Building Networks with a New Cross-Bubble Transition Entropy for Quantitative Assessment of Mental Arithmetic Electroencephalogram
Abstract
1. Introduction
2. Materials and Methods
2.1. CPE
- For two time series with the same length and , , their state vectors and , , are obtained through the phase space reconstruction procedure using the delay parameter and the embedding dimension .
- Performing nondecreasing sort on state vector , and obtaining its position index . Rearranging the state vector with the position index as the standard, and the result is recorded as .
- Based on the principle of IOTA, the monotonicity is quantified by counting the number of intersection points of the horizontal lines which are drawn from each data point of and itself. The intersections number of the kth state vector is calculated using the following equation:
- 4.
- According to this method, all state vectors of the time series are traversed, and the number of the intersections of each state vector can be expressed as a unique integer , , is the maximum possible number of intersections. For all the possible values for the integer of intersection points in each state vectors, its probability can be obtained by
2.2. Cross-Bubble Transition Network (CBTN)
- For two equal length time series and , , their state vectors and , , are obtained through the phase space reconstruction procedure using the delay parameter and the embedding dimension . Here, following the parameter choice of bubble entropy, ;
- Performing ascending sort on the state vector , and obtaining its position index . The state vector was rearranged using the position index as a criterion and the result was recorded as , ;
- Sorting the elements in each state vector , in ascending order, and calculating the necessary number of swaps , ; this is because the number of possible swaps in bubble sort for a dimensional state vector is from 0 to ;
- Using , as network nodes, a directional weighted complex network was constructed according to the temporal adjacency relationship of and the weight of the network was the numbers of transition between nodes;
- In order to reflect the connection relationship between nodes as much as possible, the node-wise out-link transition entropy (NOTE) of the adjacency matrix was proposed to be used as an indicator parameter. The NOTE was obtained as follows.
| Algorithm 1. Cross-bubble transition entropy |
| CBTN (, , , ) // , are time series. is embedding dimensions. is delay time. 1 performing phase space reconstruction on , to get and , 2 for 3 performing ascending sort on to get its position index , 4 is rearranged according to to get , 5 sorting in ascending order by bubble method and get swaps number , . // is the maximum swaps number 6 Using as network nodes, to construct a directed weighted complex network . 7 for to // 8 , // 9 normalizing to get , // 10 . 11 for to // 12 . // is the probability distribution of . 13 return . |
3. Analysis and Results
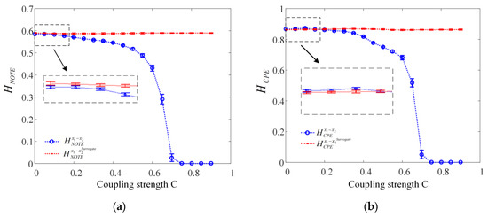
3.1. Analysis of Coupled Dynamic Model
3.2. Analysis of Realistic EEG in Mental Arithmetic Tasks
4. Discussion
5. Conclusions
Author Contributions
Funding
Institutional Review Board Statement
