A Lateral-Response Analyzed Model for Piles in Sloping Ground Considering Vertical Resistance Based on Transfer Matrix Method
Abstract
:1. Introduction
2. Theoretical Analysis
2.1. Problem Definition
2.2. Load Transfer Model of Soil–Pile Interaction
2.3. Determination of Axial Force along the Pile Shaft and Pile-Shaft Model
2.4. Governing Differential Equations and Transfer-Matrix Coefficient for Pile in the Free Segment
2.5. Governing Differential Equations and Transfer-Matrix Coefficient for Pile in the Passive Segment
2.6. Governing Differential Equations and Transfer-Matrix Coefficient for Pile in the Active Segment
2.7. General Solutions for the Pile Responses under Combined Loads
3. Validation
3.1. Case Study 1
3.2. Case Study 2
4. Discussion
4.1. Influence of Vertical Resistance in Passive Segment
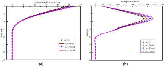
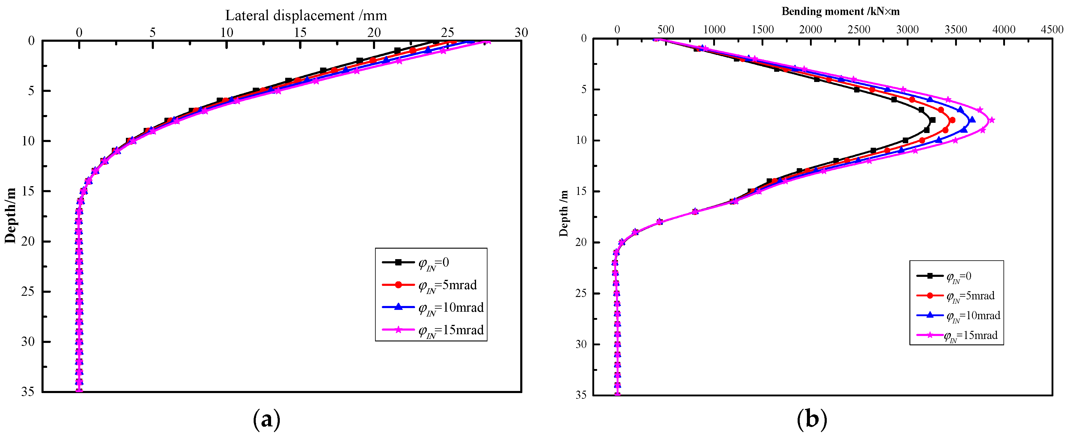
4.2. Influence of Initial Inclination Angle of Pile Shaft
4.3. Influence of Vertical Loading
5. Conclusions
Author Contributions
Funding
Conflicts of Interest
List of Symbols
| cross-sectional area of the pile | |
| matrix variables | |
| pile diameter or width | |
| elastic modulus of pile | |
| bending stiffness for free segment, passive segment, and active segment | |
| increase coefficient of the axial force per unit depth in the free segment | |
| increase coefficient of the axial force per unit depth below the ground surface | |
| Laplace functions | |
| matrix variables | |
| shear modulus for pile shaft | |
| average value of horizontal subgrade reaction coefficients for the pile in the ith pile slice of the passive segment, and active segment (unit: kN/m2) | |
| vertical subgrade coefficients of the for pile shaft in passive segment, and active segment (unit: kN/m3) | |
| pile length for free segment, passive segment, and active segment | |
| moment acting on the pile head | |
| bending moment for pile in the free segment, passive segment and active segment | |
| friction resistance moment for pile in the passive segment and active segment | |
| coefficient of subgrade reaction (unit: kN/m4) | |
| vertical load acting on the pile head | |
| axial force of the pile shaft in the free segment, passive segment, and active segment | |
| average axial force of the ith pile slice in the free segment, passive segment, and active segment | |
| index of the depth at ground surface | |
| divided number of , and | |
| soil resistance in the passive segment, and active segment | |
| horizontal force acting on the pile head | |
| distributed load acting on the pile of the free segment and passive segment | |
| average distributed force acting on the ith pile slice in the free segment | |
| shear force for the pile in the free segment, passive segment, and active segment | |
| stiffness coefficient of vertical friction | |
| the radius of the cross-section for the pile shaft | |
| matrix variables | |
| matrix variables | |
| overall transfer-matrix coefficient of the entire pile | |
| overall transfer-matrix coefficient of the pile in the free segment | |
| transfer-matrix coefficient of the ith pile slice of the pile segment in the free segment | |
| overall transfer-matrix coefficient of the pile in the passive segment | |
| transfer matrix coefficient of the ith pile slice of the pile segment in the passive segment | |
| overall transfer-matrix coefficient of the pile in the active segment | |
