(Bio)Tribocorrosion in Dental Implants: Principles and Techniques of Investigation
Abstract
:1. Introduction

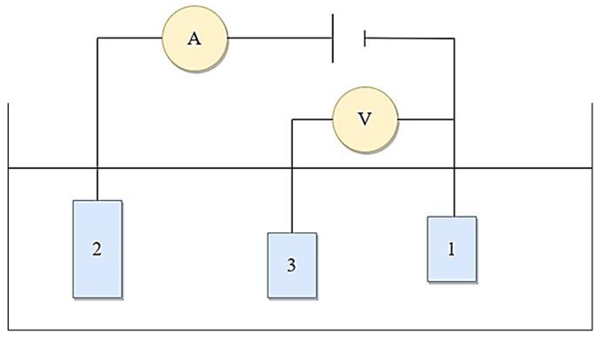
2. Techniques of Investigation in Tribocorrosion
- E0 is the standard potential of reduction;
- R and F respectively the Universal Gas Constant and Faraday Constant;
- T the temperature expressed in Kelvin;
- n the number of electrons exchanged;
- Co and Cr raised to the stoichiometric coefficients the molar concentration (or pressure in gas cases) of the species oxidated and reduced.
- Calculation of Stern–Geary coefficient B as follows:where ba and bc are the anodic and cathodic slopes in volts.
- Evaluation of ICorr as follows:with RP (polarization resistance) slope of the potential versus current density plot taken at 20 mV.
- Corrosion rate measurement as follows:where EW is the equivalent weight in grams, ρ the density in g/cm3 and CR is the corrosion rate in mm per year.
3. Synergistic Approach
- Cw = total loss for corrosion;
- Wc = total loss for wear.
4. Dental Implant
4.1. Implant Structure
4.2. Literature Overview in Dental Tribocorrosion
4.2.1. The Effect of the Regime of Sliding
4.2.2. The Influence of the Solution Chemical Composition
4.2.3. The Impact of Specific Surface Treatments
4.2.4. The Tribocorrosion: A Multivariable Phenomenon
4.2.5. The Future Tendencies
5. Conclusions
Author Contributions
Funding
Institutional Review Board Statement
Informed Consent Statement
Conflicts of Interest
References
- Mehkri, S.; Abishek, N.; Sumanth, K.S.; Rekha, N. Study of the Tribocorrosion occurring at the implant and implant alloy Interface: Dental implant materials. Mater. Today Proc. 2021, 44, 157–165. [Google Scholar] [CrossRef]
- Affatato, S.; Ruggiero, A.; Merola, M. Advanced biomaterials in hip joint arthroplasty. A review on polymer and ceramics composites as alternative bearings. Compos. Part B Eng. 2015, 83, 276–283. [Google Scholar] [CrossRef]
- Stachowiak, G.W.; Batchelor, A.W. Engineering Tribology; Elsevier Butterworth-Heinemann: Oxford, UK, 2005. [Google Scholar]
- Eden, E.M.; Rose, W.N.; Cunningham, P.L. The Endurance of Metals: Experiments on Rotating Beams at University College, London. Proc. Inst. Mech. Eng. 1911, 81, 839–974. [Google Scholar] [CrossRef]
- Mathew, M.; Pai, P.S.; Pourzal, R.; Fischer, A.; Wimmer, M.A. Significance of Tribocorrosion in Biomedical Applications: Overview and Current Status. Adv. Tribol. 2009, 2009, 250986. [Google Scholar] [CrossRef] [Green Version]
- Mischler, S. Triboelectrochemical techniques and interpretation methods in tribocorrosion: A comparative evaluation. Tribol. Int. 2008, 41, 573–583. [Google Scholar] [CrossRef]
