Effects of Diesel Hydrocarbon Components on Cetane Number and Engine Combustion and Emission Characteristics
Abstract
:1. Introduction
2. Test Fuels and Properties
2.1. Test Fuel and Additives
2.2. DCN of Test Fuels
3. Test Engine and Equipment
3.1. Test Engine and Apparatus
3.2. Engine Test Conditions
4. Engine Test Results and Discussions
4.1. Fuel Effects on Engine Performance
4.2. Engine Combustion Characteristics
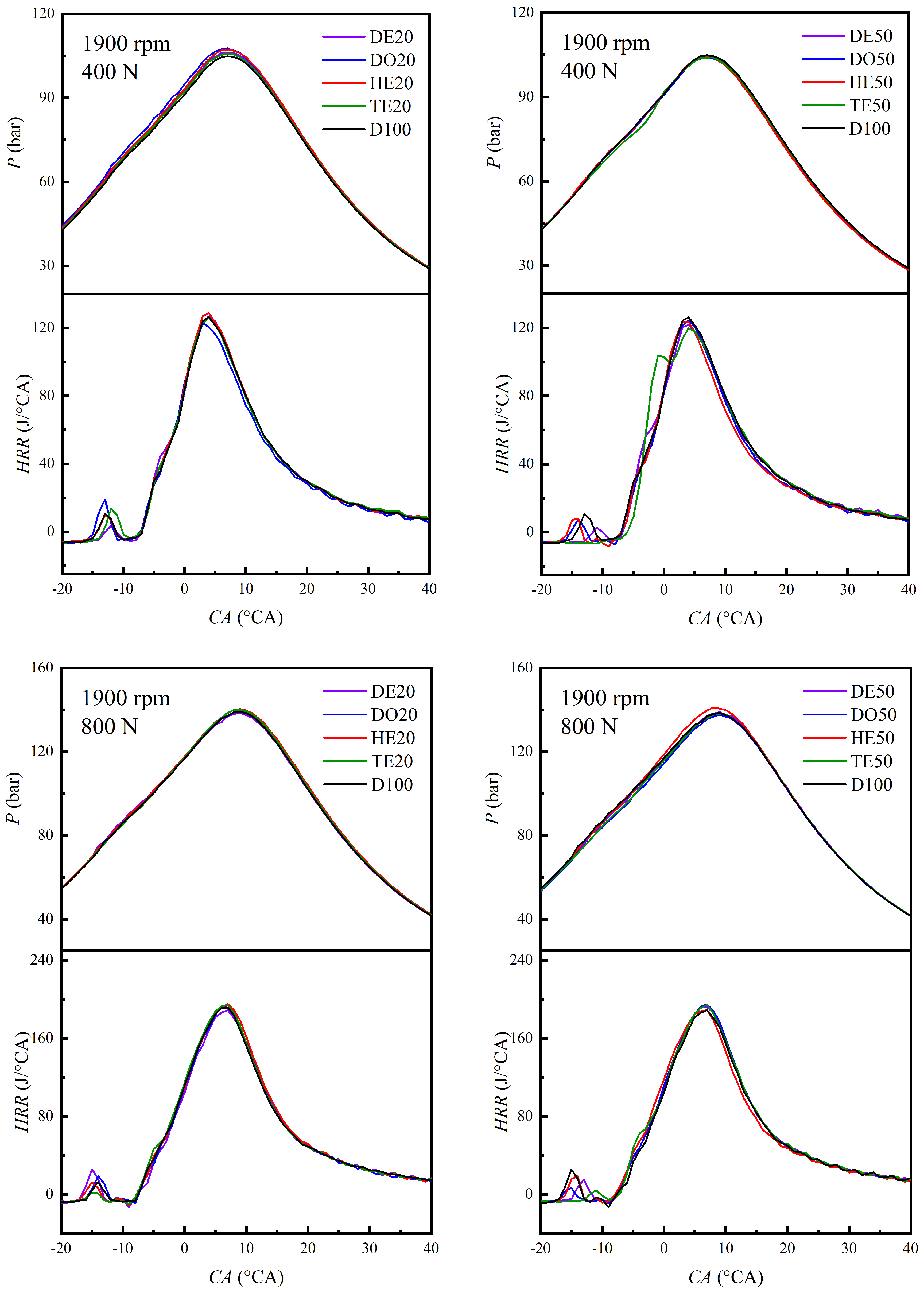
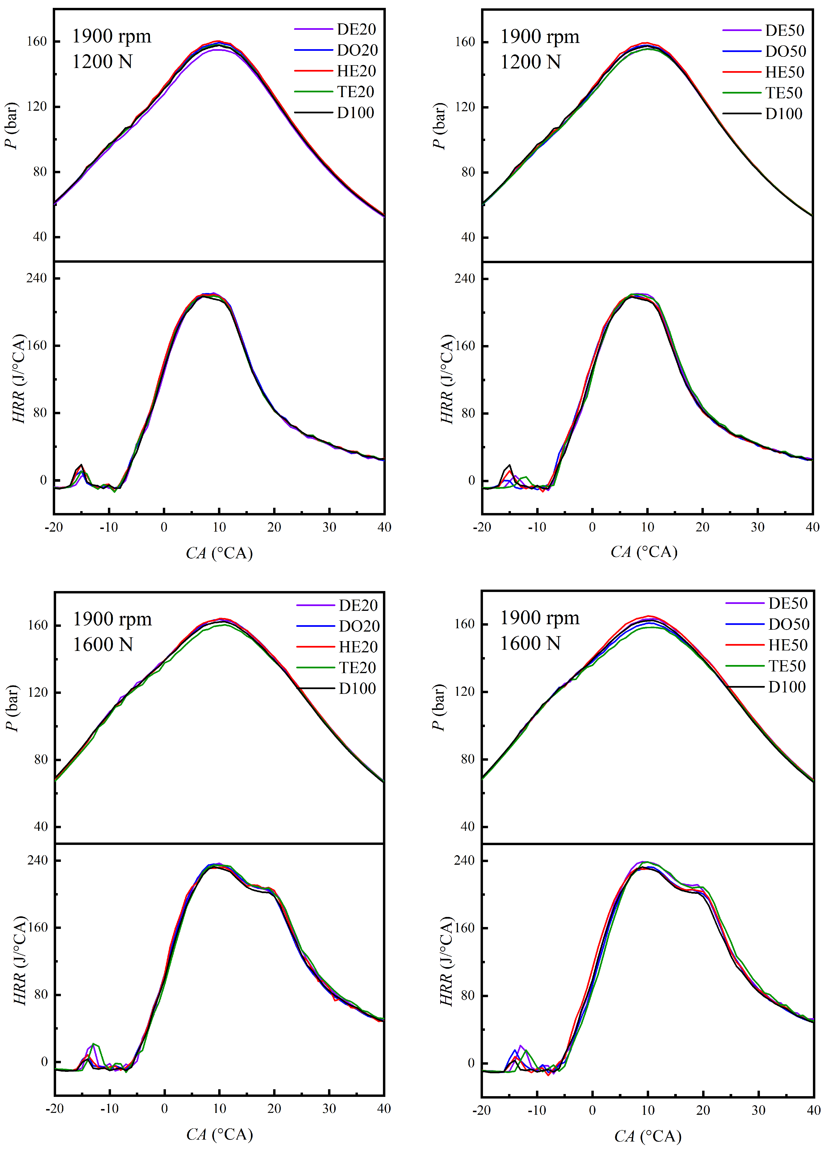
4.2.1. Effects on the Combustion of the Pre-Injected Fuel
4.2.2. Effects on the Combustion of the Main Injected Fuel
4.3. Engine Emission Characteristics
4.3.1. Fuel Effects on NOx Emissions
4.3.2. Fuel Effects on HC and CO Emissions
5. Conclusions
- (1)
- The blending of hydrocarbons into diesel linearly changes the fuel’s density, viscosity, LHV and CN in the range of blending rates, but there is a significant change in distillation temperatures which changes the engine combustion and emission characteristics deeply;
- (2)
- Due to the lower boiling temperature, the addition of heptane will improve spray atomization and thus enhance the combustion process. The hydrocarbons of heptane and dodecane with higher CN can reduce fuel consumption. The addition of decalin will promote engine power because of its higher energy. Polyaromatic hydrocarbons like tetralin have a weak effect on power but worsen fuel economy to some extent;
- (3)
- For the China VI heavy-duty diesel test engine with two-stage injection, the addition of hydrocarbons has confused effects on the combustion of pre-injected fuel but limited effects on the main injection and combustion. The differences in in-cylinder pressure and HRR of the different fuels are less than 2% under the same conditions, which indicates that the fuel hydrocarbons are not so sensitive to the main combustion phase;
- (4)
- The addition of heptane and tetralin will increase the emissions of HC, CO and NOx, because of the higher volatility of heptane and the molecular specialty of tetralin.
Author Contributions
Funding
Acknowledgments
Conflicts of Interest
References
