Experimental, Numerical, and Theoretical Studies of Bond Behavior of Reinforced Fly Ash-Based Geopolymer Concrete
Abstract
:1. Introduction
2. Materials and Experimental Methods
2.1. Materials, Mixture Proportions and Specimens’ Preparation
2.2. Test Method
3. Simulation Analysis
3.1. General Description of Numerical Model
3.2. Constitutive Models of Concrete and Steel
- -
- Dilation angle ψ = 40°.
- -
- Flow potential eccentricity e = 0.1.
- -
- Ratio of initial equiaxial compressive yield stress to initial compressive yield stress .
- -
- Ratio of second stress invariant on the tensile meridian K = 0.667.
- -
- Viscosity parameter μ = 0.001.
3.3. Interaction between Steel and Concrete
4. Results and Discussions
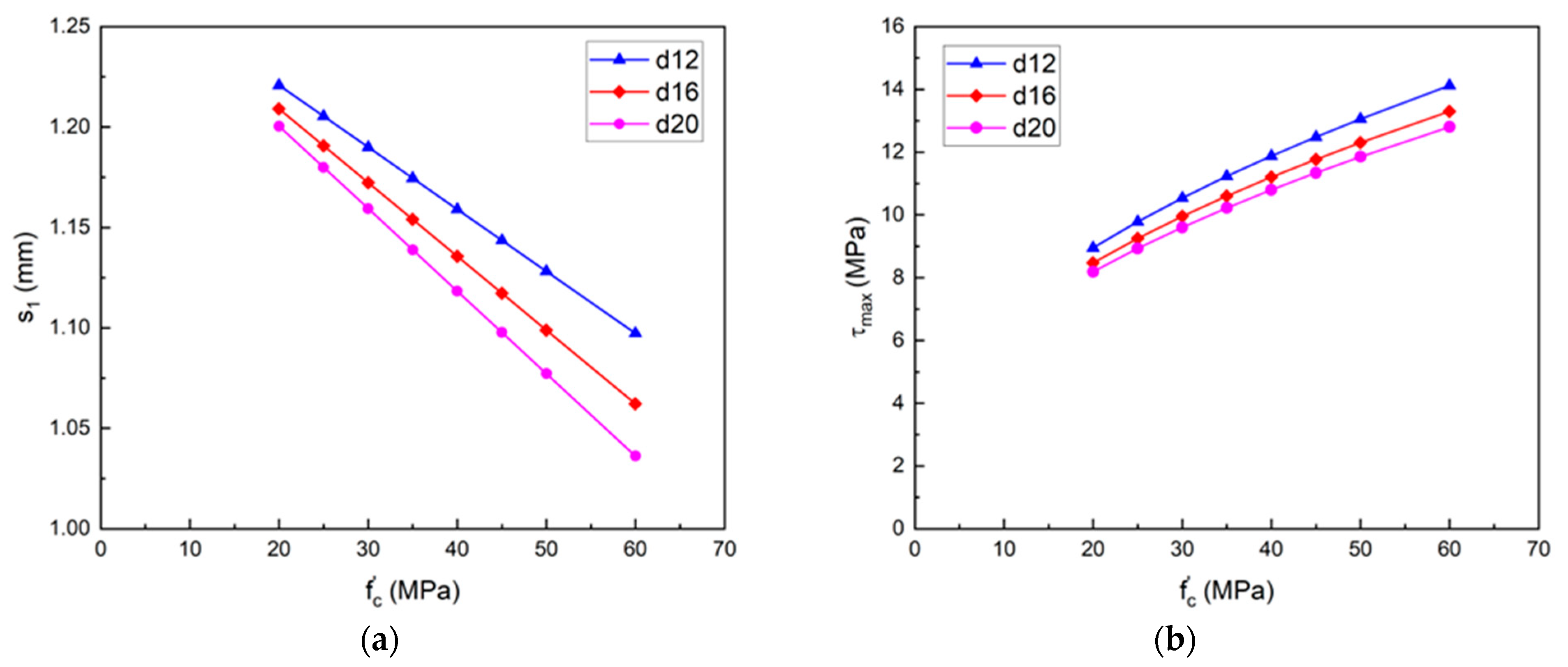
4.1. Effect of Compressive Strength on Bond Strength
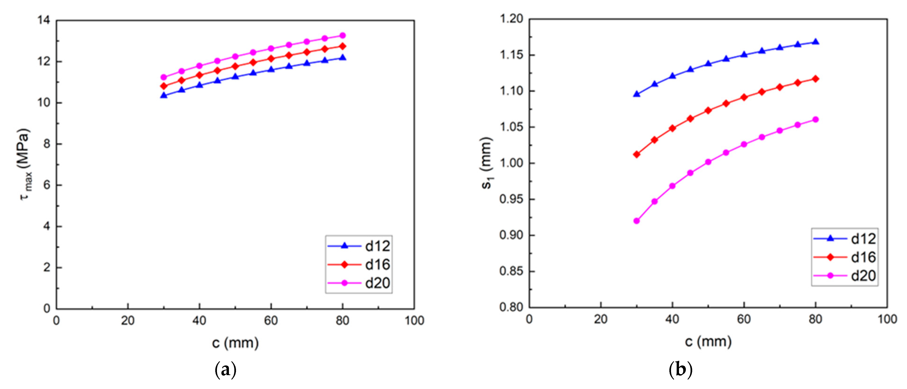
4.2. Effect of Concrete Cover to Diameter (c/db) of Reinforcing Bar on Bond Strength
4.3. Comparison Experimental Test with the Previous Study
4.4. Comparison Experimental Test with the Analytical Model and Numerical Parametric Study
4.4.1. Comparison Experimental Test with the Analytical Model
4.4.2. Numerical Parametric Study
4.5. Failure Mode
5. Conclusions
- The bond strength of reinforced fly ash-based geopolymer concrete increases about 1.97 to 2.56 times with the increase of compressive strength from 20.33 MPa to 41.12 MPa. By comparison, with the different components of the geopolymer binder, the microstructure of specimens shows other behavior. Even the samples have similar compressive strength values. The bond strength shows a significant difference. There is a need for studies to focus more on the effect of components of geopolymer binder and curing condition on bond strength of reinforced geopolymer concrete in the future.
- For the geopolymer concrete with the curing time of 8 and 12 h, the bond strength of reinforced geopolymer concrete rises when the c/db ratio varies from 3.25 to 4.19. Then, the bond strength decreases with the increase of c/db ratio from 4.19 to 5.75 whereas the bond strength of geopolymer concrete with a shorter curing time, 4 h, has the opposite tendency.
- The bond behavior of the reinforced fly ash-based geopolymer concrete is well correlating with simulation analytical using ABAQUS/CAE tool. However, this behavior is quite dissimilar with the data computed from the fib model.
- The bond-slip relationship of reinforced geopolymer concrete could be predicted using the proposed expression. This proposed formulation can be used to predict the bond slip behavior of reinforced fly ash-based geopolymer concrete for practical purposes.
- The numerical parametric study is performed with two variables, namely the compressive strength of geopolymer concrete and the concrete cover. The bond strength increases considerably with the rise of concrete compressive strength, while a reverse trend is observed in case of the values of bond slips at maximum bond stress. For the influence of the concrete cover, the results revealed that the thickness cover slightly influence the bond strength. These results are consistent with those observed in the experiments.
