Abstract
The quadrotor aircraft has the characteristics of simple structure, high attitude maintenance performance and strong maneuverability, and is widely used in air surveillance, post−disaster search and rescue, target tracking and military industry. In this paper, a robust control scheme based on linear active disturbance rejection is proposed to solve the problem that the quadrotor is susceptible to various disturbances during the take−off process of non−horizontal planes and strong disturbances. Linear Active Disturbance Rejection Control (LADRC) is a product of a tracking differentiator (TD), a linear extended state observer (LESO) and an error feedback control law (PD) and is a control technique for estimating compensation for uncertainty. Radial Basis Function Neural Networks (RBFNN) is a well−performing forward network with best approximation, simple training, fast learning convergence and the ability to overcome local minima problems. Combined with the advantages and disadvantages of LADRC, Adaptive Control and Neural Network, the coupling force between each channel, gust crosswind disturbance and additional resistance of offshore platform jitter in the flight state of the quadrotor are optimized. In the control, the RBF neural network is designed, the nonlinear control signal is wirelessly approximated and the uncertain disturbance to the quadrotor is identified online. Finally, the real−time estimation and compensation are performed by LESO to realize the full−attitude take−off of the quadrotor. In addition, this paper uses adaptive control to optimize the parameters of LADRC to reduce the problem of many LADRC parameters and difficulty to integrate. Finally, the robust control system mentioned in this paper is simulated and verified, and the simulation results show that the control scheme has the advantages of simple parameter adjustment and stronger robustness.
1. Introduction
In recent years, quadrotors have had broad application value in military strategy [], disaster rescue [], tracking and shooting [], monitoring and reconnaissance [], etc. Replacing manual execution of dangerous tasks in an environment can minimize casualties [] and bring breakthrough and subversive product innovations to the military and civilian fields and makes UAS technology more secure and reliable [].
When a quadrotor takes off in harsh environments or offshore platforms, due to external disturbances such as wind, rain and air friction, it may not take off horizontally after being disturbed. Landing [], if it is forced to take off in a disturbed attitude, the quadrotor will be out of control during the flight, which will affect the tasks performed and people’s property safety [].
Up to now, the control schemes of quadrotors mainly include: PID control [], LQR control [], sliding mode control [], LADRC [], neural network [] and adaptive control []. The mainstream control algorithm of quadrotors is undoubtedly PID control []. Although PID control can make the quadrotor fly smoothly, it can only maintain stability in the state of small interference, and the ability to handle interference is limited, as the robustness of the control system is not strong. On the basis of PID control, Professor Han Jingqing improved it into an ADRC. In the literature [], a quadrotor control scheme based on LADRC was proposed. LESO can quickly estimate the real−time error; the anti−interference performance of LADRC is more accurate and reliable than PID control, but it needs to adjust too many parameters. In the literature [,], it is proposed to combine adaptive control and a neural network, and an adaptive compensation scheme based on a neural network is proposed, but it has obvious control deviation and is not robust; low−order LADRC can deal with relatively complex high order power systems [,] and combustion oscillation processes []. The literature [] proposes a new NMP ADRC control scheme, which solves the conflict between stability and feedback adjustment from an engineering point of view.
For the quadrotor, we hope that its control system can quickly identify and eliminate external interference, so as to take off smoothly and safely when it is not on a horizontal plane or is subjected to strong interference. Therefore, in combination with the advantages and disadvantages of the above control schemes, this paper adopts adaptive control to optimize the parameters of LADRC and enhance the control performance of PD controllers. The neural network approaches the nonlinear control function with its unique characteristics and designs a quadrotor with simple tuning, stronger robustness and full attitude taking off. The innovation points of this paper are shown as follows:
Firstly, this paper proposes an Adaptive Law−Based LADRC (AP−ADRC) and Robust Control−Based LADRC (RBF−ADRC) control system with independent an AP−ADRC control on each position control channel, and an independent RBF−ADRC control on each attitude control channel is controlled by an independent RBF−ADRC on each attitude control channel. The results show that the proposed scheme is effective and can achieve fast and stable tracking of the reference input with good robustness.