- Calam, A.; Aydoğan, B.; Halis, S. The comparison of combustion, engine performance and emission characteristics of ethanol, methanol, fusel oil, butanol, isopropanol and naphtha with n-heptane blends on HCCI engine. Fuel 2020, 266, 117071. [Google Scholar] [CrossRef]
- Labeckas, G.; Slavinskas, S.; Kanapkienė, I. The individual effects of cetane number, oxygen content or fuel properties on the ignition delay, combustion characteristics, and cyclic variation of a turbocharged CRDI diesel engine. Energy Convers. Manag. 2017, 148, 1003–1027. [Google Scholar] [CrossRef]
- Seidenspinner, P.; Härtl, M.; Wilharm, T.; Wachtmeister, G. Cetane Number Determination by Advanced Fuel Ignition Delay Analysis in a New Constant Volume Combustion Chamber. SAE Int. J. Fuels Lubr. 2015, 2015, 448–449. [Google Scholar]
- Ge, J.C.; Kim, H.Y.; Yoon, S.K.; Choi, N.J. Reducing volatile organic compound emissions from diesel engines using canola oil biodiesel fuel and blends. Fuel 2018, 218, 266–274. [Google Scholar] [CrossRef]
- Ge, J.C.; Kim, H.Y.; Yoon, S.K.; Choi, N.J. Optimization of palm oil biodiesel blends and engine operating parameters to improve performance and PM morphology in a common rail direct injection diesel engine. Fuel 2020, 260, 116326. [Google Scholar] [CrossRef]
- Ge, J.C.; Choi, N.J. Soot particle size distribution, regulated and unregulated emissions of a diesel engine fueled with palm oil biodiesel blends. Energies 2020, 13, 5736. [Google Scholar] [CrossRef]
- Ge, J.; Wu, G.; Choi, N. Comparative study of pilot–main injection timings and diesel/ethanol binary blends on combustion, emission and microstructure of particles emitted from diesel engines. Fuel 2022, 313, 122658. [Google Scholar] [CrossRef]
- Balamurugan, T.; Nalini, R. Experimental investigation on the effect of alkanes blending on performance, combustion and emission characteristics of four-stroke diesel engine. Int. J. Ambient. Energy 2016, 37, 192–200. [Google Scholar] [CrossRef]
- Qian, Y.; Qiu, Y.; Zhang, Y.; Lu, X. Effects of different aromatics blended with diesel on combustion and emission characteristics with a common rail diesel engine. Appl. Therm. Eng. 2017, 125, 1530–1538. [Google Scholar] [CrossRef]