- Cruz, H.V.; Souza, J.C.M.; Henriques, M.; Rocha, L.A. Tribocorrosion and Bio-Tribocorrosion in the Oral Environment: The Case of Dental Implants. In Biomedical Tribology; Davim, J.P., Ed.; Nova Science Publishers: New York, NY, USA, 2011. [Google Scholar]
- Geringer, J.; Kim, K.; Pellier, J.; Macdonald, D. Fretting corrosion processes and wear mechanisms in medical implants. In Bio-tribocorrosion in Biomaterials and Medical Implants; Woodhead Publishing: Sawston, UK, 2013; pp. 45–73. [Google Scholar] [CrossRef]
- Affatato, S.; Ruggiero, A.; Jaber, S.A.; Merola, M.; Bracco, P. Wear Behaviours and Oxidation Effects on Different UHMWPE Acetabular Cups Using a Hip Joint Simulator. Materials 2018, 11, 433. [Google Scholar] [CrossRef] [Green Version]
- Del Amo, F.S.; Garaicoa-Pazmiño, C.; Fretwurst, T.; Castilho, R.M.; Squarize, C.H. Dental implants-associated release of titanium particles: A systematic review. Clin. Oral Implant Res. 2018, 29, 1085–1100. [Google Scholar] [CrossRef]
- Sin, J.R.; Hu, X.; Emami, N. Tribology, corrosion and tribocorrosion of metal on metal implants. Tribol.—Mater. Surfaces Interfaces 2013, 7, 1–12. [Google Scholar] [CrossRef]
- Teichtahl, A.J.; Wluka, A.E.; Wijethilake, P.; Wang, Y.; Ghasem-Zadeh, A.; Cicuttini, F.M. Wolff’s law in action: A mechanism for early knee osteoarthritis. Arthritis Res. Ther. 2015, 17, 207. [Google Scholar] [CrossRef] [Green Version]
- Visuri, T.; Pukkala, E.; Paavolainen, P.; Pulkkinen, P.; Riska, E.B. Cancer Risk After Metal on Metal and Polyethylene on Metal Total Hip Arthroplasty. Clin. Orthop. Relat. Res. 1996, 329, S280–S289. [Google Scholar] [CrossRef]
- Kheder, W.; Al Kawas, S.; Khalaf, K.; Samsudin, A. Impact of tribocorrosion and titanium particles release on dental implant complications—A narrative review. Jpn. Dent. Sci. Rev. 2021, 57, 182–189. [Google Scholar] [CrossRef] [PubMed]
- Lee, R.S.; Hamlet, S.M.; Moon, H.-J.; Ivanovski, S. Re-establishment of macrophage homeostasis by titanium surface modification in type II diabetes promotes osseous healing. Biomaterials 2021, 267, 120464. [Google Scholar] [CrossRef]
- Werny, J.G.; Sagheb, K.; Diaz, L.; Kämmerer, P.W.; Al-Nawas, B.; Schiegnitz, E. Does vitamin D have an effect on osseointegration of dental implants? A systematic review. Int. J. Implant Dent. 2022, 8, 16. [Google Scholar] [CrossRef] [PubMed]
- Gibreel, S.; Mohamed, H.G.; Suraj, A.R.; Anil, S. Osseointegration of Dental Implants and Osteoporosis. In Current Concepts in Dental Implantology—From Science to Clinical Research; IntechOpen: London, UK, 2021. [Google Scholar]
- Baseri, M.; Radmand, F.; Hamedi, R.; Yousefi, M.; Kafil, H.S. Immunological Aspects of Dental Implant Rejection. BioMed Res. Int. 2020, 2020, 7279509. [Google Scholar] [CrossRef]
- Albrektsson, T.; Zarb, G.; Worthington, P.; Eriksson, A.R. Available online: https://pubmed.ncbi.nlm.nih.gov/3527955/ (accessed on 1 April 2022).