| transfer matrix coefficient of the ith pile slice of the pile segment in the active segment | |
| pile deflection for the pile in the free segment, passive segment, and active segment | |
| the equivalent depth at ground surface | |
| pile depth for the pile in the free segment, passive segment, and active segment | |
| pile axis rotation angle for the pile in the free segment, passive segment, and active segment | |
| pile initial inclination angle | |
| perimeter of pile shaft | |
| cross-section rotation angle for the pile shaft | |
| ultimate shear friction on the pile-soil interface | |
| vertical friction for pile shaft in passive segment, and active segment | |
| unit weight of pile | |
| equivalent shear stiffness of pile shaft | |
| equivalent shear stiffness for the pile foundation | |
| the weaken coefficient of the soil resistance in front of the pile shaft |
Appendix A. Transfer Matrix Coefficient for Piles in the Free Segment
Appendix B. Transfer Matrix Coefficient for Piles in the Passive Segment
Appendix C. Transfer Matrix Coefficient for Piles in the Active Segment
References
- Ng, C.W.W.; Zhang, L.M. Three-dimensional analysis of performance of laterally loaded sleeved piles in sloping ground. J. Geotech. Geoenviron. Eng. 2001, 127, 499–509. [Google Scholar] [CrossRef]
- Ng, C.W.W.; Zhang, L.M.; Ho, K.K.S. Influence of laterally loaded sleeved piles and pile groups on slope stability. Can. Geotech. J. 2001, 38, 553–566. [Google Scholar] [CrossRef]
- Zhang, L.M.; Ng, C.W.W.; Lee, C.J. Effects of slope and sleeving on the behavior of laterally loaded piles. Soils Found. 2004, 44, 99–108. [Google Scholar] [CrossRef] [Green Version]
- Sastry, V.; Meyerhof, G.G. Behaviour of flexible piles under inclined loads. Can. Geotech. J. 1990, 27, 19–28. [Google Scholar] [CrossRef]
- Sastry, V.; Meyerhof, G.G. Behaviour of flexible piles in layered sands under eccentric and inclined loads. Can. Geotech. J. 1994, 31, 513–520. [Google Scholar] [CrossRef]
- Sastry, V.; Meyerhof, G.G. Behaviour of flexible piles in layered clays under eccentric and inclined loads. Can. Geotech. J. 1995, 32, 387–396. [Google Scholar] [CrossRef]
- Hazzar, L.; Hussien, M.N.; Karray, M. Vertical load effects on the lateral response of piles in layered media. J. Rock Mech. Geotech. Eng. 2017, 17, 04017078. [Google Scholar] [CrossRef]
- Ai, Z.Y.; Chen, Y.F.; Jiang, X.B. Behavior of laterally and vertically loaded piles in multi-layered transversely isotropic soils. Appl. Math. Model 2017, 51, 561–573. [Google Scholar] [CrossRef]
- Kershaw, K.A.; Luna, R. Full-scale field testing of micropiles in stiff clay subjected to combined axial and lateral loads. J. Geotech. Geoenviron. Eng. 2013, 140, 255–261. [Google Scholar] [CrossRef]
- Kershaw, K.; Luna, R. Scale model investigation of the effect of vertical load on the lateral response of micropiles in sand. DFI J. J. Deep Found. Inst. 2018, 12, 3–15. [Google Scholar] [CrossRef]
- Karthigeyan, S.; Ramakrishna, V.; Rajagopal, K. Influence of vertical load on the lateral response of piles in sand. Comput. Geotech. 2006, 33, 121–131. [Google Scholar] [CrossRef]
- Karthigeyan, S.; Ramakrishna, V.; Rajagopal, K. Numerical investigation of the effect of vertical load on the lateral response of piles. J. Geotech. Geoenviron. Eng. 2007, 133, 512–521. [Google Scholar] [CrossRef]
