Sign in to use this feature.

Years

Between: -

Subjects

remove_circle_outline
remove_circle_outline
remove_circle_outline
remove_circle_outline
remove_circle_outline
remove_circle_outline
remove_circle_outline
remove_circle_outline
remove_circle_outline

Journals

remove_circle_outline
remove_circle_outline
remove_circle_outline
remove_circle_outline
remove_circle_outline

Article Types

Countries / Regions

remove_circle_outline
remove_circle_outline
remove_circle_outline
remove_circle_outline
remove_circle_outline

Search Results (1,164)

Search Parameters:
Keywords = seabed

Order results
Result details
Results per page
Select all
Export citation of selected articles as:
20 pages, 6334 KB  
Article
Local Erosion–Deposition Changes and Their Relationships with the Hydro-Sedimentary Environment in the Nearshore Radial Sand-Ridge Area off Dongtai, Northern Jiangsu
by Ning Zhuang, Liwen Yan, Yanxia Liu, Xiaohui Wang, Jingyuan Cao and Jiyang Jiang
J. Mar. Sci. Eng. 2026, 14(2), 205; https://doi.org/10.3390/jmse14020205 - 20 Jan 2026
Abstract
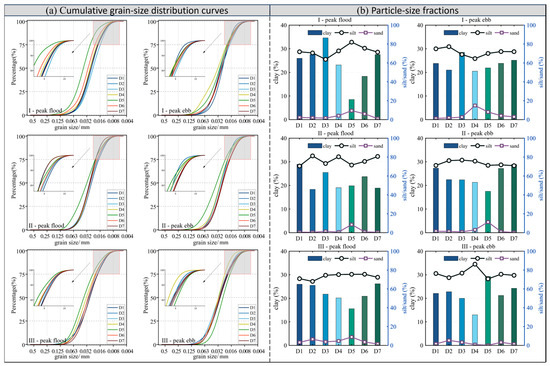
The radial sand-ridge field off the Jiangsu coast is a distinctive landform in a strongly tide-dominated environment, where sediment supply and geomorphic patterns have been profoundly altered by Yellow River course changes, reduced Yangtze-derived sediment, and large-scale reclamation. Focusing on a typical nearshore [...] Read more.
The radial sand-ridge field off the Jiangsu coast is a distinctive landform in a strongly tide-dominated environment, where sediment supply and geomorphic patterns have been profoundly altered by Yellow River course changes, reduced Yangtze-derived sediment, and large-scale reclamation. Focusing on a typical nearshore sector off Dongtai, this study integrates multi-source data from 1979 to 2025, including historical nautical charts, high-precision engineering bathymetry, full-tide hydro-sediment observations, and surficial sediment samples, to quantify seabed erosion–deposition over 46 years and clarify linkages among tidal currents, suspended-sediment transport, and surface grain-size patterns. Surficial sediments from Maozhusha to Jiangjiasha channel systematically fine from north to south: sand-ridge crests are dominated by sandy silt, whereas tidal channels and transition zones are characterized by silty sand and clayey silt. From 1979 to 2025, Zhugensha and its outer flank underwent multi-meter accretion and a marked accretion belt formed between Gaoni and Tiaozini, while the Jiangjiasha channel and adjacent deep troughs experienced persistent scour (local mean rates up to ~0.25 m/a), forming a striped “ridge accretion–trough erosion” pattern. Residual and potential maximum currents in the main channels enhance scour and offshore export of fines, whereas relatively strong depth-averaged flow and near-bed shear on inner sand-ridge flanks favor frequent mobilization and short-range trapping of coarser particles. Suspended-sediment concentration and median grain size are generally positively correlated, with suspension coarsening in high-energy channels but dominated by fine grains on nearshore flats and in deep troughs. These findings refine understanding of muddy-coast geomorphology under strong tides and may inform offshore wind-farm foundation design, navigation-channel maintenance, and coastal-zone management. Full article
(This article belongs to the Section Coastal Engineering)
Show Figures

