Next Article in Journal
Activation Energy and Inclination Magnetic Dipole Influences on Carreau Nanofluid Flowing via Cylindrical Channel with an Infinite Shearing Rate
Next Article in Special Issue
A Review of Road Surface Anomaly Detection and Classification Systems Based on Vibration-Based Techniques
Previous Article in Journal
Quantitative Assessment Methods of Early Enamel Caries with Optical Coherence Tomography: A Review
Previous Article in Special Issue
An Urban Traffic Flow Fusion Network Based on a Causal Spatiotemporal Graph Convolution Network
 
 
Font Type:
Arial Georgia Verdana
Font Size:
Aa Aa Aa
Line Spacing:
Column Width:
Background:
Article

Intelligent Control Strategies for Vehicle Departure in Urban Complex Parking Lots of the Jinding Area in Shanghai, China

1
Key Laboratory of Road and Traffic Engineering of the Ministry of Education, Tongji University, Shanghai 201804, China
2
Shanghai Jinqiao (Group) Co., Ltd., Shanghai 201206, China
3
Shanghai Pudong Development (Group) Co., Ltd., Shanghai 201204, China
*
Author to whom correspondence should be addressed.
Appl. Sci. 2022, 12(17), 8781; https://doi.org/10.3390/app12178781
Submission received: 11 August 2022 / Revised: 27 August 2022 / Accepted: 30 August 2022 / Published: 31 August 2022

Abstract

:

Featured Application

This study introduces ramp control into parking management and proposes intelligent control strategies for vehicle departure in urban complex parking lots. Specifically, in these strategies, the frequency of gate lever lift is optimized using timing control and inductive control. The proposed intelligent control strategies are applied in the Jinding area in Shanghai, China, with large underground parking lots. Compared to non-controlled situations, the driving efficiency of the ground-level traffic is improved.

Abstract

The entrances and exits of underground parking lots of large complexes are the key nodes for the conversion between ground-level dynamic traffic and underground static traffic. Since congestion is caused by a large number of vehicles leaving parking lots at peak hours, the departure control strategy can effectively manage vehicle departure and reduce the congestion of ground-level traffic. In this study, we introduce cooperative control in ramp control into parking lot exit management. The frequency of parking lot exit gate lever lift is used as the control and optimization variable. To ensure the efficiency of regional traffic, we designed timing and inductive control strategies to control the speed of departing vehicles. In an experimental model, we took Shanghai Jinding super-large underground parking lot as an example. The changes in the external road network were simulated when different strategies were implemented on the Simulation of Urban Mobility (SUMO) simulation platform. The experimental results show that the proposed control strategies can significantly ease the congestion of the regional road network, improve the average speed of dynamic traffic, and reduce the queue length at intersections.

