Numerical Simulation of the Hydrodynamic Performance and Self-Propulsion of a UUV near the Seabed
Abstract
:1. Introduction
2. Studied Configuration
2.1. UUV Geometry Parameters
2.2. Definition of Dimensionless Parameters
3. Numerical Methods
3.1. Governing Equations
3.2. Computational Domain and Boundary Conditions
3.3. Meshing Settings
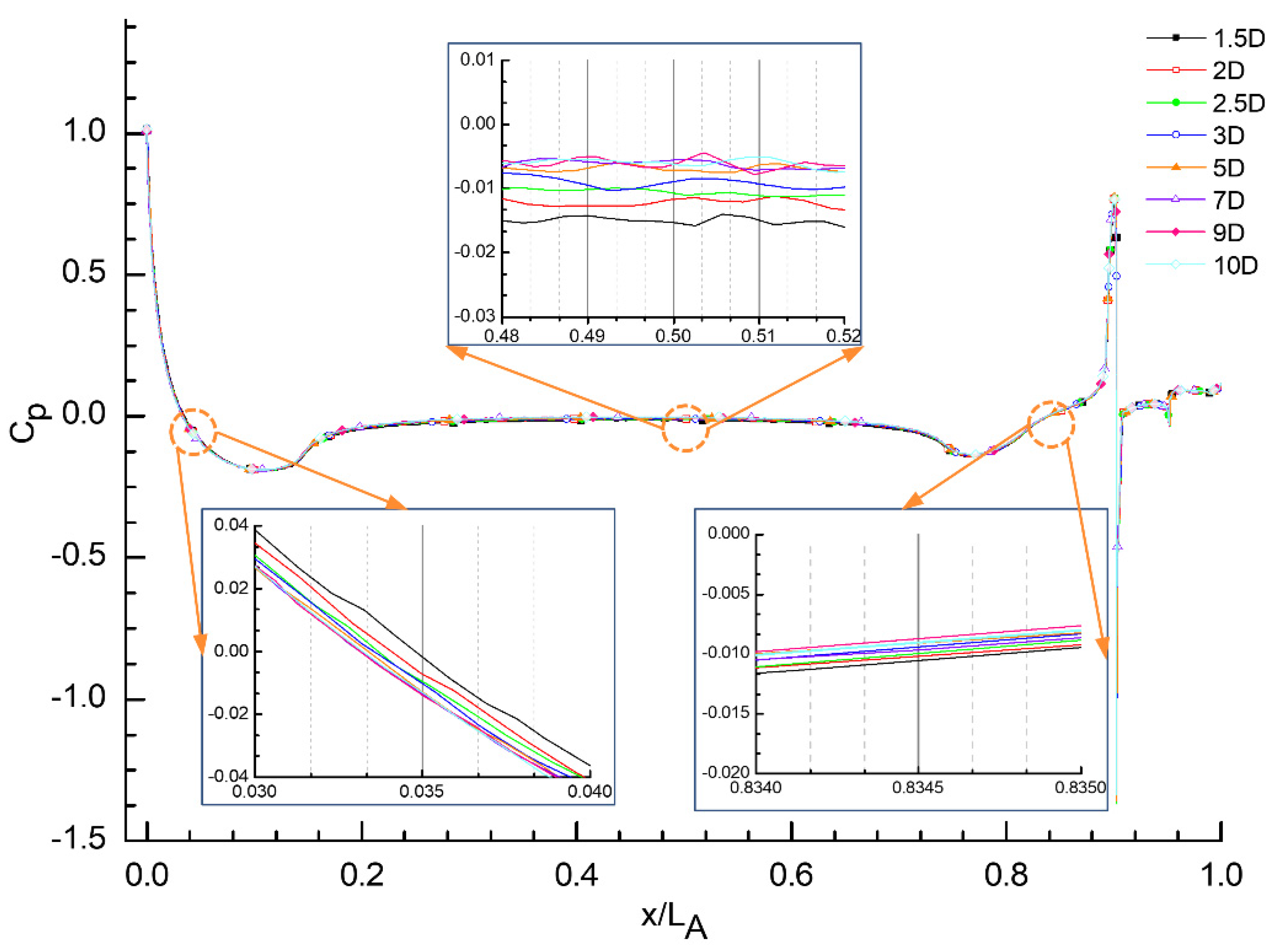
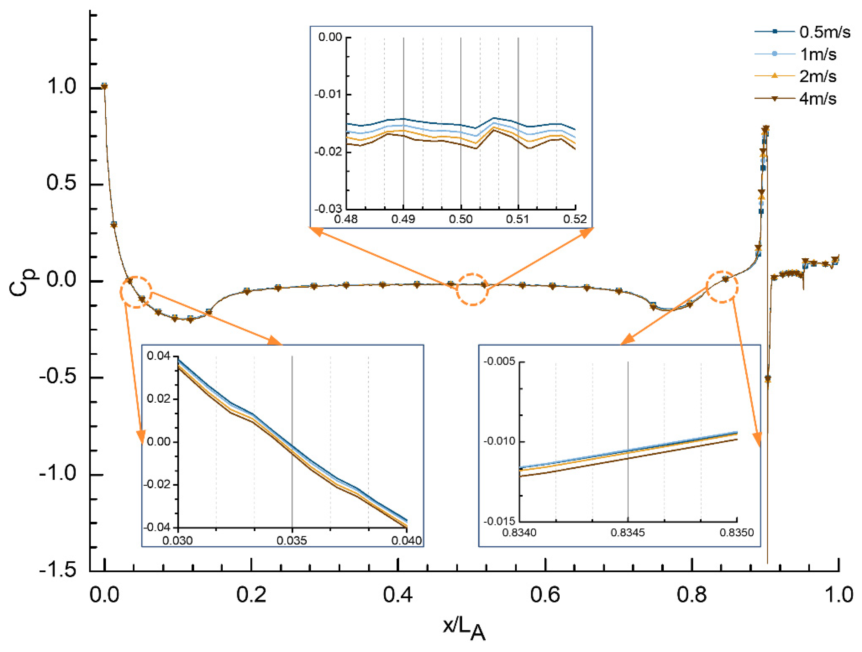
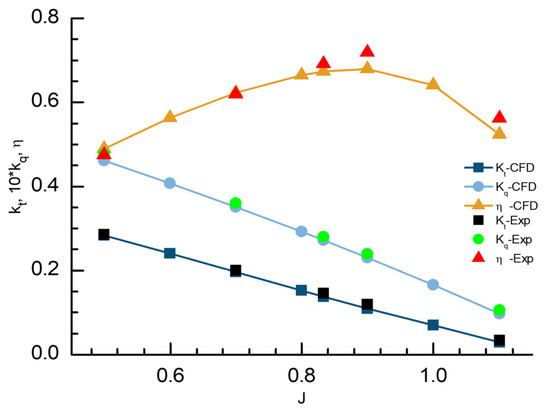
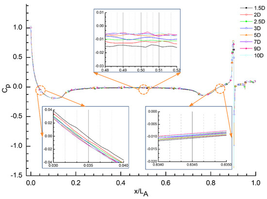
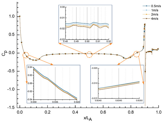
3.4. Verification of Numerical Method
- The geometric profile of the model used in the article is different from that of [16,17,18]. The geometric model in the article contains the stern appendages, but not the fair-water, while [16,18] contain both the stern appendages and the fair-water, and [17] has neither the stern appendages nor the fair-water.