- Yang, Y.; Boehman, A.L. Oxidation chemistry of cyclic hydrocarbons in a motored engine: Methylcyclopentane, tetralin, and decalin. Combust. Flame 2010, 157, 495–505. [Google Scholar] [CrossRef]
- Mostafaei, M. ANFIS models for prediction of biodiesel fuels cetane number using desirability function. Fuel 2018, 216, 665–672. [Google Scholar] [CrossRef]
- Lujaji, F.; Bereczky, A.; Janosi, L.; Novak, C.; Mbarawa, M. Cetane number and thermal properties of vegetable oil, biodiesel, 1-butanol and diesel blends. J. Therm. Anal. Calorim. 2010, 102, 1175–1181. [Google Scholar] [CrossRef]
- Dahmen, M.; Marquardt, W. A Novel Group Contribution Method for the Prediction of the Derived Cetane Number of Oxygenated Hydrocarbons. Energy Fuels 2015, 29, 5781–5801. [Google Scholar] [CrossRef]
- Allard, L.N.; Webster, G.D.; Ryan, T.W.; Baker, G.; Beregszaszy, A.; Fairbridge, C.W.; Ecker, A.; Rath, J. Analysis of the Ignition Behaviour of the ASTM D-613 Primary Reference Fuels and Full Boiling Range Diesel Fuels in the Ignition Quality Tester (IQT™) - Part III; International Fuels & Lubricants Meeting & Exposition; SAE International: Warrendale, PA, USA, 1999. [Google Scholar]
- Baghban, A.; Adelizadeh, M. On the determination of cetane number of hydrocarbons and oxygenates using Adaptive Neuro Fuzzy Inference System optimized with evolutionary algorithms. Fuel 2018, 230, 344–354. [Google Scholar] [CrossRef]
- Haas, F.M.; Ramcharan, A.; Dryer, F.L. Relative Reactivities of the Isomeric Butanols and Ethanol in an Ignition Quality Tester. Energy Fuels 2011, 25, 3909–3916. [Google Scholar] [CrossRef]
- Sani, S.; Kaisan, M.U.; Kulla, D.M.; Obi, A.I.; Jibrin, A.; Ashok, B. Determination of physico chemical properties of biodiesel from Citrullus lanatus seeds oil and diesel blends. Ind. Crops Prod. 2018, 122, 702–708. [Google Scholar] [CrossRef]
- Amin, A.; Gadallah, A.; El Morsi, A.K.; El-Ibiari, N.N.; El-Diwani, G.I. Experimental and empirical study of diesel and castor biodiesel blending effect, on kinematic viscosity, density and calorific value. Egypt. J. Pet. 2016, 25, 509–514. [Google Scholar] [CrossRef] [Green Version]
