Analysis of Turbulence Parameters of Typhoon Morakot along the Southeast Coast of China
Abstract
:1. Introduction
1.1. Computational Fluid Dynamics
1.2. Field Measurements
2. Introduction of Measurement Procedure and Method
2.1. Observation Site and Measurement Procedure
2.1.1. Introduction of Typhoon Morakot
2.1.2. Introduction of Monitoring System
2.2. Data Processing Method
2.2.1. Mean Wind Speed and Wind Direction
2.2.2. Turbulence Intensity
2.2.3. Gust Factor
2.2.4. Relationship between Turbulence Intensity and Gust Factor
2.2.5. Peak Factor
2.2.6. Turbulence Integral Scale
3. Results
3.1. Mean Wind Speed and Direction
3.2. Turbulence Intensity
3.3. Gust Factor
3.4. Relationship between Turbulence Intensity and Gust Factor
3.5. Peak Factor
3.6. Turbulence Integral Scale
4. Discussion
5. Conclusions
- (1)
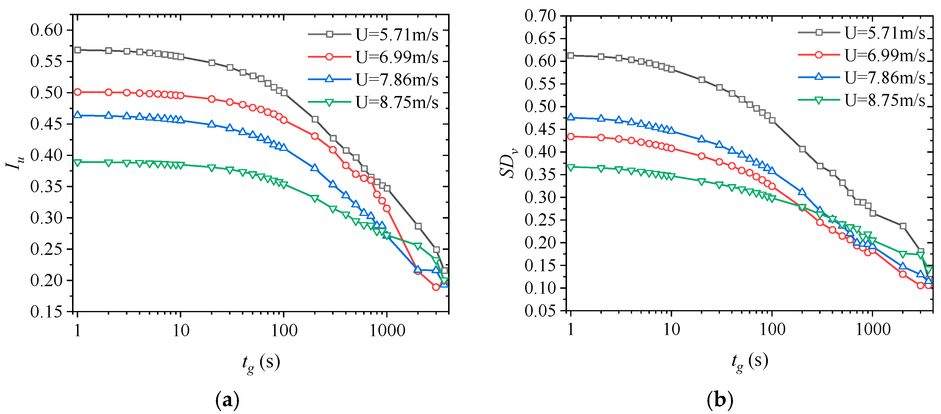
- The longitudinal and lateral turbulence vary with the wind speed. The ratios of longitudinal to lateral turbulence intensity at measuring points 1 and 2 are 1:0.92 and 1:0.90, respectively. The turbulence intensity gradually decreases, and the reduction rate rises with the change in the time interval. Ultimately, the longitudinal and lateral turbulence intensities approach 0.2 and 0.1, respectively.
- (2)
- The distribution of the gust factors is relatively scattered when the wind speed is less than 8 m/s. Conversely, they tend to cluster together with the wind speed exceeds 8 m/s. The distribution of lateral gust factors is more scattered compared to that of longitudinal gust factors, and the gust factor reduces as the time interval increases. Under the same wind speed, the longitudinal gust factor is much great than the lateral gust factor.
- (3)
- A curve is constructed to fit the measured data to obtain the link between the turbulence intensity and the gust factor. Measuring point 1 has fitting parameters a = 0.66 and b = 1.30, while measuring point 2 has fitting parameters a = 0.69 and b = 1.32.
- (4)
- When the time interval is 3 s, the observed peak factor remains constant as the mean wind speed fluctuates. The peak factor reduces with increased time intervals, and the peak factor substantially varies under different wind speeds.
- (5)
- With increasing mean wind speed, the longitudinal and lateral turbulence integral scales rise slightly. The turbulence integral scales generally tend to cluster together in areas with low wind speeds, but the distribution gradually becomes scattered as the mean wind speed increases.
