form has two different changes due to the turbulence influence of wind, and the blade tip flapping displacement is significantly different between 20–30 s and 30–40 s.
As shown in Figure 22b–g, by analyzing the different blade tip displacements of the same wind turbine, it can be seen that the blade is mainly affected by the shear wind within 20–30 s. When the blade is located at 0-degree angle of azimuth, the blade tip is located at the highest point of the whole wind wheel, the wind speed is the largest at this moment, and the blade displacement is also the largest. After about 2.55 s, the blade runs to 180-degree angle of azimuth, where the wind speed is the lowest and the blade displacement is the smallest. Then, the tip displacement of the three blades was extracted, and the tip displacement curve of the three blades changed with the change of blade azimuth. The deformation forms of the three blades were basically the same, but there was a phase difference of 120° between them. In 30–40 s, from the velocity field and pressure field around the three blades at the same time, the blade at this moment in the turbulent wind by the local gust of wind, the blade a region of the load suddenly increased, resulting in irregular displacement changes of the blade. The blade tip often appears irregular great deformation, it is extremely convenient to lead to the fatigue damage of the material in the region, also may lead to the delamination and mutual separation between the composite materials, is not conducive to the structural safety of the blade.
The flapping deformation of the blade tip within 20–40 s was selected for analysis. Table 10 shows the statistical table of the mean, maximum and standard deviation of the blade tip displacement curves during this period. From Table 10 and Figure 23, it can be seen that for the flapping direction, the mean, maximum and standard deviation of the blade tip displacement increase significantly with the increase in turbulence intensity when the reference wind speed is 10.0 m/s. The blade deformation caused by turbulence intensity cannot be ignored. When the blade is under irregular load for a long time, the presence of fatigue must be taken into account. It is also necessary to adjust the windward area of the blade in real time by variable blade control to ensure that the blade vibration does not change drastically in a short period of time.
From Figure 24, it can be seen that at a wind speed of 10 m/s, the stress distribution concentration on the blade surface becomes more and more obvious with the increase in turbulence intensity. Under uniform wind speed, the stress concentration in the middle of the blade is basically connected to a piece. However, with the increase in turbulence intensity, the blade is affected by turbulence, the pressure distribution on the blade surface appears to be concentrated in a few areas, which has a higher requirement for the local compressive performance of the blade, and also challenges the bonding ability of the outer surface skin material of the blade.
From Figure 25 and Table 11, it can be observed that the stress on the blade surface and web increases with the increase in turbulence intensity, and the stress increment between adjacent working conditions keeps increasing, which demonstrates that the stress concentration degree on the blade is increasing. Under the action of turbulent wind, the blade surface will have a sudden stress concentration phenomenon since the wind load changes suddenly. This is a challenge for the blade local (15% of the length from the blade root) stresses, where additional protection is needed to avoid damage to the blade skin material and internal structure.

5. Conclusions

In order to study the harmful effects of turbulent wind on the wind turbine blade, this paper uses the bidirectional fluid-structure coupling technique based on STAR CCM+ and ABAQUS software to model and analyze the actual blade. To ensure the stability and reality of the analysis, the grid convergence of CFD was first verified and the aerodynamic performance at different wind speeds was calculated. Compared with the results of many researchers, the error conforms to the requirements. Secondly, in terms of finite elements, the accuracy of the blade layered design was ensured by mass characteristics and modal analysis. From the above analysis and discussion, several important conclusions can be drawn, as follows:
In the comparison between the two-way fluid-structure coupling calculations and CFD calculations, although the power generation loss due to blade deformation increases with wind speed, the change in power coefficient decreases significantly. Under uniform wind, the overall equivalent force of the wind turbine blade is concentrated in the middle of the blade and at 15% of its span length from the root of the blade. The web enhances the deformation resistance of the main beam area, whose maximum stress is twice as high as the blade surface.
Through comparison of blade tip displacement, the increase in turbulence intensity leads to greater amplitude of blade flapping deformation, more serious deformation and more concentrated stress distribution area on the blade surface, which increases the instability of the blade.
The model employs a bidirectional fluid-structure coupling technique with accurate calculation results, but there are some limitations. For example, the computational efficiency of CFD is low and cannot be quickly applied to the analysis of blade fatigue due to turbulent strength. Further research is needed to refine the analysis and make it more widely accepted.

Author Contributions

X.Z. and Y.Y. made the computations and data analysis; Z.H. made the data analysis and did the proofreading; Z.Y. did the proofreading and editing; X.Z. guided the engineering project and provided the data; S.H. drafted the manuscript with others. All authors contributed to the work. All authors have read and agreed to the published version of the manuscript.