- Kaisan, M.U.; Anafi, F.O.; Nuszkowski, J.; Kulla, D.M.; Umaru, S. Calorific value, flash point and cetane number of biodiesel from cotton, jatropha and neem binary and multi-blends with diesel. Biofuels 2017, 11, 321–327. [Google Scholar] [CrossRef]
- Liu, J.; Sun, P.; Huang, H.; Meng, J.; Yao, X. Experimental investigation on performance, combustion and emission characteristics of a common-rail diesel engine fueled with polyoxymethylene dimethyl ethers-diesel blends. Appl. Energy 2017, 202, 527–536. [Google Scholar] [CrossRef]
- Chukwuezie, O.C.; Nwakuba, N.R.; Asoegwu, S.N.; Nwaigwe, K.N. Cetane Number Effect on Engine Performance and Gas Emission: A Review. Am. J. Eng. Res. 2017, 6, 56–65. [Google Scholar]
- Özkan, M.; Özkan, D.B.; Özener, O.; Yılmaz, H. Experimental study on energy and exergy analyses of a diesel engine performed with multiple injection strategies: Effect of pre-injection timing. Appl. Therm. Eng. 2013, 53, 21–30. [Google Scholar] [CrossRef]
- Qi, D.H.; Yang, K.; Zhang, D.; Chen, B. Combustion and emission characteristics of diesel-tung oil-ethanol blended fuels used in a CRDI diesel engine with different injection strategies. Appl. Therm. Eng. 2017, 111, 927–935. [Google Scholar] [CrossRef]
- Musthafa, M.M. Development of performance and emission characteristics on coated diesel engine fuelled by biodiesel with cetane number enhancing additive. Energy 2017, 134, 234–239. [Google Scholar] [CrossRef]
- Chen, H.; Su, X.; Li, J.; Zhong, X. Effects of gasoline and polyoxymethylene dimethyl ethers blending in diesel on the combustion and emission of a common rail diesel engine. Energy 2019, 171, 981–999. [Google Scholar] [CrossRef]
- Hochhauser, A.M. Review of Prior Studies of Fuel Effects on Vehicle Emissions. SAE Int. J. Fuels Lubr. 2009, 2, 541–567. [Google Scholar] [CrossRef]
- Sarıkoç, S. Fuels of the Diesel-Gasoline Engines and Their Properties. IntechOpen, Suganuma, S.; Katada, N. Innovation of catalytic technology for upgrading of crude oil in petroleum refinery. Fuel Process. Technol. 2020, 208, 106518. [Google Scholar] [CrossRef]
















