Road Safety Management of Uncontrolled Access Points: Design Criteria and Insights into Risk Factors
Abstract
1. Introduction
2. Materials and Methods
- id: sequential number identifying each uncontrolled access point;
- coord_x, coord_y: geographical coordinates of the element;
- angle α [°];
- width La [m];
- identification code Ti-j in relation to the entry shape (i) and exit shape (j) (Figure 2);
- entry radius Ri [m];
- exit radius Ru [m].
- id: sequential number identifying each access point with an implemented access management strategy;
- coord_x, coord_y: geographical coordinates of the element;
- area: urban or rural;
- travel direction: travel lane identified by N-S = north-south or S-N = south-north;
- access management measure: identification code of the access management measure (Figure 3)
- AM_1—right-turn acceleration/deceleration lane;
- AM_2—channelizing island;
- AM_3—frontage or service roads/shared access;
- AM_4—left-turn acceleration lane;
- or sum of measures;
- identification code Ti-j in relation to the entry shape (i) and exit shape (j) (Figure 2);
- angle α [°];
- width La [m];
- entry radius Ri [m];
- exit radius Ru [m].
2.1. Identification and Selection of Traffic Accidents Attributable to an Access Point
2.1.1. Upstream Functional Area
- v1 is the design speed of the main road (in this study v1 = 70 km/h and v1 = 50 km/h for rural and urban areas, respectively);
- v2 is the final speed of the vehicle turning into the access point. This speed must guarantee a safe and comfortable entering manoeuvre; thus, it must be compatible with the radius of the turning curve. In this study v2 = 0 given that: (i) the transition does not have a curved radius shape for several accesses, (ii) in some situations, the limited entry width of the access point does not allow the simultaneous circulation of two vehicles, (iii) for access points with a small entry width, the presence of a stopped vehicle exiting the access does not allow the on-coming vehicle to complete the manoeuvre;
- d is the deceleration rate (2.00 m/s2 for both rural and urban areas [37]);
- tpr is the perception/reaction time. For access decisions, this parameter is affected by several conditions, such as the complexity of the context and the access design [38]. A review of the studies in this field allowed us to assume tpr = 2.8 s for the rural context [24] and tpr = 1.5 s for the urban one [39,40].
2.1.2. Downstream Functional Area
- v1 = 0 m/s;
- v2 is the final speed of the vehicle entering the main roadway. It is assumed that v2 is equal to 80% of the speed of the dominant through-traffic flow;
- a is the acceleration rate (1.00 m/s2 for both the rural and urban areas).
2.1.3. Functional Area Assessment for the Case Study
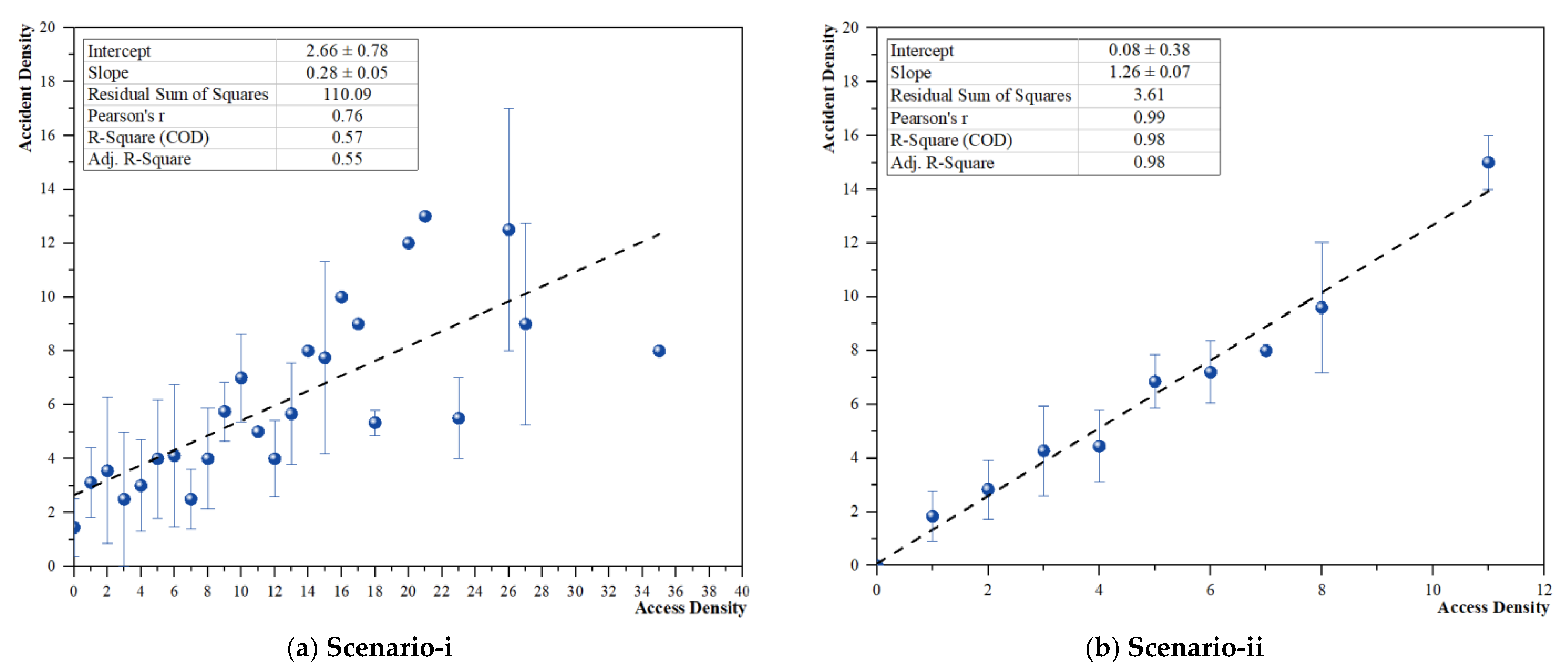
2.2. Access Density vs. Traffic Accidents: Consideration of the Effects of the Functional Area Filter
3. Results and Discussion
3.1. Analysis of Access Points Configuration
3.1.1. Transition Entry Shape
3.1.2. Transition Exit Shape
3.1.3. Combination of the Entry and Exit Transition Shapes
3.2. The Relationship between Traffic Accidents and the Radius and Width of the Access