Secondly, this paper optimizes the classical LADRC on the basis of this and designs a linear self−adaptive control strategy based on adaptive rate for the problem that the linear self−adaptive control system of the quadrotor has low tracking accuracy and the parameters are difficult to adjust online. Each channel of the quadrotor is controlled by an independent and optimized LADRC controller, and the designed adaptive rate can adjust the PD controller online parameters to compensate for tracking errors caused by deviations in controller parameters, with the aim of reducing manual parameter adjustments and enhancing immunity to the interference, adapting to changes in the dynamic characteristics of the quadrotor UAV dynamics system.
Thirdly, based on the AP−ADRC, this paper addresses the problem of serious attitude disturbance during quadrotor UAV take−off and proposes the design of a robust control system in the channel of quadrotor UAV attitude control to achieve full attitude take−off even in the non−horizontal plane of the quadrotor UAV, introducing an RBF neural network to approximate the non−linear signal function online and sending it to LESO for compensation and adopting a hierarchical processing control. The RBF neural network is introduced to approximate the non−linear signal function online and fed into LESO for compensation and the control signal is processed in a hierarchical manner to enhance the robustness of the control system, so that the quadrotor UAV can maintain good stability during take−off and flight in complex environments and perform its mission better, faster and more accurately.
The structural framework of this paper is presented as follows: Section 2 introduces a typical quadrotor UAV dynamics model. A self−anti−disturbance control scheme based on adaptive control (AP−ADRC) and neural network (RBF−ADRC) is proposed in Section 3 and the stability of the system is demonstrated through stability analysis. Simulation experiments are conducted in Section 4 to test the trajectory tracking of the quadrotor UAV under different disturbance conditions. Finally, Section 5 provides a comprehensive summary of the paper.
2. Mathematical Model
The power of the “×” quadrotor comes from four rotors, and the rotation directions of the two adjacent rotors are opposite to overcome the anti−torque torque generated by the rotation of the rotors. The quadrotor has a total of 6 degrees of freedom, each channel has strong coupling and the robustness of the flight system is weak. So as to achieve its full attitude takeoff, the quadrotor is regarded as a rigid body, is the Earth−fixed inertial frame and is the body−fixed frame [] when building mathematical models. The coordinate reference system of the quadrotor is shown in Figure 1.
Figure 1.
The coordinate reference frames of quadrotors.
represent the coordinate transformation in the earth coordinate system, represent three attitude angles, respectively. The position and attitude control of the quadrotor are confirmed in the structure , , respectively, introducing to represent the transformation matrix, as follows:
where,
In the body−fixed frame , the lift of the four rotors is represented by , , , , respectively, the lift of a quadrotor is expressed as:
From Equations (1) and (3), one has:
In the Earth−fixed inertial frame , the position of the quadrotor is represented by , and , and the dynamic equation of space motion is expressed as:
The rotation of the quadrotor is represented by , , , and its attitude motion equation is expressed as:
The quadrotor UAV dynamics model can be obtained by combining Equations (5) and (6), where the model parameters are shown in Table 1 and the constants of the mathematical model are designed with reference to the literature [].
Table 1.
Parameters of the quadrotor.
To simplify the quadrotor model, we introduce the virtual control force , , , to replace the lift force , , , of the four rotor. The virtual control variable , , is introduced to simplify the motion equation.
where,
From Equations (5), (6) and (8), the mathematical model of the quadrotor [] is obtained as:
where,
In the above formula, is the length from the center of the rotor to the center of the drone, , , are the moment of inertia of the and axes, respectively, is the weight of the drone, and is the acceleration of gravity.
3. Controller Design
LADRC can effectively eliminate the uncertain interference when the quadrotor takes off in a non−horizontal plane or in a harsh environment. The advantages and disadvantages of LADRC, adaptive control and neural network are integrated, and the overall control scheme of the quadrotor is designed as shown in Figure 2.
Figure 2.
Block diagram of quadrotor control scheme.
This paper proposes a robust control system based on LADRC, using RBFNN to obtain the optimized control function , approach the signal function of the UAV and effectively eliminate the influence of external disturbances on the take−off of the UAV. At the same time, for the problem that LADRC has many parameters and is difficult to adjust, adaptive control is introduced to optimize its parameters. The RBF−ADRC control scheme is shown in Figure 3.
Figure 3.