| Properties | Diesel | n-Heptane | n-Dodecane | Tetralin | Decalin |
|---|---|---|---|---|---|
| Molecular formula | C10~C22 | n-C7H16 | n-C12 H26 | C10H12 | C10H18 |
| Molar mass (g/mol) | - | 100.21 | 170.34 | 132.2 | 138.25 |
| Density (g/cm3) | 0.817 | 0.684 | 0.75 | 0.97 | 0.896 |
| Viscosity (40 °C) (mm2/s) | 2.675 | 0.485 | 1.414 | 1.06 | 1.667 |
| Boiling point (°C) | 205 | 98.5 | 215 | 207.6 | 195.8 |
| Ignition temperature (°C) | 220 | 247 | 216 | 385 | 262 |
| CN | 51.6 | 56 | 82.5 | 8.9 | 46.5 |
| LHV (MJ/kg) | 42.52 | 44.57 | 44.11 | 40.53 | 42.5 |
| Fuels | Components | Density g/cm3 | Viscosity mm2/s | LHV MJ/kg | Distillation Range/°C | ||
|---|---|---|---|---|---|---|---|
| T10 | T50 | T90 | |||||
| D100 | Diesel | 0.817 | 2.675 | 42.52 | 205 | 258 | 331 |
| HE20 | n-Heptane 20% Diesel 80% | 0.786 | 1.493 | 42.87 | 116 | 233 | 301 |
| HE50 | n-Heptane 50% Diesel 50% | 0.756 | 0.982 | 43.45 | 102 | 129 | 280 |
| DO20 | n-Dodecane 20% Diesel 80% | 0.792 | 2.032 | 42.82 | 195 | 230 | 318 |
| DO50 | n-Decocane 50% Diesel 50% | 0.771 | 1.787 | 43.28 | 198 | 220 | 303 |
| TE20 | Tetralin 20% Diesel 80% | 0.848 | 1.985 | 42.06 | 199 | 229 | 330 |
| TE50 | Tetralin 50% Diesel 50% | 0.863 | 1.856 | 41.44 | 202 | 211 | 296 |
| DE20 | Decalin 20% Diesel 80% | 0.824 | 2.489 | 42.53 | 195 | 239 | 332 |
| DE50 | Decalin 50% Diesel 50% | 0.844 | 2.105 | 42.55 | 188 | 203 | 306 |
| Fuels | D100 | HE20 | HE50 | DO20 | DO50 | TE20 | TE50 | DE20 | DE50 |
|---|---|---|---|---|---|---|---|---|---|
| ID (ms) | 3.958 | 3.836 | 3.860 | 3.531 | 3.052 | 4.829 | 7.278 | 4.247 | 4.266 |
| DCN | 51.6 | 53.1 | 52.8 | 57.3 | 65.6 | 43.1 | 30.1 | 48.4 | 48.2 |
| Item | Specification |
|---|---|
| Engine type | Turbocharged, inter-cooling, six-cylinder in-line |
| Bore × stroke (mm) | 126/155 |
| Displacement (L) | 11.6 |
| Compression ratio | 17 |
| Maximum power (kW) | 338 |
| Maximum speed (r/min) | 1900 |
| Emission standard | China VI |
| Engine Load | 25% | 50% | 75% | 100% |
|---|---|---|---|---|
| Torque (N·m) @1700 rpm | 476 | 952 | 1428 | 1904 |
| Torque (N·m) @1800 rpm | 448 | 896 | 1344 | 1790 |
