Abstract
A theoretical and experimental study on the stimulated Brillouin scattering (SBS) threshold for optical pulse in the presence of modulation instability (MI) in long optical fiber is presented. The effects of MI on the SBS gain and threshold are analyzed based on the coupled-wave equation. An analytic expression is obtained to calculate the SBS threshold in the presence of MI. Numerical simulation is conducted to study the effects of the repetition rate and amplified spontaneous emission (ASE) noise on the SBS threshold for optical pulses. An experiment is conducted, and the results agree well with the theoretical analysis. The results clearly reveal how MI affects the Brillouin gain and SBS threshold of optical pulses in long optical fiber. The SBS threshold is affected by the ASE noise level and the repetition rate of the optical pulse. The study is helpful for the power evaluation of interferometric fiber sensing systems and optical power transmission systems.
1. Introduction
Stimulated Brillouin scattering (SBS) is a nonlinear effect that initiates from the nonlinear interaction between the optical field and acoustic field. In recent decades, SBS has drawn extensive attention due to its wide applications and significant effects on various optical fiber-based systems [,]. Among the various parameters that describe SBS, threshold is the most important. When the input power exceeds the SBS threshold, large amounts of forward transmission power convert to the backscattering Stokes light []. Simultaneously, the systems suffer from serious noise increases []. Consequently, SBS threshold is the maximum input power allowed in many optical fiber-based systems. Many researchers studied the SBS threshold in various optical fiber systems [,,,]. For continuous single-frequency light, the SBS threshold can be calculated simply by the famous equation , in which is the effective mode area, is the Brillouin gain factor and is the effective length []. However, optical pulse, rather than the continuous light, is more widely used in practical systems. To determine the SBS threshold in pulsed systems, a concept of effective interaction length was proposed to determine the SBS threshold for optical pulses [,]. The effective interaction length indicates that the SBS threshold is mainly determined by the average threshold and keeps almost constant whatever the repetition rate is.
However, the situation changes when other nonlinear effects occur simultaneously with SBS. Modulation instability (MI) is another important nonlinear effect in optical fiber, which results from the combined interaction of Kerr effect and group velocity dispersion. When MI and SBS occur simultaneously, the effect of MI on Brillouin scattering must be taken into account. Some researchers have studied the effect of MI on Brillouin scattering in Brillouin-based optical fiber systems. Yunhui Zhu et al. found that the dominance of MI suppresses SBS gain in SBS-based broadband slow light systems in an experiment, but no detailed theoretical analysis was presented []. A few groups studied the effect of MI on Brillouin-based distributed fiber sensors, and the results show MI severely limits the sensing range and degrades performance [,,,]. However, most of the work was conducted experimentally; only a few simulation results were reported. In a typical remote interferometric fiber sensing system, the fiber length in the system can be tens or hundreds of kilometers. In addition, the typical optical pulse has a duration of hundreds of nanoseconds and a repetition rate of tens to hundreds of kilohertz []. The remote interferometric fiber sensing system offers a specific platform in which various nonlinear effects occur simultaneously. For SBS, the threshold in the remote interferometric fiber sensing system cannot be simply determined by the method proposed in references [,] for the simultaneous occurrence of other nonlinear effects. In our previous work [], a complicated competition among SBS, modulation instability (MI) and stimulated Raman scattering (SRS) was observed in an experiment. The results indicate that rich physical mechanisms exist behind the complicated competition, which deserves careful research. In reference [], an important phenomenon is that the SBS threshold increases for the occurrence of MI. However, as far as we know, no detailed theoretical study has been demonstrated to reveal the physical mechanisms.
In this paper, we study the effect of MI on SBS threshold in long optical fiber both in theory and experiment. The Brillouin process is analyzed based on the coupled-wave equation. The results show that MI converts the Brillouin pump to symmetric sidebands, which leads to the Brillouin gain decreasing and SBS threshold increasing significantly. The effects of the pulse repetition rate and the ASE noise level on the SBS threshold are analyzed via numerical simulation. An experiment is conducted to verify the theoretical analysis.
2. The Coupled-Wave Equation for the Brillouin Process
The Brillouin scattering process can be expressed by the coupled-wave equation as Equations (1)–(3), in which dispersion, self-phase modulation (SPM) and cross-phase modulation (XPM) are considered [].
where , and represent the amplitudes of the SBS pump wave, Stokes wave and acoustic wave, respectively. is the nonlinear parameter, is the group velocity dispersion parameter, is the linear loss parameter of the optical fiber, and are coupling parameters, is the acoustic damping ratio, is the Brillouin frequency shift and is the frequency deviation between pump and stokes wave.
