Infill Variability and Modelling Uncertainty Implications on the Seismic Loss Assessment of an Existing RC Italian School Building
Abstract
1. Introduction
2. Research Methodology
- (i)
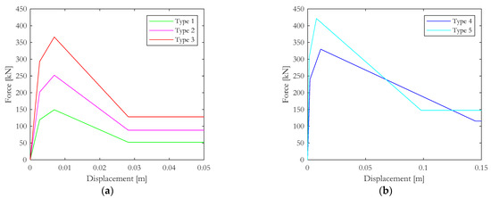
- The variability around the mechanical properties of masonry infills was considered. Five masonry infill typologies, from weak to strong, classified according to their shear strength, were selected as representative of the masonry infill typologies used in RC buildings in Italy [18];
- (ii)
- The single strut macro-modeling technique generally implemented in previous studies was replaced by the three-strut modeling approach proposed by Chrysostomou et al. [19]; this modeling approach enabled a better estimation of the local interaction between frame and infills and, consequently, a more trustworthy estimation of the shear and moment distribution in the surrounding RC frame, as also pointed out by Crisafulli et al. [14,15];
- (iii)
- Adoption of a numerical model for RC members able to account for material and geometrical nonlinearity, flexible joints with likely shear failure, the behavior of poorly detailed and non-ductile RC frame members, premature shear failure, deficiencies in concrete core confinement due to stirrups spacing, and inelasticity concentrated in the structural element ends;
- (iv)
- The shear response parameters of RC members, such as beams and columns, were treated as a source of uncertainty, highlighting the relevant impact of the shear failure of poorly detailed RC members in the seismic performance assessment of GLD buildings.
- A representative case-study school building was selected as representative of the RC school buildings in Italy, according to the main features characterizing the existing school building stock [6];
- The macro-level classification of masonry infills outlined in Mucedero et al. [18] was used to account for the variability of the geometrical and mechanical properties of the masonry infills. This also allows us to investigate the impact of different masonry infill typologies on the capacity curves and on nonlinear time history response analysis, leading to the economic loss estimation related to different non-structural components;
- On the structural model side, the choice of explicitly modeling the presence of openings was investigated to analyze its role in the estimation of fragility curves, considering two structural configurations: (i) completely infilled structural configuration, disregarding the presence of the openings, and (ii) partially infilled structural configuration, considering the presence of the openings, whose dimensions were set according to the original drawings of the school building;
- The impact of a more comprehensive modeling uncertainty characterization on the loss assessment of the selected case-study school building was investigated by means of two sets of dispersion values: the first set includes the values proposed by O’Reilly and Sullivan [11], whereas the second one accounts for the values recently proposed by Mucedero et al. [16], to gauge the differences. The seismic loss estimates were then obtained, for both structural configurations, according to the FEMA P-58-2 [3] methodology. Each dispersion set was used in the FEMA P-58 [3] dedicated tool (PACT) when setting the modeling dispersion of both Peak Storey Drifts (PSD) and Peak Floor Accelerations (PFA) for each scenario/intensity to incorporate the epistemic uncertainties in the collapse fragility functions. The two sets of results were compared to understand the overall impact of epistemic uncertainty, including a wider variability on the infill properties and collapse modes, on the loss estimates in existing buildings.