Funding

This research work was funded by the National Key Research and Development Program of China (No.2020YFB1506701), the National Natural Science Foundation of China (Nos. 51739001; 51879051); Natural Science Foundation of Heilongjiang Province in China (LH2020E071), Open Fund of Zhejiang Provincial Key Laboratory of Wind Power Technology (ZOE2020007).

Institutional Review Board Statement

Not applicable.

Informed Consent Statement

Not applicable.

Data Availability Statement

The data sets during and/or analyzed during the current study are available from the corresponding author upon reasonable request.

Acknowledgments

We sincerely thank Qingwei Main City, University of London, corresponding editors and reviewers for their constructive suggestions and supports.

Conflicts of Interest

The authors declare no conflict of interest. The founding sponsors had no role in the design of the study; in the collection, analyses, or interpretation of data; in the writing of the manuscript, and in the decision to publish the results.

References

  1. Roga, S.; Bardhan, S.; Kumar, Y.; Dubey, S.K. Recent technology. and challenges of wind energy generation: A review. Sustain. Energy Technol. Assess. 2022, 52, 102239. [Google Scholar] [CrossRef]
  2. Untaroiu, A.; Wood, H.G.; Allaire, P.E.; Ribando, R.J. Investigation of Self-Starting Capability of Vertical Axis Wind Turbines Using a Computational Fluid Dynamics Approach. J. Sol. Energy Eng. 2011, 133, 041010. [Google Scholar] [CrossRef]
  3. Pei, J.; Dohmen, H.J.; Yuan, S.Q.; Benra, F.K. Investigation of unsteady flow-induced impeller oscillations of a single-blade pump under off-design conditions. J. Fluids Struct. 2012, 35, 89–104. [Google Scholar] [CrossRef]
  4. Yu, D.O.; Kwon, O.J. Predicting wind turbine blade loads and aeroelastic response using a coupled CFD–CSD method. Renew. Energy 2014, 70, 184–196. [Google Scholar] [CrossRef]
  5. Heinz, J.C.; Sorensen, N.N.; Zahle, F. Fluid–structure interaction computations for geometrically resolved rotor simulations using CFD. Wind. Energy 2016, 19, 2205–2221. [Google Scholar] [CrossRef]
  6. Yu, Z.; Zheng, X.; Ma, Q. Study on Actuator Line Modeling of Two NREL 5-MW Wind Turbine Wakes. Appl. Sci. 2018, 8, 434. [Google Scholar] [CrossRef]
  7. Wang, L.; Liu, X.; Kolios, A. State of the art in the aeroelasticity of wind turbine blades: Aeroelastic modelling. Renew. Sustain. Energy Rev. 2016, 64, 95–210. [Google Scholar] [CrossRef]
  8. Tang, D.; Bao, S.; Luo, L.; Mao, J.; Lv, B.; Guo, H. Study on the aeroelastic responses of a wind turbine using a coupled multibody-FVW method. Energy 2017, 141, 2300–2313. [Google Scholar] [CrossRef]
  9. Howison, J.; Thomas, J.; Ekici, K. Aeroelastic analysis of a wind turbine blade using the harmonic balance method. Wind Energy 2018, 21, 226–241. [Google Scholar] [CrossRef]
  10. Bazilevs, Y.; Hsu, M.C.; Akkerman, I.; Wright, S.; Takizawa, K.; Henicke, B.; Spielman, T.; Tezduyar, T. 3D simulation of wind turbine rotors at full scale. Part I: Geometry modeling and aerodynamics. Int. J. Numer. Methods Fluids 2010, 65, 207–235. [Google Scholar] [CrossRef]
  11. Chow, J.H.; Ng, E.; Srikanth, N. Numerical study of the dynamic response of a wind turbine on a tension leg platform with a coupled partitioned six degree-of-freedom rigid body motion solver. Ocean. Eng. 2019, 172, 575–582. [Google Scholar] [CrossRef]
  12. Miao, W.; Li, C.; Wang, Y.; Xiang, B.; Liu, Q.; Deng, Y. Study of adaptive blades in extreme environment using fluid–structure interaction method. J. Fluids Struct. 2019, 91, 102734. [Google Scholar] [CrossRef]
  13. Fernandez-Gamiz, U.; Zulueta, E.; Boyano, A.; Ansoategui, I.; Uriarte, I. Five megawatt wind turbine power output improvements by passive flow control devices. Energies 2017, 10, 742. [Google Scholar] [CrossRef]
  14. Miao, W.; Li, C.; Wang, Y.; Xiang, B.; Liu, Q.; Deng, Y. Optimal wind turbine operation by artificial neural network-based active gurney flap flow control. Sustainability 2019, 11, 2809. [Google Scholar] [CrossRef]
  15. Anderson, J.D.; Wendt, J. Computational Fluid Dynamic; Springer: London, UK, 1995. [Google Scholar]
  16. Wilcox, D.C. Formulation of the k-ω turbulence model revisited. AIAA J. 2008, 46, 2823–2838. [Google Scholar] [CrossRef]
  17. Menter, F.R. Two-equation eddy-viscosity turbulence models for engineering applications. AIAA J. 1994, 32, 1598–1605. [Google Scholar] [CrossRef]
  18. Jonkman, J.; Butterfield, S.; Musial, W.; Scott, G. Definition of a 5-MW Reference Wind Turbine for Offshore System Development; National Renewable Energy Lab. (NREL): Golden, CO, USA, 2009. [Google Scholar]