Figure 1

20 pages, 3926 KB  
Article
Hydrodynamic Performance of Cubic Artificial Reefs During Deployment Process Based on Smoothed Particle Hydrodynamics
by Wenhua Chu, Shijing Lu, Zijing Zhao, Xinyang Zhang and Yulei Huang
Fishes 2026, 11(1), 59; https://doi.org/10.3390/fishes11010059 - 16 Jan 2026
Viewed by 86
Abstract
Currently, research on the hydrodynamic characteristics of artificial reef deployment still faces challenges such as insufficient environmental coupling, but accurate simulation of the deployment process holds significant engineering importance for optimizing deployment efficiency and ensuring reef stability. This study employs the Smoothed Particle [...] Read more.
Currently, research on the hydrodynamic characteristics of artificial reef deployment still faces challenges such as insufficient environmental coupling, but accurate simulation of the deployment process holds significant engineering importance for optimizing deployment efficiency and ensuring reef stability. This study employs the Smoothed Particle Hydrodynamics (SPH) method to establish a 3D numerical model, focusing on the influence of key parameters—inflow velocity and water entry angle—on the hydrodynamic characteristics of cubic artificial reef deployment. The results indicate that under flow velocities of 0.4–0.5 m/s, pressure fluctuations are relatively minor, with peak pressure gradients below 15 kPa/m, exhibiting a gradual trend, while particle concentration remains high, and drag gradually increases. At flow velocities of 0.6–0.8 m/s, the maximum pressure at the bottom reaches up to 35 kPa, with low-pressure areas at the tail dropping to −10 kPa; particle concentration decreases compared to conditions at 0.4–0.5 m/s; settling time extends from 8.4 s to 12 s, representing a 42% increase. Under different water entry angles, drag varies nonlinearly with the angle, reaching its maximum at 20° and its minimum at 25°, with a reduction of approximately 47% compared to the maximum. The anti-sliding safety factor and anti-overturning safety factor are used to assess the stability of the cubic reef placed on the seabed. Across different inflow velocities, the anti-sliding safety factor of the cubic artificial reef significantly exceeds 1.2, whereas the anti-overturning safety factor is below 1.2 at 0.4 m/s but exceeds 1.2 at velocities of 0.5 m/s and above, indicating that the reef maintains stability under the majority of these flow conditions. Our findings provide a scientific basis for the deployment process, site selection, and geometric design of cubic artificial reefs, offering valuable insights for the precise deployment and structural optimization of artificial reefs in marine ranching construction. Full article
Show Figures

Figure 1

19 pages, 7841 KB  
Article
Research on Lateral Loading Behavior of Embedded Rock-Socketed Jacket Offshore Wind Turbines
by Ronghua Zhu, Yuning Zhang, Feipeng Zou, Jiajun Hu, Zijian Tao and Yong Chen
J. Mar. Sci. Eng. 2026, 14(2), 183; https://doi.org/10.3390/jmse14020183 - 15 Jan 2026
Viewed by 95
Abstract
As an innovative foundation type specifically developed for seabed conditions characterized by shallow overburden overlying bedrock, driven embedded rock-socketed jacket offshore wind turbines achieve high bearing capacity by embedding the pile tips into the bedrock. However, the mechanical behavior of this foundation system [...] Read more.
As an innovative foundation type specifically developed for seabed conditions characterized by shallow overburden overlying bedrock, driven embedded rock-socketed jacket offshore wind turbines achieve high bearing capacity by embedding the pile tips into the bedrock. However, the mechanical behavior of this foundation system has not yet been fully clarified. In this study, based on the engineering conditions of an offshore wind power project in Fujian, a 1:100 scaled physical model test is conducted to validate Plaxis 3D finite-element model. On this basis, a parametric sensitivity analysis is conducted to investigate the influences of key geotechnical properties, pile rock-socketed depth, and geometric parameters, with the aim of elucidating the mechanisms governing the lateral loading behavior of the jacket foundation. The results show that the numerical simulations are in good agreement with the experimental measurements. Among all piles, the front-row pile exhibits the most significant displacement at the pile top at the mudline, reflecting the asymmetry in load transfer and deformation of the pile foundation system. The ultimate bearing capacity varies by about 91.7% among different bedrock types, while the influence of rock weathering degree on the lateral bearing performance of the foundation is about 4.7%. The effects of Pile rock-socketed depth and geometric parameters on the lateral bearing capacity of the foundation are approximately 15.2% and 80.8%, respectively. A critical threshold for rock-socket depth exists at about 6D (where D is the pile diameter), beyond which further improvements in embedment depth result in diminishing improvements in lateral bearing capacity. Full article
(This article belongs to the Section Ocean Engineering)
Show Figures