3. Case-Study School Building
3.1. Numerical Modeling, Seismic Hazard, and Records Selection
3.2. Variability in the Masonry Infill Mechanical Properties
4. Seismic Risk Assessment
4.1. Nonlinear Static Analysis Results
4.2. Nonlinear Time History Analysis (NTHA) Results
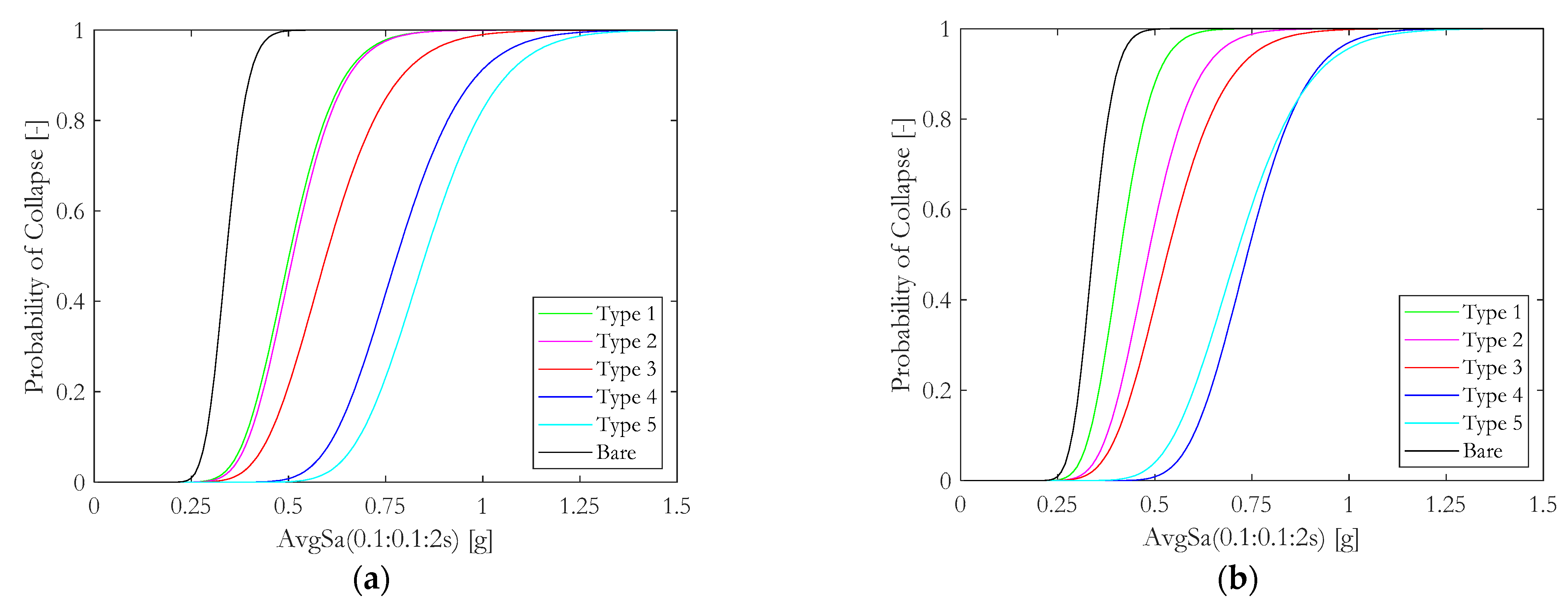
4.3. Collapse Fragility Curves
4.4. Seismic Loss Assessment
4.4.1. Component-Based Loss Assessment
4.4.2. Accounting for Epistemic Uncertainty
4.4.3. Results
5. Conclusions
- The capacity curves and the results in terms of EDPs, i.e., Interstorey Drift Ratio and Peak Floor Acceleration, are strongly affected by the masonry infill variability. In addition, the dynamic properties of the building could be highly influenced by the material properties of the masonry, with a lengthening or shortening of the first period of vibration, also influenced by the choice of accounting or not for the presence of the openings. As such, proper identification of the material and geometrical properties of masonry infills should be made to perform a reliable seismic assessment of the building;
- In all the cases for which no information on the material properties of the infills is available, the macro-level classification presented herein could support analysts in selecting, beforehand, what models could be more representative of the actual nonlinear response of the masonry infill typology;
- Accounting for the presence of the infill openings led to a reduction of the median intensity of collapse in the range of 5 to 18% with respect to the completely infilled structural configuration. Regarding the role of accounting for the presence of openings on the EAL, it was highlighted that the EAL estimation could be underestimated or overestimated by up to 50% with respect to the completely infilled counterparts as a function of the masonry infill typologies and the typology of non-structural components. As such, the presence of openings should be absolutely contemplated in the models;
- Reliable identification and propagation of uncertainty in the collapse assessment of existing structures is of paramount importance, and consequently, the loss estimation is quite affected by the assumed epistemic uncertainty: the EALs obtained with the updated epistemic set are 1.3 to 1.8 times higher than those obtained with the previous one;
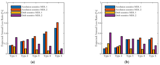
- The impact of modeling uncertainty on the EAL estimations did depend on the typology of structural and non-structural components considered in the inventory group as a function of the masonry infill type. Indeed, the differences in the EALs obtained when using the two dispersion sets are negligible for the acceleration-sensitive components and weak (type-1) and weak-to-medium (type-2) masonry infills. On the other hand, the impact of the higher dispersion introduced by MDL-2 is quite noticeable for medium and strong masonry infills. For drift-sensitive components, the higher impact of modeling uncertainty is observed for the weak (type-1) and weak-to-medium (type-2) masonry infills, while it is negligible for medium and strong masonry infills;