RBF−ADRC control system for quadrotor UAV.
3.1. Design of the LADRC Applied to Quadrotor
Here we use Adaptive Control to optimize the two parameters of , in the PD controller, instead of manual parameter adjustment. This allows the system to be in a good stable state. LESO has real−time estimation of the total disturbance acting on the system and the compensation method can suppress the influence of any form of disturbance. However, for continuous disturbance, LESO cannot estimate the total disturbance more accurately and in time, so we introduce RBFNN to process the control in advance. The signal is sent to LESO again to estimate the total disturbance of the system, which is undoubtedly of great significance to the quadrotor with high precision requirements. The PD controller and LESO design formula are mentioned in Section 3.2.
So as to ensure that the input control signal and its differential signal tend to be smooth and bounded, on the basis of fast performance, to solve the overshoot problem and reduce the initial error, the tracking differentiator TD [] is designed as Formula (13).
3.2. Neural Network Robust Controller Design
Robust control requires robust control system stability in the presence of bounded quadrotor model errors. In order to realize the full−attitude take−off of the quadrotor and improve the robustness of its control performance, we design a robust control based on AP−ADRC, introduce the RBFNN online identification signal function and then use LESO to eliminate uncertain interference. This will establish a robust control system with stronger anti−interference performance.
3.2.1. Design of RBFNN
This paper presents a forward multi−input single−output RBFNN based on function approximation theory, which can identify external disturbances online and adapt to the nonlinear function under arbitrary precision. The structure of RBFNN is shown in Figure 4.
Figure 4.
RBFNN internal structure for optimizing LESO input signal.
The input layer’s output of RBFNN can be presented as:
The input and output of the hidden layer are:
The hidden unit is 6, and the excitation function adopts the tangent sigmoid transfer function []:
The input and output of the output layer are:
From this, the output of RBFNN is .
3.2.2. LESO
LESO can regard the unmodeled external disturbance as an expanded state vector and adjust the control signal through feedback.
The LESO design [] is:
where, , is used to estimate disturbances in real time, bring into Equation (18) to obtain:
Parameterize the characteristic equation to make it satisfy:
where, is the bandwidth of the extended state observer, and the estimated values of LESO are defined as:
The control law of LADRC is:
where,
Introducing pseudo control [] to obtain the control function:
3.3. Adaptive Control Optimizes PD Controller Parameters
Theorem 1.
Considering the nonlinear system in this paper, the pseudo control input is selected as Equation (24) and the following adaptive law is adopted to make the assumption valid.
Considering that the adaptive rate mentioned in Equations (25) and (26) will have singularities, the adaptive rate is rewritten as:
where and are the estimated value of the PD controller parameters, , are estimation errors.
Proof of Theorem 1.
Construct a positive definite Lyapunov function:
Taking the derivative of Equation (29), we can obtain:
Substitute Equation (24) into Equation (29) to obtain:
where the tracking error approaches zero, Equation (31) can be rewritten as:
Putting the adaptive rate Formula (27) and Formula (28) into Formula (32), we can obtain:
Simplified to obtain:
where is a positive parameter, the constructed Lyapunov function is a monotonically decreasing function, which can be obtained by:
According to Equation (35), the system is critically stable, but it cannot be proved that the system is asymptotically stable. Therefore, the asymptotic stability in engineering should be studied and analyzed. □
Theorem 2 (Barbalat’s Theorem).
If is a continuously differentiable function, satisfying:
This proves that the whole system is asymptotically stable.
Proof.
If is a differentiable function, then ( is a constant) if is bounded, then . □
Since is a function with upper and lower bounds and monotonically decreasing, we can get:
According to Barbalat’s Theorem: the function is monotonically decreasing, when , and , it can be seen that the output of the system is asymptotically stable. Combined with Lyapunov function and Barbalat’s Theorem, it can be concluded that the system is asymptotically stable in engineering.
4. System Simulation
The simulation in this paper is carried out by MATLAB/Simulink. The model parameters, RBF−ADRC robust controller parameters and classic LADRC parameters are used in the simulation, see Table 2, respectively. The initial position and initial attitude coordinates of the quadrotor are . All examples are compared with the classic ADRC [].
Table 2.
Controller parameters.