1. Introduction

With the comprehensive development of China’s economy, society, and living standards, the scale of cities has also increased dramatically with the construction of a large number of urban complexes. Since urban complexes have strong traffic generation and attraction, the construction of parking facilities is required. Specifically, the construction of super-large parking lots is one of the important ways to solve parking difficulties in urban complexes, which contain over 2000 parking spaces on a single level and the total number of parking spaces exceeds 5000 [1,2]. For a large-scale urban complex, the bigger the building area, the more concentrated the parking demand, with more parking spaces and exits being required. Generally, underground parking lots are equipped with different numbers of parking spaces according to the construction area of 30–40 m2/per standard parking space. Moreover, the number of entrances and exits of the parking lot also depends on the number of parking spaces [3].
The entrances and exits of parking lots are the bottleneck, as they connect the internal road of parking lots and external ground-level roads. The control of parking lot entrances and exits can provide efficient services for parking vehicles and increase the accessibility of parking lots. Meanwhile, parking lot control can minimize the negative influences of super-large parking lots on surrounding roads. However, most studies of the entrances and exits of parking lots focus on the location and design of entrances and exits. For example, Chen and Wang used queuing theory to study the length and location of the entrance and exit lanes to reduce the impact on road traffic flow [4]. Fan et al. conducted a theoretical analysis on the location selection of parking entrances and exits [5].
In recent years, various studies have focused on the association between the traffic organization of entrances, exits, and traffic. Guo et al. proposed that parking lot entrances and exits are bridges for connecting static and dynamic traffic and emphasized the importance of traffic organization [6]. Xiong et al. investigated traffic at the interface between parking lot entrances and main roads and indicated that the traffic delays on the main road were caused by vehicles entering and exiting parking lots. Their research on the traffic organization of entrances and exits shifted from qualitative to quantitative analyses [7]. Zhu et al. studied the effect of vehicles entering and exiting parking lots on the driving speed of main roads, and called the traffic blockage caused by the intersection of vehicles that leave parking lots and enter main roads the “blocking effect” [8]. Tang et al. analyzed the impact of different traffic organization designs on the connected roads and the degree of the impact based on VISSIM simulation. Their study showed that the impact (e.g., delay, speed, and stop times) on the traffic flow of the main road varies greatly when vehicles leave parking lots, according to the allowed intersections or following the main road priority policy [9]. Recently, more and more studies focus on the traffic organization and control of parking lot exits, but few studies pay attention to the implementation of intelligent control of parking lot exits based on the static traffic demand of parking lots and the real-time state of ground-level dynamic traffic. In addition, the robustness and stability of control strategies are crucial in real-world applications. Fault detection and the influence of disturbances, modeling errors, delays, and various uncertainties in real systems should be considered to achieve better practical performance in complicated systems [10,11,12,13]. However, it is difficult to consider the aforementioned factors in traditional manual management.
With the development of technologies, the parking management system has shifted from manual management to intelligent management. The information collection and management [14], demand prediction [15], system modeling [16,17], and intelligent control [18] provide sufficient conditions for the implementation of vehicle departure intelligent control strategies. In this study, we firstly composed and analyzed the vehicle departure characteristics of the parking lot exit, and innovatively introduced the concept of cooperative control of ramp control into parking lot exit control. Then, we proposed timing and inductive control strategies for leaving parking lots in coordination with the ground-level dynamic and underground static traffic. Specifically, timing control and inductive control of exit vehicles are achieved through intelligent control of the exit gate levers of parking lots. Finally, the effectiveness of the control strategy was verified based on the Simulation of Urban Mobility (SUMO) simulation with the example of the Jinding super-large underground parking lot in Shanghai, China, which is composed of nine rectangular grids.
The contributions and originality of this study are summarized as follows. First, we propose novel control strategies for vehicle departure using the concept of cooperative control of ramp control, which significantly eases the congestion of the regional road network. Second, we simulated the application in a representative parking lot in the Jinding area to carry out experiments and provide a reference for real-world applications. Third, the proposed control strategies can be further cooperatively used with signal control at intersections to improve the safety and efficiency of regional traffic.

2. Vehicle Departure Characteristic Analysis

The exit of a parking lot plays an important role in connecting the internal roads of the parking lot with the external roads on the ground. As shown in Figure 1, the traffic flow on the external road tends to be saturated. In this situation, the departing vehicles in the exit lane of the parking lot are affected by the ground-level vehicles and associated intersection signal. Since it is difficult to merge into the external road, a queue is generated in the exit lane of the parking lot. As a result, the external road becomes a bottleneck. As time goes on, the queue traces back to the entrance and internal roads of the parking lot, which affects parking and regional traffic. As a node for the transition between underground static traffic and ground-level dynamic traffic, the entrances, exits, and management equipment of parking lots can limit or divert traffic flow. Therefore, we make full use of the entrance and exit of the parking lot to reduce the impact of the departure from super-large parking lots on the surrounding roads.
Dynamic traffic on the ground and static traffic underground interacts with each other. The ground-level roads around parking lots can be influenced by the departure vehicles. During peak hours, vehicles often wait in the entrance and exit lane of the parking lot, which also affects the dynamic traffic on the ground-level roads. It can be seen that the separate management and control of surface ground-level traffic and underground static traffic cannot meet traffic control requirements. Thus, it is necessary to coordinate these control approaches to ensure driving efficiency.
The problem related to traffic coordination control is commonly solved using ramp control [19]. The method takes the on-ramp of an expressway as the research object. Under the normal and continuous operation of the vehicles on main roads, the real-time traffic flow of the upstream and downstream of the ramp is coordinated, and the optimal off-ramp mediation rates for different upstream and downstream flows are calculated. In this way, the vehicles on the auxiliary road can enter the main road one by one, which achieves good control results. The scenario in which parking lot vehicles enter the ground-level road via the exit is highly similar to that of vehicles on the auxiliary road entering the main road via the ramp. This study introduces the coordinated control concept of ramp control to formulate intelligent control strategies for vehicle departure to avoid traffic congestion and improve driving efficiency.

3. Intelligent Control Strategies for Departure from the Parking Lot

With the rapid development of smart parking technology, parking facilities have been continuously upgraded for intelligence. The exit of the parking lot is equipped with intelligent configurations, such as intelligent lever lift control systems and electronic toll collection systems, which provide a foundation for the implementation of intelligent control strategies. To avoid the impact of the departure of vehicles in super-large parking lots on the efficiency of regional traffic, this study uses the idea of coordinated regulation in ramp control, which comprehensively considers the flow changes of the main road and the auxiliary road. Then, we propose timing and introductive control strategies for the lever at the exit of parking lots. The strategies use the control frequency of the lever as a control and optimization variable. The strategies intelligently manage and control the departure of the parking lot according to the state of ground-level roads, associated intersections, and the departure demand of underground parking lots to ensure the efficiency of regional traffic.