- When the dispersion is quantified considering the uncertainty related to the variability in masonry infills and the premature shear failure of RC columns due to the interaction with the infill panels, a higher loss ratio with respect to the available literature approaches is obtained, regardless of the presence or not of the openings in the infill panels. Such a median increase in EAL, if up to 30%, was observed;
- A loss disaggregation in terms of acceleration- and drift-sensitive components has also confirmed how increasing the stiffness of the masonry panels leads to an equally noticeable increase in the losses related to acceleration-sensitive non-structural components due to higher floor accelerations. This shows how the presence of one infill type over one other can significantly alter the structural response of the building and the level of expected losses;
- A reasonable EAL estimation should include the most accurate level of knowledge regarding both the structural system and the masonry infill properties, which proved to largely increase the levels of epistemic uncertainty when considering the variability of their mechanical properties and their possible induction of RC column shear failure.
Author Contributions
Funding
Institutional Review Board Statement
Informed Consent Statement
Data Availability Statement
Conflicts of Interest
References
- Borzi, B.; Ceresa, P.; Faravelli, M.; Fiorini, E.; Onida, M. Seismic Risk Assessment of Italian School Buildings. Comput. Methods Appl. Sci. 2013, 30, 317–344. [Google Scholar] [CrossRef]
- Cornell, C.A.; Krawinkler, H. Progress and Challenges in Seismic Performance Assessment. PEER Center News 2003, 3, 1–3. [Google Scholar]
- Federal Emergency Management Agency. FEMA P-58: Seismic Performance Assessment of Buildings, Volume 2—Implementation Guide, 2nd ed.; 2018; Volume 2, Available online: https://femap58.atcouncil.org/ (accessed on 18 October 2022).
- De Angelis, A.; Pecce, M. Seismic Nonstructural Vulnerability Assessment in School Buildings. Nat. Hazards 2015, 79, 1333–1358. [Google Scholar] [CrossRef]
- Grant, D.N.; Bommer, J.J.; Pinho, R.; Calvi, G.M.; Goretti, A.; Meroni, F. A Prioritization Scheme for Seismic Intervention in School Buildings in Italy. Earthq. Spectra 2007, 23, 291–314. [Google Scholar] [CrossRef]
- Borzi, B.; Ceresa, P.; Faravelli, M.; Fiorini, E.; Onida, M.; Borzi, B.; Ceresa, P.; Faravelli, M.; Fiorini, E.; Onida, M. Definition of a Prioritisation Procedure for Structural Retrofitting of Italian School Buildings. In Proceedings of the COMPDYN 2011 III ECCOMAS Thematic Conference on Computational Methods in Structural Dynamics and Earthquake Engineering, Corfu, Greece, 25–28 May 2011. [Google Scholar]
- Haselton, C.B.; Goulet, C.A.; Mitrani-Reiser, J.; Beck, J.L.; Deierlein, G.G.; Porter, K.A.; Stewart, J.P.; Taciroglu, E. An Assessment to Benchmark the Seismic Performance of a Code-Conforming Reinforced Concrete Moment-Frame Building; PEER Report 2007/1; Pacific Earthquake Engineering Research Center: Berkeley, CA, USA, 2008; 360p, Available online: https://resolver.caltech.edu/CaltechAUTHORS:20120831-144606048 (accessed on 18 October 2022).