  19. Resor, B.R. Definition of 5mw/61.5m Wind Turbine Blade Reference Model; Sandia National Laboratories: Albuquerque, NM, USA, 2013. [Google Scholar]
  20. Chu, C.R.; Chiang, P.H. Turbulence effects on the wake flow and power production of a horizontal-axis wind turbine. J. Wind. Eng. Ind. Aerodyn. 2014, 124, 82–89. [Google Scholar] [CrossRef]
  21. Regodeseves, P.G.; Morros, C.S. Numerical study on the aerodynamics of an experimental wind turbine: Influence of nacelle and tower on the blades and near-wake. Energy Convers. Manag. 2021, 237, 114110. [Google Scholar] [CrossRef]
  22. Wang, Q.; Liao, K.; Ma, Q. The Influence of Tilt Angle on the Aerodynamic Performance of a Wind Turbine. Appl. Sci. 2020, 10, 5380. [Google Scholar] [CrossRef]
  23. Kirby, A.C.; Brazell, M.J.; Yang, Z.; Roy, R.; Ahrabi, B.R.; Stoellinger, M.K.; Sitaraman, J.; Mavriplis, D.J. Wind farm simulations using an overset hp-adaptive approach with blade-resolved turbine models. Int. J. High Perform. Comput. Appl. 2019, 33, 897–923. [Google Scholar] [CrossRef]
  24. Okpokparoro, S.; Sriramula, S. Stochastic load effect characterization of floating wind turbine support structures. J. Phys. Conf. Ser. 2019, 1356, 012013. [Google Scholar] [CrossRef]
  25. Tabrizi, A.B.; Wu, B.; Whale, J.; Lotfabadi, M.S. Using TurbSim stochastic simulator to improve accuracy of computational modelling of wind in the built environment. Wind. Eng. 2019, 43, 147–161. [Google Scholar] [CrossRef]
Figure 1. Two-way coupling solution.
Figure 1. Two-way coupling solution.
Applsci 13 00250 g001
Figure 2. Schematic diagram of blade layering partition of NREL 5MW wind turbine: (a) Schematic diagram of wind turbine blade section; (b) Schematic diagram of spanwise zoning of single blade of wind turbine.
Figure 2. Schematic diagram of blade layering partition of NREL 5MW wind turbine: (a) Schematic diagram of wind turbine blade section; (b) Schematic diagram of spanwise zoning of single blade of wind turbine.
Applsci 13 00250 g002
Figure 3. Schematic diagram of wind turbine blade layering model: (a) Cap layering model; (b) Web layering model; (c) LE_panel layering model; (d) LE layering model.
Figure 3. Schematic diagram of wind turbine blade layering model: (a) Cap layering model; (b) Web layering model; (c) LE_panel layering model; (d) LE layering model.
Applsci 13 00250 g003
Figure 4. Setting of boundary conditions.
Figure 4. Setting of boundary conditions.
Applsci 13 00250 g004
Figure 5. Schematic diagram of grid division: (a) Boundary layer of blade section and nearby grid; (b) Blade surface mesh and flow field grid; (c) Grid of blade tips; (d) Grid of hub.
Figure 5. Schematic diagram of grid division: (a) Boundary layer of blade section and nearby grid; (b) Blade surface mesh and flow field grid; (c) Grid of blade tips; (d) Grid of hub.
Applsci 13 00250 g005
Figure 6. Grid independence verification: (a) Thrust; (b) Torque.
Figure 6. Grid independence verification: (a) Thrust; (b) Torque.
Applsci 13 00250 g006
Figure 7. Comparison of thrust and torque at different wind speeds: (a) Torque; (b) Thrust.
Figure 7. Comparison of thrust and torque at different wind speeds: (a) Torque; (b) Thrust.
Applsci 13 00250 g007
Figure 8. Mass density in the direction of blade extension.
Figure 8. Mass density in the direction of blade extension.
Applsci 13 00250 g008
Figure 9. The grid of single blade: (a) Surface of blade; (b) Web of blade.
Figure 9. The grid of single blade: (a) Surface of blade; (b) Web of blade.
Applsci 13 00250 g009
Figure 10. Modal analysis of single blade: (a) 1st Flap flapwise bending; (b) 2nd edgewise bending; (c) 3rd flapwise bending; (d) 4th Flap flapwise bending; (e) 5th edgewise bending; (f) 6th torsion.
Figure 10. Modal analysis of single blade: (a) 1st Flap flapwise bending; (b) 2nd edgewise bending; (c) 3rd flapwise bending; (d) 4th Flap flapwise bending; (e) 5th edgewise bending; (f) 6th torsion.
Applsci 13 00250 g010
Figure 11. Grid of FEM blade. (a) Grid of hub. (b) Meshing of blade surface and web.
Figure 11. Grid of FEM blade. (a) Grid of hub. (b) Meshing of blade surface and web.
Applsci 13 00250 g011
Figure 12. Comparison of thrust and torque at different wind speeds. (a) Contrast of thrust. (b) Contrast of torque.
Figure 12. Comparison of thrust and torque at different wind speeds. (a) Contrast of thrust. (b) Contrast of torque.
Applsci 13 00250 g012
Figure 13. Thrust and torque change under different wind speeds.
Figure 13. Thrust and torque change under different wind speeds.