Author Contributions
Funding
Institutional Review Board Statement
Informed Consent Statement
Data Availability Statement
Conflicts of Interest
Nomenclature
| a | a parameter of gust factor (11) |
| b | a parameter of gust factor (11) |
| peak factor (12) | |
| gust factor of the longitudinal direction (9) | |
| gust factor of the lateral direction (10) | |
| turbulence intensity in the u, v directions (5) | |
| turbulence integral scale of the fluctuating wind speed in i direction | |
| maximum value of wind speed of the longitudinal fluctuating wind averaged over the gust duration tg (9) | |
| maximum value of wind speed of the lateral fluctuating wind averaged over the gust duration tg (10) | |
| N | a parameter of the longitudinal turbulence intensity (8) |
| correlation function of the synchronous fluctuating wind speed (13) | |
| autocorrelation function (14) | |
| longitudinal turbulence intensity (8) | |
| t | the specific time interval variable |
| tg | gust duration |
| T | time interval |
| wind speed time series | |
| ux(t) | horizontal wind speed component in the x direction (1) |
| uy(t) | horizontal wind speed component in the y direction (2) |
| longitudinal fluctuating wind speed (8) | |
| the 10 min average wind speed of | |
| the 10 min average wind speed of | |
| the longitudinal component of the fluctuating wind speed (6) | |
| U | mean wind speed |
| U(T) | one-hour averaged wind speed (8) |
| maximum wind speed averaged over the time interval (12) | |
| the lateral component of the fluctuating wind speed (7) | |
| wind direction | |
| φ | vertical wind angle |
| vertical wind direction angle time history | |
| root mean square of the sum of fluctuating wind speeds , | |
| standard deviation of the longitudinal fluctuating wind speed (12) |
References
- Yang, B.; Zhu, H.; Wüchner, R.; Zhang, Q. Monitoring of wind effects on a wind-sensitive hybrid structure with single-layer cablenet curtain walls under Typhoon Muifa. J. Build. Eng. 2021, 44, 102960. [Google Scholar] [CrossRef]
- Wang, B.; Hu, F.; Cheng, X. Wind gust and turbulence statistics of typhoons in South China. Acta Meteorol. Sin. 2011, 25, 113–127. [Google Scholar] [CrossRef]
- Shi, W.H.; Li, Z.N.; Zhang, C.X. Field measurements of strong wind characteristics near ground in Wenzhou district. J. Build. Struct. 2010, 31, 34–40. [Google Scholar]
- Song, L.L.; Pang, J.B.; Jiang, C.L.; Huang, H.; Qin, P. Field measurement and analysis of turbulence coherence for Typhoon Nuri at Macao Friendship Bridge. Sci. China Technol. Sci. 2010, 53, 2647–2657. [Google Scholar] [CrossRef]
- Li, Q.; He, Y.; He, Y.; Zhou, K.; Han, X. Monitoring wind effects of a landfall typhoon on a 600 m high skyscraper. Struct. Infrastruct. Eng. 2019, 15, 54–71. [Google Scholar] [CrossRef]
- Blocken, B. 50 years of computational wind engineering: Past, present and future. J. Wind. Eng. Ind. Aerodyn. 2014, 129, 69–102. [Google Scholar] [CrossRef]
- Yan, B.; Li, Q. Large-eddy simulation of wind effects on a super-tall building in urban environment conditions. Struct. Infrastruct. Eng. 2016, 12, 765–785. [Google Scholar] [CrossRef]
- Daniels, S.J.; Castro, I.P.; Xie, Z.T. Peak loading and surface pressure fluctuations of a tall model building. J. Wind. Eng. Ind. Aerodyn. 2013, 120, 19–28. [Google Scholar] [CrossRef] [Green Version]
- Kim, Y.; Castro, I.P.; Xie, Z.T. Divergence-free turbulence inflow conditions for large-eddy simulations with incompressible flow solvers. Comput. Fluids 2013, 84, 56–68. [Google Scholar] [CrossRef] [Green Version]
- Huang, S.; Li, Q.S.; Xu, S. Numerical evaluation of wind effects on a tall steel building by CFD. J. Constr. Steel Res. 2007, 63, 612–627. [Google Scholar] [CrossRef]
- Tamura, T.; Cao, S.; Okuno, A. LES study of turbulent boundary layer over a smooth and a rough 2D hill model. Flow Turbul. Combust. 2007, 79, 405–432. [Google Scholar] [CrossRef]