- Baker, J.W.; Cornell, C.A. Uncertainty Propagation in Probabilistic Seismic Loss Estimation. Struct. Saf. 2008, 30, 236–252. [Google Scholar] [CrossRef]
- Lee, T.H.; Mosalam, K.M. Seismic Demand Sensitivity of Reinforced Concrete Shear-Wall Building Using FOSM Method. Earthq. Eng. Struct. Dyn. 2005, 34, 1719–1736. [Google Scholar] [CrossRef]
- Liel, A.B.; Haselton, C.B.; Deierlein, G.G.; Baker, J.W. Incorporating Modeling Uncertainties in the Assessment of Seismic Collapse Risk of Buildings. Struct. Saf. 2009, 31, 197–211. [Google Scholar] [CrossRef]
- O’Reilly, G.J.; Sullivan, T.J. Quantification of Modelling Uncertainty in Existing Italian RC Frames. Earthq. Eng. Struct. Dyn. 2018, 47, 1054–1074. [Google Scholar] [CrossRef]
- Olsson, A.; Sandberg, G.; Dahlblom, O. On Latin Hypercube Sampling for Structural Reliability Analysis. Struct. Saf. 2003, 25, 47–68. [Google Scholar] [CrossRef]
- Choudhury, T.; Kaushik, H.B. Treatment of Uncertainties in Seismic Fragility Assessment of RC Frames with Masonry Infill Walls. Soil Dyn. Earthq. Eng. 2019, 126, 105771. [Google Scholar] [CrossRef]
- Crisafulli, F.J.; Carr, A.J. Proposed Macro-Model for the Analysis of Infilled Frame Structures. Bull. New Zealand Soc. Earthq. Eng. 2007, 40, 69–77. [Google Scholar] [CrossRef]
- Crisafulli, F. Seismic Behaviour of Reinforced Concrete Structures with Masonry Infills. Ph.D. Thesis, University of Canterbury, Canterbury, New Zealand, 1997. [Google Scholar]
- Mucedero, G.; Perrone, D.; Monteiro, R. Epistemic Uncertainty in Poorly Detailed Existing Frames Accounting for Masonry Infill Variability and RC Shear Failure. Earthq. Eng. Struct. Dyn. 2022, 51, 3755–3778. [Google Scholar] [CrossRef]
- Mucedero, G.; Perrone, D.; Monteiro, R. Nonlinear Static Characterisation of Masonry—Infilled RC Building Portfolios Accounting for Variability of Infill Properties. Bull. Earthq. Eng. 2021, 19, 2597–2641. [Google Scholar] [CrossRef]
- Mucedero, G.; Perrone, D.; Brunesi, E.; Monteiro, R. Numerical Modelling and Validation of the Response of Masonry Infilled Rc Frames Using Experimental Testing Results. Buildings 2020, 10, 182. [Google Scholar] [CrossRef]
- Chrysostomou, C.Z.; Gergely, P.; Abel, J.F. A Six-Strut Model for Nonlinear Dynamic Analysis of Steel Infilled Frames. Int. J. Struct. Stab. Dyn. 2002, 2, 335–353. [Google Scholar] [CrossRef]
- Puppio, M.L.; Giresini, L.; Doveri, F.; Sassu, M. Structural Irregularity: The Analysis of Two Reinforced Concrete (r.c.) Buildings. Eng. Solid Mech. 2019, 7, 13–34. [Google Scholar] [CrossRef]
- O’Reilly, G.J.; Perrone, D.; Fox, M.; Monteiro, R.; Filiatrault, A. Seismic Assessment and Loss Estimation of Existing School Buildings in Italy. Eng. Struct. 2018, 168, 142–162. [Google Scholar] [CrossRef]
- Perrone, D.; O’Reilly, G.J.; Monteiro, R.; Filiatrault, A. Assessing Seismic Risk in Typical Italian School Buildings: From in-Situ Survey to Loss Estimation. Int. J. Disaster Risk Reduct. 2020, 44, 101448. [Google Scholar] [CrossRef]
- Mazzoni, S.; McKenna, F.; Fenves, G.L. Open System for Earthquake Engineering Simulation (OpenSees). Available online: https://opensees.berkeley.edu/wiki/index.php/Main_Page (accessed on 18 October 2022).