3.1. Timing Control Strategy

Timing control strategy takes the control frequency of the gate lever, known as the “mediation rate” in the following, as an optimization goal. As shown in Figure 2, the control strategy takes the road capacity of the main road as a reference, considers the departure demand of vehicles in the parking lot, and regularly adjusts the number of vehicles driving onto the ground-level main road. As a result, the sum of vehicles on the ground-level main roads and the vehicles in the exit lane of parking lots is less than that of the control targets.
On the one hand, the mediation rate of the intelligent lever lift system must meet the normal departure demand of vehicles in the parking lot to avoid a long queue in the parking lot. On the other hand, an excessive mediation rate of the intelligent system leads to a situation in which a large number of vehicles rapidly pour into the road from the parking lot, which exceeds the traffic capacity of downstream intersections and affects the efficiency of regional traffic. In Equations (1)–(4), the formulations for the mediation rate r and the lift period T of the intelligent lever lift system at any exit of the parking lot in the timing control strategy are shown.
First, for any exit m of the parking lot in an intelligent lever lift system, the sum of mediation rate r and the upstream road traffic demand q should not exceed the downstream intersection traffic capacity C with the turning n :
C n l L m M r l m n + q n , n
where r l m n represents the meditation rate of any exit m of the parking lot in the regional plot l with turning n ; C n represents the traffic capacity of entrances of intersection n ; and q n represents the upstream traffic flow of the corresponding intersection.
Secondly, the mediation rate of all turns of the regional plot l parking lot exit is not lower than the vehicle departure demand of the regional plot D l :
n N r l m n D l , l
Finally, we calculate the fixed lever lift period of the intelligent lever lift system for the exit m of the parking lot in regional plot l :
T l m = max 3600 n N r l m n , T min , l , m
T min = 3600 D l
where T l m represents the cycle length of the intelligent lever lift system at the exit m of the parking lot of the regional plot l and T min represents the minimum cycle length. Therefore, according to the above restrictions, the cycle length of each gate can be solved, and the timing control scheme of the gate levers at the entrance and exit of each parking lot can be obtained.

3.2. Inductive Control Strategy

The timing control strategy comprehensively considers the vehicle departure demand of the parking lot and the traffic capacity of the associated intersections on the ground-level road. The traffic flow that enters the ground-level road is controlled by setting the fixed mediation rate of the intelligent lever lift system to avoid exceeding the capacity of the ground-level main road. The traffic capacity not only meets the basic departure demand of vehicles in the parking lot, but also ensures the efficiency of regional traffic.
However, the demand for vehicle departure in the parking lot is quite different between peak and non-peak hours, as is the change in dynamic traffic on the ground in real time. The mediation rate given by the timing control strategy remains fixed for a period due to the non-real-time nature of the original data. This leads to the timing control strategy lacking the ability to adapt to real-time changes in external traffic (such as congestion and traffic accidents) and thus waste road resources. Therefore, this paper proposes an inductive control strategy based on a timing control strategy with the following principles:
  • The inductive control strategy should obtain the real-time queue of the associated intersection on the ground-level road and the exit of the parking lot in real time through perception and communication technologies to provide data and decision-making support for the real-time speed control in the intelligent lever lift system at the parking lot exit.
  • The inductive control strategy should ensure that the vehicles in the parking lot are released under the majority of general circumstances and do not form long queues too inside the parking lot.
  • The inductive control strategy should avoid the vehicles being released from the exit of the parking lot seriously affecting the operation of the ground-level road.
  • The inductive control strategy should maximize the overall operating efficiency of the downstream intersections and the entrances and exits of the parking lot associated with the ground-level road.
  • The inductive control strategy is applied with information induction methods. When a long queue is formed at the exit of the parking lot, the guidance information is released in advance to guide vehicles to choose other exits for a rapid departure and avoid aggravating congestion of the regional area or a queue forming in the parking lot.
Based on the above principles, the inductive control scheme of the intelligent lever lift system at the exit of the parking lot is designed as follows. As shown in Figure 3, intelligent sensors (e.g., coils, AI cameras) are provided downstream of the exit lane of the parking lot to detect the length of the downstream queue. The intelligent lever lift system at the exit of the parking lot is always in the release state, shown as a green light in Figure 3. When the length of the queue downstream of the main road exceeds the threshold, the intelligent lever lift system at the exit of the parking lot turns red, indicating that the exit is not releasing vehicles. The management platform judges the duration time of the red light and the queue length downstream of the main road in real time. If the queue length downstream of the main road is less than the maximum duration time of the red light, the green light is restored. If the duration time of the red light is larger than the maximum duration time, the intelligent lever lift system at the exit of the parking lot returns to a green light. If it is less than the maximum duration time and the queue length downstream of the main road still exceeds the threshold, the intelligent lever lift system at the exit of the parking lot shows a red light.
The threshold of the queue length for the downstream main road is determined based on the distance between the position of the actual road entrance and exit and the stop line of the downstream-associated intersection. The maximum duration time of the red light for the intelligent lever lift system T max takes the drivers’ largest parking waiting time T t o l e r a t e and the maximum waiting time T w a i t for parking demand into consideration:
T max = min T t o l e r a t e , T w a i t
T w a i t = 3600 D l
where the waiting time of drivers at the entrance and exit of the parking lot is T t o l e r a t e = 90   s . After the waiting time is exceeded, the tolerance of drivers decreases rapidly [20]. T w a i t represents the maximum waiting time for the parking demand of the plot, which is used to ensure the traffic demand can be released normally.