- Schwarz, F.; Derks, J.; Monje, A.; Wang, H. Peri-implantitis. J. Clin. Periodontol. 2018, 45, S246–S266. [Google Scholar] [CrossRef] [Green Version]
- Renvert, S.; Persson, G.R.; Pirih, F.Q.; Camargo, P.M. Peri-implant health, peri-implant mucositis, and peri-implantitis: Case definitions and diagnostic considerations. J. Clin. Periodontol. 2018, 45, S278–S285. [Google Scholar] [CrossRef] [PubMed] [Green Version]
- Klinge, B.; Klinge, A.; Bertl, K.; Stavropoulos, A. Peri-implant diseases. Eur. J. Oral Sci. 2018, 126 (Suppl. 1), 88–94. [Google Scholar] [CrossRef] [Green Version]
- Yan, Y.; Neville, A.; Dowson, D. Biotribocorrosion—An appraisal of the time dependence of wear and corrosion interactions: I. The role of corrosion. J. Phys. D Appl. Phys. 2006, 39, 3200–3205. [Google Scholar] [CrossRef]
- Rieger, P.H. Electrochemistry; Springer: Dordrecht, The Netherlands, 1993. [Google Scholar] [CrossRef]
- Walker, P.S. A comparison of normal and artificial human joints. Acta Orthop. Belg. 1973, 39, 43–54. [Google Scholar]
- Henry, P.; Takadoum, J.; Berçot, P. Depassivation of some metals by sliding friction. Corros. Sci. 2011, 53, 320–328. [Google Scholar] [CrossRef]
- Zhang, B.-B.; Wang, J.-Z.; Zhang, Y.; Han, G.-F.; Yan, F.-Y. Tribocorrosion behavior of 410SS in artificial seawater: Effect of applied potential. Mater. Corros. 2016, 68, 295–305. [Google Scholar] [CrossRef]
- Sun, Y.; Rana, V. Tribocorrosion behaviour of AISI 304 stainless steel in 0.5 M NaCl solution. Mater. Chem. Phys. 2011, 129, 138–147. [Google Scholar] [CrossRef]
- Xue, C.; Zhang, P.; Wei, D.; Hu, H.; Li, F.; Yang, K. Corrosion and Tribocorrosion Behaviors for TA3 in Ringer’s Solution after Implantation of Nb Ions. Appl. Sci. 2020, 10, 8329. [Google Scholar] [CrossRef]
- Arya, S.B.; Joseph, F.J. Electrochemical methods in tribocorrosion. In Tribocorrosion; Academic Press: Cambridge, MA, USA, 2021; pp. 43–77. [Google Scholar] [CrossRef]
- Alonso-Falleiros, N.; Hakim, A.; Wolynec, S. Comparison Between Potentiodynamic and Potentiostatic Tests for Pitting Potential Measurement of Duplex Stainless Steels. Corrosion 1999, 55, 443–448. [Google Scholar] [CrossRef]
- Sundén, B. Electrochemistry and thermodynamics. In Hydrogen, Batteries and Fuel Cells; Academic Press: Cambridge, MA, USA, 2019; pp. 15–36. [Google Scholar] [CrossRef]
- López-Ortega, A.; Arana, J.L.; Bayón, R. Tribocorrosion of Passive Materials: A Review on Test Procedures and Standards. Int. J. Corros. 2018, 2018, 7345346. [Google Scholar] [CrossRef]
- Diomidis, N.; Celis, J.-P.; Ponthiaux, P.; Wenger, F. Tribocorrosion of stainless steel in sulfuric acid: Identification of corrosion–wear components and effect of contact area. Wear 2010, 269, 93–103. [Google Scholar] [CrossRef]
- Ponthiaux, P.; Bayon, R.; Wenger, F.; Celis, J.-P. Testing protocol for the study of bio-tribocorrosion. In Bio-Tribocorrosion in Biomaterials and Medical Implants; Woodhead Publishing Limited: Sawston, UK, 2013; pp. 372–394. [Google Scholar]
- Bestetti, M.; Franz, S.; Hashempour, M.I.; Vicenzo, A. Calculation of Uniform Corrosion Current Density of Iron in Hydrochloric Acid Solutions based on the Principle of Maximum Entropy Production Rate Applied to Literature Data. Prot. Met. Phys. Chem. Surf. 2018, 54, 673–679. [Google Scholar] [CrossRef]