In this paper, three simulation cases are designed for the tracking and interference immunity of quadrotor UAVs. Simulation case 1 is designed to test the trajectory tracking of the quadrotor UAV under the REF−ADRC control scheme, simulation case 2 is designed to compare the control effect of AP−ADRC and classical LADRC and simulation case 3 is designed to test the attitude tracking of the quadrotor UAV under the REF−ADRC control scheme. The results show that the designed AP−ADRC can effectively eliminate the parameter deviations caused by external disturbances by adjusting the controller parameters online, and the designed RBF−ADRC control scheme can effectively seek the optimal attitude of the quadrotor UAV with better anti−disturbance and robustness.
Example 1.
Simulation case 1 is to verify the trajectory tracking performance of the quadrotor under the RBF−ADRC robust control scheme. The given expected signal is as follows:
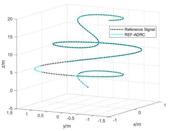
Simulation case 1 is designed to test the trajectory tracking of a quadrotor UAV under the proposed REF−ADRC robust control scheme. The tracking objective function is given by Equation (36) with initial position coordinates and attitude angle initial values, and the trajectory tracking curve is given in Figure 5. The results show that the designed control scheme reaches the reference signal at 0.3 s. The quadrotor UAV system can track the given desired signal quickly and achieves stable tracking after that with a stable positive and negative error of 0.01 and no significant overshoot. It is demonstrated that the proposed REF−ADRC robust control scheme has a fast response time, reliable performance and good trajectory tracking performance.
Figure 5.
Track trace curve.
Example 2.
Simulation case 2 is to test the tracking performance of classical LADRC and AP−ADRC on the position channel, given the desired signal as follows:
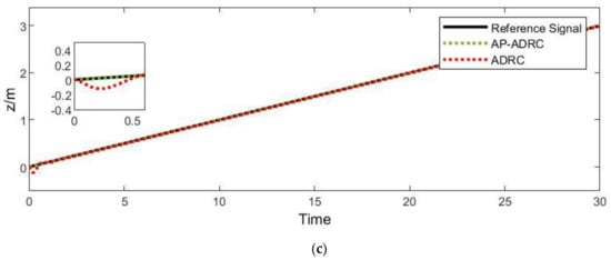
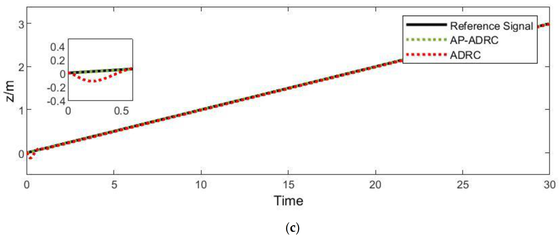
Simulation case 2 is designed to compare the control effectiveness of the proposed AP−ADRC control scheme with the classical LADRC control scheme. The tracking target function is given by Equation (37) and the initial position coordinates and attitude angle initial values are . The values of and are changed in real time, so the controller parameters can be adjusted in real time by the dynamic characteristics of the quadrotor UAV and external disturbances. The results show that the AP−ADRC control scheme can accurately track the input reference signal after 0.4 s. Compared with the classical LADRC, its response is faster and the adaptive control adjusts the PD controller parameters online instead of manual parameter adjustment. This proves that our introduction of adaptive control to optimize the parameters of the LADRC are effective and reliable. At the same time, adaptive control also solves the parameter deviations caused by external disturbances and greatly improves the accuracy of the position control channel of the quadrotor UAV. Analysis of in Figure 6a–c shows that AP−ADRC has almost the same control effect as classical LADRC, and AP−ADRC requires fewer parameters to be optimized.

Figure 6.
Response curves of position control under three disturbances. (a–c) are the tracking curves for each of the three position control channels.
Example 3.
Simulation case 3 is to verify the stability, accuracy and rapidity of the RBF −ADRC robust control system for the full −attitude take −off of the quadrotor UAV. Three mathematical models of uncertain disturbances are given first.