Informed Consent Statement
Data Availability Statement
Acknowledgments
Conflicts of Interest
References
- Sweller, J. Cognitive load during problem solving: Effects on learning. Cogn. Sci. 1988, 12, 257–285. [Google Scholar] [CrossRef]
- Schnotz, W.; Kürschner, C. A reconsideration of cognitive load theory. Educ. Psychol. Rev. 2007, 19, 469–508. [Google Scholar] [CrossRef]
- Paas, F.; Tuovinen, J.E.; Tabbers, H.; Van Gerven, P.W. Cognitive load measurement as a means to advance cognitive load theory. In Educational Psychologist; Routledge, Taylor & Francis: London, UK, 2003; pp. 63–71. [Google Scholar]
- Useche, S.A.; Cendales, B.; Gómez, V. Measuring fatigue and its associations with job stress, health and traffic accidents in professional drivers: The case of BRT operators. EC Neurol. 2017, 4, 103–118. [Google Scholar]
- Soares, S.M.; Gelmini, S.; Brandao, S.S.; Silva, J. Workplace accidents in Brazil: Analysis of physical and psychosocial stress and health-related factors. RAM Rev. Adm. Mackenzie 2018, 19. [Google Scholar] [CrossRef]
- Burgess, D.J.; Phelan, S.; Workman, M.; Hagel, E.; Nelson, D.B.; Fu, S.S.; Widome, R.; van Ryn, M. The effect of cognitive load and patient race on physicians’ decisions to prescribe opioids for chronic low back pain: A randomized trial. Pain Med. 2014, 15, 965–974. [Google Scholar] [CrossRef] [PubMed]
- Hulbert, L.E.; Moisá, S.J. Stress, immunity, and the management of calves. J. Dairy Sci. 2016, 99, 3199–3216. [Google Scholar] [CrossRef]
- Yang, B.; Wang, Y.; Cui, F.; Huang, T.; Sheng, P.; Shi, T.; Huang, C.; Lan, Y.; Huang, Y.-N. Association between insomnia and job stress: A meta-analysis. Sleep Breath. 2018, 22, 1221–1231. [Google Scholar] [CrossRef]
- Heard, J.; Harriott, C.E.; Adams, J.A. A survey of workload assessment algorithms. IEEE Trans. Hum.-Mach. Syst. 2018, 48, 434–451. [Google Scholar] [CrossRef]
- Hart, S.G.; Staveland, L.E. Development of NASA-TLX (Task Load Index): Results of empirical and theoretical research. In Advances in Psychology; Elsevier: Amsterdam, The Netherlands, 1988; Volume 52, pp. 139–183. [Google Scholar]
- Reid, G.B.; Nygren, T.E. The subjective workload assessment technique: A scaling procedure for measuring mental workload. In Advances in Psychology; Elsevier: Amsterdam, The Netherlands, 1988; Volume 52, pp. 185–218. [Google Scholar]
- Hart, S.G. NASA-task load index (NASA-TLX); 20 years later. In Proceedings of the Human Factors and Ergonomics Society Annual Meeting, Los Angeles, CA, USA, 16–20 October 2006; pp. 904–908. [Google Scholar]
- Arico, P.; Borghini, G.; Di Flumeri, G.; Sciaraffa, N.; Colosimo, A.; Babiloni, F. Passive BCI in operational environments: Insights, recent advances, and future trends. IEEE Trans. Biomed. Eng. 2017, 64, 1431–1436. [Google Scholar] [CrossRef]
- Sibi, S.; Ayaz, H.; Kuhns, D.P.; Sirkin, D.M.; Ju, W. Monitoring driver cognitive load using functional near infrared spectroscopy in partially autonomous cars. In Proceedings of the 2016 IEEE Intelligent Vehicles Symposium (IV), Gothenburg, Sweden, 19–22 June 2016; pp. 419–425. [Google Scholar]