- Anaee, R.A.M.; Abdulmajeed, M.H. Tribocorrosion. In Tribology; Pranav, H.D., Ed.; InTechOpen: London, UK, 2016. [Google Scholar]
- Magar, H.S.; Hassan, R.Y.A.; Mulchandani, A. Electrochemical Impedance Spectroscopy (EIS): Principles, Construction, and Biosensing Applications. Sensors 2021, 21, 6578. [Google Scholar] [CrossRef]
- Azzi, M.; Paquette, M.; Szpunar, J.; Klemberg-Sapieha, J.; Martinu, L. Tribocorrosion behaviour of DLC-coated 316L stainless steel. Wear 2009, 267, 860–866. [Google Scholar] [CrossRef]
- Uhlig, H.H. Mechanism of Fretting Corrosion. J. Appl. Mech. 1954, 21, 401–407. [Google Scholar] [CrossRef]
- Cao, S.; Mischler, S. Modeling tribocorrosion of passive metals—A review. Curr. Opin. Solid State Mater. Sci. 2018, 22, 127–141. [Google Scholar] [CrossRef]
- Ruggiero, A.; Stefano, M.D. Evaluation of the Real Contact Area of Rough Surfaces by Using a Finite Element Model; Springer: New York, NY, USA, 2021; Volume 91. [Google Scholar]
- Mischler, S.; Debaud, S.; Landolt, D. Wear-Accelerated Corrosion of Passive Metals in Tribocorrosion Systems. J. Electrochem. Soc. 1998, 145, 170. [Google Scholar] [CrossRef]
- Vieira, A.C.; Rocha, L.A.; Papageorgiou, N.; Mischler, S. Mechanical and electrochemical deterioration mechanisms in the tribocorrosion of Al alloys in NaCl and in NaNO3 solutions. Corros. Sci. 2012, 54, 26–35. [Google Scholar] [CrossRef] [Green Version]
- Cao, S.; Maldonado, S.G.; Mischler, S. Tribocorrosion of passive metals in the mixed lubrication regime: Theoretical model and application to metal-on-metal artificial hip joints. Wear 2015, 324–325, 55–63. [Google Scholar] [CrossRef]
- Cao, S.; Mischler, S. A lubricated tribocorrosion model incorporating surface roughness. Biotribology 2021, 26, 100181. [Google Scholar] [CrossRef]
- Ghanbarzadeh, A.; Salehi, F.M.; Bryant, M.; Neville, A. Modelling the evolution of electrochemical current in potentiostatic condition using an asperity-scale model of tribocorrosion. Biotribology 2019, 17, 19–29. [Google Scholar] [CrossRef]
- Stachowiak, A.; Zwierzycki, W. Tribocorrosion modeling of stainless steel in a sliding pair of pin-on-plate type. Tribol. Int. 2011, 44, 1216–1224. [Google Scholar] [CrossRef]
- Quinn, T.F.J. Oxidational wear. Wear 1971, 18, 413–419. [Google Scholar] [CrossRef]
- Watson, S.; Friedersdorf, F.; Madsen, B.; Cramer, S. Methods of measuring wear-corrosion synergism. Wear 1995, 181–183, 476–484. [Google Scholar] [CrossRef]
- Mathew, M.; Runa, M.; Laurent, M.; Jacobs, J.; Rocha, L.; Wimmer, M. Tribocorrosion behavior of CoCrMo alloy for hip prosthesis as a function of loads: A comparison between two testing systems. Wear 2011, 271, 1210–1219. [Google Scholar] [CrossRef] [Green Version]
- Jemmely, P.; Mischler, S.; Landolt, D. Electrochemical modeling of passivation phenomena in tribocorrosion. Wear 2000, 237, 63–76. [Google Scholar] [CrossRef]
- Chen, J.; Mraied, H.; Cai, W. Determining Tribocorrosion Rate and Wear-Corrosion Synergy of Bulk and Thin Film Aluminum Alloys. J. Vis. Exp. 2018, 139, e58235. [Google Scholar] [CrossRef] [Green Version]
