Cooperative Control of Interconnected Air Suspension Based on Model Predictive Control
Abstract
:1. Introduction
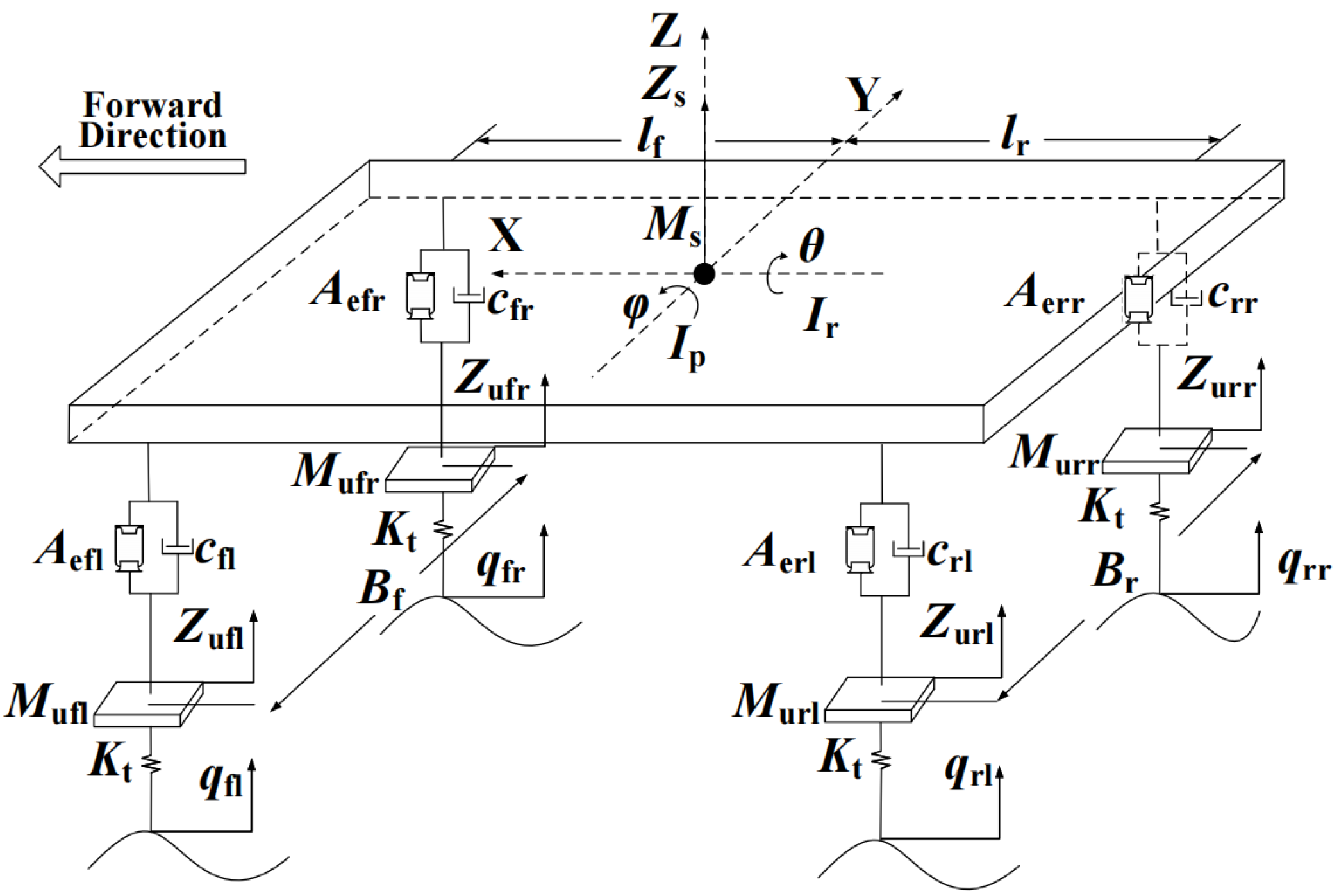
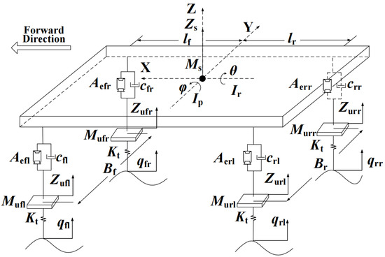
2. The Modeling of the System
2.1. Interconnected Air Suspension Development
2.2. Full-Vehicle Vertical Model
3. Cooperative Control Design Based on MPC
3.1. MPC Controller Design
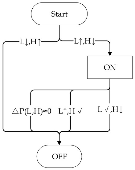
3.2. Rule of Best Suspension Force Distribution for IMA and OMA
| Algorithm 1. Procedure for best suspension force distribution with minimal energy consumption. |
|
| Return FI, FO |
4. Simulation Analysis
5. Vehicle Test
6. Conclusions
- A model predictive controller is designed to obtain best suspension force. Simultaneously, the rule is defined to distribute the best suspension force between IMA and OMA.