Author Contributions
Funding
Institutional Review Board Statement
Informed Consent Statement
Conflicts of Interest
Notations
| c | Concrete cover |
| db | Bar diameter |
| e | Flow potential eccentricity |
| Compressive strength of concrete | |
| ft | Tensile strength of concrete |
| Ratio of initial equiaxial compressive yield stress to initial compressive yield stress | |
| ld | Bar embedded length |
| s | Slip |
| tn, ts, tt | Traction stresses |
| Ultimate traction stress | |
| Ec | Elastic modulus of concrete |
| Es | Elastic modulus of steel |
| GF | Fracture energy |
| K | Cohesive stiffness matrix |
| Knn, Kss, Ktt | Coefficient of stiffness matrix |
| K | Ratio of second stress invariant on the tensile meridian |
| Pmax | Maximum pullout force |
| α | Exponential parameter |
| δn, δs, δt | Interaction displacements |
| Ultimate interaction displacements | |
| Plastic displacement | |
| δ | Separation vector |
| Compressive strain of concrete at compressive strength | |
| μ | Viscosity parameter |
| τmax | Maximum bond stress obtained from experiment |
| τb | Bond stress |
| τbf | Residual bond stress |
| τbmax | Evaluate maximum bond stress |
| ψ | Dilation angle |
References
- Davidovits, J. Geopolymers: Man-Made Rocks Geosynthesis and the Resulting Development of Very Early High Strength Cement. J. Mater. Educ. 1994, 16, 91–139. [Google Scholar]
- Luukkonen, T.; Abdollahnejad, Z.; Yliniemi, J.; Kinnunen, P.; Illikainen, M. One-Part Alkali-Activated Materials: A Review. Cem. Concr. Res. 2018, 103, 21–34. [Google Scholar] [CrossRef]
- Huynh, A.T.; Nguyen, Q.D.; Xuan, Q.L.; Magee, B.; Chung, T.; Tran, K.T.; Nguyen, K.T. A Machine Learning-Assisted Numerical Predictor for Compressive Strength of Geopolymer Concrete Based on Experimental Data and Sensitivity Analysis. Appl. Sci. 2020, 10, 7726. [Google Scholar] [CrossRef]
- Duxson, P.; Fernández-Jiménez, A.; Provis, J.L.; Lukey, G.C.; Palomo, A.; Deventer, J.S.J. Geopolymer Technology: The Current State of the Art. J. Mater. Sci. 2007, 42, 2917–2933. [Google Scholar] [CrossRef]
- Castillo, H.; Collado, H.; Droguett, T.; Vesely, M.; Garrido, P.; Palma, S. State of the Art of Geopolymers: A Review. E-Polymers 2022, 22, 108–124. [Google Scholar] [CrossRef]
- Farhan, K.Z.; Johari, M.A.M.; Demirboğa, R. Assessment of Important Parameters Involved in the Synthesis of Geopolymer Composites: A Review. Constr. Build. Mater. 2020, 264, 120276. [Google Scholar] [CrossRef]
- Mo, B.H.; Zhu, H.; Cui, X.M.; He, Y.; Gong, S.Y. Effect of Curing Temperature on Geopolymerization of Metakaolin-Based Geopolymers. Appl. Clay Sci. 2014, 99, 144–148. [Google Scholar] [CrossRef]
- Li, Q.; Chen, S.; Zhang, Y.; Hu, Y.; Wang, Q.; Zhou, Q.; Yan, Y.; Liu, Y.; Yan, D. Effect of Curing Temperature on High-Strength Metakaolin-Based Geopolymer Composite (HMGC) with Quartz Powder and Steel Fibers. Materials 2022, 15, 3958. [Google Scholar] [CrossRef] [PubMed]
- Zhang, H.Y.; Kodur, V.; Qi, S.L.; Cao, L.; Wu, B. Development of Metakaolin-Fly Ash Based Geopolymers for Fire Resistance Applications. Constr. Build. Mater. 2014, 55, 38–45. [Google Scholar] [CrossRef]
- Sarker, P.K. Bond Strength of Reinforcing Steel Embedded in Fly Ash-Based Geopolymer Concrete. Mater. Struct./Materiaux et Constructions 2011, 44, 1021–1030. [Google Scholar] [CrossRef]