Figure 1

23 pages, 6062 KB  
Article
Experimental Analysis of Traction Performance of Tracked Mining Vehicles in Deep-Sea Sediments
by Lixin Xu, Yajiao Liu, Xiu Li, Zhichao Hong, Menghao Fan, Yanli Chen and Haonan Wei
J. Mar. Sci. Eng. 2026, 14(2), 178; https://doi.org/10.3390/jmse14020178 - 14 Jan 2026
Viewed by 111
Abstract
The complex seabed topography and mechanical properties of deep-sea sediments impose stringent requirements on the traction performance and locomotion stability of tracked mining vehicles. Experimental investigations on the coupled effects of grouser geometry and operating conditions on traction remain limited. To address this, [...] Read more.
The complex seabed topography and mechanical properties of deep-sea sediments impose stringent requirements on the traction performance and locomotion stability of tracked mining vehicles. Experimental investigations on the coupled effects of grouser geometry and operating conditions on traction remain limited. To address this, rheological tests and multi-parameter traction experiments were conducted. Deep-sea sediments were modeled as a power-law fluid to capture their non-Newtonian behavior, considering particle size distribution, water content, and compaction state. Using a self-designed traction test apparatus, the influences of grouser geometry and operating parameters on traction force were systematically analyzed. Results indicate that both grouser configuration and operating conditions significantly affect traction force magnitude and stability. Rectangular grousers, exhibiting more uniform stress distribution and pronounced shear bands, demonstrated enhanced traction efficiency and locomotion stability under high-load, low-speed conditions. When the grouser length was 30 mm and the traveling speed was maintained at 7–12 mm/s, sediment fluidization was significantly mitigated, improving traction performance. Furthermore, a spacing of at least 20 mm between adjacent grousers produced a synergistic effect, increasing sediment shear strength by approximately 30–40%. These findings provide quantitative guidance for grouser design and operational optimization of tracked deep-sea mining vehicles. Full article
(This article belongs to the Special Issue Marine Technology: Latest Advancements and Prospects)
Show Figures

Figure 1

29 pages, 25804 KB  
Review
Rhodoliths as Global Contributors to a Carbonate Ecosystem Dominated by Coralline Red Algae with an Established Fossil Record
by Markes E. Johnson
J. Mar. Sci. Eng. 2026, 14(2), 169; https://doi.org/10.3390/jmse14020169 - 13 Jan 2026
Viewed by 301
Abstract
Rhodoliths (from Greek etymology meaning red + stone) are spheroidal accretions composed of various types of crustose coralline red algae that dwell in relatively shallow waters where sunlight allows for photosynthesis. Unlike most other kinds of algae that are attached to the seabed [...] Read more.
Rhodoliths (from Greek etymology meaning red + stone) are spheroidal accretions composed of various types of crustose coralline red algae that dwell in relatively shallow waters where sunlight allows for photosynthesis. Unlike most other kinds of algae that are attached to the seabed by a holdfast, rhodoliths are free to roll about by circumrotary movements stimulated mainly by gentle wave action and bottom currents, as well as by disruptions by associated fauna. Frequent movement exposes every part of the algal surface to an equitable amount of sunlight, which generally results in an evenly concentric pattern of growth over time. Individual structures may attain a diameter of 10 to 20 cm, representing 100 years of growth or more. Initiation typically involves encrustation by founder cells on a rock pebble or shell fragment. In life, the functional outer surface is red or pink in complexion, whereas the structure’s inner core amounts to dead weight. Chemically, rhodoliths are composed of high magnesium calcite [(Ca,Mg)CO3], with examples known around many oceanic islands and virtually all continental shelves in the present world. The oldest fossil rhodoliths appeared during the early Cretaceous, 113 million years ago. Geologically, rhodoliths may occur in massive limestone beds composed of densely packed accumulations. Living rhodoliths commonly occur in waters as shallow as −2 to −10 m, as well as seaward in mesophotic waters up to −100 m under exceptional conditions of water clarity. Especially in shallower waters, rhodoliths are vulnerable to transfer by storm waves to supratidal settings, which result in bleaching under direct sunlight and death. Increasingly, marine biologists recognize that rhodolith beds represent a habitat that offers shelter to a community of other algae and diverse marine invertebrates. Full article
(This article belongs to the Special Issue Feature Review Papers in Geological Oceanography)
Show Figures