4. Results and Discussion
4.1. The Hydrodynamic Characteristics of Near-Seabed Bare UUV
4.1.1. Correlations between Hydrodynamic Characteristics of Bare UUV and Hd
- Drag Characteristics
- Lifting Characteristics
- Pitch Moment Characteristics
4.1.2. Correlation between the Hydrodynamic Characteristics of Bare UUV and
4.2. Hydrodynamic Characteristics of Self-Propelled UUV near the Seabed and the Self-Propelled Performences
4.2.1. Hydrodynamic Characteristics of the Self-Propelled UUV in Relation to the Hd and
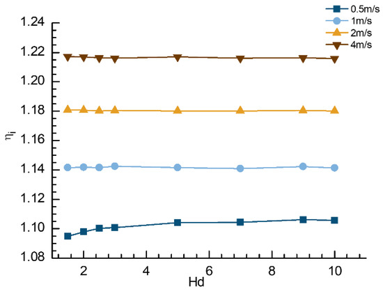
4.2.2. Effects of Hd and on UUV Self-Propelled Performance
- The Variation of Thrust Reduction
- Hull Efficiency
- Effective Wake Fraction of Self-Propelled UUV
- Efficiency of Propeller Rotation
5. Conclusions
Author Contributions
Funding
Institutional Review Board Statement
Informed Consent Statement
Conflicts of Interest
References
- Sezen, S.; Dogrul, A.; Delen, C.; Bal, S. Investigation of Self-Propulsion of DARPA Suboff by RANS Method. Ocean Engineering 2018, 150, 258–271. [Google Scholar] [CrossRef]
- Dogrul, A.; Sezen, S.; Delen, C.; Bal, S. Self-Propulsion Simulation of DARPA Suboff. 9. In Developments in Maritime Transportation and Harvesting of Sea Resources; CRC Press: Boca Raton, FA, USA, 2017. [Google Scholar]
- Posa, A.; Balaras, E. Large-Eddy Simulations of a Notional Submarine in Towed and Self-Propelled Configurations. Comput. Fluids 2018, 165, 116–126. [Google Scholar] [CrossRef]
- Chase, N.; Carrica, P.M. Submarine Propeller Computations and Application to Self-Propulsion of DARPA Suboff. Ocean. Eng. 2013, 60, 68–80. [Google Scholar] [CrossRef]
- Vali, A.; Saranjam, B.; Kamali, R. Experimental and Numerical Study of a Submarine and Propeller Behaviors in Submergence and Surface Conditions. JAFM 2018, 11, 1297–1308. [Google Scholar] [CrossRef]
- Tian, W.; Song, B.; Ding, H. Numerical Research on the Influence of Surface Waves on the Hydrodynamic Performance of an AUV. Ocean. Eng. 2019, 183, 40–56. [Google Scholar] [CrossRef]
- Wang, L.; Martin, J.E.; Felli, M.; Carrica, P.M. Experiments and CFD for the Propeller Wake of a Generic Submarine Operating near the Surface. Ocean. Eng. 2020, 206, 107304. [Google Scholar] [CrossRef]
- Zhang, N.; Zhang, S. Numerical Simulation of Hull/Propeller Interaction of Submarine in Submergence and near Surface Conditions. J. Hydrodyn. 2014, 26, 50–56. [Google Scholar] [CrossRef]
- Song, B.W.; Zhu, X.Y.; Cao, Y.H.; Liang, Q.W. Strategy and Key Technologies of UUV Parking on the Seabed. Torpedo Technol. 2010, 18, 401–405. [Google Scholar]
- Zhu, X.Y.; Song, B.; Xu, G.; Yang, S. Research on Landing Strategy and Influencing Factors of an Autonomous Underwater Vehicle with Supporting Mechanism. J. Shanghai Jiaotong Univ. 2017, 51, 1241. [Google Scholar] [CrossRef]
- Zhu, X.Y.; Song, B.; Wang, P. Hydrodynamic Characteristics Analysis of UUV Parking on the Seabed. J. Shanghai Jiaotong Univ. 2012, 46, 573. [Google Scholar]
- Zhang, B.; Song, B.; MAO, Z.; Jiang, J. Stability Simulation for Underwater Glider Parking on Seabed. J. Xi’an Jiaotong Univ. 2016, 50, 49–55. [Google Scholar]
- Aijun, Z.; Liangmei, Y.; Hong, Z. Resistance Test Method on Underwater Vessel Operating Close to the Bottom or the Surface. J. Ship Mech. 2012, 16, 368–374. [Google Scholar]