4. Experiments and Results

4.1. Experimental Instructions

To verify the effectiveness of the proposed intelligent control strategies for vehicle departures in parking lots, this study took Jinding Tiandi super-large underground parking lot in Pudong New Area, Shanghai as an example. We simulated the regional operation of the parking lot exit with timing and inductive control strategies based on the SUMO software. As shown in Figure 4, Jinding Tiandi is located on the north side of Pudong New Area and contains nine plots. The east side is Shenlun Road, the north side is Keqiao Road, and the south side is Jufeng Road. Specifically, Jufeng Road is the secondary trunk road, and the west side of Shenjiang Road is the trunk road, which is an important road for travelling from the inner ring of the city center to the outer ring, with a peak flow of more than 1200 pcu/h. With a land area of about 274,000 square meters and a total construction area of about 715,000 square meters, it is an urban complex with spaces for research and development, offices, hotels, commercial properties, and a theater. Jinding Tiandi is expected to attract a large amount of commercial and leisure interest in the future.
As shown in Figure 5a, the Jinding Tiandi parking lot is equipped with nearly 7000 parking spaces and has 21 traffic entrances and exits. As shown in Figure 5b, the average spacing between the entrances and exits of some vehicles in the parking lot is less than 70 m from the intersections. The spaces between the exits are narrow, and the entrances and exits are distributed on the branch roads with a cross-section width of no more than 24 m. Since the overall road capacity is low, it is easy to generate local congestion points at the entrances and exits of the parking lot. Moreover, it is expected that the traffic flow from the trunk and secondary trunk roads (Shenjiang Road and Jufeng Road) to the Jinding Tiandi branch roads during the peak hours further aggravates the traffic pressure inside the plots. In summary, after construction is complete, the Jinding Tiandi parking lot will have a large parking management burden. The entrances and exits of the parking lot, as the key nodes of the external dynamic traffic and the internal static traffic conversion, are breakthrough points in terms of solving the problem of regional traffic control.

4.2. Simulation Experiments

Simulation experiments were mainly divided into four stages: demand forecasting, modeling and solving, testing, and evaluation. In the demand forecast, the parking demand of the Jinding Tiandi parking lot was predicted during peak and non-peak hours. The numbers of departure vehicles in the parking lot were obtained. Then, the timing and inductive control models were established for the parking lot exits. The timing and inductive control schemes of different exits in the intelligent lever lift systems were solved, respectively. The optimal mediation rate of the intelligent lever lift system on the parking lot exits and the maximum waiting time of the plot were obtained.
In the testing stage, the Jinding Tiandi traffic simulation environment was built using SUMO simulation with TraCI (traffic control interface) for real-time control. SUMO is an open-source microscopic road simulation tool that can simulate vehicle movements, interactions between vehicles, etc. SUMO can use the traffic control interface TraCI to achieve cooperation between simulation tools, and realize real-time interaction and data acquisition using command lines and graphical user interfaces [21,22]. According to the actual roads in the Jinding Tiandi parking lot, the road topology model was configured in SUMO, as were the queue and speed detection devices on the parking lot exits required for timing and inductive control. Vehicle movement models with different ODs were configured in the simulation platform according to the demand forecast results. According to the control strategy and solution results, the corresponding lever lift frequency and algorithm trigger conditions were loaded in the simulation system. We ran the simulation 1000 times to obtain the test results of the regional road network under different schemes and in different periods.
In the evaluation stage, to verify the effectiveness of the proposed intelligent control strategy for vehicle departure, the average speed, the average queue length of intersections of main trunk roads (Shenjiang Road), secondary trunk roads (Keqiao Road, Jufeng Road), and internal branch roads of the plots (Hanqiao Road, Zhiqiao Road, Shentao Road, Shenqi Road, Shenlun Road), and the average queue length at the exits of parking lots were used to compare the performance of the non-controlled strategy, the timing control strategy, and the inductive control strategy.