- quantitative analysis of the relationship between safety and the concomitant variability of the entry radius and the width of the access point;
- definition of a variation domain of La/Ri aimed at minimizing/mitigating accident phenomena.
- the ratio La/Ri was evaluated for each uncontrolled access point; except for T3_j entry class accesses (not curved edge);
- the value Ri = 0.2 m was established for T2_j entry class accesses (the presence of curbs or hedges does not allow to measure of a physical curved edge);
- a value for Ri was estimated for T4_j entry class accesses simulating the potential trajectory of the entry vehicle;
- access points with the implementation of the following access management measures were included in the analysis: AM_3 (frontage or service roads/shared access), AM_4 (left-turn acceleration lane), and their combination; access points with right-turn acceleration/deceleration lane (AM_1) or channelizing island (AM_2) were excluded from the analysis: AM_1 does not imply an entry manoeuvre in the access interfering with the main traffic flow as there is a dedicated lane; furthermore, the presence of the channelizing island (AM_2) does not allow to establish a direct relationship between the width and the radius of the access point.
- for access points with a curved radius greater than 2 m (Distribution 1) and width (La)m which does not vary between classes ((La)m is 17.18 m, 18.06 m, and 17.56 m for the classes 1, 2, and 3, respectively), the accident rate is approximately constant. For the above-mentioned classes, there is a decrease in (Ri)m from 14.65 m to 2.74 m; (Ri)m is 2.38 m for class 4. This condition reveals that for access points in Distribution 1 the safety level is more affected by radius variability; more specifically, the decrease in radius is correlated with the increase in the risk of accidents. Furthermore, it can be assumed that (TGI)A increases when the radius is lower than 5 m which is the recommended value for the radius by some studies [48].
- The decrease in radius translates into the conversion of the transition shape from an access point with the right edge which is physically delimited (Distribution 1) to an access point where there are no materialised elements with the function of guiding the entry manoeuvre (Distribution 2). For access points included in this last category, the trend of the accident rate is strictly related to the variability of the width La. In addition, (TGI)A is increasing with the increase in (La/Ri)m and thus with the increase in width (the radius is approximately constant), it is not possible to identify a clear relationship between the two variables. One reasonable explanation for this situation is that the absence of a delimited edge leads the driver not to follow a canalized path, thus he has several alternatives for the entry manoeuvre (greater space, higher perception of freedom in the execution of the turning manoeuvre). For this reason, the crash phenomenon is affected by driver behaviour and this clarifies the dispersion of data in Distribution 2. The slight increase observed in the accident rate of Distribution 2 could be due to the increase in the width of the access point, implying more interference among the vehicle trajectories and thus a higher risk of collision.