Figure 1

22 pages, 5575 KB  
Article
Influence of Seabed Scouring on the Bearing Capacity of Suction Caisson Foundations of Offshore Wind Turbines
by Zhuang Jin, Xuan Liu, Mayao Cheng, Maozhu Peng and Jie Yang
J. Mar. Sci. Eng. 2026, 14(2), 171; https://doi.org/10.3390/jmse14020171 - 13 Jan 2026
Viewed by 110
Abstract
Local scour around suction caisson foundations has emerged as a significant geotechnical hazard for offshore wind turbines as developments extend into deeper waters. This study quantitatively evaluates the scour-induced degradation of the bearing capacity of suction buckets in sand using a three-dimensional finite [...] Read more.
Local scour around suction caisson foundations has emerged as a significant geotechnical hazard for offshore wind turbines as developments extend into deeper waters. This study quantitatively evaluates the scour-induced degradation of the bearing capacity of suction buckets in sand using a three-dimensional finite element model incorporating the Hardening Soil (HS) constitutive model. The HS framework enables realistic representation of stress-dependent stiffness, dilatancy, and plastic hardening, which are essential for simulating stress redistribution caused by scour. Parametric analyses covering a broad range of relative scour depths show that scour depth is the primary factor governing capacity loss. Increasing scour leads to systematic reductions in horizontal and moment capacities, evident stiffness softening, and a downward migration of plastic zones. A critical threshold is identified at Sd/L = 0.3, beyond which the rate of capacity deterioration increases significantly. The HM failure envelopes contract progressively and exhibit increasing flattening with scour depth while maintaining nearly constant eccentricity. Empirical relationships between scour depth and key envelope parameters are further proposed to support engineering prediction. The results highlight the necessity of integrating scour effects into design and assessment procedures for suction bucket foundations to ensure the long-term performance and safety of offshore wind turbines. Full article
(This article belongs to the Special Issue Wave–Structure–Seabed Interaction)
Show Figures

Figure 1

26 pages, 6372 KB  
Article
Investigation of Scour Caused by Twin-Propeller Jet
by Ayşe Hazel Hafızoğulları, Kubilay Cihan, Ayşe Yüksel Ozan, Osman Yıldız, İrfan Atabaş and Didem Yılmazer
Water 2026, 18(2), 197; https://doi.org/10.3390/w18020197 - 12 Jan 2026
Viewed by 155
Abstract
This study investigated twin-propeller-induced scour on sandy seabeds with varying grain sizes (d50 = 0.11, 0.5, and 0.95 mm) through a series of laboratory experiments. The effects of propeller rotation speed (rpm), offset height (y0), propeller diameter (Dp), [...] Read more.
This study investigated twin-propeller-induced scour on sandy seabeds with varying grain sizes (d50 = 0.11, 0.5, and 0.95 mm) through a series of laboratory experiments. The effects of propeller rotation speed (rpm), offset height (y0), propeller diameter (Dp), and sediment grain size (d50) on scour development were examined. Results indicated that sediment grain size significantly influences scour patterns. A key objective was to develop predictive expressions for primary scour characteristics at equilibrium: maximum scour depth (Smax), scour hole length (Lmax), and maximum scour width (Bmax). Using a nonlinear regression approach, the proposed expressions demonstrated strong predictive performance. Findings show that equilibrium scour depth increases with higher Froude numbers (F0) but decreases with larger sediment size (d50) and higher propeller offset (y0). Additionally, empirical equations were formulated to predict the temporal evolution of scour depth, achieving high correlations with experimental data (R2 > 0.97). These results enhance understanding of scour induced by unconfined twin-propeller jets in harbors or navigation channels and provide valuable data for the design and protection of harbor basins. Full article
(This article belongs to the Section Hydraulics and Hydrodynamics)
Show Figures