Applsci 13 00250 g013
Figure 14. Comparison of flow field distribution under different calculation methods at 10 m/s. (a) Flow field distribution is calculated by CFD. (b) Flow field distribution is calculated by two-way coupling.
Figure 14. Comparison of flow field distribution under different calculation methods at 10 m/s. (a) Flow field distribution is calculated by CFD. (b) Flow field distribution is calculated by two-way coupling.
Applsci 13 00250 g014
Figure 15. Maximum pressure difference on airfoils with different sections.
Figure 15. Maximum pressure difference on airfoils with different sections.
Applsci 13 00250 g015
Figure 16. Comparison of blade tip displacements in flapping direction.
Figure 16. Comparison of blade tip displacements in flapping direction.
Applsci 13 00250 g016
Figure 17. Stress distribution of blades under different wind speeds. (a) Stress distribution on windward surface of wind turbine at 11.4 m/s. (b) Stress distribution on leeward side of wind turbine at 11.4 m/s. (c) Stress distribution on windward surface of wind turbine at 5.0 m/s. (d) Stress distribution on leeward side of wind turbine at 5.0 m/s.
Figure 17. Stress distribution of blades under different wind speeds. (a) Stress distribution on windward surface of wind turbine at 11.4 m/s. (b) Stress distribution on leeward side of wind turbine at 11.4 m/s. (c) Stress distribution on windward surface of wind turbine at 5.0 m/s. (d) Stress distribution on leeward side of wind turbine at 5.0 m/s.
Applsci 13 00250 g017
Figure 18. Equivalent stress distribution of blades. (a) Stress distribution on blade surface at 11.4 m/s. (b) Stress distribution on blade surface at 10.0 m/s. (c) Stress distribution of web at 11.4 m/s. (d) Stress distribution of web at 10.0 m/s.
Figure 18. Equivalent stress distribution of blades. (a) Stress distribution on blade surface at 11.4 m/s. (b) Stress distribution on blade surface at 10.0 m/s. (c) Stress distribution of web at 11.4 m/s. (d) Stress distribution of web at 10.0 m/s.
Applsci 13 00250 g018
Figure 19. Wind speed variation of the cross-section under different turbulence intensities (from left to right: 5%, 10%, 15%).
Figure 19. Wind speed variation of the cross-section under different turbulence intensities (from left to right: 5%, 10%, 15%).
Applsci 13 00250 g019
Figure 20. Flow field distribution comparison of different turbulence intensities at 10 m/s. (a) Tail vortex distribution under uniform wind. (b) Tail vortex distribution at 5% turbulence intensity. (c) Tail vortex distribution at 10% turbulence intensity. (d) Tail vortex distribution at 15% turbulence intensity.
Figure 20. Flow field distribution comparison of different turbulence intensities at 10 m/s. (a) Tail vortex distribution under uniform wind. (b) Tail vortex distribution at 5% turbulence intensity. (c) Tail vortex distribution at 10% turbulence intensity. (d) Tail vortex distribution at 15% turbulence intensity.
Applsci 13 00250 g020
Figure 21. Blade azimuth Angle (From left to right, they are 0 degrees, 60 degrees, 120 degrees and 180 degrees).
Figure 21. Blade azimuth Angle (From left to right, they are 0 degrees, 60 degrees, 120 degrees and 180 degrees).
Applsci 13 00250 g021
Figure 22. Time-history curve of blade tip displacement under turbulent wind field: (a) Uniform wind; (b) 5% turbulence intensity (20–30 s); (c) 10% turbulence intensity (20–30 s); (d) 15% turbulence intensity (20–30 s); (e) 5% turbulence intensity (30–40 s); (f) 10% turbulence intensity (30–40 s); (g) 15% turbulence intensity (30–40 s).
Figure 22. Time-history curve of blade tip displacement under turbulent wind field: (a) Uniform wind; (b) 5% turbulence intensity (20–30 s); (c) 10% turbulence intensity (20–30 s); (d) 15% turbulence intensity (20–30 s); (e) 5% turbulence intensity (30–40 s); (f) 10% turbulence intensity (30–40 s); (g) 15% turbulence intensity (30–40 s).
Applsci 13 00250 g022
Figure 23. Statistical characteristics of blade tip displacement curve.
Figure 23. Statistical characteristics of blade tip displacement curve.
Applsci 13 00250 g023
Figure 24. Stress distribution on the blade surface under different turbulence intensities. (a) Stress distribution on blade surface under uniform wind. (b) Stress distribution on blade surface under 5% turbulence intensity. (c) Stress distribution on blade surface under 10% turbulence intensity. (d) Stress distribution on blade surface under 15% turbulence intensity.