- The transition from Distribution 1 to Distribution 2 exhibits a drastic decrease in both the accident rate (about 40%) and the access width. The safest conditions are related to lower values in both radius and width; this specific condition is attributable to greater control of the driver’s execution of the manoeuvre. These findings confirm those of earlier studies: a small radius reduces turning speed and increases the safety level.
4. Conclusions
Author Contributions
Funding
Institutional Review Board Statement
Informed Consent Statement
Data Availability Statement
Acknowledgments
Conflicts of Interest
References
- Gluck, J.; Levinson, H.S. Impacts of Access Management Techniques, NCHRP Report. Transp. Res. Board 1999, 163. [Google Scholar]
- Williamson, M.; Zhou, H. A Study of Safety Impacts of Different Types of Driveways and their Density. Procedia Soc. Behav. Sci. 2014, 138, 576–583. [Google Scholar] [CrossRef]
- Vaiana, R.; Perri, G.; Iuele, T.; Gallelli, V. A Comprehensive Approach Combining Regulatory Procedures and Accident Data Analysis for Road Safety Management Based on the European Directive 2019/1936/EC. Safety 2021, 7, 6. [Google Scholar] [CrossRef]
- Box, P.C. Driveway Accident and Volume Studies, Part I-General Relationships. Public Saf. Syst. 1969, pp. 18–22. Available online: https://trid.trb.org/view/107688 (accessed on 14 November 2022).
- Gattis, J.L.; Gluck, J.S.; Barlow, J.M.; Eck, R.W.; Hecker, W.F.; Levinson, H.S. Geometric Design of Driveways; National Academies of Sciences, Engineering, and Medicine: Washington, DC, USA, 2010. [Google Scholar] [CrossRef]
- Levinson, H.; Gluck, J.; Barlow, J.; Eck, R.; Hecker, W.F. Driveway Design Practices, Issues, and Needs. In Proceedings of the 3rd Urban Street Symposium: Uptown, Downtown, or Small Town: Designing Urban Streets That Work, Seattle, WA, USA, 24–27 June 2007. [Google Scholar]
- Azzeh, J.A.; Thorson, B.A.; Valenta, J.J.; Glennon, J.C.; Walton, C.L. Evaluation of Techniques for the Control of Direct Access to Arterial Highways; FHWA-RD-76-85; Federal Highway Administration: Washington, DC, USA, 1975.
- Chakraborty, M.; Gates, T.J. Association between Driveway Land Use and Safety Performance on Rural Highways. Transp. Res. Rec. 2021, 2675, 114–124. [Google Scholar] [CrossRef]
- McLean, J. Practical Relationships for the Assessment of Road Feature Treatments: Summary Report; Australian Road Research Board: Fortitude Valley, Australia, 1997; 31p. [Google Scholar]
- Levinson, H.S. Access Spacing and Accidents: A Conceptual Analysis. TRB Circular E-C019. In Proceedings of the Urban Street Symposium, Dallas, TX, USA, 28–30 June 1999. [Google Scholar]
- Wang, Z.; Huang, B.; Lu, J.; Zhao, J.; Zhang, Y. Exploring the Impact of Access Designs on Crash Injury Severity on Multilane Highways. Traffic Inj. Prev. 2014, 15, 102–109. [Google Scholar] [CrossRef] [PubMed]
- Stover, V.G. Issues Relating to the Geometric Design of Intersections. In Proceedings of the 8th National Conference on Access Management, Baltimore, MD, USA, 13–16 July 2008. [Google Scholar]
- Minh, C.C.; Huynh, N.; Chowdhury, M.; Ogle, J.H.; Sarasua, W.A.; Davis, W.J. Impact of Minimum Driveway Spacing Policies on Safety Performance: An Integrated Traffic Micro-Simulation and Automated Conflict Analysis. Int. J. Transp. Sci. Technol. 2014, 3, 249–264. [Google Scholar] [CrossRef]
- Brewer, M.A.; Fitzpatrick, K.; Cline, J.C. Driveway Access Spacing Considerations for Rural Highways with High Truck Volumes. Transp. Res. Rec. 2020, 2674, 477–490. [Google Scholar] [CrossRef]
- Flintsch, A.M.; Guo, F.; Han, S.; Hancock, K.; Williams, B.; Li, Y.; Gibbons, R. Impact of Access Spacing Standards on Crash Risk After Controlling for Access Volumes. 2020. Available online: http://www.virginiadot.org/vtrc/main/online_reports/pdf/21-r7.pdf (accessed on 3 March 2022).