- Cao, S.; Maldonado, S.G.; Mischler, S. Investigation of polypyrrole/polyvinyl alcohol–titanium dioxide composite films for photo-catalytic applications. Appl. Surf. Sci. 2015, 342, 55–63. [Google Scholar] [CrossRef]
- Serro, A.P.; Degiampietro, K.; Colaço, R.; Saramago, B. Adsorption of albumin and sodium hyaluronate on UHMWPE: A QCM-D and AFM study. Colloids Surf. B Biointerfaces 2010, 78, 1–7. [Google Scholar] [CrossRef] [PubMed]
- Landolt, D.; Mischler, S.; Stemp, M.; Barril, S. Third body effects and material fluxes in tribocorrosion systems involving a sliding contact. Wear 2004, 256, 517–524. [Google Scholar] [CrossRef]
- Wang, K.; Wang, Y.; Yue, X.; Cai, W. Multiphysics modeling and uncertainty quantification of tribocorrosion in aluminum alloys. Corros. Sci. 2021, 178, 109095. [Google Scholar] [CrossRef]
- Lee, J.-H.; Jang, H.Y.; Lee, S.Y. Finite Element Analysis of Dental Implants with Zirconia Crown Restorations: Conventional Cement-Retained vs. Cementless Screw-Retained. Materials 2021, 14, 2666. [Google Scholar] [CrossRef]
- Paracchini, F.I.L.; Angelis, F.D.; Cielo, A.; Orefici, A.; Spitaleri, D.; Santacroce, L.; Gheno, E.; Palermo, A. Biomechanical behaviour of a jawbone loaded with a prosthetic system supported by monophasic and biphasic implants. Oral Implantol. 2016, 9, 65–70. [Google Scholar]
- Affatato, S.; Ruggiero, A. Surface analysis on revised hip implants with stem taper for wear and failure incidence evaluation: A first investigation. Measurement 2019, 145, 38–44. [Google Scholar] [CrossRef]
- Mahajan, S.; Patil, S. Application of finite element analysis to optimizing dental implant. Int. Res. J. Eng. Technol. (IRJET) 2016, 3, 850–856. [Google Scholar]
- Lane, J.M.; Mait, J.E.; Unnanuntana, A.; Hirsch, B.P.; Shaffer, A.D.; Shonuga, O.A. Materials in Fracture Fixation. Compr. Biomater. 2011, 6, 219–235. [Google Scholar]
- James, G.A.; Boegli, L.; Hancock, J.; Bowersock, L.; Parker, A.; Kinney, B.M. Bacterial Adhesion and Biofilm Formation on Textured Breast Implant Shell Materials. Aesthetic Plast. Surg. 2019, 43, 490–497. [Google Scholar] [CrossRef] [PubMed] [Green Version]
- Wennerberg, A.; Albrektsson, T. Effects of titanium surface topography on bone integration: A systematic review. Clin. Oral Implant. Res. 2009, 20, 172–184. [Google Scholar] [CrossRef] [PubMed]
- Astarita, A.; Rubino, F.; Carlone, P.; Ruggiero, A.; Leone, C.; Genna, S.; Merola, M.; Squillace, A. On the Improvement of AA2024 Wear Properties through the Deposition of a Cold-Sprayed Titanium Coating. Metals 2016, 6, 185. [Google Scholar] [CrossRef] [Green Version]
- Žugelj, B.B.; Kalin, M. In-situ Observations of a Multi-Asperity Real Contact Area on a Submicron Scale. J. Mech. Eng. 2017, 63, 351–362. [Google Scholar] [CrossRef] [Green Version]
- Rocha, L.A.; Oliveira, F.; Cruz, H.V.; Sukotjo, C.; Mathew, M.T. bio-tribocorrosion in dental applications. In Bio-Tribocorrosion in Biomaterials and Medical Implants; Woodhead Publishing Limited: Sawston, UK, 2013; pp. 223–249. [Google Scholar]
- Almaguer-Flores, A. Biofilms in the oral environment. In Bio-Tribocorrosion in Biomaterials and Medical Implants; Woodhead Publishing Limited: Sawston, UK, 2013; pp. 169–186. [Google Scholar]
- Lanza, A.; Ruggiero, A.; Sbordone, L. Tribology and Dentistry: A Commentary. Lubricants 2019, 7, 52. [Google Scholar] [CrossRef] [Green Version]
