Vibration Fatigue Analysis of a Simply Supported Cracked Beam Subjected to a Typical Load
Abstract
:1. Introduction
2. Modal Analysis
2.1. Model of Cracked Beam
2.2. Modal Analysis
3. Vibration Fatigue Analysis
3.1. Dynamic Response Analysis
3.2. Stress Intensity Factor
3.3. Loose Coupling Analysis Method
3.4. Fatigue Failure Criterion
4. Results and Discussions
4.1. Natural Frequency
4.2. Relative Positions
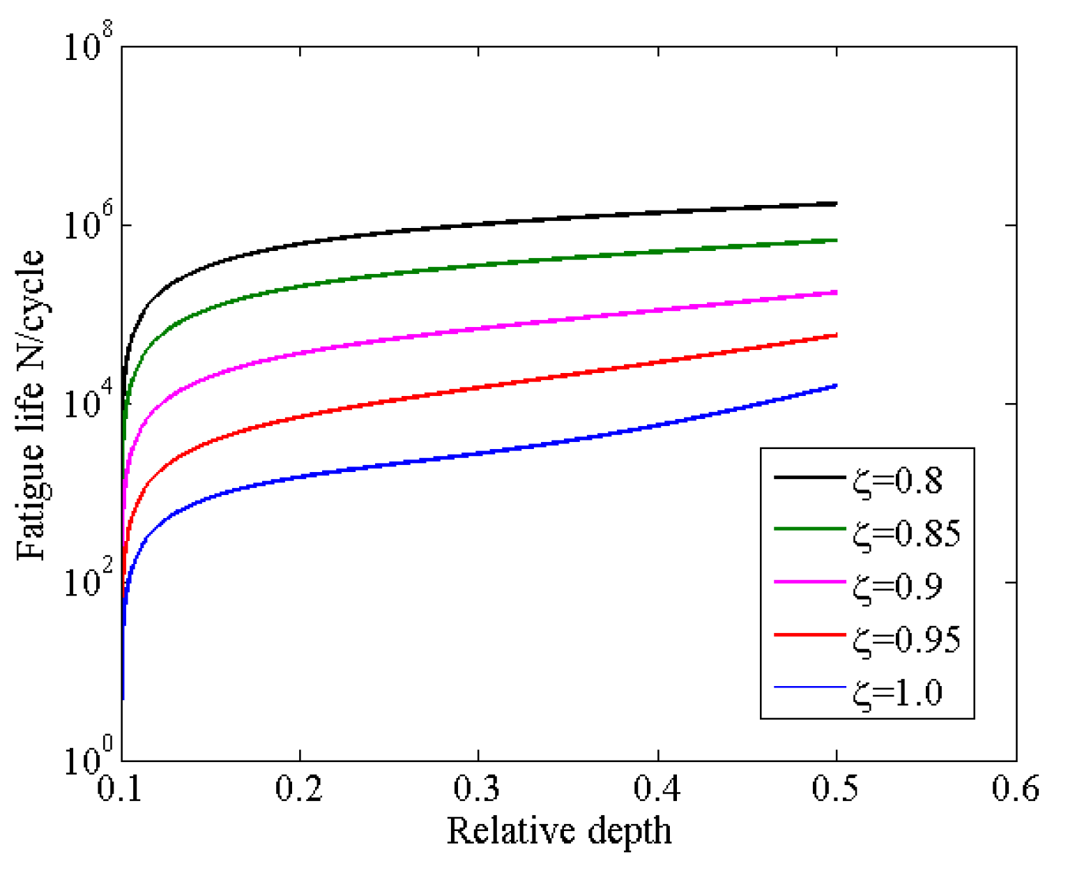
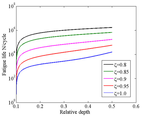
4.3. Damping Region
4.4. Resonance Region
5. Conclusions
Author Contributions
Funding
Institutional Review Board Statement
Informed Consent Statement
Data Availability Statement
Conflicts of Interest
References
- Dentsoras, A.; Dimarogonas, A.D. Resonance controlled fatigue crack propagation. Eng. Fract. Mech. 1983, 17, 381–386. [Google Scholar] [CrossRef]
- Dentsoras, A.J.; Dimarogonas, A.D. Fatigue crack propagation in resonating structures. Eng. Fract. Mech. 1989, 34, 721–728. [Google Scholar] [CrossRef]
- Paris, P.C.; Erdogan, F. A critical analysis of crack propagation laws. J. Fluids Eng. 1963, 85, 528–533. [Google Scholar] [CrossRef]
- Dentsoras, A.J.; Kouvaritakis, E.P.; Kouvaritakis, E.P. Effects of vibration frequency on fatigue crack propagation of a polymer at resonance. Eng. Fract. Mech. 1995, 50, 467–473. [Google Scholar] [CrossRef]
- Colakoglu, M. Measurement and Analysis of Damping Factor in Engineering Materials to Assess Fatigue Damage; Washington University: Washington, DC, USA, 2001; pp. 1–68. [Google Scholar]
- Eldoǧan, Y.; Cigeroglu, E. Vibration fatigue analysis of a cantilever beam using different fatigue theories. In Topics in Modal Analysis; Springer: New York, NY, USA, 2014; Volume 7, pp. 471–478. [Google Scholar]
- Jassim, Z.A.; Ali, N.N.; Mustapha, F.; Jalil, N.A. A review on the vibration analysis for a damage occurrence of a cantilever beam. Eng. Fail. Anal. 2013, 31, 442–461. [Google Scholar] [CrossRef]
- Demirel, G.İ.; Kayran, A. Implementation of Dirlik′s damage model for the vibration fatigue analysis. Procedia Struct. Integr. 2019, 21, 101–111. [Google Scholar] [CrossRef]