- Gattis, J.L.; Levinson, H.S.; Gluck, J.S.; Barlow, J.M.; Eck, R.W.; Hecker, W.F. Multimodal Driveway Design. Transp. Res. Rec. 2010, 2198, 116–123. [Google Scholar] [CrossRef]
- Mounce, J.M. Influence of Arterial Access Control and Driveway Design on Energy Conservation; Transportation Research Board: Washington, DC, USA, 1983. [Google Scholar]
- Parsons Brinckerhoff Quade & Douglas. Work Order # 7, Development of Model Access Management Ordinances Task 3: Access Management Best Practices PennDOT Planning Services and Implementation Access Management Best Practices. Available online: https://www.dot.state.pa.us/public/Bureaus/Cpdm/WEB/BestPracticesinAccessManagement.pdf (accessed on 8 January 2022).
- Alhajyaseen, W.K.; Asano, M.; Nakamura, H. Estimation of left-turning vehicle maneuvers for the assessment of pedestrian safety at intersections. IATSS Res. 2012, 36, 66–74. [Google Scholar] [CrossRef]
- Yoshitake, H.; Shino, M. Risk assessment based on driving behavior for preventing collisions with pedestrians when making across-traffic turns at intersections. IATSS Res. 2018, 42, 240–247. [Google Scholar] [CrossRef]
- Sokolow, G.; Williams, K.; Levinson, H. The Changing Focus of Access Management. Access Manag. Theor. Pract. 2015, 54–65. [Google Scholar] [CrossRef]
- Canale, S.; Distefano, N.; Leonardi, S. Progettare La Sicurezza Stradale: Criteri e Verifiche Di Sicurezza per La Progettazione e L’adeguamento Degli Elementi Delle Infrastrutture Viarie: Intersezioni, Tronchi, Sovrastrutture, Gallerie, Opere Idrauliche, Barriere Di Sicurezza, Illuminazione, Segnaletica Ed Interventi Di Traffic Calming; EPC Libri: Rome, Italy, 2009; ISBN 978-88-6310-129-4. [Google Scholar]
- Eisele, W.; Frawley, W. Estimating the Safety and Operational Impact of Raised Medians and Driveway Density: Experiences from Texas and Oklahoma Case Studies. Transp. Res. Rec. 2005, 1931, 108–116. [Google Scholar] [CrossRef]
- Dixon, K.K.; Brown, L.S. Assessing how Drivers of through Vehicles React to Driveway Activity. Transp. Res. Rec. 2014, 2404, 77–84. [Google Scholar] [CrossRef]
- Williams, K.M.; Stover, V.G.; Dixon, K.K.; Demosthenes, P. Transportation Research Board Access Management Manual, 2nd ed.; Transportation Research Board: Washington, DC, USA, 2014; ISBN 978-0-309-29541-3. [Google Scholar]
- Gluck, J.; Michel, J.; Geiger, M.; Varughese, M. Access Management: The Challenge of Retrofit Theory Versus Reality. Transp. Res. Rec. 2005, 1931, 117–128. [Google Scholar] [CrossRef]
- Chowdhury, M.; Derov, N.; Tan, P.; Sadek, A. Prohibiting Left-Turn Movements at Mid-Block Unsignalized Driveways: Simulation Analysis. J. Transp. Eng. 2005, 131, 279–285. [Google Scholar] [CrossRef]
- Papayannoulis, V.; Gluck, J.S.; Feeney, K.; Levinson, H.S. Access spacing and traffic Safety. In Transportation Research Circular E-C019: Urban Street Symposium; Transportation Research Board: Washington, DC, USA, 1999. [Google Scholar]
- American Association of State Highway and Transportation Official (AASHTO). A Policy on Geometric Design of Highways and Streets, 4th ed.; American Association of State Highway and Transportation Official (AASHTO): Washington, DC, USA, 2001. [Google Scholar]
- Souleyrette, R.R.; Plazak, P.E.; Plazak, D.J. Use of geospatial information and remote sensing data to support improved roadway access management. WIT Trans. Built Environ. 2006, 89. [Google Scholar] [CrossRef]
- Vaiana, R.; Perri, G. Impact Analysis of Road Intrinsic and Extrinsic Conditions on the Safety Level: A Case Study. In Proceedings of the 6th International Symposium on Highway Geometric Design Featuring the 6th Urban Street Symposium, Amsterdam, The Netherlands, 26–29 June 2022. [Google Scholar]
- D.M. 05/11/2001; Norme Funzionali e Geometriche per la Costruzione delle Strade. Ministero delle Infrastrutture e dei Trasporti: Rome, Italy, 2001.