4.3. Analysis of Results

In this study, we used the average speed and queue length on road sections and in parking lots as indicators. The reason for choosing these indicators resides in the fact that the proposed control strategies aim to ease congestion caused by vehicle departure from parking lots and ensure the efficiency of vehicle departure. Driving efficiency on road sections and in parking lots is evaluated by the average speed. Due to the limited road space and large traffic volume, queuing is inevitable at peak hours. Thus, queue length was used to evaluate the congestion on road sections and in parking lots caused be vehicle departures.
This study utilized an application-oriented non-controlled strategy, which is commonly used in practice research as a baseline. In the experiment, we compared the common control methods in practice, including no control, timing control, and inductive control strategies. The simulation environment was established using the investigated information, including the settings of parking lots, lanes, intersections, signal control schemes, and traffic flow. The overall analysis of the simulation results shows that the implementation of an intelligent control strategy for vehicle departure can effectively increase the average speed of regional roads and reduce the length of queues at intersections.
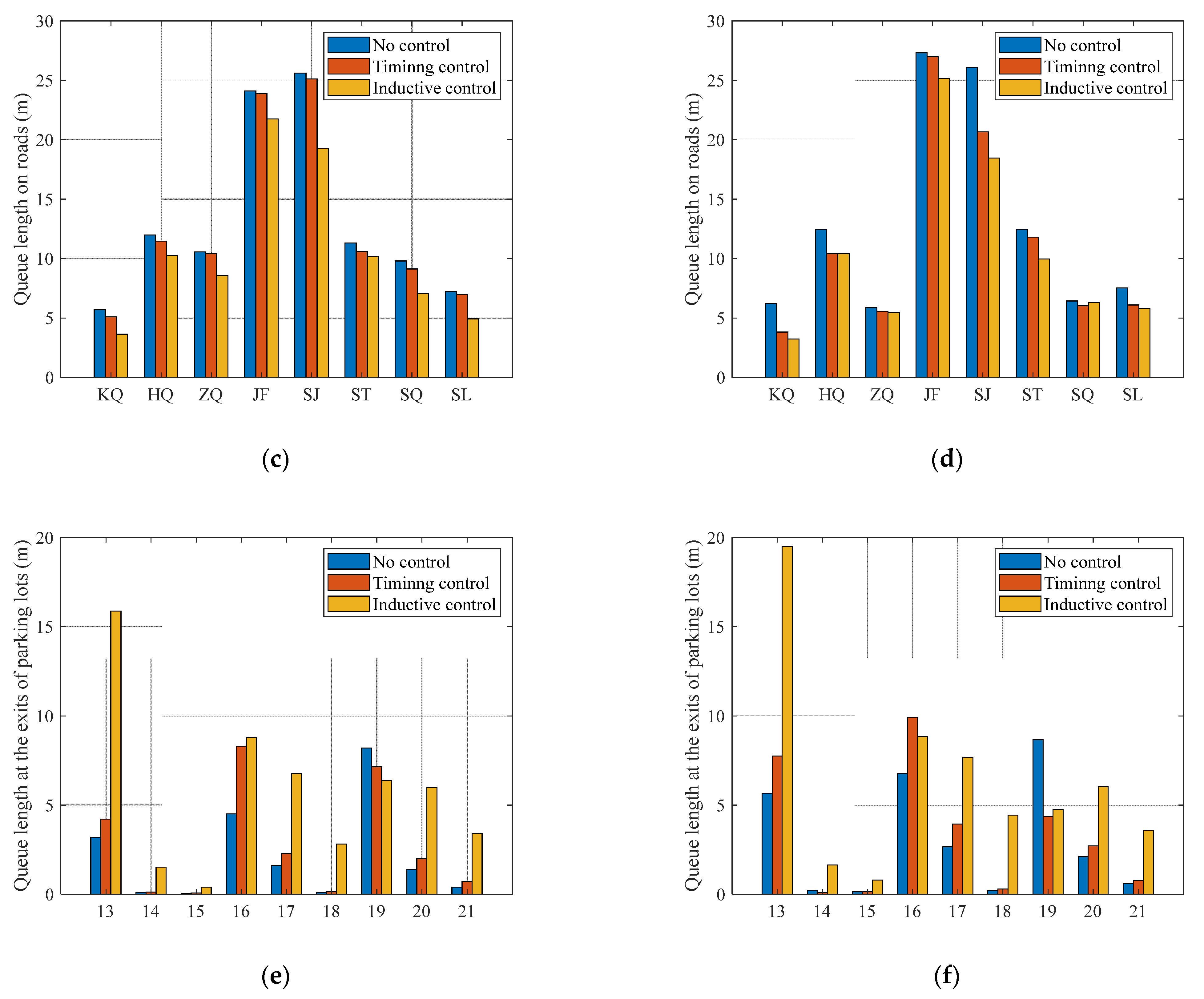
According to Figure 6a,b, the average speed range of the road section during peak and non-peak hours was 10–12 m/s. After adopting the timing control strategy, the average speed of the roads inside and outside the nine-rectangle-grid increased by about 0.3 m/s. After adopting the inductive control strategy, the average speed was further increased by about 0.2 m/s, indicating that the timing and introductive control strategies are obviously better than the non-controlled strategy. According to Figure 6c,d, the effects of inductive control on Jufeng Road and Shenjiang Road were significantly better than that of the timing control strategy. Moreover, the length of the intersection queue was lower than that of the non-controlled strategy by about 6 m and lower than that of the timing control strategy by approximately 2–4 m. However, the decreases in the queue length at the internal road intersections were not significant.
It can be seen that, regardless as to whether it was at a peak hour with a higher parking demand or a non-peak hour with small regional traffic flow, the intelligent control strategy of parking lot exit based on the concept of dynamic and static coordination control exhibited excellent performance and robustness. Moreover, the inductive control strategy can be combined with the external dynamic traffic for real-time feedback control. Since the inductive control has the ability of adaptive coordination, it is better than the timing control strategy in terms of the average speed and queue length on the roads. In brief, the control performance of introductive control was superior.
Furthermore, it can be seen from Figure 6e,f that, after the implementation of the timing control strategy at the exit of the parking lot during the peak hour, the queue length in the parking lot increased slightly, while the queue length under the inductive control strategy increased significantly. The inductive control strategy sacrifices the waiting time of some drivers for higher efficiency of regional traffic. To ensure that drivers benefit, it is recommended to cooperate with real-time information induction inside the parking lot when using the inductive control strategy. When an exit is closed or a long queue has been generated, the departing vehicle is induced to drive out from other exits to avoid continuing to form a long queue at the exit of the parking lot [23,24].