- Conte, E.; Troncone, A.; Vena, M. Behaviour of flexible piles subjected to inclined loads. Comput. Geotech. 2015, 69, 199–209. [Google Scholar] [CrossRef]
- Achmus, M.; Thieken, K. On the behavior of piles in non-cohesive soil under combined horizontal and vertical loading. Acta Geotech. 2010, 5, 199–210. [Google Scholar] [CrossRef]
- Lassaad, H.; Mahmoud, N.H.; Mourad, K. Influence of vertical loads on lateral response of pile foundations in sands and clays. J. Rock Mech. Geotech. Eng. 2017, 9, 291–304. [Google Scholar]
- Liang, F.; Chen, H.; Chen, S. Influences of axial load on the lateral response of single pile with integral equation method. Int. J. Numer. Anal. Meth. Geomech. 2012, 36, 1831–1845. [Google Scholar] [CrossRef]
- Liang, F.; Zhang, H.; Wang, J. Variational solution for the effect of vertical load on the lateral response of offshore piles. Ocean Eng. 2015, 99, 23–33. [Google Scholar] [CrossRef]
- Zhu, M.; Zhang, Y.; Gong, W.-M.; Wang, L.; Dai, G.-L. Generalized solutions for axially and laterally loaded piles in multilayered soil deposits with transfer matrix method. Int. J. Geomech. 2016, 17, 04016104. [Google Scholar] [CrossRef]
- Zhang, L.; Ou, Q.; Zhou, S.; Zhao, M. Semi-analytical solutions for vertically and laterally loaded piles in multilayered soil deposits. Environ. Earth Sci. 2018, 77, 51. [Google Scholar] [CrossRef]
- Zhang, L.; Zhao, M.; Zou, X. Elastic-plastic solutions for laterally loaded piles in layered Soils. J. Eng. Mech. 2013, 139, 1653–1657. [Google Scholar] [CrossRef]
- Zhang, L.; Gong, X.N.; Yu, Z.X.; Yu, J.-L. Elastoplastic solutions for single piles under combined vertical and lateral loads. J. Cent. South Univ. Technol. 2011, 18, 216–222. [Google Scholar] [CrossRef]
- Zhang, L.; Gong, X.N.; Yu, J.L. Elastic solutions for partially embedded single piles subjected to simultaneous axial and lateral loading. J. Cent. South Univ. Technol. 2014, 21, 4330–4337. [Google Scholar] [CrossRef]
- Hirai, H. A Winkler model approach for vertically and laterally loaded piles in nonhomogeneous soil. Int. J. Numer. Anal. Methods Geomech. 2012, 36, 1869–1897. [Google Scholar] [CrossRef]
- Begum, N.; Muthukkumaran, K. Experimental investigation on single model pile in sloping ground under lateral load. Int. J. Geo. Eng. 2009, 3, 133–146. [Google Scholar] [CrossRef]
- Muthukkumaran, K.; Begum, N. Experimental Investigation of Single Model Pile Subjected to Lateral Load in Sloping Ground. Geotech. Geoenviron. Eng. 2015, 33, 935–946. [Google Scholar] [CrossRef]
- Muthukkumaran, K. Effect of slope and loading direction on laterally loaded piles in cohesionless soil. Int. J. Geo. 2014, 14, 1–7. [Google Scholar] [CrossRef]
- Yin, P.B.; Zhao, M.H.; He, W.; Zhao, H.; Zhang, J. Model test study of identification of foundation proportional coefficient m in slope ground. J. Hunan Univ. 2017, 44, 158–164. (In Chinese) [Google Scholar]
- Rathod, D.; Muthukkumaran, K.; Sitharam, T.G. Development of non-dimension p-y curves for laterally loaded piles in sloping ground. Indian Geotech. J. 2017, 47, 47–56. [Google Scholar] [CrossRef]
- Nimityongskul, N.; Kawamata, Y.; Rayamajhi, D.; Ashford, S.A. Full-scale tests on effects of slope on lateral capacity of piles installed in cohesive soils. J. Geotech. Geoenviron. Eng. 2018, 144, 04017103. [Google Scholar] [CrossRef]
- Chae, K.S.; Ugai, K.; Wakai, A. Lateral resistance of short single piles and pile groups located near slopes. Int. J. Geo. 2004, 4, 93–103. [Google Scholar] [CrossRef]