- Centro Regionale degli Incidenti Stradali della Calabria (CRISC). Dati di Incidentalità. Available online: https://www.sicurezzastradalecalabria.it/ (accessed on 10 January 2021).
- Gattis, J.L.; Gluck, J.S.; Barlow, J.M.; Eck, R.W.; Hecker, W.F.; Levinson, H.S. Considering and Applying Driveway Design for All Users. Transp. Res. Rec. 2013, 2348, 38–46. [Google Scholar] [CrossRef]
- American Association of State Highway and Transportation Official (AASHTO). Highway Safety Manual; American Association of State Highway and Transportation Officials: Washington, DC, USA, 2010. [Google Scholar]
- Williamson, M.R.; Zhou, H.; Fries, R.N. Safety Effects of Different Driveway Types Defined in Highway Safety Manual. In Proceedings of the Transportation Research Board 97th Annual Meeting, Washington, DC, USA, 7–11 January 2018. [Google Scholar]
- Ministero delle Infrastrutture e dei Trasporti. Norme Funzionali e Geometriche per La Costruzione delle Intersezioni Stradali; GU n.170 del 24/07/2006; Decreto 19/04/2006; Ministero delle Infrastrutture e dei Trasporti: Rome, Italy, 2006.
- Dixon, K.K.; Layton, R.D. The Influence of Human Factors on Access Management Design. In Proceedings of the 4th International Symposium on Highway Geometric Design, Valencia, Spain, 2–5 June 2010. [Google Scholar]
- CUUATS Access Management Guidelines for the Urbanized Area. 2013. Available online: https://ccrpc.org/wp-content/uploads/2015/03/access-management-2013-04-17-final.pdf (accessed on 10 January 2021).
- Dixon, K.; van Schalkwyk, I.; Layton, R. Balancing Urban Driveway Design Demands Based on Stopping Sight Distance. Transp. Res. Rec. 2009, 2120, 18–27. [Google Scholar] [CrossRef]
- Gallelli, V.; Perri, G.; Vaiana, R. Operational and Safety Management at Intersections: Can the Turbo-Roundabout Be an Effective Alternative to Conventional Solutions? Sustainability 2021, 13, 5103. [Google Scholar] [CrossRef]
- Vidas, M.; Vukadinovic, K.; Tubic, V. Methodology for Determining Weighted Access-Density on Two-Lane Highways: Case Study of the Republic of Serbia. J. Transp. Eng. Part A Syst. 2017, 143, 05016001. [Google Scholar] [CrossRef]
- Dixon, K. Driveways, Parking, Bicycles, and Pedestrians: Balancing Safety and Efficiency. In Proceedings of the 8th National Conference on Access Management. Transportation Research Board, Federal Highway Administration, Maryland State Highway Administration, Baltimore, MD, USA, 13–16 July 2008. [Google Scholar]
- Eck, R.W.; Blankenship, M.R. Manual on Rules and Regulations for Constructing Driveways on State Highway Rights-of-Way; 1999. Available online: https://ntlrepository.blob.core.windows.net/lib/22000/22200/22236/PB99169781.pdf (accessed on 20 January 2021).