- Scott, M.H.; Fenves, G.L. Plastic Hinge Integration Methods for Force-Based Beam–Column Elements. J. Struct. Eng. 2006, 132, 244–252. [Google Scholar] [CrossRef]
- Carofilis, W.; Perrone, D.; O’Reilly, G.J.; Monteiro, R.; Filiatrault, A. Seismic Retrofit of Existing School Buildings in Italy: Performance Evaluation and Loss Estimation. Eng. Struct. 2020, 225, 111243. [Google Scholar] [CrossRef]
- O’Reilly, G.J.; Perrone, D.; Fox, M.; Monteiro, R.; Filiatrault, A.; Lanese, I.; Pavese, A. System Identification and Seismic Assessment Modeling Implications for Italian School Buildings. J. Perform. Constr. Facil. 2019, 33. [Google Scholar] [CrossRef]
- Silva, V.; Crowley, H.; Pagani, M.; Monelli, D.; Pinho, R. Development of the OpenQuake Engine, the Global Earthquake Model’s Open-Source Software for Seismic Risk Assessment. Nat. Hazards 2014, 72, 1409–1427. [Google Scholar] [CrossRef]
- Giardini, D.; Wössner, J.; Danciu, L. Mapping Europe’s Seismic Hazard. EOS 2014, 95, 261–262. [Google Scholar] [CrossRef]
- Boorea, D.; Atkinson, G. Ground-Motion Prediction Equations for the Average Horizontal Component of PGA, PGV, and 5%-Damped PSA at Spectral Periods between 0.01 s and 10.0 s. Earthq. Spectra 2008, 24, 99. [Google Scholar] [CrossRef]
- Kohrangi, M. Beyond Simple Scalar Ground Motion Intensity Measures for Seismic Risk Assessment. Ph.D. Thesis, University School for Advance Studies, IUSS Pavia, Pavia, Italy, 2015. [Google Scholar]
- Kohrangi, M.; Vamvatsikos, D.; Bazzurro, P. A Record Selection Methodology for Vulnerability Functions Consistent with Regional Seismic Hazard for Classes of Buildings. In Proceedings of the 16th World Conference on Earthquake Engineering, Santiago, Chile, 9–13 January 2017. [Google Scholar]
- Ancheta, T.D.; Darragh, R.B.; Stewart, J.P.; Seyhan, E.; Silva, W.J.; Chiou, B.S.J.; Wooddell, K.E.; Graves, R.W.; Kottke, A.R.; Boore, D.M.; et al. PEER NGA-West2 Database, Technical Report PEER 2013/03; Pacific Earthquake Engineering Research Center, University of California: Berkeley, CA, USA, 2013. [Google Scholar]
- Luzi, L.; Lanzano, G.; Felicetta, C.; D’Amico, M.C.; Russo, E.; Sgobba, S.; Pacor, F. ORFEUS Working Group 5. ESM—The Engineering Strong-Motion Database; Istituto Nazionale di Geofisica e Vulcanologia (INGV): Rome, Italy, 2020. Available online: https://data.ingv.it/it/dataset/418#additional-metadata (accessed on 18 October 2022).