Uncertain disturbance 1: strong wind disturbance
The mathematical model of the wind disturbance is designed with reference to the literature []. Wind disturbance will provide uncertain acceleration and the simulation is performed under time−varying disturbances. The mathematical model of the disturbance is shown in Equation (38), where , , , , , gives the external wind disturbance on the position and attitude channels, respectively. On the basis of this wind disturbance model, we randomly select a higher gain to offer the wind disturbance model a stronger disturbance to test the immunity of the proposed control scheme.
Uncertain perturbation 2: step perturbation
Step disturbance is the most severe working state for the system and it can test the performance of the system in a wide range. Therefore, the introduction of step disturbance is of great significance to study the robustness of quadrotor.
Uncertain Perturbation 3: White Noise Perturbation
The resistance and wind force of the quadrotor in flight are unknown, with complexity and variability. White noise can simulate these uncertain disturbances well. Therefore, white noise is introduced to detect the robustness of the control system. This is extremely important.
The three disturbances are placed in one graph for comparison at different times. The simulation graph is shown in Figure 7.
Figure 7.
Attitude control response curves under three disturbances.(a–c) are the tracking curves for the three attitude control channel channels.
Simulation case 3 is designed to test the immunity of the proposed REF−ADRC controller. Simulation case 2 shows that the AP−ADRC control scheme is more robust and has better control performance than the classical LADRC, therefore, in this simulation we compare the REF−ADRC with the AP−ADRC. To test the immunity of REF−ADRC to disturbances, we have designed three different strong disturbance models. To facilitate the comparison of the two controllers’ performance, the above three uncertain disturbances are now designed in one simulation. This simulation produces a sparing disturbance with a final value of 5 at the 5th second, a white noise disturbance from 10 to 15 s and a gust disturbance from 20 to 30 s, the mathematical model is shown in Equation (38). (a), (b) and (c) in Figure 7 show that the pitch angle reaches equilibrium at 1 s, the roll and yaw angles both reach equilibrium at 0.3 s and the response rate of the proposed control scheme is essentially the same as that of AP−ADRC, after which it reaches a steady state. At the 5th second, after the saving disturbance is added, both control schemes overshoot, but the overshoot of AP−ADRC is greater. After the white noise disturbance was added, there were obvious fluctuations in each of the attitude control channels and in the RBF−ADRC control scheme, the fluctuations in the tracking trajectory of the attitude control channels were kept within a smaller range and more closely matched the input signal function. The tracking curve becomes smooth and stable after the neural network identifies it online and quickly compensates for it. With the RBF−ADRC control scheme, the disturbed quadrotor UAV can seek the optimal attitude quickly and accurately, with short adjustment time, small overshoot, stronger anti−disturbance performance and far more robustness than AP−ADRC and classical LADRC.
5. Conclusions
This paper addresses the problem of low position control tracking accuracy and difficult online adjustment of control parameters for quadrotor UAVs under external perturbations and proposes an adaptive rate based on a Linear Active Disturbances Rejection Controller (AP−ADRC) strategy that does not rely on an exact model and can treat the internal unmodelled dynamics of the system and external perturbations as total perturbations, introducing adaptive control that can rely on input and output. The design of the adaptive rate of parameters is also strictly proven by Lyapunov stability analysis and Barbalat’s Theorem, and finally, the designed composite controller AP−ADRC is applied to the quadrotor UAV position control system for MATLAB simulation and compared with the traditional model. The simulation results show that the control accuracy of AP−ADRC is higher and the tracking error is smaller; for the problem that the attitude of the quadrotor UAV is seriously disturbed when it takes off in the non−horizontal plane, designing a robust control system based on AP−ADRC in the attitude control channel of the quadrotor UAV in order to achieve a full attitude take−off of the quadrotor UAV even in the non−horizontal plane is proposed. The solution combines the advantages of the AP−ADRC strategy to optimize the parameters and seek the optimal attitude of the quadrotor UAV, introduces an RBF neural network to approximate the non−linear signal function online and then compensates for it through LESO. This strategy can effectively reduce the effect of disturbance on the attitude control channel and improve the overall performance of the quadrotor UAV system with more satisfactory results.
At present, this paper is limited to theoretical analysis and does not take into account some practical problems, such as the need to train the weights of the neural network in the early stage, as well as the limitation of experimental equipment to conduct experiments. The above issues will be considered in the next step of work.