- Alaska Department of Transportation and Public Facilities Preconstruction, Design & Construction Standards, Statewide Design & Engineering Services, Transportation & Public Facilities, State of Alaska. Available online: https://dot.alaska.gov/stwddes/dcsprecon/preconmanual.shtml (accessed on 16 November 2021).
- Esposito, T.; Mauro, R. Fondamenti Di Infrastrutture Viarie; Hevelius: Benevento, Italy, 2001. [Google Scholar]
- ANAS SpA. Dati Di Traffico Medio Giornaliero Annuale. Available online: https://www.stradeanas.it/it/le-strade/osservatorio-del-traffico/dati-traffico-medio-giornaliero-annuale (accessed on 16 January 2022).
- Canale, S.; Distefano, N.; Leonardi, S.; Pappalardo, G. Progettare Le Intersezioni: Tecniche per La Progettazione e La Verifica Delle Intersezioni Stradali in Ambito Urbano Ed Extraurbano Secondo Il D.M. 19/4/2006; EPC Editore: Rome, Italy, 2011; ISBN 978-88-6310-352-6. [Google Scholar]
- Bella, F. Driver perception of roadside configurations on two-lane rural roads: Effects on speed and lateral placement. Accid. Anal. Prev. 2013, 50, 251–262. [Google Scholar] [CrossRef] [PubMed]
- van der Horst, R.; de Ridder, S. Influence of Roadside Infrastructure on Driving Behavior: Driving Simulator Study. Transp. Res. Rec. 2007, 2018, 36–44. [Google Scholar] [CrossRef]
- Abele, L. Møller; Mette The Relationship between Road Design and Driving Behavior. In Proceedings of the 3rd International Conference on Road Safety and Simulation, Indianapolis, IN, USA, 14–16 September 2011. [Google Scholar]
- Thomson, R.; Fagerlind, H.; Martinez, A.V.; Amengual, A.; Naing, C.L.; Hill, J.; Hoschopf, H.; Dupre, G.; Bisson, O.; Kelkka, M.; et al. Roadside Infrastructure for Safer European Roads: D06 European Best Practice for Roadside Design: Guidelines for Roadside Infrastructure on New and Existing Roads. Available online: https://repository.lboro.ac.uk/articles/report/Roadside_infrastructure_for_safer_European_roads_D06_European_best_practice_for_roadside_design_guidelines_for_roadside_infrastructure_on_new_and_existing_roads_/9353153 (accessed on 8 March 2022).
- Lee, J.; Mannering, F. Impact of roadside features on the frequency and severity of run-off-roadway accidents: An empirical analysis. Accid. Anal. Prev. 2002, 34, 149–161. [Google Scholar] [CrossRef] [PubMed]
- Steyvers, F.J.J.M.; de Waard, D. Road-edge delineation in rural areas: Effects on driving behaviour. Ergonomics 2000, 43, 223–238. [Google Scholar] [CrossRef]
- Mackworth, N.H.; Morandi, A.J. The gaze selects informative details within pictures. Percept. Psychophys. 1967, 2, 547–552. [Google Scholar] [CrossRef]
- Zusne, L.; Michels, K.M. Nonrepresentational Shapes and Eye Movements. Percept. Mot. Ski. 1964, 18, 11–20. [Google Scholar] [CrossRef]
- Chrysler, S.T.; Re, J.; Knapp, K.S.; Funkhouser, D.S.; Kuhn, B.T. Driver Response to Delineation Treatments on Horizontal Curves on Two-Lane Roads; Texas Transportation Institute: Bryan, TX, USA, 2009.