For an interferometric fiber sensing system, the pulse duration is typically hundreds of nanoseconds, so the optical pulse is in the quasi-continuous regime. In addition, the paper focuses on the effect of MI on the SBS threshold, so we mainly consider the Brillouin scattering process when the input power is below SBS threshold. Under these conditions, the Stokes light is so weak that the pump depletion induced by Brillouin scattering can be neglected. The effects of SPM and XPM on the Stokes wave are also negligible. Finally, the Brillouin process can be expressed as Equations (4) and (5).
in which , and are the powers of the Brillouin–Stokes light and the pump light, respectively. It can be seen that Equation (4) is the typical nonlinear Schrödinger equation (NLSE), which is widely used to express the evolution of MI in optical fiber. Equation (5) is the typical equation describing the intensity evolution of the Brillouin–Stokes light. Utilizing the two equations, we can describe the effect of MI on the SBS threshold for optical pulse in long optical fiber. In the following sections, we first analyze the evolution of MI and its effect on the Brillouin pump wave. Then, we describe the Brillouin process for optical pulses. By considering the MI, we obtain an analytic expression for the SBS threshold of optical pulses in long optical fiber.
3. The Evolution of MI in Long Optical Fiber
The split-step Fourier method is adopted to simulate the evolution of MI in 50 km standard single-mode fiber. The ratio of the power at the central frequency versus the total transmission power (R) is studied by simulating the NLSE. The parameters are set as , and . The ASE noise is set as . The pulse duration is set as 200 ns, and the repetition rates range from tens to hundreds of kHz which presents typical parameters of the optical pulses in remote interferometric fiber sensing systems.
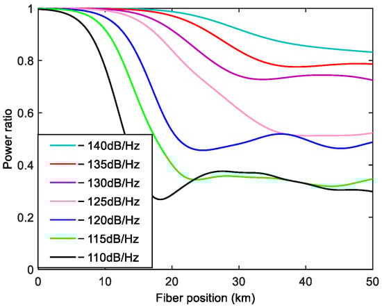
The evolution of R along the transmission distance with different input power is shown in Figure 1. When the input power is lower than the MI threshold (the MI threshold is about 200 mW), almost all transmission power remains at the central frequency along the optical fiber. When the input power exceeds the MI threshold, MI occurs and transmission power gradually converts from the central frequency to MI sidebands (300 mW). It can be seen that the power remaining at the central frequency gradually decreases with the increase in input power. When input power further increases, an oscillation evolution with distance can be observed. We also simulate the evolution of R along the optical fiber with different ASE noise levels at an input power of 300 mW. The results are shown in Figure 2. We can see that higher ASE noise level leads to more serious pump power depletion. Notably, we notice that significant oscillation styles are shown in both Figure 1 and Figure 2, which is related to the famous Fermi–Pasta–Ulam (FPU) recurrence in optical fiber []. It can be seen that the oscillation gets more and more drastic with the increase in the input power and ASE noise level. In addition, the oscillation is very drastic at the front end of the fiber. As the light further propagates, the oscillation becomes increasingly gentle. Apparently, MI seriously depletes the power remaining at the central frequency. Considering that the SBS threshold in the presence of MI is mainly determined by the power remaining at the central frequency, the pump depletion induced by MI decreases the interaction between the Brillouin pump and Stokes waves.

Figure 1.
The relationship of R versus the transmission distance with different input powers.

Figure 2.
The relationship of R versus the transmission distance with different ASE noise levels.
4. The Interaction Process between the Brillouin Pump and Stokes Waves for Optical Pulses
By solving Equation (4), the average Stokes power is obtained in the following equation:
in which T is the period of the optical pulses and L is the fiber length. The solution of Equation (6) presents the average Stokes power for optical pulse. The average Brillouin gain can be defined as:
For continuous light, the Brillouin gain is expressed as:
For periodic square optical pulses, which are widely used in a remote interferometric fiber sensing system:
in which is the pulse duration and n represents the refractive index. In the Brillouin scattering process, the interaction between the pump and backscattering Stokes waves determines the Brillouin gain. As shown in Figure 3, the backward Stokes light that initiates at the end of the optical fiber reaches the forepart of the fiber in . The Stokes light can be amplified when overlapping with the repeated optical pulses. So only the pump light within the range of 2L can interact with the Stokes light that initiates at the end. When MI is not considered and the pump depletion induced by Brillouin scattering is neglected, the input light experiences linear loss in the optical fiber. The average Brillouin gain can be obtained by averaging the integration within the whole optical fiber in a whole pulse period, so the average Brillouin gain for optical pulses can be expressed as:

Figure 3.