- Liu, W.; Barkey, M.E. The effects of breathing behaviour on crack growth of a vibrating beam. Shock. Vib. 2018, 2018, 2579419. [Google Scholar] [CrossRef] [Green Version]
- Wu, X.; Xie, C.; Liu, K.; Wu, S.; Wen, Z.; Mo, J. Study on high frequency vibration-induced fatigue failure of antenna beam in a metro bogie. Eng. Fail. Anal. 2022, 133, 105976. [Google Scholar] [CrossRef]
- Shih, Y.; Shih, Y. Analysis of fatigue crack growth on a cracked shaft. Int. J. Fatigue 1997, 19, 477–485. [Google Scholar]
- Shih, Y.S.; Wu, G.Y. Effect of vibration on fatigue crack growth of an edge crack for a rectangular plate. Int. J. Fatigue 2002, 24, 557–566. [Google Scholar] [CrossRef]
- Forman, R.G.; Kearney, V.E.; Engle, R.M. Numerical analysis of crack propagation in cyclicloaded structures. ASME J. Basic Eng. 1967, 89, 459–463. [Google Scholar] [CrossRef]
- Wu, G.Y.; Shih, Y.S. Dynamic instability of rectangular plate with an edge crack. Comput. Struct. 2005, 84, 1–10. [Google Scholar] [CrossRef]
- Liu, W.G.; He, H.L. An Analytical Method for Vibration Fatigue of Cracked Beams. In Advanced Materials Research; Trans Tech Publications Ltd.: Bäch, Switzerland, 2012; Volume 479, pp. 783–786. [Google Scholar]
- Liu, W.; Barkey, M.E. Prediction on Remaining Life of a V-Notched Beam by Measured Modal Frequency. Shock. Vib. 2019, 2019, 7351386. [Google Scholar] [CrossRef]
- Appert, A.; Gautrelet, C.; Khalij, L.; Troian, R. Development of a test bench for vibratory fatigue experiments of a cantilever beam with an electrodynamic shaker. In Proceedings of the MATEC Web of Conferences, Poitiers, France, 27 May–1 June 2018; EDP Sciences: Les Ulis, France; Volume 165, p. 10007. [Google Scholar]
- Douka, E.; Loutridis, S.; Trochidis, A. Crack identification in beams using wavelet analysis. Int. J. Solids Struct. 2003, 40, 3557–3569. [Google Scholar] [CrossRef]
- Dentsoras, A.J.; Dimarogonas, A.D. Resonance controlled fatigue crack propagation in a beam under longitudinal vibrations. Int. J. Fract. 1983, 23, 15–22. [Google Scholar] [CrossRef]
- Wu, Q.; Guo, S.; Li, X.; Gao, G. Crack diagnosis method for a cantilevered beam structure based on modal parameters. Meas. Sci. Technol. 2019, 31, 035001. [Google Scholar] [CrossRef]