Figure 1

18 pages, 7411 KB  
Article
Enhancing Marine Gravity Anomaly Recovery from Satellite Altimetry Using Differential Marine Geodetic Data
by Yu Han, Fangjun Qin, Jiujiang Yan, Hongwei Wei, Geng Zhang, Yang Li and Yimin Li
Appl. Sci. 2026, 16(2), 726; https://doi.org/10.3390/app16020726 - 9 Jan 2026
Viewed by 209
Abstract
Traditional fusion methods for integrating multi-source gravity data rely on predefined mathematical models that inadequately capture complex nonlinear relationships, particularly at wavelengths shorter than 10 km. We developed a convolutional neural network incorporating differential marine geodetic data (DMGD-CNN) to enhance marine gravity anomaly [...] Read more.
Traditional fusion methods for integrating multi-source gravity data rely on predefined mathematical models that inadequately capture complex nonlinear relationships, particularly at wavelengths shorter than 10 km. We developed a convolutional neural network incorporating differential marine geodetic data (DMGD-CNN) to enhance marine gravity anomaly recovery from HY-2A satellite altimetry. The DMGD-CNN framework encodes spatial gradient information by computing differences between target points and their surrounding neighborhoods, enabling the model to explicitly capture local gravity field variations. This approach transforms absolute parameter values into spatial gradient representations, functioning as a spatial high-pass filter that enhances local gradient information critical for short-wavelength gravity signal recovery while reducing the influence of long-wavelength components. Through systematic ablation studies with eight parameter configurations, we demonstrate that incorporating first- and second-order seabed topography derivatives significantly enhances model performance, reducing the root mean square error (RMSE) from 2.26 mGal to 0.93 mGal, with further reduction to 0.85 mGal achieved by the differential learning strategy. Comprehensive benchmarking against international gravity models (SIO V32.1, DTU17, and SDUST2022) demonstrates that DMGD-CNN achieves 2–10% accuracy improvement over direct CNN predictions in complex topographic regions. Power spectral density analysis reveals enhanced predictive capabilities at wavelengths below 10 km for the direct CNN approach, with DMGD-CNN achieving further precision enhancement at wavelengths below 5 km. Cross-validation with independent shipborne surveys confirms the method’s robustness, showing 47–63% RMSE reduction in shallow water regions (<2000 m depth) compared to HY-2A altimeter-derived results. These findings demonstrate that deep learning with differential marine geodetic features substantially improves marine gravity field modeling accuracy, particularly for capturing fine-scale gravitational features in challenging environments. Full article
Show Figures

Figure 1

32 pages, 2819 KB  
Review
AUVs for Seabed Surveying: A Comprehensive Review of Side-Scan Sonar-Based Target Detection
by Jianan Qiao, Jiancheng Yu, Yan Huang, Hao Feng, Dayu Jia, Zhenyu Wang and Bing Wang
J. Mar. Sci. Eng. 2026, 14(2), 145; https://doi.org/10.3390/jmse14020145 - 9 Jan 2026
Viewed by 201
Abstract
With advancements in Autonomous Underwater Vehicle (AUV) and sensor technologies, the operational paradigms for seabed survey are undergoing significant transformation. Compared to traditional towed or remotely operated platforms, AUV-based seabed survey systems demonstrate superior capabilities in data resolution, operational efficiency and stealth. Furthermore, [...] Read more.
With advancements in Autonomous Underwater Vehicle (AUV) and sensor technologies, the operational paradigms for seabed survey are undergoing significant transformation. Compared to traditional towed or remotely operated platforms, AUV-based seabed survey systems demonstrate superior capabilities in data resolution, operational efficiency and stealth. Furthermore, propelled by progress in artificial intelligence, the technical approaches of AUV-based seabed exploration systems are also experiencing disruptive changes. Based on our observations, existing review articles predominantly focus on individual technologies within seabed survey operations, failing to reflect the systemic constraints and interdependencies among these discrete technological components. This review focuses on the scenario of seabed target detection within seabed survey operations, summarizing research progress aimed at enhancing the effectiveness of such systems across three key technical areas: image processing of side-scan sonar (SSS) systems, intelligent detection of seabed targets and autonomous path planning for survey missions, which is based on a representative system—AUV-mounted SSS system. Given the multi-faceted challenges still present in seabed exploration technology, this paper aims to provide directional guidance for new researchers entering this field. Full article
(This article belongs to the Section Ocean Engineering)
Show Figures