Schematic of the interaction between Brillouin pump and Stokes waves for optical pulse in optical fiber.
Taking as the criterion of the SBS threshold, the SBS threshold can be calculated as [].
Without considering MI, the SBS thresholds with different repetition rates are the same as shown in Figure 4. The result is in agreement with the existing Brillouin threshold theory [] but in contradiction with our previous experimental results [].

Figure 4.
The simulation result of the SBS threshold with different repetition rates.
5. The SBS Threshold for Optical Pulses with MI Considered
Taking the MI induced pump depletion into account, the Brillouin gain is updated as:
Based on the updated Brillouin gain Equation (11), we simulate G versus the average power with different repetition rates. The result is shown in Figure 5. We define G = 21 (the dashed line in Figure 5) as the criterion of SBS threshold. Without considering MI (red dashed line), the Brillouin gain increases linearly with the average input power (assuming the Brillouin gain is linear), so the input power when G = 21 (SBS threshold) is unchanged with various repetition rates. However, the results change when MI is considered. It is found that the slope of the Brillouin gain versus the input power decreases as the input power increases, for the occurrence of MI. As a result, the input power at which G = 21 increases when the repetition rate is lower than a certain value (100 kHz), which agrees with the experimental results in reference [].

Figure 5.
The Brillouin gain versus the average input power with different repetition rates.
To fully present the effect of MI on the SBS threshold, we calculate the average SBS threshold with different repetition rates and ASE noise levels. The peak SBS threshold can be calculated by the duty ratio of the optical pulses. The results are shown in Figure 6. When the repetition rates are higher than 200 kHz, the SBS threshold remains unchanged at about 4.2 mW, which is equal to the SBS threshold for continuous light. When the repetition rate decreases to 100 kHz, the SBS threshold remains constant when the ASE noise is lower than −125 dB/Hz and increases with the ASE noise level when the ASE noise level is higher than −120 dB/Hz. With the further decrease in the repetition rate, the ASE noise level at which SBS threshold starts increasing gradually decreases. The SBS threshold with the same ASE noise level increases.

Figure 6.
The evolution of the theoretical average SBS threshold versus ASE noise levels with different repetition rates. The pulse duration of the optical pulses is 200 ns.
The mechanism by which MI affects the SBS threshold comes from the response mechanism difference between SBS and MI. The Brillouin scattering is a backward amplified process along the whole fiber, so the Brillouin gain mainly responds to the average input power within the optical fiber. While MI is a nonlinear effect that occurs in the forward transmission direction, the response time is at the order of ~ps, so MI mainly responds to the peak power of the input light. In 50 km optical fiber, the SBS threshold is about 4.2 mW on average, while the MI threshold is about 150~200 mW at its peak. For continuous light, SBS occurs when the input average power is above 4.2 mW. The corresponding peak power is also 4.2 mW, which is much lower than the MI threshold. Therefore, the SBS threshold of continuous light is not affected by MI. For an optical pulse with the same average power, the lower repetition rates correspond to higher peak powers. When the repetition rate is lower than a certain value, the peak power of the input power reaches MI threshold before the average power reaches the SBS threshold of continuous light. Under these conditions, the occurrence of MI induces Brillouin pump depletion by converting the pump power to MI sidebands. So, the Brillouin gain accumulated along the optical fiber decreases correspondingly. As a result, the SBS threshold increases. In addition, Figure 6 shows that the SBS threshold increases with the ASE noise level. This is because that higher ASE noise level leads to higher pump depletion induced by MI. Therefore, the Brillouin gain decreases and the SBS threshold increases correspondingly.