- Nath, P.; Sarker, P.K. Flexural Strength and Elastic Modulus of Ambient-Cured Blended Low-Calcium Fly Ash Geopolymer Concrete. Constr. Build. Mater. 2017, 130, 22–31. [Google Scholar] [CrossRef] [Green Version]
- Nguyen, K.T.; Ahn, N.; Le, T.A.; Lee, K. Theoretical and Experimental Study on Mechanical Properties and Flexural Strength of Fly Ash-Geopolymer Concrete. Constr. Build. Mater. 2016, 106, 65–77. [Google Scholar] [CrossRef]
- Cui, Y.; Zhang, P.; Bao, J. Bond Stress between Steel-Reinforced Bars and Fly Ash-Based Geopolymer Concrete. Adv. Mater. Sci. Eng. 2020, 2020, 9812526. [Google Scholar] [CrossRef] [Green Version]
- Bellum, R.R.; Muniraj, K.; Madduru, S.R.C. Influence of Slag on Mechanical and Durability Properties of Fly Ash-Based Geopolymer Concrete. J. Korean Ceram. Soc. 2020, 57, 530–545. [Google Scholar] [CrossRef]
- Boopalan, C.; Rajamane, N.P. An Investigation of Bond Strength of Reinforcing Bars in Fly Ash and GGBS Based Geopolymer Concrete. MATEC Web Conf. 2017, 97, 1–12. [Google Scholar] [CrossRef] [Green Version]
- Albidah, A.; Abadel, A.; Alrshoudi, F.; Altheeb, A.; Abbas, H.; Al-Salloum, Y. Bond Strength between Concrete Substrate and Metakaolin Geopolymer Repair Mortars at Ambient and Elevated Temperatures. J. Mater. Res. Technol. 2020, 9, 10732–10745. [Google Scholar] [CrossRef]
- Cui, Y.; Kayali, O.; Zhao, T.; Zhang, C. Bond Strength of Steel Bar and Plain or Fibre Reinforced Geopolymer Concrete. In Proceedings of the World Congress on Advances in Structural Engineering and Mechanics, Seoul, Korea, 28 August–1 September 2017. [Google Scholar]
- Sarker, P. Bond Strengths of Geopolymer and Cement Concretes. In Advances in Science and Technology; Trans Tech Publications Ltd: Bäch, Switzerland, 2010; Volume 69, pp. 143–151. [Google Scholar] [CrossRef] [Green Version]
- Mahran, U.M. Theoretical Study for Bond Between Reinforcement Steel and Concrete. Int. J. Sci. Basic Appl. Res. (IJSBAR) 2013, 12, 93–102. [Google Scholar]
- Chang, E.H. Shear and Bond Behaviour of Reinforced Fly Ash-Based Geopolymer Concrete Beams. Ph.D. Thesis, Curtin University, Perth, WA, USA, 2009. [Google Scholar]
- Albidah, A.; Altheeb, A.; Alrshoudi, F.; Abadel, A.; Abbas, H.; Al-Salloum, Y. Bond Performance of GFRP and Steel Rebars Embedded in Metakaolin Based Geopolymer Concrete. Structures 2020, 27, 1582–1593. [Google Scholar] [CrossRef]
- Cui, Y.; Qu, S.; Bao, J.; Zhang, P. Bond Performance of Steel Bar and Fly Ash-Based Geopolymer Concrete in Beam End Tests. Polymers 2022, 14, 2012. [Google Scholar] [CrossRef]
- Lundgren, K. Bond between Ribbed Bars and Concrete. Part 1: Modified Model. Mag. Concr. Res. 2005, 57, 371–382. [Google Scholar] [CrossRef] [Green Version]
- Wolenski, A.R.V.; de Castro, S.S.; Penna, S.S.; Pitangueira, R.L.S.; Silva, B.V.; Barbosa, M.P. Experimental and Finite Element Analysis of Bond-Slip in Reinforced Concrete. Rev. Ibracon. Estrut. Mater. 2015, 8, 787–799. [Google Scholar] [CrossRef] [Green Version]
- Ana Lúcia, A.L.H.; de Almeida Filho, E.F.M. Theoretical and Numerical Approach of the Bond Behavior in Beam Tests Using Self-Compacting and Ordinary Concrete with the Same Compressive Strength. Ciencia Engenharia/Sci. Eng. J. 2007, 16, 99–106. [Google Scholar]
- Lundgren, K. Modeling Bond between Corroded Reinforcement and Concrete. Fract. Mech. Concr. Struct. 2001, 247–254. [Google Scholar]