| Torque (N·m) @1900 rpm | 428 | 856 | 1284 | 1712 |
| Torque (N·m) | Start of Pre- Injection (°CA BTDC) | Duration of Pre- Injection (°CA) | Start of Main Injection (°CA BTDC) | Duration of Main Injection (Diesel) (°CA) |
|---|---|---|---|---|
| 400 | 26.2 | 3.1 | 14.6 | 9.8 |
| 800 | 25.7 | 2.7 | 14.5 | 12.6 |
| 1200 | 24.4 | 2.5 | 13.6 | 16.7 |
| 1600 | 21.7 | 2.4 | 11.3 | 22.5 |
| Torque (N·m) | Injection Pressure (MPa) | Cooling Water Temperature (°C) | Oil Temperature (°C) |
|---|---|---|---|
| 400 | 107 | 83 | 101 |
| 800 | 139 | 85 | 102 |
| 1200 | 158 | 85 | 100 |
| 1600 | 169 | 87 | 103 |
Publisher’s Note: MDPI stays neutral with regard to jurisdictional claims in published maps and institutional affiliations. |
© 2022 by the authors. Licensee MDPI, Basel, Switzerland. This article is an open access article distributed under the terms and conditions of the Creative Commons Attribution (CC BY) license (https://creativecommons.org/licenses/by/4.0/).
Share and Cite
Wei, Y.-J.; Zhang, Y.-J.; Zhu, X.-D.; Gu, H.-M.; Zhu, Z.-Q.; Liu, S.-H.; Sun, X.-Y.; Jiang, X.-L. Effects of Diesel Hydrocarbon Components on Cetane Number and Engine Combustion and Emission Characteristics. Appl. Sci. 2022, 12, 3549. https://doi.org/10.3390/app12073549
Wei Y-J, Zhang Y-J, Zhu X-D, Gu H-M, Zhu Z-Q, Liu S-H, Sun X-Y, Jiang X-L. Effects of Diesel Hydrocarbon Components on Cetane Number and Engine Combustion and Emission Characteristics. Applied Sciences. 2022; 12(7):3549. https://doi.org/10.3390/app12073549
Chicago/Turabian StyleWei, Yan-Ju, Ya-Jie Zhang, Xiao-Dong Zhu, Hao-Ming Gu, Zeng-Qiang Zhu, Sheng-Hua Liu, Xing-Yu Sun, and Xue-Li Jiang. 2022. "Effects of Diesel Hydrocarbon Components on Cetane Number and Engine Combustion and Emission Characteristics" Applied Sciences 12, no. 7: 3549. https://doi.org/10.3390/app12073549
APA StyleWei, Y.-J., Zhang, Y.-J., Zhu, X.-D., Gu, H.-M., Zhu, Z.-Q., Liu, S.-H., Sun, X.-Y., & Jiang, X.-L. (2022). Effects of Diesel Hydrocarbon Components on Cetane Number and Engine Combustion and Emission Characteristics. Applied Sciences, 12(7), 3549. https://doi.org/10.3390/app12073549