- Barril, S.; Debaud, N.; Mischler, S.; Landolt, D. A tribo-electrochemical apparatus for in vitro investigation of fretting–corrosion of metallic implant materials. Wear 2002, 252, 744–754. [Google Scholar] [CrossRef]
- Contu, F.; Elsener, B.; Böhni, H. A study of the potentials achieved during mechanical abrasion and the repassivation rate of titanium and Ti6Al4V in inorganic buffer solutions and bovine serum. Electrochim. Acta 2004, 50, 33–41. [Google Scholar] [CrossRef]
- Ribeiro, A.R.L.; Rocha, L.A.; Ariza, E.; Gomes, J.R.; Celis, J.-P. Tribocorrosion behaviour of titanium grade 2 in alternative linear regime of sliding in artificial saliva solutions. In Proceedings of the European Corrosion Congress (EUROCORR ’05), Lisbon, Portugal, 4–8 September 2005; pp. 1–10. [Google Scholar]
- Vieira, A.; Ribeiro, A.; Rocha, L.; Celis, J. Influence of pH and corrosion inhibitors on the tribocorrosion of titanium in artificial saliva. Wear 2006, 261, 994–1001. [Google Scholar] [CrossRef]
- Mathew, M.T.; Abbey, S.; Hallab, N.J.; Hall, D.J.; Sukotjo, C.; Wimmer, M.A. Influence of pH on the tribocorrosion behavior of CpTi in the oral environment: Synergistic interactions of wear and corrosion. J. Biomed. Mater. Res. Part B Appl. Biomater. 2012, 100B, 1662–1671. [Google Scholar] [CrossRef]
- Golvano, I.; Garcia, I.; Conde, A.; Tato, W.; Aginagalde, A. Influence of fluoride content and pH on corrosion and tribocorrosion behaviour of Ti13Nb13Zr alloy in oral environment. J. Mech. Behav. Biomed. Mater. 2015, 49, 186–196. [Google Scholar] [CrossRef] [PubMed] [Green Version]
- Licausi, M.P.; Muñoz, A.I.; Borrás, V.A. Tribocorrosion mechanisms of Ti6Al4V biomedical alloys in artificial saliva with different pHs. J. Phys. D Appl. Phys. 2013, 46, 404003. [Google Scholar] [CrossRef]
- Teixeira, H.; Branco, A.C.; Rodrigues, I.; Silva, D.; Cardoso, S.; Colaço, R.; Serro, A.P.; Figueiredo-Pina, C.G. Effect of albumin, urea, lysozyme and mucin on the triboactivity of Ti6Al4V/zirconia pair used in dental implants. J. Mech. Behav. Biomed. Mater. 2021, 118, 104451. [Google Scholar] [CrossRef] [PubMed]
- Alves, A.C.; Oliveira, F.; Wenger, F.; Ponthiaux, P.; Celis, J.-P.; Rocha, L.A. Tribocorrosion behaviour of anodic treated titanium surfaces intended for dental implants. J. Phys. D Appl. Phys. 2013, 46, 404001. [Google Scholar] [CrossRef]
- Alves, S.A.; Bayón, R.; De Viteri, V.S.; Garcia, M.P.; Igartua, A.; Fernandes, M.H.; Rocha, L.A. Tribocorrosion Behavior of Calcium- and Phosphorous-Enriched Titanium Oxide Films and Study of Osteoblast Interactions for Dental Implants. J. Bio-Tribo-Corros. 2015, 1, 23. [Google Scholar] [CrossRef] [Green Version]
- Geringer, J.; Demanget, N.; Pellier, J. From acid etching treatments to tribocorrosive properties of dental implants: Do some experimental results on surface treatments have an influence on the tribocorrosion behaviour of dental implants? J. Phys. D Appl. Phys. 2013, 46, 404005. [Google Scholar] [CrossRef]
- Vilhena, L.M.; Shumayal, A.; Ramalho, A.; Ferreira, J.A.M. Tribocorrosion Behaviour of Ti6Al4V Produced by Selective Laser Melting for Dental Implants. Lubricants 2020, 8, 22. [Google Scholar] [CrossRef] [Green Version]