- Rolland, A.; Argoul, P.; Benzarti, K.; Quiertant, M.; Chataigner, S.; Khadour, A. Analytical and Numerical Modeling of the Bond Behavior between FRP Reinforcing Bars and Concrete. Constr. Build. Mater. 2020, 231, 117160. [Google Scholar] [CrossRef]
- Tekle, B.H.; Khennane, A.; Kayali, O. Bond Properties of Glass Fibre Reinforced Polymer Bars with Fly-Ash Based Geopolymer Concrete. In Proceedings of the 10th International Conference on Composite Science and Technology, Lisbon, Portugal, 2 September 2015; pp. 1–8. [Google Scholar]
- Pelisser, F.; Silva, B.V.; Menger, M.H.; Frasson, B.J.; Keller, T.A.; Torii, A.J.; Lopez, R.H. Structural Analysis of Composite Metakaolin-Based Geopolymer Concrete. Rev. Ibracon Estrut. Mater. 2018, 11, 535–543. [Google Scholar] [CrossRef]
- Pham, K.V.A.; Nguyen, T.K.; Le, T.A.; Han, S.W.; Lee, G.; Lee, K. Assessment of Performance of Fiber Reinforced Geopolymer Composites by Experiment and Simulation Analysis. Appl. Sci. 2019, 9, 3424. [Google Scholar] [CrossRef] [Green Version]
- Pham, K.V.A.; Nguyen, K.T.; Le, T.A.; Lee, K. Investigation of Impact Behavior of Innovative Non-Curing Steel Fiber Geopolymer Composites. Case Stud. Constr. Mater. 2022, 16, e01011. [Google Scholar] [CrossRef]
- Amani, K.; Reddy, Y.R. Comparative Study On Bond Strengths Of Reinforcing Bars Embedded In Conventional And Geopolymer Concretes. Int. J. Eng. Tech. 2018, 4, 105–111. [Google Scholar]
- Paswan, R.; Rahman, M.R.; Singh, S.K.; Singh, B. Bond Behavior of Reinforcing Steel Bar and Geopolymer Concrete. J. Mater. Civ. Eng. 2020, 32, 04020167. [Google Scholar] [CrossRef]
- Davidovits, J. Geopolymer Chemistry and Applications, 3rd ed.; Geopolymer Institute: Saint-Quentin, France, 2011. [Google Scholar]
- ASTM C39; Standard Test Method for Compressive Strength of Cylindrical Concrete Specimens 2018. ASTM: West Conshohocken, PA, USA, 2018.
- Popovics, S. A Numerical Approach to the Complete Stress-Strain Curve of Concrete. Cem. Concr. Res. 1973, 3, 1154–1157. [Google Scholar] [CrossRef]
- European Committee. Standardization Eurocode 2: Design of Concrete Structures: Part 1-1: General Rules and Rules for Buildings; European Committee: Brussels, Belgium, 2004; Volume 1. [Google Scholar]
- CEB CEB-FIP Model Code 2010. fib Model Code for Concrete Structures 2010; Wiley: Hoboken, NJ, USA, 2013. [Google Scholar] [CrossRef] [Green Version]
- ACI Committee 318. ACI 318-14; American Concrete Institute: Farmington Hills, MI, USA, 2014. [Google Scholar]
- Molina, L.; Javier, F.; Ruiz, F.; Alejandro, M.; Montes, H.; Alonso, A.; Cruz, M. Bond Strength of Galvanized Steel: Experimental and Numerical Study Based on Pull-out Tests. 2015. Available online: https://idus.us.es/handle/11441/35172 (accessed on 10 June 2022).
- Pereira, H.F.S.G.; Cunha, V.M.C.F.; Sena-Cruz, J. Numerical Simulation of Galvanized Rebars Pullout. Frattura ed Integrita Strutturale 2015, 31, 54–66. [Google Scholar] [CrossRef] [Green Version]
- Henriques, J.; Simões da Silva, L.; Valente, I.B. Numerical Modeling of Composite Beam to Reinforced Concrete Wall Joints. Part I: Calibration of Joint Components. Eng. Struct. 2013, 52, 747–761. [Google Scholar] [CrossRef]
- Youai Gan Bond Stress and Slip Modeling iN Nonlinear Finite Element Analysis of Reinforced Concrete Structures. Master’s Thesis, University of Toronto, Toronto, ON, Canada, 2000.