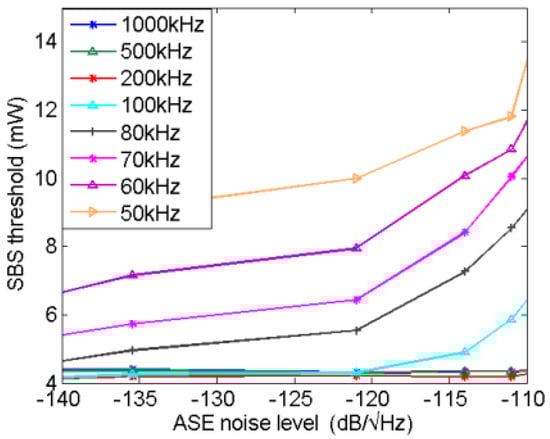
To verify the results of this theoretical analysis, we conducted an experiment to measure the SBS threshold with different repetition rates and ASE noise levels. The experimental setup is shown in Figure 7, and is similar to the one in our previous paper []. The difference is that an ASE source is added to adjust the ASE noise level of the input light. The optical pulse used in the experiment has rectangular envelope. The duration of the pulse is 200 ns. The rising and falling times are both less than 10 ns, so the effect of the edge of the pulse can be ignored. The repetition rates of the optical pulses increase from 50 kHz to 1000 kHz. The SBS threshold is defined as the input power at which the Brillouin–Stokes power is equal to the Rayleigh scattering power []. This is a lower criterion than the traditional 1% criterion [], which is aimed at avoiding the effect of the pump depletion induced by Brillouin scattering. The measured SBS thresholds are shown in Figure 8. It is clearly shown that the SBS threshold remains constant with the different repetition rates and ASE noise levels when the repetition rate is higher than 200 kHz. Under these conditions, the average SBS threshold is about 4.2 mW, and the corresponding peak powers are lower than 100 mW with different repetition rates. Therefore, MI cannot occur at this power level, and SBS threshold is not affected by MI. When the repetition rate is 100 kHz, the SBS threshold at first keeps constant and then increases with the ASE noise level. When the repetition rate further decreases, the pump depletion induced by MI gets more serious, so the SBS threshold further increases. The experimental results shown in Figure 7 present the same tendency as the theoretical results in Figure 6. The deviation is attributed to the inaccuracy of the parameters and the nonideal experimental conditions.

Figure 7.
The experimental setup to measure SBS threshold with different repetition rates and ASE noise levels.

Figure 8.
The evolution of the experimental average SBS threshold versus ASE noise levels with different repetition rates. The pulse duration of the optical pulses is 200 ns.
6. Conclusions
In conclusion, we present a theoretical and experimental study on the SBS threshold for optical pulse in the presence of MI in long optical fiber. The effect of MI on the SBS gain and threshold is analyzed based on the coupled-wave equation. An analytic expression is obtained to calculate the SBS threshold in presence of MI. The model explains the mechanism of how MI affects the SBS threshold for optical pulse. The effects of repetition rate and ASE noise level on the SBS threshold are analyzed. The theory is confirmed by experimental results. The study can be helpful to the design of interferometric fiber sensing systems and optical power transmission systems. Though the paper focuses on how SBS initiates from noise, the results can also offer guidance to the design of systems that utilize SBS with a seed, such as slow light system and Brillouin optical time domain analyzer.
Author Contributions
Conceptualization, X.H.; methodology, X.H.; software, X.H. and Y.L.; validation, X.H. and Q.H.; format analysis, X. H; investigation, X.H., Q.H.; resource, X.H.; data curation, X.H.; writing—original draft preparation, X.H; writing—review and editing, X.H.; supervision, Z.M.; project administration, X.H. and Y.L.; funding acquisition, X.H and Z.M. All authors have read and agreed to the published version of the manuscript.
Funding
The research was funded by the National Natural Science Foundation of China (No. 12204542) and the Science project of National University of Defense Technology (No. ZK19-08).
Institutional Review Board Statement
Not applicable.
Informed Consent Statement
Not applicable.
Data Availability Statement
Further data are available from the corresponding author upon reasonable request.
Acknowledgments
The authors would like to acknowledge the support of the National Natural Science Foundation of China (No. 12204542) and the Science project of National University of Defense Technology (No. ZK19-08).
Conflicts of Interest
The authors declare no conflict of interest.