- Andreaus, U.; Spagnuolo, M.; Lekszycki, T.; Eugster, S.R. A Ritz approach for the static analysis of planar pantographic structures modeled with nonlinear Euler–Bernoulli beams. Contin. Mech. Thermodyn. 2018, 30, 1103–1123. [Google Scholar] [CrossRef]
- Vidal, P.; Giunta, G.; Gallimard, L.; Polit, O. Modeling of composite and sandwich beams with a generic cross-section using a variable separation method. Compos. Part B Eng. 2019, 165, 648–661. [Google Scholar] [CrossRef] [Green Version]
- Pugno, N.; Ciavarella, M.; Cornetti, P.; Carpinteri, A. A generalized Paris’ law for fatigue crack growth. J. Mech. Phys. Solids 2006, 54, 1333–1349. [Google Scholar] [CrossRef]






| 0.1 | 0.2 | 0.3 | 0.4 | 0.5 | 0.6 | 0.7 | 0.8 | 0.9 | |
|---|---|---|---|---|---|---|---|---|---|
| 0.05 | 385,337 | 37,099 | 14,859 | 13,403 | 12,706 | 13,403 | 14,859 | 37,099 | 385,337 |
| 0.1 | 234,626 | 20,118 | 9327 | 8535 | 7877 | 8535 | 9327 | 20,118 | 234,626 |
| 0.15 | 159,228 | 12,371 | 7030 | 6636 | 6080 | 6636 | 7030 | 12,371 | 159,228 |
Publisher’s Note: MDPI stays neutral with regard to jurisdictional claims in published maps and institutional affiliations. |
© 2022 by the authors. Licensee MDPI, Basel, Switzerland. This article is an open access article distributed under the terms and conditions of the Creative Commons Attribution (CC BY) license (https://creativecommons.org/licenses/by/4.0/).
Share and Cite
Ma, Y.; Chen, G.; Wu, J.; Ma, K.; Fan, L. Vibration Fatigue Analysis of a Simply Supported Cracked Beam Subjected to a Typical Load. Appl. Sci. 2022, 12, 7398. https://doi.org/10.3390/app12157398
Ma Y, Chen G, Wu J, Ma K, Fan L. Vibration Fatigue Analysis of a Simply Supported Cracked Beam Subjected to a Typical Load. Applied Sciences. 2022; 12(15):7398. https://doi.org/10.3390/app12157398
Chicago/Turabian StyleMa, Yijiang, Guoping Chen, Jie Wu, Kangjia Ma, and Le Fan. 2022. "Vibration Fatigue Analysis of a Simply Supported Cracked Beam Subjected to a Typical Load" Applied Sciences 12, no. 15: 7398. https://doi.org/10.3390/app12157398
APA StyleMa, Y., Chen, G., Wu, J., Ma, K., & Fan, L. (2022). Vibration Fatigue Analysis of a Simply Supported Cracked Beam Subjected to a Typical Load. Applied Sciences, 12(15), 7398. https://doi.org/10.3390/app12157398