- Mindivan, F.; Mindivan, H. Microstructure and Tribocorrosion Properties of Pulsed Plasma Nitrided Cast CoCr Alloy for Dental Implant Applications. Acta Phys. Pol. A 2018, 134, 192–195. [Google Scholar] [CrossRef]
- Kunrath, M.F.; Muradás, T.C.; Penha, N.; Campos, M.M. Innovative surfaces and alloys for dental implants: What about biointerface-safety concerns? Dent. Mater. 2021, 37, 1447–1462. [Google Scholar] [CrossRef]
- Revathi, A.; Borrás, A.D.; Muñoz, A.I.; Richard, C.; Manivasagam, G. Degradation mechanisms and future challenges of titanium and its alloys for dental implant applications in oral environment. Mater. Sci. Eng. C 2017, 76, 1354–1368. [Google Scholar] [CrossRef]
- Holmes, D.; Sharifi, S.; Stack, M.M. Tribo-corrosion of steel in artificial saliva. Tribol. Int. 2014, 75, 80–86. [Google Scholar] [CrossRef] [Green Version]
- Wang, Z.; Zhou, Y.; Wang, H.; Li, Y.; Huang, W. Tribocorrosion behavior of Ti-30Zr alloy for dental implants. Mater. Lett. 2018, 218, 190–192. [Google Scholar] [CrossRef]
- Borrás, A.D.; Buch, A.R.; Cardete, A.R.; Navarro-Laboulais, J.; Muñoz, A.I. Chemo-mechanical effects on the tribocorrosion behavior of titanium/ceramic dental implant pairs in artificial saliva. Wear 2019, 426–427, 162–170. [Google Scholar] [CrossRef]
- Alfaro, M.F.; Rossman, P.K.; Marques, I.D.S.V.; Dube, A.; Takoudis, C.; Shokuhfar, T.; Mathew, M.T.; Sukotjo, C. Interface Damage in Titanium Dental Implant Due to Tribocorrosion: The Role of Mastication Frequencies. J. Bio-Tribo-Corros. 2019, 5, 81. [Google Scholar] [CrossRef]
- Noronha Oliveira, M.; Schunemann, W.V.H.; Mathew, M.T.; Henriques, B.; Magini, R.S.; Teughels, W.; Souza, J.C.M. Can degradation products released from dental implants affect peri-implant tissues? J. Periodontal Res. 2018, 53, 1–11. [Google Scholar] [CrossRef] [PubMed]
- Ramachandran, R.A.; Barão, V.A.R.; Matos, A.O.; Cordeiro, J.M.; Grandini, C.R.; Sukotjo, C.; Mathew, M.T. Suitability of Ti–Zr Alloy for Dental Implants: Tribocorrosion Investigation. J. Bio-Tribo-Corros. 2021, 7, 152. [Google Scholar] [CrossRef]
- Sikora, C.L.; Alfaro, M.F.; Yuan, J.C.-C.; Barao, V.A.; Sukotjo, C.; Mathew, M.T. Wear and Corrosion Interactions at the Titanium/Zirconia Interface: Dental Implant Application. J. Prosthodont. 2018, 27, 842–852. [Google Scholar] [CrossRef]
- Alves, S.A.; Rossi, A.; Ribeiro, A.; Toptan, F.; Pinto, A.; Shokuhfar, T.; Celis, J.-P.; Rocha, L. Improved tribocorrosion performance of bio-functionalized TiO2 nanotubes under two-cycle sliding actions in artificial saliva. J. Mech. Behav. Biomed. Mater. 2018, 80, 143–154. [Google Scholar] [CrossRef]
- Xu, Z.; Yate, L.; Qiu, Y.; Aperador, W.; Coy, E.; Jiang, B.; Moya, S.; Wang, G.; Pan, H. Potential of niobium-based thin films as a protective and osteogenic coating for dental implants: The role of the nonmetal elements. Mater. Sci. Eng. C 2019, 96, 166–175. [Google Scholar] [CrossRef]
- Sotto-Maior, B.S.; Mercuri, E.G.F.; Senna, P.M.; Assis, N.M.S.P.; Francischone, C.E.; Cury, A.A.D.B. Evaluation of bone remodeling around single dental implants of different lengths: A mechanobiological numerical simulation and validation using clinical data. Comput. Methods Biomech. Biomed. Eng. 2016, 19, 699–706. [Google Scholar] [CrossRef]