Figure 24. Stress distribution on the blade surface under different turbulence intensities. (a) Stress distribution on blade surface under uniform wind. (b) Stress distribution on blade surface under 5% turbulence intensity. (c) Stress distribution on blade surface under 10% turbulence intensity. (d) Stress distribution on blade surface under 15% turbulence intensity.
Applsci 13 00250 g024
Figure 25. Statistics of blade surface stress.
Figure 25. Statistics of blade surface stress.
Applsci 13 00250 g025
Table 1. Grid size of wind turbine blade surface.
Table 1. Grid size of wind turbine blade surface.
Case 1Case 2Case 3Case 4
Rotation domain grid size (m)2221
Maximum mesh size of blade surface (m)0.80.40.20.2
Minimum mesh size of blade surface (m)0.080.040.020.02
Total number of grids (million)3.704.676.708.02
Table 2. Grid size of wind turbine blade surface.
Table 2. Grid size of wind turbine blade surface.
Thrust/kNThe Relative Error/%Torque/kN·mRelative Difference/%
case1664.77---2737.40---
case2698.595.0883594.5431.312
case3714.682.3043898.558.458
case4716.040.1893935.650.952
Table 3. Rotation speed of wind turbine at different wind speeds.
Table 3. Rotation speed of wind turbine at different wind speeds.
Wind Speed (m/s)Rotational Speed of the Turbine (rpm)Angular Velocity of Rotation (rad/s)
57.390.774
78.460.886
89.160.959
1011.431.197
1111.871.243
11.412.101.267
Table 4. Grid size of wind turbine blade surface.
Table 4. Grid size of wind turbine blade surface.
Case 1Case 2Case 3Case 4
Maximum mesh size of blade surface (m)0.80.40.20.15
Minimum mesh size of blade surface (m)0.080.040.020.015
Total number of grids (104)0.47610.87952.28613.5785
Table 5. Comparison of modal frequency results of different mesh schemes (Hz).
Table 5. Comparison of modal frequency results of different mesh schemes (Hz).
ModelCase 1Case 2Case 3Case 4Resor [13]
10.7900.7990.8080.8130.870
21.1001.1091.1161.1191.06
32.5352.5332.5362.5372.68
43.9153.9283.9493.9663.94
55.6065.6005.5925.6205.57
Table 6. Comparison of thrust and torque results calculated by CFD and two-way fluid-structure interaction.
Table 6. Comparison of thrust and torque results calculated by CFD and two-way fluid-structure interaction.
Wind Speed (m/s)Thrust (CFD) (kN)Thrust (T-W) (kN)Error (%)Torque (CFD) (kN·m)Torque (T-W) (kN·m)Relative Difference (%)
5183.424176.5313.758573.37511.25610.833
7302.551295.3622.3761362.0951216.51610.687
8376.698369.2531.9761843.851703.5197.611
10585.679573.6792.0492851.562675.7076.167
11705.122693.951.7263523.5653368.2255.260
11.4714.682702.4451.7123898.553710.4874.824
Table 7. Comparison of flapping displacements calculated by two-way fluid-structure interaction.
Table 7. Comparison of flapping displacements calculated by two-way fluid-structure interaction.
Wind Speed (m/s)Flap Displacement (NREL) (m)Flap Displacement (T-W) (m)Relative Difference (%)
51.7411.7661.49
72.6962.7783.03
83.253.2931.32
104.7504.7860.75
115.3925.5683.25
11.45.4595.7515.35
Table 8. Maximum equivalent stress of blade surface and web.
Table 8. Maximum equivalent stress of blade surface and web.
Wind Speed/m·s−1Maximum Stress on Blade Surface/MPaMaximum Stress of Web/Mpa
11.4125.2253.8
10.0103.2213.0
8.071.0148.8
7.062.2120.7
5.042.579.8
Table 9. Parameter setting of turbulent wind field for wind turbine calculation.
Table 9. Parameter setting of turbulent wind field for wind turbine calculation.
Turbulent Wind Field Parameter SettingValue
The wind spectrum modelIEC-Von karman
2D wind field grid node (Y × Z)71 × 71
Average wind speed (m/s)10.0
The intensity of turbulence5%, 10%, 15%
Wind shear coefficient0.2
Time step (s)0.1
Total simulation duration (s)110
Table 10. Parameter setting of turbulent wind field for wind turbine calculation.
Table 10. Parameter setting of turbulent wind field for wind turbine calculation.
The Intensity of TurbulenceTip Displacement-Flapping Direction/m
The AverageThe MaximumThe Standard Deviation
uniform4.7824.7950.029
5%4.8455.0660.141
10%4.9585.5530.196
15%5.0235.7810.240
Table 11. Maximum equivalent stress of blade surface and web.
Table 11. Maximum equivalent stress of blade surface and web.
The Intensity of Turbulence/%Maximum Stress on Blade Surface/MPaMaximum Stress of Web/MPa
0106.3218.6
5109.6223.8
10116.0234.8
15122.6245.1
Disclaimer/Publisher’s Note: The statements, opinions and data contained in all publications are solely those of the individual author(s) and contributor(s) and not of MDPI and/or the editor(s). MDPI and/or the editor(s) disclaim responsibility for any injury to people or property resulting from any ideas, methods, instructions or products referred to in the content.