- The simulation results show that the indexes of ride comfort including sprung mass acceleration and tire dynamic load in the cooperative controller are significantly improved compared with non-cooperative controller under different road levels.
- The vehicle on-road test verified that the designed cooperative controller improved the ride comfort, especially, the RMS of the sprung mass acceleration of cooperative control reduced by 24.2% compared with the traditional control (0.4661 m/s2 and 0.7086 m/s2, respectively), and the RMS of the unsprung mass acceleration reduced by 14.5% (1.8928 m/s2 and 2.2127 m/s2, respectively) under the straight working condition. Under the bump condition, the RMS of the sprung (unsprung) mass acceleration are 1.1694 m/s2 (3.9133 m/s2) and 1.4311 m/s2 (4.6275 m/s2), respectively, in the cooperative controller and traditional controller. The indexes reduced by 22.38% and 15.43%, respectively. The experimental results show that the proposed control strategy not only makes the IMA and OMA work effectively, but also the ride comfort under different working conditions has significantly improved.
Author Contributions
Funding
Institutional Review Board Statement
Informed Consent Statement
Data Availability Statement
Conflicts of Interest
References
- Li, G.; Ruan, Z.Y.; Gu, R.H.; Hu, G.L. Fuzzy sliding mode control of vehicle magnetorheological semi-active air suspension. Appl. Sci. 2021, 11, 10925. [Google Scholar] [CrossRef]
- Qi, H.M.; Chen, Y.C.; Zhang, N.; Zhang, B.J.; Wang, D.; Tan, B. Improvement of both handling stability and ride comfort of a vehicle via coupled hydraulically interconnected suspension and electronic controlled air spring. Proc. Inst. Mech. Eng. Part D J. Automob. Proc. 2020, 234, 552–571. [Google Scholar] [CrossRef]
- Löcken, F.; Welsch, M. The dynamic characteristic and hysteresis effect of an air spring. Int. J. Appl. Mech. Eng. 2015, 20, 127–145. [Google Scholar] [CrossRef]
- Stone, E.J.; Cebon, D. An experimental semi-active anti-roll system. Proc. Inst. Mech. Eng. Part D J. Automob. Proc. 2008, 222, 2415–2433. [Google Scholar] [CrossRef]
- Kat, C.J.; Els, P.S. Interconnected air spring model. Math. Comput. Model., Dyn. Syst. 2009, 15, 353–370. [Google Scholar] [CrossRef]
- Li, Z.X.; Ju, L.Y.; Jiang, H.; Xu, X.; Li, M. Experimental and simulation study on the vibration isolation and torsion elimination performances of interconnected air suspensions. Proc. Inst. Mech. Eng. Part D J. Automob. Proc. 2016, 230, 679–691. [Google Scholar] [CrossRef]
- Chiang, H.H.; Lee, L.W. Optimized virtual model reference control for ride and handling performance-oriented semiactive suspension systems. IEEE Trans. Veh. Technol. 2015, 64, 1679–1690. [Google Scholar] [CrossRef]
- Gokul, P.S.; Malar, M.K. A contemporary adaptive air suspension using LQR control for passenger vehicles. ISA Trans. 2019, 93, 244–254. [Google Scholar]
- Sun, L.Q.; Lin, Y.; Geng, G.Q.; Li, Z.X.; Jiang, H.B. Research on switching interconnection modes and game control of interconnected air suspension. Energies 2019, 12, 3218. [Google Scholar] [CrossRef]
- Nazemian, H.; Masih-Tehrani, M. Development of an optimized game controller for energy saving in a novel interconnected air suspension system. Proc. Inst. Mech. Eng. Part D J. Automob. Proc. 2020, 234, 3068–3080. [Google Scholar] [CrossRef]
- Cao, K.; Li, Z.Q.; Gu, Y.L.; Zhang, L.Y.; Chen, L.Q. The control design of transverse interconnected electronic control air suspension based on seeker optimization algorithm. Proc. Inst. Mech. Eng. Part D J. Automob. Proc. 2021, 235, 2200–2211. [Google Scholar] [CrossRef]
- Durmaz, B.E.; Kaçmaz, B.; Mutlu, İ.; Söylemez, M.T. Implementation and comparison of LQR-MPC on active suspension system. In Proceedings of the 2017 10th International Conference on Electrical and Electronics Engineering (ELECO), Bursa, Turkey, 30 November 2017. [Google Scholar]
- Rodriguez-Guevara, D.; Favela-Contreras, A.; Beltran-Carbajal, F.; Sotelo, D.; Sotelo, C. Active suspension control using an MPC-LQR-LPV controller with attraction sets and quadratic stability conditions. Mathematics 2021, 9, 2533. [Google Scholar] [CrossRef]