- Lee, D.-W.; Choi, Y.-S.; Park, K.H.; Kim, C.-S.; Moon, I.-S. Effect of microthread on the maintenance of marginal bone level: A 3-year prospective study. Clin. Oral Implant. Res. 2007, 18, 465–470. [Google Scholar] [CrossRef] [PubMed]
- Barão, V.A.; Ramachandran, R.A.; Matos, A.O.; Badhe, R.V.; Grandini, C.R.; Sukotjo, C.; Ozevin, D.; Mathew, M. Prediction of tribocorrosion processes in titanium-based dental implants using acoustic emission technique: Initial outcome. Mater. Sci. Eng. C 2021, 123, 112000. [Google Scholar] [CrossRef] [PubMed]
- Barros, C.D.d.R.; Rocha, J.C.; Bastos, I.N.; Gomes, J.A.d.C.P. Tribocorrosion Resistance of Dental Implant Alloys—Assessment of cp-Ti, Ti6Al4V, and NiCr in Neutral and Acidified Saliva. J. Bio-Tribo-Corros. 2021, 7, 73. [Google Scholar] [CrossRef]
- Ruggiero, A.; D’Amato, R.; Sbordone, L.; Haro, F.B.; Lanza, A. Experimental Comparison on Dental BioTribological Pairs Zirconia/Zirconia and Zirconia/Natural Tooth by Using a Reciprocating Tribometer. J. Med. Syst. 2019, 43, 97. [Google Scholar] [CrossRef]
- Ruggiero, A.; Zhang, H. Editorial: Biotribology and Biotribocorrosion Properties of Implantable Biomaterials. Front. Mech. Eng. 2020, 6, 17. [Google Scholar] [CrossRef]
- Ruggiero, A.; Sicilia, A. Lubrication modeling and wear calculation in artificial hip joint during the gait. Tribol. Int. 2020, 142, 105993. [Google Scholar] [CrossRef]
- Ruggiero, A.; Sicilia, A.; Affatato, S. In silico total hip replacement wear testing in the framework of ISO 14242-3 accounting for mixed elasto-hydrodynamic lubrication effects. Wear 2020, 460, 203420. [Google Scholar] [CrossRef]
- Ruggiero, A.; Sicilia, A. A mixed elasto-hydrodynamic lubrication model for wear calculation in artificial hip joints. Lubricants 2020, 8, 72. [Google Scholar] [CrossRef]




| K | Mechanism of Degradation |
|---|---|
| <0.1 | Wear |
| 0.1–1 | Wear-Induced Corrosion |
| 1–10 | Corrosion-Induced Wear |
| >10 | Corrosion |
Publisher’s Note: MDPI stays neutral with regard to jurisdictional claims in published maps and institutional affiliations. |
© 2022 by the authors. Licensee MDPI, Basel, Switzerland. This article is an open access article distributed under the terms and conditions of the Creative Commons Attribution (CC BY) license (https://creativecommons.org/licenses/by/4.0/).
Share and Cite
De Stefano, M.; Aliberti, S.M.; Ruggiero, A. (Bio)Tribocorrosion in Dental Implants: Principles and Techniques of Investigation. Appl. Sci. 2022, 12, 7421. https://doi.org/10.3390/app12157421
De Stefano M, Aliberti SM, Ruggiero A. (Bio)Tribocorrosion in Dental Implants: Principles and Techniques of Investigation. Applied Sciences. 2022; 12(15):7421. https://doi.org/10.3390/app12157421
Chicago/Turabian StyleDe Stefano, Marco, Silvana Mirella Aliberti, and Alessandro Ruggiero. 2022. "(Bio)Tribocorrosion in Dental Implants: Principles and Techniques of Investigation" Applied Sciences 12, no. 15: 7421. https://doi.org/10.3390/app12157421
APA StyleDe Stefano, M., Aliberti, S. M., & Ruggiero, A. (2022). (Bio)Tribocorrosion in Dental Implants: Principles and Techniques of Investigation. Applied Sciences, 12(15), 7421. https://doi.org/10.3390/app12157421