Share and Cite

MDPI and ACS Style

Zheng, X.; Yao, Y.; Hu, Z.; Yu, Z.; Hu, S. Influence of Turbulence Intensity on the Aerodynamic Performance of Wind Turbines Based on the Fluid-Structure Coupling Method. Appl. Sci. 2023, 13, 250. https://doi.org/10.3390/app13010250

AMA Style

Zheng X, Yao Y, Hu Z, Yu Z, Hu S. Influence of Turbulence Intensity on the Aerodynamic Performance of Wind Turbines Based on the Fluid-Structure Coupling Method. Applied Sciences. 2023; 13(1):250. https://doi.org/10.3390/app13010250

Chicago/Turabian Style

Zheng, Xing, Yu Yao, Zhenhong Hu, Ziying Yu, and Siyuan Hu. 2023. "Influence of Turbulence Intensity on the Aerodynamic Performance of Wind Turbines Based on the Fluid-Structure Coupling Method" Applied Sciences 13, no. 1: 250. https://doi.org/10.3390/app13010250

APA Style

Zheng, X., Yao, Y., Hu, Z., Yu, Z., & Hu, S. (2023). Influence of Turbulence Intensity on the Aerodynamic Performance of Wind Turbines Based on the Fluid-Structure Coupling Method. Applied Sciences, 13(1), 250. https://doi.org/10.3390/app13010250

Note that from the first issue of 2016, this journal uses article numbers instead of page numbers. See further details here.

Article Metrics

Back to TopTop