- Kadosh, R.C.; Kadosh, K.C.; Linden, D.E.; Gevers, W.; Berger, A.; Henik, A. The brain locus of interaction between number and size: A combined functional magnetic resonance imaging and event-related potential study. J. Cogn. Neurosci. 2007, 19, 957–970. [Google Scholar] [CrossRef]
- Murugesan, S.; Bouchard, K.; Chang, E.; Dougherty, M.; Hamann, B.; Weber, G.H. Hierarchical spatio-temporal visual analysis of cluster evolution in electrocorticography data. In Proceedings of the 7th ACM International Conference on Bioinformatics, Computational Biology, and Health Informatics, Seattle, WA, USA, 2–5 October 2016; pp. 630–639. [Google Scholar]
- Antonenko, P.; Paas, F.; Grabner, R.; Van Gog, T. Using electroencephalography to measure cognitive load. Educ. Psychol. Rev. 2010, 22, 425–438. [Google Scholar] [CrossRef]
- Örün, Ö.; Akbulut, Y. Effect of multitasking, physical environment and electroencephalography use on cognitive load and retention. Comput. Hum. Behav. 2019, 92, 216–229. [Google Scholar] [CrossRef]
- Tor, H.T.; Ooi, C.P.; Lim-Ashworth, N.S.; Wei, J.K.E.; Jahmunah, V.; Oh, S.L.; Acharya, U.R.; Fung, D.S.S. Automated detection of conduct disorder and attention deficit hyperactivity disorder using decomposition and nonlinear techniques with EEG signals. Comput. Methods Programs Biomed. 2021, 200, 105941. [Google Scholar] [CrossRef] [PubMed]
- Wiersma, M. Identifying workload levels with a low-cost EEG device using an arithmetic task. In Faculty of Science and Engineering; Macquarie University: Sydney, Australia, 2016. [Google Scholar]
- Acharya, U.R.; Chua, C.K.; Lim, T.-C.; Dorithy; Suri, J.S. Automatic identification of epileptic EEG signals using nonlinear parameters. J. Mech. Med. Biol. 2009, 9, 539–553. [Google Scholar] [CrossRef]
- Salankar, N.; Qaisar, S.M.; Paweł Pławiak, P.é.; Tadeusiewicz, R.; Hammad, M. EEG based alcoholism detection by oscillatory modes decomposition second order difference plots and machine learning. Biocybern. Biomed. Eng. 2022, 42, 173–186. [Google Scholar] [CrossRef]
- Shahbakhti, M.; Beiramvand, M.; Eigirdas, T.; Solé-Casals, J.; Wierzchon, M.; Broniec-Wójcik, A.; Augustyniak, P.; Marozas, V. Discrimination of Wakefulness from Sleep Stage I Using Nonlinear Features of a Single Frontal EEG Channel. IEEE Sens. J. 2022, 22, 6975–6984. [Google Scholar] [CrossRef]
- Paul, J.K.; Iype, T.; Dileep, R.; Hagiwara, Y.; Koh, J.W.; Acharya, U.R. Characterization of fibromyalgia using sleep EEG signals with nonlinear dynamical features. Comput. Biol. Med. 2019, 111, 103331. [Google Scholar] [CrossRef]
- Varela, F.; Lachaux, J.-P.; Rodriguez, E.; Martinerie, J. The brainweb: Phase synchronization and large-scale integration. Nat. Rev. Neurosci. 2001, 2, 229–239. [Google Scholar] [CrossRef]
- Bullmore, E.; Sporns, O. Complex brain networks: Graph theoretical analysis of structural and functional systems. Nat. Rev. Neurosci. 2009, 10, 186–198. [Google Scholar] [CrossRef]
- Shang, J.; Zhang, W.; Xiong, J.; Liu, Q. Cognitive load recognition using multi-channel complex network method. In Proceedings of the International Symposium on Neural Networks, Sapporo, Hakodate, Muroran, Japan, 21–26 June 2017; pp. 466–474. [Google Scholar]