- Hardjito, D.; Rangan, B.V. Development and Properties of Low-Calcium Fly Ash-Based Geopolymer Concrete; Research report GC1; Curtin University of Technology: Bentley, Australia, 2005. [Google Scholar]
- Abdul Sani, M.F.A.; Muhamad, R. Bond Behaviour of Geopolymer Concrete in Structural Application: A Review. In Proceedings of the IOP Conference Series: Earth and Environmental Science; Institute of Physics Publishing: Bristol, UK, 2020; Volume 476. [Google Scholar]
- Dewi, E.S.; Ekaputri, J.J. The Influence of Plain Bar on Bond Strength of Geopolymer Concrete. AIP Conf. Proc. 2017, 1855, 030017. [Google Scholar] [CrossRef]
- Orangun, C.O.; Jirsa, J.O.; Breen, J.E. A Reevaluation of Test Data on Development Length and Splices. ACI J. 1977, 74, 114–122. [Google Scholar]
- Kim, J.S.; Park, J.H. An Experiment on Bond Properties of Reinforcements Embedded in Ultra High Performance Concrete. Mater. Sci. Forum 2016, 857, 323–326. [Google Scholar] [CrossRef]
- Ichinose, T.; Kanayama, Y.; Inoue, Y.; Bolander, J.E. Size Effect on Bond Strength of Deformed Bars. Constr. Build. Mater. 2004, 18, 549–558. [Google Scholar] [CrossRef]













| Oxide | SiO2 | Al2O3 | Fe2O3 | CaO | K2O & Na2O | MgO | SO3 | LOI * |
|---|---|---|---|---|---|---|---|---|
| (%) | 52 | 31.9 | 3.48 | 1.2 | 1.02 | 0.81 | 0.3 | 9.6 |
| Name | CA | FA | Fly Ash | Na2SiO3 Solution | NaOH Solution | AL/GS | Superplasticizer | Description of Mixtures |
|---|---|---|---|---|---|---|---|---|
| (kg) | (kg) | (kg) | (kg) | (kg) | (kg) | |||
| GP1 | Cured at 60 °C, 4 h | |||||||
| GP2 | 1294 | 554 | 476 | 120 | 48 | 0.35 | 7 | Cured at 60 °C, 8 h |
| GP3 | Cured at 60 °C, 12 h |
| Rebar | Rib Height (mm) | Rib Spacing (mm) |
|---|---|---|
| d12 | 0.78 | 7.8 |
| d16 | 1.04 | 10.4 |
| d20 | 1.3 | 13 |
| Name of Specimen | db | c | c/db | ld |
|---|---|---|---|---|
| (mm) | (mm) | (mm) | ||
| GP1 R1 | 12 | 69 | 5.75 | 100 |
| GP1 R2 | 16 | 67 | 4.19 | 100 |
| GP1 R3 | 20 | 65 | 3.25 | 100 |
| GP2 R1 | 12 | 69 | 5.75 | 100 |
| GP2 R2 | 16 | 67 | 4.19 | 100 |
| GP2 R3 | 20 | 65 | 3.25 | 100 |
| GP3 R1 | 12 | 69 | 5.75 | 100 |
| GP3 R2 | 16 | 67 | 4.19 | 100 |
| GP3 R3 | 20 | 65 | 3.25 | 100 |
| Specimen | db | c | c/db | ld | τ (Experiment) | τ (Orangun [47]) | τ (Kim and Park [48]) |
|---|---|---|---|---|---|---|---|
| (mm) | (mm) | (mm) | (MPa) | (MPa) | (MPa) | ||
| GP1 R1 | 12 | 69 | 5.75 | 100 | 6.80 | 9.08 | 16.63 |
| GP1 R2 | 16 | 67 | 4.19 | 100 | 6.01 | 8.08 | 15.97 |