| Functional Area Parameters | Characteristic | Rural Area | Urban Area |
|---|---|---|---|
| LdxTOT | v1 [m/s] | 19.44 | 13.89 |
| v2 [m/s] | 0 | 0 | |
| a [m/s2] | 2.00 | 2.00 | |
| Ldx [m] | 95 | 48 | |
| tpr [s] | 2.8 | 1.5 | |
| v1 [m/s] | 19.44 | 13.89 | |
| Lpr [m] | 54 | 21 | |
| LdxTOT [m] | 149 | 69 | |
| Lsx | v1 [m/s] | 0 | 0 |
| v2 [m/s] | 15.56 | 11.11 | |
| a [m/s2] | 1.00 | 1.00 | |
| Lsx [m] | 121 | 62 |
| Type of Transition Entry Shape | N (Ti_j) | % * | Total Number of Accidents | F |
|---|---|---|---|---|
| T1_j | 195 | 28% | 74 | 0.38 |
| T2_j | 337 | 48% | 138 | 0.41 |
| T3_j | 111 | 16% | 39 | 0.35 |
| T4_j | 57 | 8% | 28 | 0.49 |
| Rural Area | Urban Area | |||||
|---|---|---|---|---|---|---|
| Type of Transition Entry Shape | N (Ti_j) | Total Number of Accidents | F | N (Ti_j) | Total Number of Accidents | F |
| T1_j | 112 | 40 | 0.36 | 83 | 34 | 0.41 |
| T2_j | 69 | 29 | 0.42 | 268 | 109 | 0.41 |
| T3_j | 21 | 8 | 0.38 | 90 | 31 | 0.34 |
| T4_j | 21 | 15 | 0.71 | 36 | 13 | 0.36 |
| Type of Transition Exit Shape | N (Ti_j) | % * | Total Number of Accidents | F |
|---|---|---|---|---|
| Ti_1 | 126 | 18% | 45 | 0.36 |
| Ti_2 | 374 | 53% | 148 | 0.40 |
| Ti_3 | 126 | 18% | 49 | 0.39 |
| Ti_4 | 74 | 11% | 37 | 0.50 |
| Rural Area | Urban Area | |||||
|---|---|---|---|---|---|---|
| Type of Transition Entry Shape | N (Ti_j) | Total Number of Accidents | F | N (Ti_j) | Total Number of Accidents | F |
| Ti_1 | 83 | 27 | 0.33 | 43 | 18 | 0.42 |
| Ti_2 | 81 | 36 | 0.44 | 293 | 112 | 0.38 |
| Ti_3 | 29 | 11 | 0.38 | 97 | 38 | 0.39 |
| Ti_4 | 30 | 18 | 0.60 | 44 | 19 | 0.43 |
| Characteristic | Min | Mean | Max | σ |
|---|---|---|---|---|
| α [°] | 7.45 | 91.04 | 173.00 | 26.30 |
| La [m] | 2.90 | 15.69 | 141.00 | 12.57 |
| Ri [m] | 0.20 | 6.98 | 58.87 | 7.86 |
| Ru [m] | 0.20 | 2.11 | 94.11 | 6.49 |
| Access Classification | N (Ti_j) | % * | Total Number of Accidents | F |
|---|---|---|---|---|
| T1_1 | 86 | 12% | 35 | 0.41 |
| T1_2 | 61 | 9% | 21 | 0.34 |
| T1_3 | 27 | 4% | 9 | 0.33 |
| T1_4 | 21 | 3% | 9 | 0.43 |
| T2_1 | 27 | 4% | 7 | 0.26 |
| T2_2 | 241 | 34% | 99 | 0.41 |
| T2_3 | 52 | 7% | 23 | 0.44 |
| T2_4 | 17 | 2% | 9 | 0.53 |
| T3_1 | 8 | 1% | 1 | 0.13 |
| T3_2 | 52 | 7% | 18 | 0.35 |
| T3_3 | 44 | 6% | 16 | 0.36 |
| T3_4 | 7 | 1% | 4 | 0.57 |
| T4_1 | 5 | 1% | 2 | 0.40 |
| T4_2 | 20 | 3% | 10 | 0.50 |
| T4_3 | 3 | 0% | 1 | 0.33 |
| T4_4 | 29 | 4% | 15 | 0.52 |
| Rural Area | Urban Area | |||||
|---|---|---|---|---|---|---|
| Access Classification | N (Ti_j) | Total Number of Accidents | F | N (Ti_j) | Total Number of Accidents | F |
| T1_1 | 61 | 22 | 0.36 | 25 | 13 | 0.52 |
| T1_2 | 29 | 13 | 0.45 | 32 | 8 | 0.25 |
| T1_3 | 11 | 3 | 0.27 | 16 | 6 | 0.38 |
| T1_4 | 11 | 2 | 0.18 | 10 | 7 | 0.70 |