- Kakkos, I.; Dimitrakopoulos, G.N.; Gao, L.; Zhang, Y.; Qi, P.; Matsopoulos, G.K.; Thakor, N.; Bezerianos, A.; Sun, Y. Mental workload drives different reorganizations of functional cortical connectivity between 2D and 3D simulated flight experiments. IEEE Trans. Neural Syst. Rehabil. Eng. 2019, 27, 1704–1713. [Google Scholar] [CrossRef]
- Shovon, M.; Islam, H.; Nandagopal, N.; Vijayalakshmi, R.; Du, J.T.; Cocks, B. Directed connectivity analysis of functional brain networks during cognitive activity using transfer entropy. Neural Process. Lett. 2017, 45, 807–824. [Google Scholar] [CrossRef]
- Suresh, K.; Ramasamy, V.; Daniel, R.; Chandra, S. Characterizing EEG Electrodes in Directed Functional Brain Networks Using Normalized Transfer Entropy and PageRank. In Handbook of Artificial Intelligence in Healthcare; Springer: Berlin/Heidelberg, Germany, 2022; pp. 27–49. [Google Scholar]
- Wang, J.; Wang, L.; Zang, Y.; Yang, H.; Tang, H.; Gong, Q.; Chen, Z.; Zhu, C.; He, Y. Parcellation-dependent small-world brain functional networks: A resting-state fMRI study. Hum. Brain Mapp. 2009, 30, 1511–1523. [Google Scholar] [CrossRef] [PubMed]
- Steuer, R.; Kurths, K., Jr.; Daub, C.O.; Weise, J.; Selbig, J. The mutual information: Detecting and evaluating dependencies between variables. Bioinformatics 2002, 18, S231–S240. [Google Scholar] [CrossRef] [PubMed]
- Vejmelka, M.; Paluš, M. Inferring the directionality of coupling with conditional mutual information. Phys. Rev. E 2008, 77, 026214. [Google Scholar] [CrossRef]
- Schreiber, T. Measuring information transfer. Phys. Rev. Lett. 2000, 85, 461. [Google Scholar] [CrossRef]
- Hempel, S.; Koseska, A.; Kurths, K., Jr.; Nikoloski, Z. Inner composition alignment for inferring directed networks from short time series. Phys. Rev. Lett. 2011, 107, 054101. [Google Scholar] [CrossRef]
- Liu, L.-Z.; Qian, X.-Y.; Lu, H.-Y. Cross-sample entropy of foreign exchange time series. Phys. A Stat. Mech. Its Appl. 2010, 389, 4785–4792. [Google Scholar] [CrossRef]
- Shu, Y.; Zhao, J. Data-driven causal inference based on a modified transfer entropy. Comput. Chem. Eng. 2013, 57, 173–180. [Google Scholar] [CrossRef]
- Kiwata, H. Relationship between Schreiber’s transfer entropy and Liang-Kleeman information flow from the perspective of stochastic thermodynamics. Phys. Rev. E 2022, 105, 044130. [Google Scholar] [CrossRef]
- Shi, W.; Shang, P.; Lin, A. The coupling analysis of stock market indices based on cross-permutation entropy. Nonlinear Dyn. 2015, 79, 2439–2447. [Google Scholar] [CrossRef]
- Manis, G.; Aktaruzzaman, M.D.; Sassi, R. Bubble Entropy: An Entropy almost Free of Parameters. IEEE Trans. Bio-Med. Eng. 2017, 64, 2711–2718. [Google Scholar]
- Zyma, I.; Tukaev, S.; Seleznov, I.; Kiyono, K.; Popov, A.; Chernykh, M.; Shpenkov, O. Electroencephalograms during mental arithmetic task performance. Data 2019, 4, 14. [Google Scholar] [CrossRef]
- Yu, J.; Pan, Y.; Ang, K.K.; Guan, C.; Leamy, D.J. Prefrontal cortical activation during arithmetic processing differentiated by cultures: A preliminary fNIRS study. In Proceedings of the 2012 Annual International Conference of the IEEE Engineering in Medicine and Biology Society, San Diego, CA, USA, 28 August–1 September 2012; pp. 4716–4719. [Google Scholar]