- Georgiadis, K.; Georgiadis, M. Undrained lateral pile response in sloping ground. J. Geo. Geo. Eng. 2010, 136, 1489–1500. [Google Scholar] [CrossRef]
- Georgiadis, K.; Georgiadis, M. Development of p-y curves for undrained response of piles near slopes. Comput. Geotech. 2012, 40, 53–61. [Google Scholar] [CrossRef]
- Sawant, V.A.; Shukla, K. Effect of edge distance from the slope crest on the response of a laterally loaded pile in sloping ground. Geotech. Geo. Eng. 2014, 32, 197–204. [Google Scholar] [CrossRef]
- Peng, W.; Zhao, M.; Xiao, Y.; Yang, C.; Zhao, H. Analysis of laterally loaded piles in sloping ground using a modified strain wedge model. Comput. Geotech. 2019, 107, 163–175. [Google Scholar] [CrossRef]
- Ardalan, H.; Ashour, M. Application of the strain wedge model in soil-pile interaction analysis of pile-stabilized slopes. Geo-Congress 2013, 116, 1944–1955. [Google Scholar]
- Dhatrak, A.; Bhagat, G. Behaviour of long pile in reinforced slope subjected to inclined load. Int. J. Eng. Sci. 2016, 6, 43–59. [Google Scholar]
- Deendayal, R.; Muthukkumaran, K.; Sitharam, T.G. Response of laterally loaded pile in soft clay on sloping ground. Int. J. Geotech. Eng. 2016, 10, 10–22. [Google Scholar] [CrossRef]
- Ashour, M.; Ardalan, H. Analysis of pile stabilized slopes based on soil-pile interaction. Comput. Geotech. 2012, 39, 85–97. [Google Scholar] [CrossRef]
- Zhao, M.H.; Yin, P.B.; Yang, M.H.; Yang, C.-W. Model tests of double-pile foundation for pile-columb bridge in high and steep cross slope. China J. Highw. Transp. 2013, 26, 57–63. (In Chinese) [Google Scholar]
- Zhao, M.H.; Yang, C.W.; Chen, Y.H.; Yin, P.B. Field tests on double-pile foundation of bridges in high-steep cross slopes. J. Geotechn. Eng. 2018, 40, 329–335. (In Chinese) [Google Scholar]
- Zhao, H.; Yin, P.B.; Li, X.B. Mechanical response of bridge piles in high-steep slopes and sensitivity study. J. Cent. South Univ. Technol. 2015, 22, 4043–4048. [Google Scholar] [CrossRef]
- Peng, W.; Zhao, M.; Zhao, H.; Yang, C. A two-pile foundation model in sloping ground by finite beam element method. Comput. Geotech. 2020, 122, 103503. [Google Scholar] [CrossRef]
- Dodds, A.M.; Martin, G.R. Modeling Pile Behavior in Large Pile Groups under Lateral Loading; Technical Report MCEER-07-0004; Buffalo—Multidisciplinary Center for Earthquake Engineering Research: Buffalo, NY, USA, 2007; pp. 56–58. [Google Scholar]
- Ashour, M.; Helal, A. Contribution of vertical skin friction to the lateral resistance of large-diameter shafts. J. Bridge Eng. 2014, 19, 289–302. [Google Scholar] [CrossRef]
- Mcvay, M.C.; Niraula, L. Development of p-y Curves for Large Diameter Piles/Drilled Shafts in Limestone for Fbpier. Ph.D. Thesis, Civil & Coastal Engineering Department University of Florida, Gainesville, FL, USA, 2004. [Google Scholar]
- Karapiperis, K.; Gerolymos, N. Combined loading of caisson foundatons in cohesive soil: Finite element versus Winkler modeling. Comput. Geotech. 2014, 56, 100–120. [Google Scholar] [CrossRef]
- Zhu, M.X.; Dai, G.L.; Gong, W.M. Research on the mechanism and calculation models of resisting moment caused by shaft resistance for laterally loaded pile. Rock Soil Mech. 2019, 40, 2593–2607. (In Chinese) [Google Scholar]