Author Contributions
Z.Q.: contributed to the conception of the study, performed the experiment, performed the data analyses and wrote the manuscript; K.Z. and T.Z.: contributed to the conception of the study; M.Z., J.X., S.C. and Y.G.: helped perform the analysis with constructive discussions. All authors have read and agreed to the published version of the manuscript.
Funding
The author(s) received no financial support for the research, authorship and/or publication of this article.
Institutional Review Board Statement
Not applicable.
Informed Consent Statement
Not applicable.
Data Availability Statement
Not applicable.
Conflicts of Interest
The authors declare that they have no competing interest.
References
- Wang, L.; Wang, J. Four−rotor UAV Special Ammunition Hovering−launch Mechanics Research. J. Ballist. 2022, 34, 38–44. [Google Scholar]
- Wang, W. Multi−rotor UAV design and application in fire fighting and rescue operations. Electron. Compon. Inf. Technol. 2022, 6, 185–187. [Google Scholar]
- He, F. Pedestrian detection and route tracking from aerial view of quad−rotor UAVs. Electron. Meas. Technol. 2022, 45, 50–56. [Google Scholar]
- Wang, S. Multi−rotor drones in the field of public safety application idea. Robot. Ind. 2022, 3, 36–41. [Google Scholar]
- Krichen, M.; Adoni, W.; Mihoub, A.; Alzahrani, M.Y.; Nahhal, T. Security Challenges for Drone Communications: Possible Threats, Attacks and Countermeasures. In Proceedings of the 2022 2nd International Conference of Smart Systems and Emerging Technologies (SMARTTECH), Riyadh, Saudi Arabia, 9–11 May 2022; pp. 184–189. [Google Scholar]
- Wang, C.-N.; Yang, F.-C.; Vo, N.T.M.; Nguyen, V.T.T. Wireless Communications for Data Security: Efficiency Assessment of Cybersecurity Industry—A Promising Application for UAVs. Drones 2022, 6, 363. [Google Scholar] [CrossRef]
- Xia, K.; Shin, M.; Chung, W.; Kim, M.; Lee, S.; Son, H. Landing a quadrotor UAV on a moving platform with sway motion using robust control. Control. Eng. Pract. 2022, 128, 105288. [Google Scholar] [CrossRef]
- Zhou, X.; Yu, X.; Guo, K.; Zhou, S.; Guo, L.; Zhang, Y.; Peng, X. Safety Flight Control Design of a Quadrotor UAV with Capability Analysis. IEEE Trans. Cybern. 2021, 1–14. [Google Scholar] [CrossRef]
- Sa, A.; Az, A. Modeling of a Quadcopter Trajectory Tracking System Using PID Controller. Procedia Manuf. 2019, 32, 564–571. [Google Scholar]
- Ahmad, F.; Kumar, P.; Bhandari, A.; Patil, P.P. Simulation of the Quadcopter Dynamics with LQR based Control. Mater. Today Proc. 2020, 24, 326–332. [Google Scholar] [CrossRef]
- Wang, Y.; Sun, L. Fast Terminal Sliding Mode Robust Control for Six−Rotor UAV Formation. Electron. Opt. Control. 2022, 9, 13. [Google Scholar]
- Zheng, M.; Song, M. Research on the attitude control of quad−rotor UAV based on active disturbance rejection control. In Proceedings of the 2017 3rd IEEE International Conference on Control Science and Systems Engineering (ICCSSE), Beijing, China, 17–19 August 2017. [Google Scholar]
- Jin, X.; He, T.; Wu, X.; Wang, H.; Chi, J. Robust adaptive neural network-based compensation control of a class of quadrotor aircrafts. J. Frankl. Inst. 2020, 357, 12241–12263. [Google Scholar] [CrossRef]
- Zhang, P. Modeling and Simulation of Attitude Control of Quadrotor Aircraft. Mot. Control. Appl. 2019, 46, 70–74. [Google Scholar]
- Wu, J.; Xie, X.; Li, Y. Four−rotor UAV control system based on LADRC technology. Transducer Microsyst. Technol. 2021, 40, 102–106, 110. [Google Scholar]