- Du, X.; Wang, H.; Hao, C.; Li, X. Analysis of Hydrodynamic Characteristics of Unmanned Underwater Vehicle Moving Close to the Sea Bottom. Def. Technol. 2014, 10, 76–81. [Google Scholar] [CrossRef]
- Yan, T.; Ma, D.; Xue, X.; Chen, X. Analysis of Hydrodynamic Characteristics of Autonomous Underwater Vehicle Close to Sea Bottom. Comput. Simul. 2016, 33, 301–305+327. [Google Scholar]
- Huang, T.; Liu, H.L. Measurements of Flows over an Axisymmetric Body with Various Appendages in a Wind Tunnel: The DARPA SUBOFF Experimental Program; National Academy of Sciences, Engineering, and Medicine: Washington, DC, USA, 1994. [Google Scholar]
- Jiménez, J.M.; Hultmark, M.; Smits, A.J. The Intermediate Wake of a Body of Revolution at High Reynolds Numbers. J. Fluid Mech. 2010, 659, 516–539. [Google Scholar] [CrossRef] [Green Version]
- Posa, A.; Balaras, E. A Numerical Investigation of the Wake of an Axisymmetric Body with Appendages. J. Fluid Mech. 2016, 792, 470–498. [Google Scholar] [CrossRef]
- Jessup, S.D.; Boswell, R.J.; Nelka, J.J. Experimental Unsteady and Time Average Loads on the Blades of the Cp Propeller on a Model of the DD-963 Class Destroyer for Simulated Modes of Operation; David W Taylor NAVAL Ship Research and Development Center Bethesda: Rockville, MD, USA, 1977. [Google Scholar]





















| Parameter | Value | Parameter | Value | 
|---|---|---|---|
| DA | 0.2 m | Lt | 0.5 m | 
| LA | 2 m | θ | 20° | 
| Lh | 0.3 m | U | Variable | 
| Lc | 1.2 m | Hd | Variable | 
| DTMB 4119 Model Propeller | |
|---|---|
| D (m) | 0.1829 | 
| Z | 3 | 
| Skew (°) | 0 | 
| Rake (°) | 0 | 
| Blade section | NACA66 a = 0.8 | 
| Rotation direction | Right | 
| Scaling | 0.6 | 
| Group | Description | Hd | U | 
|---|---|---|---|
| 1 | Effect of seabed distance on bare UUV | (1.5, 2, 2.5, 3, 5, 7, 9, 10) | (0.5, 1, 2, 4) | 
| 2 | Subsea distance effect on self-propelled UUV | (1.5, 2, 2.5, 3, 5, 7, 9, 10) | (0.5, 1, 2, 4) | 
| Grid Cell (M) | ||||
|---|---|---|---|---|
| 3.2 | 0.0255 | 0.0089 | 0.1087 | 0.0248 | 
| 6 | 0.0248 | 0.0085 | 0.1070 | 0.0234 | 
| 8.4 | 0.0246 | 0.0084 | 0.1061 | 0.0236 | 
| Publisher’s Note: MDPI stays neutral with regard to jurisdictional claims in published maps and institutional affiliations. | 
© 2022 by the authors. Licensee MDPI, Basel, Switzerland. This article is an open access article distributed under the terms and conditions of the Creative Commons Attribution (CC BY) license (https://creativecommons.org/licenses/by/4.0/).
Share and Cite
Liu, X.; Hu, Y.; Mao, Z.; Tian, W. Numerical Simulation of the Hydrodynamic Performance and Self-Propulsion of a UUV near the Seabed. Appl. Sci. 2022, 12, 6975. https://doi.org/10.3390/app12146975
Liu X, Hu Y, Mao Z, Tian W. Numerical Simulation of the Hydrodynamic Performance and Self-Propulsion of a UUV near the Seabed. Applied Sciences. 2022; 12(14):6975. https://doi.org/10.3390/app12146975
Chicago/Turabian StyleLiu, Xiaodong, Yuli Hu, Zhaoyong Mao, and Wenlong Tian. 2022. "Numerical Simulation of the Hydrodynamic Performance and Self-Propulsion of a UUV near the Seabed" Applied Sciences 12, no. 14: 6975. https://doi.org/10.3390/app12146975
APA StyleLiu, X., Hu, Y., Mao, Z., & Tian, W. (2022). Numerical Simulation of the Hydrodynamic Performance and Self-Propulsion of a UUV near the Seabed. Applied Sciences, 12(14), 6975. https://doi.org/10.3390/app12146975
 
        


 
       