- JTG 3363-2019 Code for Design of Ground Base and Foundation of Highway Bridges and Culverts Beijing; China Communications Press: Beijing, China, 2019. (In Chinese)
- Timoshenko, S.P. On the correction for shear of the differential equation for transverse vibration of prismatic bars. Philos. Mag. 1921, 41, 744–746. [Google Scholar] [CrossRef] [Green Version]
















| Parameters | Value |
|---|---|
| Type of soil stress distribution | Parabola |
| Diameter of pile shaft (m) | 2.0 |
| Length of pile shaft (m) | 25.0 |
| Elastic modulus (Gpa) | 29.6 |
| Subjected axial force at top of pile shaft (kN) | 7312.0 |
| Subjected bending moment at top of pile shaft (kN × m) | 520.0 |
| Subjected horizontal force at top of pile shaft (kN) | 50.0 |
| Parameters | Value |
|---|---|
| Type of soil stress distribution | Rectangle |
| Diameter of pile shaft (m) | 2.0 |
| Length of pile shaft (m) | 30.0 |
| Elastic modulus (Gpa) | 18.0 |
| Concrete density for the pile shaft (kN/m3) | 25.0 |
| Subjected axial force at top of pile shaft (kN) | 9100.0 |
| Subjected bending moment at top of pile shaft (kN × m) | 1000.0 |
| Subjected horizontal force at top of pile shaft (kN) | 179.0 |
| Parameters | Value |
|---|---|
| Type of soil stress distribution | Rectangle |
| Diameter of pile shaft (m) | 2.0 |
| Length of free segment for pile shaft (m) | 5.0 |
| Length of passive segment for pile shaft (m) | 10.0 |
| Length of active segment for pile shaft (m) | 20.0 |
| Elastic modulus (Gpa) | 18.0 |
| Concrete density for the pile shaft (kN/m3) | 25.0 |
| Subjected axial force at top of pile shaft (kN) | 6000.0 |
| Subjected bending moment at top of pile shaft (kN × m) | 400.0 |
| Subjected horizontal force at top of pile shaft (kN) | 400.0 |
| Resultant earth pressure (kN) | 600.0 |
| Foundation vertical resistance coefficient of passive segment kvp (kN/m3) | 1 × 104 |
| Foundation vertical resistance coefficient of active segment kva (kN/m3) | 1 × 105 |
| Foundation horizontal resistance coefficient of passive segment mp (kN/m3) | 7.5 × 103 |
| Foundation horizontal resistance coefficient of active segment ma (kN/m3) | 6.0 × 104 |
Publisher’s Note: MDPI stays neutral with regard to jurisdictional claims in published maps and institutional affiliations. |
© 2022 by the authors. Licensee MDPI, Basel, Switzerland. This article is an open access article distributed under the terms and conditions of the Creative Commons Attribution (CC BY) license (https://creativecommons.org/licenses/by/4.0/).
Share and Cite
Lin, T.; Liu, J.; Li, X. A Lateral-Response Analyzed Model for Piles in Sloping Ground Considering Vertical Resistance Based on Transfer Matrix Method. Appl. Sci. 2022, 12, 7396. https://doi.org/10.3390/app12157396
Lin T, Liu J, Li X. A Lateral-Response Analyzed Model for Piles in Sloping Ground Considering Vertical Resistance Based on Transfer Matrix Method. Applied Sciences. 2022; 12(15):7396. https://doi.org/10.3390/app12157396
Chicago/Turabian StyleLin, Tianjue, Jianxin Liu, and Xiao Li. 2022. "A Lateral-Response Analyzed Model for Piles in Sloping Ground Considering Vertical Resistance Based on Transfer Matrix Method" Applied Sciences 12, no. 15: 7396. https://doi.org/10.3390/app12157396
APA StyleLin, T., Liu, J., & Li, X. (2022). A Lateral-Response Analyzed Model for Piles in Sloping Ground Considering Vertical Resistance Based on Transfer Matrix Method. Applied Sciences, 12(15), 7396. https://doi.org/10.3390/app12157396