Figure 1

33 pages, 5511 KB  
Article
Trajectory Tracking Control for Subsea Mining Vehicles Based on Fuzzy PID Optimised by Genetic Algorithms
by Henan Bu, Menglong Wu, Bo Liu and Zhuwen Yan
Sensors 2026, 26(2), 441; https://doi.org/10.3390/s26020441 - 9 Jan 2026
Viewed by 102
Abstract
In deep-sea mining operations, the seabed sediments (mud and sand) are very soft and slippery. This often causes tracked vehicles to slip and veer off course when they are driving on the seafloor. To solve the path-tracking problem for deep-sea mining vehicles, this [...] Read more.
In deep-sea mining operations, the seabed sediments (mud and sand) are very soft and slippery. This often causes tracked vehicles to slip and veer off course when they are driving on the seafloor. To solve the path-tracking problem for deep-sea mining vehicles, this study suggests a path-tracking controller that can adapt to the seabed environment. Firstly, it is necessary to establish a kinematic and dynamic model of the mining vehicle’s motion, analysing its seabed slippage and force application. The system has been developed on the basis of the Stanley algorithm and utilises a two-degree-of-freedom kinematic model, with lateral deviation and heading deviation acting as inputs. The establishment of fuzzy rules to adjust the gain parameter K enables the mining vehicle to adaptively modify its gain parameters according to the seabed environment and path. Secondly, a fuzzy PID controller is established and optimised to address the limitation that fuzzy PID control rules are constrained by the designer’s experience. At the same time, a relationship was established between how fast the drive wheel accelerates and the slip rate based on the dynamic model. This stops the drive wheel from slipping by limiting how fast it can go. Finally, a mechanical model of the mining vehicle was created in Recurdyn and a system model was developed in MATLAB/Simulink for joint simulation analysis. The simulation results demonstrate the efficacy of the proposed control strategy, establishing it as a reliable method for tracking the path of subsea mining vehicles. Full article
(This article belongs to the Section Navigation and Positioning)
Show Figures

Figure 1

25 pages, 7964 KB  
Article
Hydrodynamic Mechanisms Underlying the Burying Behavior of Benthic Fishes: Numerical Simulation and Orthogonal Experimental Study
by Hualong Xie, Xiangxiang Wang, Min Li, Yubin Wang and Fei Xing
Biomimetics 2026, 11(1), 55; https://doi.org/10.3390/biomimetics11010055 - 8 Jan 2026
Viewed by 188
Abstract
To avoid predators, benthic fish will stir up the sediment on the seabed by flapping their pectoral fins, thus burying themselves. This self-burial concealment strategy can offer bionic enlightenment for the benthic residence method of Unmanned Underwater Vehicles (UUVs). In this paper, based [...] Read more.
To avoid predators, benthic fish will stir up the sediment on the seabed by flapping their pectoral fins, thus burying themselves. This self-burial concealment strategy can offer bionic enlightenment for the benthic residence method of Unmanned Underwater Vehicles (UUVs). In this paper, based on the observation results of the self-burial behavior of benthic fish, a two-dimensional fluid-particle numerical model was developed to simulate the processes of sediment transport induced by pectoral fin flapping. In addition, an orthogonal experimental design was employed to analyze the effects of body length, flapping amplitude, flapping number, flapping frequency, and particle size on burial ratio, input power, and burial efficiency. The results reveal that rapid pectoral fin flapping enables benthic fish to fluidize sediments and achieve self-burial. Among the influencing factors, body size has the most significant impact on coverage ratio and input power, as larger fish generate stronger tip vortices and fluid disturbances, making local flow velocities more likely to exceed the critical starting velocity. In contrast, particle size has the weakest effect on burial performance, while kinematic parameters exert a far greater impact on self-burial than environmental parameters. The research results can offer references for the biomimetic design of self-burying UUVs. Full article
Show Figures