| GP1 R3 | 20 | 65 | 3.25 | 100 | 6.38 | 7.78 | 15.88 |
| GP2 R1 | 12 | 69 | 5.75 | 100 | 11.54 | 11.31 | 20.70 |
| GP2 R2 | 16 | 67 | 4.19 | 100 | 11.86 | 10.06 | 19.89 |
| GP2 R3 | 20 | 65 | 3.25 | 100 | 10.14 | 9.69 | 19.77 |
| GP3 R1 | 12 | 69 | 5.75 | 100 | 14.38 | 13.00 | 23.81 |
| GP3 R2 | 16 | 67 | 4.19 | 100 | 15.40 | 11.57 | 22.87 |
| GP3 R3 | 20 | 65 | 3.25 | 100 | 12.61 | 11.14 | 22.73 |
| Db | f’c | s1 Exp | s1 FEM | τmax Exp | τmax FEM | (s1 Exp)/(s1 FEM) | (τmax Exp)/(τmax FEM) |
|---|---|---|---|---|---|---|---|
| (mm) | MPa) | (mm) | (mm) | (MPa) | (MPa) | ||
| 12 | 20.33 | 1.28 | 1.93 | 6.8 | 6.82 | 0.67 | 1 |
| 16 | 20.33 | 1.17 | 2.28 | 8.65 | 8.68 | 0.51 | 1 |
| 20 | 20.33 | 1.13 | 1.4 | 8.63 | 8.82 | 0.81 | 0.98 |
| 12 | 31.45 | 1.12 | 1.58 | 8.01 | 8.09 | 0.71 | 0.99 |
| 16 | 31.45 | 1.09 | 2.28 | 11.86 | 11.69 | 0.48 | 1.01 |
| 20 | 31.45 | 1.05 | 1.23 | 12.32 | 12.37 | 0.86 | 1 |
| 12 | 41.12 | 1.32 | 1.93 | 10.64 | 10.34 | 0.69 | 1.03 |
| 16 | 41.12 | 1.29 | 1.66 | 12.67 | 12.79 | 0.78 | 0.99 |
| 20 | 41.12 | 1.05 | 1.23 | 12.61 | 12.54 | 0.86 | 1.01 |
| mean | 0.71 | 1 | |||||
| CoV | 0.2 | 0.01 |
Publisher’s Note: MDPI stays neutral with regard to jurisdictional claims in published maps and institutional affiliations. |
© 2022 by the authors. Licensee MDPI, Basel, Switzerland. This article is an open access article distributed under the terms and conditions of the Creative Commons Attribution (CC BY) license (https://creativecommons.org/licenses/by/4.0/).
Share and Cite
Le, T.A.; Nguyen, T.N.; Nguyen, K.T. Experimental, Numerical, and Theoretical Studies of Bond Behavior of Reinforced Fly Ash-Based Geopolymer Concrete. Appl. Sci. 2022, 12, 7812. https://doi.org/10.3390/app12157812
Le TA, Nguyen TN, Nguyen KT. Experimental, Numerical, and Theoretical Studies of Bond Behavior of Reinforced Fly Ash-Based Geopolymer Concrete. Applied Sciences. 2022; 12(15):7812. https://doi.org/10.3390/app12157812
Chicago/Turabian StyleLe, Tuan Anh, Thuy Ninh Nguyen, and Khoa Tan Nguyen. 2022. "Experimental, Numerical, and Theoretical Studies of Bond Behavior of Reinforced Fly Ash-Based Geopolymer Concrete" Applied Sciences 12, no. 15: 7812. https://doi.org/10.3390/app12157812
APA StyleLe, T. A., Nguyen, T. N., & Nguyen, K. T. (2022). Experimental, Numerical, and Theoretical Studies of Bond Behavior of Reinforced Fly Ash-Based Geopolymer Concrete. Applied Sciences, 12(15), 7812. https://doi.org/10.3390/app12157812