- NTC-2018. Aggiornamento Delle « Norme Tecniche per Le Costruzioni»; Supplemento Ordinario n. 8 Alla Gazzetta Ufficiale Del 20-2-2018; MIT: Rome, Italy, 2018; Volume 20. (In Italian) [Google Scholar]
- Hak, S.; Morandi, P.; Magenes, G. Prediction of Inter-Storey Drifts for Regular RC Structures with Masonry Infills Based on Bare Frame Modelling. Bull. Earthq. Eng. 2018, 16, 397–425. [Google Scholar] [CrossRef]
- Calvi, G.M.; Bolognini, D. Seismic Response of Reinforced Concrete Frames Infilled with Weakly Reinforced Masonry Panels. J. Earthq. Eng. 2001, 5, 153–185. [Google Scholar] [CrossRef]
- Morandi, P.; Hak, S.; Magenes, G. Performance-Based Interpretation of in-Plane Cyclic Tests on RC Frames with Strong Masonry Infills. Eng. Struct. 2018, 156, 503–521. [Google Scholar] [CrossRef]
- Cavaleri, L.; di Trapani, F. Cyclic Response of Masonry Infilled RC Frames: Experimental Results and Simplified Modeling. Soil Dyn. Earthq. Eng. 2014, 65, 224–242. [Google Scholar] [CrossRef]
- Decanini, L.D.; Liberatore, L.; Mollaioli, F. Strength and Stiffness Reduction Factors for Infilled Frames with Openings. Earthq. Eng. Eng. Vib. 2014, 13, 437–454. [Google Scholar] [CrossRef]
- Mucedero, G.; Carofilis, W.; Perrone, D.; Monteiro, R. Impact of Masonry Infill Properties and Modelling Uncertainty on the Seismic Risk Assessment of Existing Italian School Buildings. In Proceedings of the ICOSSAR 2021–2022, 13th International Conference on Structural Safety & Reliability, Shanghai, China, 13–17 September 2022. [Google Scholar]
- Mucedero, G.; Perrone, D.; Brunesi, E.; Monteiro, R. Impact of Masonry Infill Variability on the Estimation of Floor Response Spectra in Rc Buildings. In Proceedings of the 8th International Conference on Computational Methods in Structural Dynamics and Earthquake Engineering Methods in Structural Dynamics and Earthquake Engineering, Athens, Greece, 27–30 June 2021; pp. 27–30. [Google Scholar] [CrossRef]
- Mucedero, G.; Perrone, D.; Monteiro, R. Seismic Risk Assessment of Masonry-Infilled RC Building Portfolios: Impact of Variability in the Infill Properties. Bull. Earthq. Eng. 2022. [Google Scholar] [CrossRef]
- Baker, J.W. Efficient Analytical Fragility Function Fitting Using Dynamic Structural Analysis. Earthq. Spectra 2015, 31, 579–599. [Google Scholar] [CrossRef]
- Mucedero, G.; Perrone, D.; Monteiro, R. Epistemic uncertainty impact on seismic loss estimates of an Italian RC existing school building. In Proceedings of the 3th European Conference on Earthquake Engineering & Seismology, Bucharest, Romania, 4–9 September 2022. [Google Scholar]
- Federal Emergency Management Agency (FEMA). P-58-3, Seismic Performance Assessment of Buildings: Volume 3—Performance Assessment Calculation Tool (PACT); FEMA: Washington, DC, USA, 2012. [Google Scholar]
- Cardone, D. Fragility Curves and Loss Functions for RC Structural Components with Smooth Rebars. Earthq. Struct. 2016, 10, 1181–1212. [Google Scholar] [CrossRef]
- Cardone, D.; Perrone, G. Developing Fragility Curves and Loss Functions for Masonry Infill Walls. Earthq. Struct. 2015, 9, 257–279. [Google Scholar] [CrossRef]
- Sassun, K.; Sullivan, T.J.; Morandi, P.; Cardone, D. Characterising the In-Plane Seismic Performance of Infill Masonry. Bull. New Zealand Soc. Earthq. Eng. 2016, 49, 98–115. [Google Scholar] [CrossRef]
- Braga, F.; Manfredi, V.; Masi, A.; Salvatori, A.; Vona, M. Performance of Non-Structural Elements in RC Buildings during the L’Aquila, 2009 Earthquake. Bull. Earthq. Eng. 2011, 9, 307–324. [Google Scholar] [CrossRef]
- Tsionis, G.; Bossi, A.; Pinto, A.; Marazzi, F. The L’Aquila (Italy) Earthquake of 6 April 2009: Report and Analysis from a Field Mission; Publications Office of the European Union: Luxembourg, 2011; ISBN 9789279189906.