5. Conclusions

  • Previous studies paid more attention to the layout or design of the entrances and exits of parking lots, but less attention has been paid to the intelligent management and control of the entrances and exits of parking lots. This study innovatively introduces the cooperative control concept in ramp control into parking management. We propose smart control strategies for vehicle departure that consider internal static and external dynamic traffic simultaneously and control the speed of vehicles that are merging onto main roads by adjusting the mediation rate of the parking lot entrance and exit gate levers. The strategies include timing and inductive control strategies.
  • The timing control strategy is constrained by the capacity of the associated intersection and the departure demand of parking lots to calculate the mediation rate of gate levers. The inductive control strategy uses intelligent sensors to obtain the queue length at intersections, the queue length at the exits, and the waiting time of drivers.
  • The experimental results show that the performance of the proposed two control strategies is more superior and robust than that of non-controlled strategies under different travel demands. The timing control strategy alleviates queuing at intersections using the fixed lever lift period. As a result, the average speed of the external road increased. Inductive control has the ability to coordinate vehicle departure with external dynamic traffic. Thus, the improvement in external dynamic traffic is better than that of the timing control strategy; however, a long queue was also generated inside the parking lot. In the future, this problem can be solved using parking induction and path planning.

Author Contributions

Conceptualization, S.J. and J.W.; methodology, J.W. and Z.D.; software, Z.D.; investigation, Z.D.; data curation, J.W. and Z.D.; writing—original draft preparation, Z.D.; writing—review and editing, S.J. and J.W.; visualization, J.W.; supervision, S.J. All authors have read and agreed to the published version of the manuscript.

Funding

This research was funded by Shanghai Science and Technology Committee, China, grant number 21DZ1205100 and 22QB1405100.

Data Availability Statement

Not applicable.

Acknowledgments

The study was sponsored by Shanghai Science and Technology Committee of China (21DZ1205100 and 22QB1405100). The authors would like to thank the anonymous reviewers for their constructive comments.

Conflicts of Interest

The authors declare no conflict of interest.