- Ivan, L.; Jerónimo, M.; Javier, M. Adaptive neural network-based trajectory tracking outer loop control for a quadrotor. Aerosp. Sci. Technol. 2022, 129, 107847. [Google Scholar]
- Li, C.; Wang, Y.; Yang, X. Adaptive fuzzy control of a quadrotor using disturbance observer. Aerosp. Sci. Technol. 2022, 128, 107784. [Google Scholar] [CrossRef]
- Zhang, M.; Zhuang, K.; Zhao, T.; Chen, X.; Xue, J.; Qiao, Z.; Cui, S.; Gao, Y. Bus Voltage Control of Photovoltaic Grid Connected Inverter Based on Adaptive Linear Active Disturbance Rejection. Energies 2022, 15, 5556. [Google Scholar] [CrossRef]
- Zhao, F.; Wang, X.; Zhou, Z.; Harnefors, L.; Svensson, J.R.; Kocewiak, L.H.; Gryning, M.P.S. Control Interaction Modeling and Analysis of Grid−Forming Battery Energy Storage System for Offshore Wind Power Plant. IEEE Trans. Power Syst. 2022, 37, 497–507. [Google Scholar] [CrossRef]
- Zhu, H.; Weng, F.; Makeximu; Li, D.; Min, Z. Active control of combustion oscillation with active disturbance rejection control (ADRC) method. J. Sound Vib. 2022, 540, 117245. [Google Scholar] [CrossRef]
- Liu, R.; Nie, Z.-Y.; Shao, H.; Fang, H.; Luo, J.-L. Active disturbance rejection control for non-minimum phase systems under plant reconstruction. ISA Trans. 2022. [Google Scholar] [CrossRef]
- Xia, G.; Liu, Z. Quadrotor unmanned helicopter attitude control based on improved ADRC. In Proceedings of the 2014 IEEE Chinese Guidance, Navigation and Control Conference, Yantai, China, 8–10 August 2014. [Google Scholar]
- Zhong, X.; Ren, J. Optimal design of quadrotor PID parameters based on differential evolutionary algorithm. Comput. Simul. 2022, 39, 47–52. [Google Scholar]
- Ma, D.; Xia, Y.; Shen, G.; Jia, Z.; Liu, T. Flatness-based Adaptive Sliding Mode Tracking Control for a Quadrotor with Disturbances. J. Frankl. Inst. 2018, 355, 6300–6322. [Google Scholar] [CrossRef]
- Cong, M.X.; Zhao, T. Active disturbance rejection trajectory tracking control of manipulator based on neural network. In Proceedings of the 2020 Chinese Control and Decision Conference, Hefei, China, 22–24 August 2020; pp. 1732–1737. [Google Scholar]
- Tao, M.; He, X.; Xie, S.; Chen, Q. RBFNN−Based Singularity−Free Terminal Sliding Mode Control for Uncertain Quadrotor UAVs. Comput. Intell. Neurosci. 2021, 2021, 3576783. [Google Scholar] [CrossRef] [PubMed]
- Gao, Z. Scaling and bandwidth−parameterization based controller tuning. In Proceedings of the 2003 American Control Conference, Denver, CO, USA, 4–6 June 2003; pp. 4989–4996. [Google Scholar]
- Liu, W.; Zhao, T. An active disturbance rejection control for hysteresis compensation based on neural networks adaptive control. ISA Trans. 2020, 109, 81–88. [Google Scholar] [CrossRef] [PubMed]
- Dou, J.; Kong, X.; Wen, B. Altitude and attitude active disturbance rejection controller design of a quadrotor unmanned aerial vehicle. Proc. Inst. Mech. Eng. Part G J. Aerosp. Eng. 2017, 231, 1732–1745. [Google Scholar] [CrossRef]
- Labbadi, M.; Cherkaoui, M. Robust adaptive nonsingular fast terminal sliding−mode tracking control for an uncertain quadrotor UAV subjected to disturbances—ScienceDirect. ISA Trans. 2020, 99, 290–304. [Google Scholar] [CrossRef]
Publisher’s Note: MDPI stays neutral with regard to jurisdictional claims in published maps and institutional affiliations. |
© 2022 by the authors. Licensee MDPI, Basel, Switzerland. This article is an open access article distributed under the terms and conditions of the Creative Commons Attribution (CC BY) license (https://creativecommons.org/licenses/by/4.0/).