- Ramirez, C.M.; Miranda, E. Building Specific Loss Estimation Methods & Tools for Simplified Performance Based Earthquake Engineering; Blume Report No. 171; Blume Earthquake Engineering Research Center: Stanford, CA, USA, 2009. [Google Scholar]
- Di Domenico, M.; Ricci, P.; Verderame, G.M. Floor Spectra for Bare and Infilled Reinforced Concrete Frames Designed According to Eurocodes. Earthq. Eng. Struct. Dyn. 2021, 50, 3577–3601. [Google Scholar] [CrossRef]












| Parameters | Type 1 [36] | Type 2 [35] | Type 3 [35] | Type 4 [37] | Type 5 [38] |
|---|---|---|---|---|---|
| tw | 80 | 240 | 300 | 350 | 150 |
| Ewv | 1873 | 1873 | 3240 | 5299 | 6401 |
| Ewh | 991 | 991 | 1050 | 494 | 5038 |
| Gw | 1089 | 1873 | 1296 | 2120 | 2547 |
| fwv | 2.02 | 1.5 | 3.51 | 4.64 | 8.66 |
| fwlat | 1.18 | 1.11 | 1.5 | 1.08 | 4.18 |
| fwu | 0.44 | 0.25 | 0.3 | 0.359 | 1.07 |
| Structural Typology | Infill Type | T1 [s] | T2 [s] | T3 [s] | T4 [s] |
|---|---|---|---|---|---|
| Completely Infilled | 1 | 0.644 | 0.471 | 0.388 | 0.238 |
| 2 | 0.537 | 0.378 | 0.310 | 0.197 | |
| 3 | 0.463 | 0.322 | 0.264 | 0.170 | |
| 4 | 0.325 | 0.219 | 0.173 | 0.123 | |
| 5 | 0.264 | 0.171 | 0.131 | 0.094 | |
| Partially infilled | 1 | 0.800 | 0.643 | 0.534 | 0.305 |
| 2 | 0.682 | 0.520 | 0.437 | 0.259 | |
| 3 | 0.488 | 0.343 | 0.289 | 0.184 | |
| 4 | 0.493 | 0.353 | 0.282 | 0.191 | |
| 5 | 0.399 | 0.27 | 0.212 | 0.151 | |
| Bare | - | 1.320 | 1.224 | 0.998 | 0.458 |
| Scenario | Infill Type | ϑ [g] | βRTR |
|---|---|---|---|
| Completely Infilled | 1 | 0.50 | 0.20 |
| 2 | 0.51 | 0.19 | |
| 3 | 0.60 | 0.22 | |
| 4 | 0.78 | 0.18 | |
| 5 | 0.85 | 0.17 | |
| Partially Infilled | 1 | 0.41 | 0.17 |
| 2 | 0.48 | 0.20 | |
| 3 | 0.53 | 0.22 | |
| 4 | 0.74 | 0.16 | |
| 5 | 0.71 | 0.20 | |
| Bare | - | 0.33 | 0.13 |
| List of Elements | EDP | Fragility Function | Unit | Quantities * | ||
|---|---|---|---|---|---|---|
| Ground | 1st Floor | 2nd Floor | ||||
| Structural elements | ||||||
| Exterior Beam-Column Joints | Drift [%] | Cardone [46] | each | 20 (26) | 20 (26) | 20 (26) |
| Interior Beam-Column Joints | Drift [%] | each | 23 (15) | 23 (15) | 22 (14) | |
| Non-Ductile Columns | Drift [%] | each | 44 | 44 | 44 | |
| Staircase | Drift [%] | FEMA P58-3 [3,45] | each | 1 | 1 | 1 |
| Masonry Infills and partition walls | ||||||
| Exterior masonry infill | Drift [%] | Cardone and Perrone [47] | m2 | 454.4 (2.0) | 454.4 (127.8) | 447.3 (125.8) |