References

  1. Shao, C.; Shao, X.; Lyu, K.; Li, X. Research on Reasonable Scale Calculation Method for Large Public Parking. J. Chongqing Jiaotong Univ. Nat. Sci. Ed. 2020, 39, 17–22. [Google Scholar]
  2. Liu, J.; Ge, Z.; Xie, J.; Wu, X. Research and Simulation of Parking Lot Parking Problem. Comput. Simul. 2011, 28, 340–344. [Google Scholar]
  3. DG/TJ 08-7-2014; Shanghai Municipal Commission of Urban and Rural Construction and Management Shanghai Engineering Construction Code Construction Engineering Traffic Design and Parking Garage (Field) Setting Standard. Shanghai Urban and Rural Construction and Management Committee: Shanghai, China, 2014.
  4. Chen, J.; Wang, W. Analysis of Traffic Organization at Entrance and Exit of Urban Off-Street Parking Lot. J. Southeast Univ. (Nat. Sci. Ed.) 2004, 34, 100–103. [Google Scholar]
  5. Jia, F. Research on Urban Parking Lot Planning and Traffic Impact; Lanzhou Jiaotong University: Lanzhou, China, 2009. [Google Scholar]
  6. Guo, Y.; Sun, Z.; Zhang, X. An Empirical Study on the Design of Entrances and Exits of Parking Lots. Transp. Syst. Eng. Inf. Technol. 2011, 11, 208–214. [Google Scholar]
  7. Xiong, J.; Chen, J.; Zhang, H. Traffic Survey and Analysis of Entrance and Exit of Urban Off-Street Parking Lot. Transp. Sci. Technol. Econ. 2007, 9, 81–83. [Google Scholar]
  8. Zhu, B.; Zheng, C. Study on the Influence of Parking Lot on Vehicle Speed in Connected Section. J. East China Jiaotong Univ. 2019, 36, 6. [Google Scholar]
  9. Tang, B.; Wang, W.; Liu, T. Analysis on the Impact of Parking Lot Construction Scale on Road Capacity. J. Chongqing Jiaotong Univ. Nat. Sci. Ed. 2016, 35, 5. [Google Scholar]
  10. Xu, Z.; Li, X.; Stojanovic, V. Exponential Stability of Nonlinear State-Dependent Delayed Impulsive Systems with Applications. Nonlinear Anal. Hybrid Syst. 2021, 42, 101088. [Google Scholar] [CrossRef]
  11. Djordjevic, V.; Stojanovic, V.; Tao, H.; Song, X.; He, S.; Gao, W. Data-Driven Control of Hydraulic Servo Actuator Based on Adaptive Dynamic Programming. Discret. Contin. Dyn. Syst.-S 2022, 15, 1633. [Google Scholar] [CrossRef]
  12. Jiang, Y.; Gao, W.; Na, J.; Zhang, D.; Hämäläinen, T.T.; Stojanovic, V.; Lewis, F.L. Value Iteration and Adaptive Optimal Output Regulation with Assured Convergence Rate. Control Eng. Pract. 2022, 121, 105042. [Google Scholar] [CrossRef]
  13. Zhao, C.; Zhang, X.; Li, X.; Du, Y. Intelligent Delay Matching Method for Parking Allocation System via Multi-Agent Deep Reinforcement Learning. China J. Highw. Transp. 2022, 35, 261–272. [Google Scholar]
  14. Yang, X.; Xue, K.; Bai, Y. Design of Urban Parking Guidance Information System. Transp. Syst. Eng. Inf. Technol. 2004, 4, 93–96. [Google Scholar]
  15. Zhao, C.; Zhu, Y.; Li, X.; Du, Y. A Real-Time Prediction Method of Curbside Parking Occupancy Incorporating Dynamic Management Policies. J. Transp. Syst. Eng. Inf. Technol. 2020, 20, 107–113. [Google Scholar]
  16. Zhao, C.; Liao, F.; Li, X.; Du, Y. Macroscopic Modeling and Dynamic Control of On-Street Cruising-for-Parking of Autonomous Vehicles in a Multi-Region Urban Road Network. Transp. Res. Part C Emerg. Technol. 2021, 128, 103176. [Google Scholar] [CrossRef]
  17. Zhai, Z.; Yang, Y.; Shen, Y.; Ji, Y.; Du, Y. Assessing the Impacts of Autonomous Bus-on-Demand Based on Agent-Based Simulation: A Case Study of Fuyang, Zhejiang, China. J. Adv. Transp. 2020, 2020, 7981791. [Google Scholar] [CrossRef]
  18. Du, Y.; Chen, J.; Zhao, C.; Liu, C.; Liao, F.; Chan, C.-Y. Comfortable and Energy-Efficient Speed Control of Autonomous Vehicles on Rough Pavements Using Deep Reinforcement Learning. Transp. Res. Part C: Emerg. Technol. 2022, 134, 103489. [Google Scholar] [CrossRef]
  19. Zhang, H.; Yang, X.; Zhang, J. A Review of Highway Entrance Ramp Control Methods. J. Tongji Univ. Nat. Sci. Ed. 2005, 33, 1051–1055. [Google Scholar]
  20. Liu, J.; Huo, G.; Liu, Y. Queue Delay of Parking Lot Exit Based on M/G/1 Model. Transp. Sci. Eng. 2015, 31, 92–97. [Google Scholar]
  21. Wegener, A.; Piórkowski, M.; Raya, M.; Hellbrück, H.; Fischer, S.; Hubaux, J.-P. TraCI: An Interface for Coupling Road Traffic and Network Simulators. In Proceedings of the 11th Communications and Networking Simulation Symposium, Ottawa, ON, Canada, 14–17 April 2008; pp. 155–163. [Google Scholar]
  22. Krajzewicz, D.; Hertkorn, G.; Rössel, C.; Wagner, P. SUMO (Simulation of Urban MObility)-an Open-Source Traffic Simulation. In Proceedings of the 4th Middle East Symposium on Simulation and Modelling (MESM20002), Sharjah, United Arab Emirates, September 2002; pp. 183–187. [Google Scholar]
  23. Shen, T.; Hua, K.; Liu, J. Optimized Public Parking Location Modelling for Green Intelligent Transportation System Using Genetic Algorithms. IEEE Access 2019, 7, 176870–176883. [Google Scholar] [CrossRef]
  24. Lin, X.; Yuan, P. A Dynamic Parking Charge Optimal Control Model under Perspective of Commuters’ Evolutionary Game Behavior. Phys. A Stat. Mech. Its Appl. 2018, 490, 1096–1110. [Google Scholar] [CrossRef]
Figure 1. Influence analysis of vehicle departure in the parking lot.
Figure 1. Influence analysis of vehicle departure in the parking lot.
Applsci 12 08781 g001
Figure 2. Parameters of a timing control strategy.
Figure 2. Parameters of a timing control strategy.
Applsci 12 08781 g002
Figure 3. Detector arrangement for inductive control strategy.
Figure 3. Detector arrangement for inductive control strategy.
Applsci 12 08781 g003
Figure 4. Roads in and around Jinding Tiandi.
Figure 4. Roads in and around Jinding Tiandi.
Applsci 12 08781 g004
Figure 5. The parking spaces, exits, and entrances of the Jinding Tiandi parking lot: (a) number of parking spaces; (b) spaces between entrances and exits (m).
Figure 5. The parking spaces, exits, and entrances of the Jinding Tiandi parking lot: (a) number of parking spaces; (b) spaces between entrances and exits (m).
Applsci 12 08781 g005
Figure 6. Results of the simulation in SUMO: (a) average speed of the road sections during the non-peak hour; (b) average speed of road sections during the peak hour; (c) average queuing length on roads during the non-peak hour; (d) average queue length on roads during the peak hour; (e) average length of queues in parking lots during the peak hour; (f) average length of queues in parking lots during the peak hour. Specifically, the roads include Keqiao Road (KQ), Hanqiao Road (HQ), Zhiqiao Road (ZQ), Jufeng Road (JF), Shenjiang Road (SJ), Shentao Road (ST), Shenqi Road (SQ), and Shenlun Road (SL). The parking lots are located on the No. 13–21 plots.
Figure 6. Results of the simulation in SUMO: (a) average speed of the road sections during the non-peak hour; (b) average speed of road sections during the peak hour; (c) average queuing length on roads during the non-peak hour; (d) average queue length on roads during the peak hour; (e) average length of queues in parking lots during the peak hour; (f) average length of queues in parking lots during the peak hour. Specifically, the roads include Keqiao Road (KQ), Hanqiao Road (HQ), Zhiqiao Road (ZQ), Jufeng Road (JF), Shenjiang Road (SJ), Shentao Road (ST), Shenqi Road (SQ), and Shenlun Road (SL). The parking lots are located on the No. 13–21 plots.
Applsci 12 08781 g006aApplsci 12 08781 g006b
Publisher’s Note: MDPI stays neutral with regard to jurisdictional claims in published maps and institutional affiliations.