Figure 1

28 pages, 4241 KB  
Article
Coupled Responses and Performance Assessment of Mooring-Connection Systems for Floating Photovoltaic Arrays in Shallow Waters
by Xiao Wang, Shuqing Wang, Xiancang Song and Bingtao Song
J. Mar. Sci. Eng. 2026, 14(2), 117; https://doi.org/10.3390/jmse14020117 - 7 Jan 2026
Viewed by 151
Abstract
Offshore floating photovoltaic (FPV) platforms are usually deployed in shallow waters with large tidal variations, where the modules of FPV are connected with each other via the connectors to form an array and mounted to the seabed via the mooring system. Therefore, the [...] Read more.
Offshore floating photovoltaic (FPV) platforms are usually deployed in shallow waters with large tidal variations, where the modules of FPV are connected with each other via the connectors to form an array and mounted to the seabed via the mooring system. Therefore, the mooring system and module connectors have significant influence on the dynamic response characteristics of FPV. In targeting such shallow waters with large tidal ranges, this paper proposes four integrated mooring-connection schemes based on configuration and parameter customization guided by adaptability optimization, including two kinds of mooring systems, named as horizontal mooring system and catenary mooring system with clumps, and two kinds of connection schemes, named as cross-cable connection and hybrid connection, are proposed. The feasibility of the mooring systems to adhere to the tidal range and the influence of the connection schemes on the dynamic response of the FPV are numerically investigated in detail. Results indicate the two mooring systems have comparable positioning performance; horizontal mooring offers slightly better tidal adaptability but much higher mooring tension, compromising system safety. Hybrid connection yields smaller surge amplitudes than cross-cable connection but generates excessively large connection forces, also posing safety risks. Comprehensive comparison indicates that catenary mooring with clumps combined with cross-cable connection imposes lower requirements on platform structural safety factors, while horizontal mooring with cross-cable connection exhibits stronger adaptability to water level and environmental load direction changes in shallow waters. Full article
(This article belongs to the Special Issue Advanced Analysis of Ship and Offshore Structures)
Show Figures

Figure 1

38 pages, 18338 KB  
Article
Damage Characterisation of Scour in Riprap-Protected Jackets and Hybrid Foundations
by João Chambel, Tiago Fazeres-Ferradosa, Mahdi Alemi, Francisco Taveira-Pinto and Pedro Lomonaco
J. Mar. Sci. Eng. 2026, 14(2), 114; https://doi.org/10.3390/jmse14020114 - 6 Jan 2026
Viewed by 248
Abstract
The global transition towards sustainable energy has accelerated the development and deployment of offshore wind turbines. Jacket foundations, commonly installed in intermediate to deep water depths to access available space and higher load capacities, are built to withstand intensified hydrodynamic loads. Due to [...] Read more.
The global transition towards sustainable energy has accelerated the development and deployment of offshore wind turbines. Jacket foundations, commonly installed in intermediate to deep water depths to access available space and higher load capacities, are built to withstand intensified hydrodynamic loads. Due to their structural complexity near the seabed, however, they are prone to local and global scour, which can compromise stability and increase maintenance costs. While extensive research has addressed scour protections around monopiles, limited attention has been given to complex foundation geometries or even hybrid configurations that combine energy-harvesting devices with structural support. These hybrid systems introduce highly unsteady flow fields and amplified turbulence effects that current design frameworks appear to be unable to capture. This study provides an experimental characterisation of scour damage in riprap-protected jackets as well as additional tests for a hybrid jacket foundation. A novel adaptation of a high-resolution overlapping sub-area methodology was employed. For the first time, it was successfully applied to quantify the damage to riprap protections for a complex offshore foundation. Results revealed that, although hybrid jackets showed the capacity to attenuate incident waves, the scour protection experienced damage numbers (S3D) two to six times higher than conventional jackets due to flow amplifications. The findings highlight the need for revised design guidelines that can account for the complex hydrodynamic-structural interactions of next-generation marine harvesting technologies integrated into complex foundations. Full article
Show Figures