References
- Kobyakov, A.; Sauer, M.; Chowdhury, D. Stimulated Brillouin scattering in optical fibers. Adv. Opt. Photon. 2010, 2, 1–59. [Google Scholar] [CrossRef]
- Garmire, E. Perspectives on stimulated Brillouin scattering. New J. Phys. 2017, 19, 011003. [Google Scholar] [CrossRef]
- Ippen, E.; Stolen, R. Stimulated Brillouin scattering in optical fibers. Appl. Phys. Lett. 1972, 21, 539–541. [Google Scholar] [CrossRef]
- Chen, W.; Meng, Z. Intensity and phase noise caused by stimulated Brillouin scattering. In Proceedings of the 21st International Conference on Optical Fiber Sensors, Ottawa, ON, Canada, 15–19 May 2011; p. 77532G. [Google Scholar]
- Smith, R.G. Optical power handling capacity of low loss optical fibers as determined by stimulated Raman and Brillouin scattering. Appl. Opt. 1972, 11, 2489–2494. [Google Scholar] [CrossRef] [PubMed]
- le Floch, S.; Cambon, P. Theoretical evaluation of the Brillouin threshold and the steady-state Brillouin equations in standard single-mode optical fibers. JOSA A 2003, 20, 1132–1137. [Google Scholar] [CrossRef] [PubMed]
- Shimizu, T.; Nakajima, K.; Shiraki, K.; Ieda, K.; Sankawa, I. Evaluation methods and requirements for the stimulated Brillouin scattering threshold in a single-mode fiber. Opt. Fiber Tech. 2008, 14, 10–15. [Google Scholar] [CrossRef]
- Agrawal, G.P. Nonlinear Fiber Optics; Publishing House of Electronics Industry: Beijing, China, 2002. [Google Scholar]
- Zhou, P.; Su, R.; Wang, X.; Lv, H.; Xu, X. Proposal of interaction length for stimulated Brillouin scattrering threshold of nanosecond laser in optical fiber. Opt. Laser Tech. 2014, 57, 1–4. [Google Scholar]
- Keaton, G.L.; Leonardo, M.J.; Byer, M.W.; Richard, D.J. Stimulated Brillouin scattering of pulses in optical fibers. Opt. Express 2014, 22, 13351. [Google Scholar] [CrossRef]
- Zhu, E.C.-G.Y.; Calderon, O.G.; Melle, S. Competition between the modulation instability and stimulated Brillouin scattering in a broadband slow light device. J. Opt. 2010, 12, 654–659. [Google Scholar] [CrossRef]
- Alahbabi, M.N.; Cho, Y.T.; Newson, T.P.; Wait, P.C.; Hartog, A.H. Influence of modulation instability on distributed optical fiber sensors based on spontaneous Brillouin scattering. JOSA B 2004, 21, 1156–1160. [Google Scholar] [CrossRef]
- Alasia, D.; Herraez, M.G.; Abrardi, L.; Martin-Lopez, S.; Thevenaz, L. Detrimental effect of modulation instability on distributed optical fiber sensors using stimulated Brillouin scattering. In Proceedings of the 17th International Conference on Optical Fiber Sensors, Bruges, Belgium, 23–27 May 2005; pp. 587–590. [Google Scholar]
- Foaleng, S.M.; Thévenaz, L. Impact of Raman scattering and modulation instability on the performances of Brillouin sensors. In Proceedings of the 21st International Conference on Optical Fiber Sensors, Ottawa, ON, Canada, 15–19 May 2011; Volume 7753, p. 77539V-4. [Google Scholar]
- Alem, M.; Soto, M.A.; Thevenaz, L. Modelling the depletion length induced by modulation instability in distributed optical fiber sensors. In Proceedings of the 23rd International Conference on Optical Fibre Sensors, Santander, Spain, 2 June 2014; Volume 9157, pp. 555–570. [Google Scholar]
- Cao, C.; Hu, Z.; Xiong, S.; Hu, Y. Transmission-link-induced intensity and phase noise in a 400-km interrogated fiber-optics hydrophone system using a phase-generated carrier scheme. Opt. Eng. 2013, 52, 096101. [Google Scholar] [CrossRef]
- Hu, X.; Chen, W.; Chen, M.; Meng, Z. Experimental observation of the competition between stimulated Brillouin scattering, modulation instability and stimulated Raman scattering in long single mode fiber. J. Opt. 2016, 18, 085501. [Google Scholar] [CrossRef]
- Van, S.G.; Emplit, P.; Haelterman, M. Experimental demonstration of the Fermi-Pasta-Ulam recurrence in a modulationally unstable optical wave. Phys. Rev. Lett. 2001, 87, 033902. [Google Scholar]
- Sanchez-Lara, R.; Alvarez-Chavez, J.A.; Mendez-Martinez, F.; De La Cruz-May, L.; Perez-Sanchez, G.G. Threshold and maximum power evolution of stimulated Brillouin scattering and Rayleigh backscattering in a single mode fiber segment. Laser Phys. 2015, 25, 035103. [Google Scholar] [CrossRef]
- Kovalev, V.I.; Harrison, R.G. Threshold for stimulated Brillouin scattering in optical fiber. Opt. Express 2007, 15, 17625–17630. [Google Scholar] [CrossRef] [PubMed]
Publisher’s Note: MDPI stays neutral with regard to jurisdictional claims in published maps and institutional affiliations. |
© 2022 by the authors. Licensee MDPI, Basel, Switzerland. This article is an open access article distributed under the terms and conditions of the Creative Commons Attribution (CC BY) license (https://creativecommons.org/licenses/by/4.0/).