| Interior masonry infill | Drift [%] | Sassun et al. [48] | m2 | 198.9 (65.9) | 198.9 (65.9) | 195.7 (64.8) |
| Interior Gypsum Partitions | Drift [%] | m2 | 317.8 (335.3) | 291.9 (243.6) | 268.1 (2 3 1) | |
| Non-structural elements | ||||||
| Doors | Drift [%] | FEMA P58-3 [3,45] | each | 18 (15) | 13 (10) | 15 (10) |
| Windows | Drift [%] | each | 23 (17) | 50 (9) | 53 (9) | |
| Desks | Drift [%] | each | 110 | 145 | 182 | |
| Chairs | Drift [%] | each | 140 | 182 | 182 | |
| Ceiling System | PFA [g] | m2 | 560 | 588 | 566 | |
| Fancoils | PFA [g] | each | 28 | 30 | 30 | |
| Lighting | PFA [g] | each | 66 | 48 | 48 | |
| Piping—Water Distribution | PFA [g] | m | 452 | 452 | 452 | |
| Piping—Heating Distribution | PFA [g] | m | 476 | 476 | 476 | |
| Bookcases | PFV [m/s] | each | 16 | 22 | 14 | |
| Mobile Blackboards | PFA [g] | each | 3 | 3 | 4 | |
| Electronic Blackboards | PFA [g] | each | 0 | 3 | 3 | |
| Computers and Printers | PFA [g] | each | 6 | 20 | 0 | |
| Projectors | PFA [g] | each | 0 | 3 | 3 | |
| Switchboards | PFA [g] | each | 1 | 3 | 3 | |
Publisher’s Note: MDPI stays neutral with regard to jurisdictional claims in published maps and institutional affiliations. |
© 2022 by the authors. Licensee MDPI, Basel, Switzerland. This article is an open access article distributed under the terms and conditions of the Creative Commons Attribution (CC BY) license (https://creativecommons.org/licenses/by/4.0/).
Share and Cite
Mucedero, G.; Perrone, D.; Monteiro, R. Infill Variability and Modelling Uncertainty Implications on the Seismic Loss Assessment of an Existing RC Italian School Building. Appl. Sci. 2022, 12, 12002. https://doi.org/10.3390/app122312002
Mucedero G, Perrone D, Monteiro R. Infill Variability and Modelling Uncertainty Implications on the Seismic Loss Assessment of an Existing RC Italian School Building. Applied Sciences. 2022; 12(23):12002. https://doi.org/10.3390/app122312002
Chicago/Turabian StyleMucedero, Gianrocco, Daniele Perrone, and Ricardo Monteiro. 2022. "Infill Variability and Modelling Uncertainty Implications on the Seismic Loss Assessment of an Existing RC Italian School Building" Applied Sciences 12, no. 23: 12002. https://doi.org/10.3390/app122312002
APA StyleMucedero, G., Perrone, D., & Monteiro, R. (2022). Infill Variability and Modelling Uncertainty Implications on the Seismic Loss Assessment of an Existing RC Italian School Building. Applied Sciences, 12(23), 12002. https://doi.org/10.3390/app122312002