Figure 1

21 pages, 4796 KB  
Article
Experimental and Theoretical Study on the Stability of Submarine Cable Covered by Articulated Concrete Mattresses on Flat Hard Seabed Under the Action of Currents
by Ke Chen, Huakun Wang, Chiyuan Xu, Dawei Guan, Guokai Yuan, Chengyu Liu, Hongqing Wang and Can Zheng
J. Mar. Sci. Eng. 2026, 14(1), 104; https://doi.org/10.3390/jmse14010104 - 5 Jan 2026
Viewed by 276
Abstract
The safe and stable operation of submarine cables is a critical issue in offshore wind power engineering. This study presents an experimental and theoretical study on the stability of submarine cable protected by a sleeve (SCPS) with Articulated Concrete Mattresses (ACMs) protection on [...] Read more.
The safe and stable operation of submarine cables is a critical issue in offshore wind power engineering. This study presents an experimental and theoretical study on the stability of submarine cable protected by a sleeve (SCPS) with Articulated Concrete Mattresses (ACMs) protection on a flat hard seabed under current conditions. The instability modes of the SCPS–ACMs were identified, and the effects of the number of spans, cover spacing, and ACMs length on the critical instability velocity were investigated. The experimental results indicate that the primary instability mode of the SCPS–ACMs is the overall slip mode. An increase in cover spacing enlarges the exposure scale of the SCPS in the flow environment, thereby reducing the critical velocity. Employing at least two spans effectively mitigates the boundary effect induced by the flow past the SCPS at its ends, thus ensuring the reliability of the experimental model. The critical velocity is fundamentally determined by the dimensionless parameter—the ACMs coverage ratio (incorporating both the ACMs length and cover spacing). Based on the experimental results and force analysis, a theoretical equation reflecting the intrinsic relationship between the ACMs’ cover spacing and critical velocity was established. Key parameters in the equation, such as the friction coefficient, hydrodynamic coefficients (including the lift coefficient and drag coefficient), and weight distribution coefficients, were determined. Finally, the theoretical results were validated against the experimental data, showing a good agreement and verifying the reliability of the theoretical formula. The findings of this research can provide crucial support for the optimal design of ACMs protection schemes for submarine cables on the hard seabed. Full article
Show Figures

Figure 1

21 pages, 3638 KB  
Article
Benthic Microbial Community Features and Environmental Correlates in the Northwest Pacific Polymetallic Nodule Field, with Comparative Analysis Across the Pacific
by Ziyu Li, Juan Yang, Xuebao He, Ziyu Zhao and Jianxin Xia
Microorganisms 2026, 14(1), 103; https://doi.org/10.3390/microorganisms14010103 - 3 Jan 2026
Viewed by 275
Abstract
Microorganisms, as the foundation of deep-sea ecosystems, are crucial for maintaining the structure and stability of polymetallic nodule field environments. To investigate the community structure and distributional patterns of benthic microorganisms in such environments, this study used high-throughput sequencing to analyze the composition, [...] Read more.
Microorganisms, as the foundation of deep-sea ecosystems, are crucial for maintaining the structure and stability of polymetallic nodule field environments. To investigate the community structure and distributional patterns of benthic microorganisms in such environments, this study used high-throughput sequencing to analyze the composition, diversity, and environmental correlations of bacteria, archaea, and fungi in the BPC (Beijing Pioneer Hi-tech Development Corporation Ltd., Beijing, China). Furthermore, microbial communities from BPC were compared with those from UK-1 (UK Seabed Resources, Southampton, UK) in terms of community structure and co-occurrence network characteristics. The results revealed that in the BPC, the bacterial communities were dominated by Proteobacteria and Chloroflexi, while Crenarchaeota represented the overwhelmingly dominant group. Fungal communities were primarily composed of Ascomycota and Basidiomycota. Correlation Analysis suggested that water depth, TOC (Total organic carbon), TN (Total nitrogen), and δ15N emerged as the key environmental drivers of microbial community variation. Comparative analysis showed microbial groups exhibited certain similarities but also some differences at the phylum, class, and order levels, with the differences becoming increasingly pronounced at finer taxonomic resolutions between BPC and UK-1. Co-occurrence network analyses indicated the microbial networks with higher density and node connectivity in the BPC, whereas the UK-1 exhibited greater modularity and clustering coefficients. Microbial interactions were weaker in the UK-1, but its resilience to benthic disturbance was expected to be higher than in the BPC. Full article
(This article belongs to the Section Environmental Microbiology)
Show Figures

Figure 1

Back to TopTop