Share and Cite

MDPI and ACS Style

Jiang, S.; Wang, J.; Du, Z. Intelligent Control Strategies for Vehicle Departure in Urban Complex Parking Lots of the Jinding Area in Shanghai, China. Appl. Sci. 2022, 12, 8781. https://doi.org/10.3390/app12178781

AMA Style

Jiang S, Wang J, Du Z. Intelligent Control Strategies for Vehicle Departure in Urban Complex Parking Lots of the Jinding Area in Shanghai, China. Applied Sciences. 2022; 12(17):8781. https://doi.org/10.3390/app12178781

Chicago/Turabian Style

Jiang, Shengchuan, Jindong Wang, and Zhouyang Du. 2022. "Intelligent Control Strategies for Vehicle Departure in Urban Complex Parking Lots of the Jinding Area in Shanghai, China" Applied Sciences 12, no. 17: 8781. https://doi.org/10.3390/app12178781

APA Style

Jiang, S., Wang, J., & Du, Z. (2022). Intelligent Control Strategies for Vehicle Departure in Urban Complex Parking Lots of the Jinding Area in Shanghai, China. Applied Sciences, 12(17), 8781. https://doi.org/10.3390/app12178781

Note that from the first issue of 2016, this journal uses article numbers instead of page numbers. See further details here.

Article Metrics

Back to TopTop