| T2_1 | 16 | 3 | 0.19 | 11 | 4 | 0.36 |
| T2_2 | 32 | 13 | 0.41 | 209 | 86 | 0.41 |
| T2_3 | 13 | 6 | 0.46 | 39 | 17 | 0.44 |
| T2_4 | 8 | 7 | 0.88 | 9 | 2 | 0.22 |
| T3_1 | 3 | 1 | 0.33 | 5 | 0 | 0.00 |
| T3_2 | 11 | 4 | 0.36 | 41 | 14 | 0.34 |
| T3_3 | 4 | 1 | 0.25 | 40 | 15 | 0.38 |
| T3_4 | 3 | 2 | 0.67 | 4 | 2 | 0.50 |
| T4_1 | 3 | 1 | 0.33 | 2 | 1 | 0.50 |
| T4_2 | 9 | 6 | 0.67 | 11 | 4 | 0.36 |
| T4_3 | 1 | 1 | 1.00 | 2 | 0 | 0.00 |
| T4_4 | 8 | 7 | 0.88 | 21 | 8 | 0.38 |
| Classes (La/Ri) | (La/Ri)m | (La/Ri)min | (La/Ri)max | σ (La/Ri) | (La)m [m] | (Ri)m [m] | (TGI)A [Accidents/108 veh-km] | ||
|---|---|---|---|---|---|---|---|---|---|
| DISTRIBUTION1 | 1 | <2.45 | 1.49 | 0.23 | 2.41 | 0.56 | 17.18 | 14.65 | 8.63 |
| 2 | 2.45–4.89 | 3.45 | 2.49 | 4.82 | 0.69 | 18.06 | 5.41 | 8.55 | |
| 3 | 4.90–10.00 | 6.58 | 5.18 | 9.72 | 1.15 | 17.56 | 2.74 | 8.96 | |
| 4 | 10.01–15.00 | 12.25 | 10.22 | 14.50 | 1.47 | 29.40 | 2.38 | 11.51 | |
| DISTRIBUTION2 | 5 | 15.01–20.00 | 16.74 | 15.97 | 18.00 | 0.88 | 5.67 | 0.35 | 6.86 |
| 6 | 20.01–30.00 | 25.45 | 20.35 | 30.00 | 3.22 | 8.88 | 0.36 | 8.21 | |
| 7 | 30.01–40.00 | 35.10 | 30.20 | 40.00 | 2.98 | 8.64 | 0.24 | 12.53 | |
| 8 | 40.01–50.00 | 44.79 | 40.50 | 50.00 | 3.11 | 8.96 | 0.20 | 8.01 | |
| 9 | 50.01–60.00 | 54.85 | 50.15 | 60.00 | 3.02 | 11.98 | 0.22 | 12.60 | |
| 10 | 60.01–70.00 | 65.24 | 60.40 | 70.00 | 2.92 | 13.05 | 0.20 | 10.38 | |
| 11 | 70.01–80.00 | 75.17 | 70.40 | 80.00 | 2.67 | 15.03 | 0.20 | 10.59 | |
| 12 | 80.01–90.00 | 84.11 | 80.25 | 90.00 | 2.91 | 16.82 | 0.20 | 17.82 | |
Publisher’s Note: MDPI stays neutral with regard to jurisdictional claims in published maps and institutional affiliations. |
© 2022 by the authors. Licensee MDPI, Basel, Switzerland. This article is an open access article distributed under the terms and conditions of the Creative Commons Attribution (CC BY) license (https://creativecommons.org/licenses/by/4.0/).
Share and Cite
Perri, G.; Vaiana, R. Road Safety Management of Uncontrolled Access Points: Design Criteria and Insights into Risk Factors. Appl. Sci. 2022, 12, 12661. https://doi.org/10.3390/app122412661
Perri G, Vaiana R. Road Safety Management of Uncontrolled Access Points: Design Criteria and Insights into Risk Factors. Applied Sciences. 2022; 12(24):12661. https://doi.org/10.3390/app122412661
Chicago/Turabian StylePerri, Giusi, and Rosolino Vaiana. 2022. "Road Safety Management of Uncontrolled Access Points: Design Criteria and Insights into Risk Factors" Applied Sciences 12, no. 24: 12661. https://doi.org/10.3390/app122412661
APA StylePerri, G., & Vaiana, R. (2022). Road Safety Management of Uncontrolled Access Points: Design Criteria and Insights into Risk Factors. Applied Sciences, 12(24), 12661. https://doi.org/10.3390/app122412661