- Menon, V.; Mackenzie, K.; Rivera, S.M.; Reiss, A.L. Prefrontal cortex involvement in processing incorrect arithmetic equations: Evidence from event-related fMRI. Hum. Brain Mapp. 2002, 16, 119–130. [Google Scholar] [CrossRef] [PubMed]
- Shahbakhti, M.; Beiramvand, M.; Rejer, I.; Augustyniak, P.; Broniec-Wojcik, A.; Wierzchon, M.; Marozas, V. Simultaneous eye blink characterization and elimination from low-channel prefrontal EEG signals enhances driver drowsiness detection. IEEE J. Biomed. Health Inform. 2021, 26, 1001–1012. [Google Scholar] [CrossRef]






| CBTN | CPE | |||
|---|---|---|---|---|
| ACE | GNE | ACE | GNE | |
| Subject 0 | 0 | 0 | 0 | 0 |
| Subject 1 | 0 | 0 | 0 | 0 |
| Subject 2 | 0.004 | 0.001 | 0 | 0 |
| Subject 3 | 0 | 0 | 0 | 0 |
| Subject 4 | 0.973 | 0.540 | 0.665 | 0 |
| Subject 5 | 0 | 0 | 0.518 | 0.342 |
| Subject 6 | 0 | 0 | 0 | 0 |
| Subject 7 | 0 | 0 | 0 | 0 |
| Subject 8 | 0 | 0 | 0 | 0 |
| Subject 9 | 0 | 0 | 0 | 0 |
| Subject 10 | 0 | 0 | 0 | 0 |
| Subject 11 | 0 | 0 | 0 | 0 |
| Subject 12 | 0.005 | 0.018 | 0 | 0 |
| Subject 13 | 0 | 0 | 0 | 0 |
| Subject 14 | 0.646 | 0.832 | 0 | 0.018 |
| Subject 15 | 0 | 0 | 0 | 0 |
| Subject 16 | 0 | 0 | 0 | 0 |
| Subject 17 | 0.125 | 0.158 | 0.398 | 0.035 |
| Subject 18 | 0 | 0 | 0 | 0 |
| Subject 19 | 0 | 0 | 0 | 0 |
| Subject 20 | 0 | 0 | 0 | 0 |
| Subject 21 | 0 | 0 | 0 | 0 |
| Subject 22 | 0 | 0 | 0.001 | 0.021 |
| Subject 23 | 0 | 0 | 0.186 | 0.680 |
| Subject 24 | 0 | 0 | 0.005 | 0.004 |
| Subject 25 | 0.011 | 0.007 | 0.483 | 0.603 |
| Subject 26 | 0 | 0 | 0.049 | 0.08 |
| Subject 27 | 0 | 0 | 0 | 0 |
| Subject 28 | 0 | 0 | 0 | 0 |
| Subject 29 | 0 | 0 | 0 | 0 |
| Subject 30 | 0 | 0 | 0 | 0 |
| Subject 32 | 0 | 0 | 0.591 | 0.895 |
| Subject 33 | 0 | 0 | 0 | 0 |
| Subject 34 | 0 | 0 | 0 | 0 |
| Subject 35 | 0 | 0 | 0 | 0 |
Publisher’s Note: MDPI stays neutral with regard to jurisdictional claims in published maps and institutional affiliations. |
© 2022 by the authors. Licensee MDPI, Basel, Switzerland. This article is an open access article distributed under the terms and conditions of the Creative Commons Attribution (CC BY) license (https://creativecommons.org/licenses/by/4.0/).
Share and Cite
Chen, X.; Xu, G.; Zhang, S.; Zhang, X.; Teng, Z. Building Networks with a New Cross-Bubble Transition Entropy for Quantitative Assessment of Mental Arithmetic Electroencephalogram. Appl. Sci. 2022, 12, 11165. https://doi.org/10.3390/app122111165
Chen X, Xu G, Zhang S, Zhang X, Teng Z. Building Networks with a New Cross-Bubble Transition Entropy for Quantitative Assessment of Mental Arithmetic Electroencephalogram. Applied Sciences. 2022; 12(21):11165. https://doi.org/10.3390/app122111165
Chicago/Turabian StyleChen, Xiaobi, Guanghua Xu, Sicong Zhang, Xun Zhang, and Zhicheng Teng. 2022. "Building Networks with a New Cross-Bubble Transition Entropy for Quantitative Assessment of Mental Arithmetic Electroencephalogram" Applied Sciences 12, no. 21: 11165. https://doi.org/10.3390/app122111165
APA StyleChen, X., Xu, G., Zhang, S., Zhang, X., & Teng, Z. (2022). Building Networks with a New Cross-Bubble Transition Entropy for Quantitative Assessment of Mental Arithmetic Electroencephalogram. Applied Sciences, 12(21), 11165. https://doi.org/10.3390/app122111165