- He, H.W.; Han, M.; Liu, W.; Cao, J.F.; Zhou, N. MPC-based longitudinal control strategy considering energy consumption for a dual-motor electric vehicle. Energy 2022, 253, 124004. [Google Scholar] [CrossRef]
- He, P.; Wen, J.; Stojanovic, V.; Liu, F.; Luan, X.L. Finite-time control of discrete-time semi-Markov jump linear systems: A self-triggered MPC approach. J. Franklin Inst. 2022, 359, 6939–6957. [Google Scholar] [CrossRef]
- Nguyen, M.Q.; Canale, M.; Sename, O.; Dugard, L. A Model Predictive Control approach for semi-active suspension control problem of a full car. In Proceedings of the 2016 IEEE 55th conference on decision and control (CDC), Las Vegas, NV, USA, 12–14 December 2016. [Google Scholar]
- Hu, Y.; Chen, M.Z.Q.; Hou, Z.S. Multiplexed model predictive control for active vehicle suspensions. Int. J. Control 2015, 88, 347–363. [Google Scholar] [CrossRef]
- Yang, L.; Wang, R.C.; Ding, R.K.; Liu, W.; Zhu, Z.H. Investigation on the dynamic performance of a new semi-active hydro-pneumatic inerter-based suspension system with MPC control strategy. Mech. Syst. Signal. Processing 2021, 154, 107569. [Google Scholar] [CrossRef]
- Zhu, H.J.; Yang, J.; Zhang, Y.Q. Modeling and optimization for pneumatically pitch-interconnected suspensions of a vehicle. J. Sound Vib. 2018, 432, 290–309. [Google Scholar] [CrossRef]
- Li, Z.X.; Ju, L.Y.; Jiang, H.; Xu, X. Imitated skyhook control of a vehicle laterally interconnected air suspension. Int. J. Veh. Des. 2017, 74, 204–230. [Google Scholar] [CrossRef]
- Wu, H.; Zheng, L.; Li, Y.; Zhang, Z.; Yu, Y. Robust control for active suspension of hub-driven electric vehicles subject to in-wheel motor magnetic force oscillation. Appl. Sci. 2020, 10, 3929. [Google Scholar] [CrossRef]
- ISO 2631-1:1997; Mechanical Vibration Shock-Evaluation of Human Exposure to Whole-Body Vibration. ISO: Geneva, Switzerland, 1997.
- Yang, Z.Y.; Yan, Z.D.; Lu, Y.F.; Wang, W.L.; Yu, L.D.; Geng, Y.F. Double DOF strategy for continuous-wave pulse generator based on extended Kalman filter and adaptive linear active disturbance rejection control. IEEE Trans. Power Electron. 2022, 37, 1382–1393. [Google Scholar] [CrossRef]











| Parameter | Value | Parameter | Value |
|---|---|---|---|
| Ms (kg) | 4500 | lr (mm) | 1270 |
| Mufl, Mufr (kg) | 300 | Kt (kN/m) | 210 |
| Murl, Murr (kg) | 500 | Bf (mm) | 1665 |
| Ir (kg·m2) | 3757 | Br (mm) | 1525 |
| Ip (kg·m2) | 7391 | cufl, cufr, curl, curr (N·s/m) | 2600 |
| lf (mm) | 2665 | Aefl, Aefr, Aerl, Aerr (m2) | 0.03 |
| Number | Case |
|---|---|
| 1 | The target pressure cannot be achieved. |
| 2 | The low-pressure air spring reaches the target pressure first, while the high-pressure air spring must continue discharging to reach the target pressure. |
| 3 | The air spring on the high-pressure side reaches the target air pressure first, while the air spring on the low-pressure side needs to inflate further to reach the target air pressure. |
| Specification | Value |
|---|---|
| Product type | MMA8451Q |
| Working voltage | 1.95 v~3.6 v |
| Output frequency | 1.65~800 Hz |
| Maximum operating temperature | +85C |
| Protocol | I2C |
Publisher’s Note: MDPI stays neutral with regard to jurisdictional claims in published maps and institutional affiliations. |
© 2022 by the authors. Licensee MDPI, Basel, Switzerland. This article is an open access article distributed under the terms and conditions of the Creative Commons Attribution (CC BY) license (https://creativecommons.org/licenses/by/4.0/).
Share and Cite
Zhou, Y.; Li, Z.; Yu, W.; Yu, Y. Cooperative Control of Interconnected Air Suspension Based on Model Predictive Control. Appl. Sci. 2022, 12, 9886. https://doi.org/10.3390/app12199886
Zhou Y, Li Z, Yu W, Yu Y. Cooperative Control of Interconnected Air Suspension Based on Model Predictive Control. Applied Sciences. 2022; 12(19):9886. https://doi.org/10.3390/app12199886
Chicago/Turabian StyleZhou, Ying, Zhongxing Li, Wenhao Yu, and Yi Yu. 2022. "Cooperative Control of Interconnected Air Suspension Based on Model Predictive Control" Applied Sciences 12, no. 19: 9886. https://doi.org/10.3390/app12199886
APA StyleZhou, Y., Li, Z., Yu, W., & Yu, Y. (2022). Cooperative Control of Interconnected Air Suspension Based on Model Predictive Control. Applied Sciences, 12(19), 9886. https://doi.org/10.3390/app12199886