- Cao, S.; Wang, T.; Ge, Y.; Tamura, Y. Numerical study on turbulent boundary layers over two-dimensional hills—Effects of surface roughness and slope. J. Wind. Eng. Ind. Aerodyn. 2012, 104, 342–349. [Google Scholar] [CrossRef]
- Hu, P.; Li, Y.; Han, Y.; Cai, S.C.S.; Xu, X. Numerical simulations of the mean wind speeds and turbulence intensities over simplified gorges using the SST k-ω turbulence model. Eng. Appl. Comput. Fluid Mech. 2016, 10, 359–372. [Google Scholar] [CrossRef] [Green Version]
- Daemei, A.B.; Khotbehsara, E.M.; Nobarani, E.M.; Bahrami, P. Study on wind aerodynamic and flow characteristics of triangular-shaped tall buildings and CFD simulation in order to assess drag coefficient. Ain Shams Eng. J. 2019, 10, 541–548. [Google Scholar] [CrossRef]
- Baghaei, D.A. Designing a Model of Affordable Housing in Tall Building with a Focus on the Use of Environmental Factors in Humid Subtropical Climate—Roofing Rasht. Master’s Thesis, Department of Architecture, Islamic Azad University, Rasht, Iran, 2017. [Google Scholar] [CrossRef]
- Li, Y.; Xu, X.; Zhang, M.; Xu, Y. Wind tunnel test and numerical simulation of wind characteristics at a bridge site in mountainous terrain. Adv. Struct. Eng. 2017, 20, 1223–1231. [Google Scholar] [CrossRef]
- Wang, L.; Chen, X.; Chen, H. Research on wind barrier of canyon bridge-tunnel junction based on wind characteristics. Adv. Struct. Eng. 2021, 24, 870–883. [Google Scholar] [CrossRef]
- Chen, X.; Liu, Z.; Wang, X.; Chen, Z.; Xiao, H.; Zhou, J. Experimental and numerical investigation of wind characteristics over mountainous valley bridge site considering improved boundary transition sections. Appl. Sci. 2020, 10, 751. [Google Scholar] [CrossRef] [Green Version]
- Peng, X.Q.; Qiao, C.G.; Chen, Y.H. Study of Static Wind-Induced Effects on Residential Complex. Appl. Mech. Mater. 2011, 137, 167–174. [Google Scholar] [CrossRef]
- DeLeon, R.; Sandusky, M.; Senocak, I. Simulations of turbulent flow over complex terrain using an immersed-boundary method. Bound.-Layer Meteorol. 2018, 167, 399–420. [Google Scholar] [CrossRef]
- Yassin, M.F.; Al-Harbi, M.; Kassem, M.A. Computational fluid dynamics (CFD) simulations on the effect of rough surface on atmospheric turbulence flow above hilly terrain shapes. Environ. Forensics 2014, 15, 159–174. [Google Scholar] [CrossRef]
- He, J.Y.; He, Y.C.; Li, Q.S.; Chan, P.; Zhang, L.; Yang, H.; Li, L. Observational study of wind characteristics, wind speed and turbulence profiles during Super Typhoon Mangkhut. J. Wind. Eng. Ind. Aerodyn. 2020, 206, 104362. [Google Scholar] [CrossRef]
- Li, X.; Li, Y.; Zhou, J.; Wang, Q.; Wang, X. Characteristics of Typhoon “Fung-Wong” Near Earth Pulsation. Shock. Vib. 2021, 2021, 9972981. [Google Scholar] [CrossRef]
- Lin, L.; Chen, K.; Xia, D.; Wang, H.; Hu, H.; He, F. Analysis on the wind characteristics under typhoon climate at the southeast coast of China. J. Wind. Eng. Ind. Aerodyn. 2018, 182, 37–48. [Google Scholar] [CrossRef]
- Dai, G.; Xu, Z.; Chen, Y.F.; Flay, R.G.; Rao, H. Analysis of the wind field characteristics induced by the 2019 Typhoon Bailu for the high-speed railway bridge crossing China’s southeast bay. J. Wind. Eng. Ind. Aerodyn. 2021, 211, 104557. [Google Scholar] [CrossRef]
- Fang, G.; Zhao, L.; Cao, S.; Ge, Y.; Li, K. Gust characteristics of near-ground typhoon winds. J. Wind. Eng. Ind. Aerodyn. 2019, 188, 323–337. [Google Scholar] [CrossRef]
- He, Y.; Han, X.; Li, Q.; Zhu, H.; He, Y. Monitoring of wind effects on 600 m high Ping-An Finance Center during Typhoon Haima. Eng. Struct. 2018, 167, 308–326. [Google Scholar] [CrossRef]
- Wang, Y.; Li, Y.; Fu, B.; Wang, X.; Zhang, C.; Fan, G. Characteristics of the Near-Ground Typhoon Morakot. Shock. Vib. 2021, 2021, 9968586. [Google Scholar] [CrossRef]
- Wang, H.; Tao, T.; Gao, Y.; Xu, F. Measurement of wind effects on a kilometer-level cable-stayed bridge during Typhoon Haikui. J. Struct. Eng. 2018, 144, 04018142. [Google Scholar] [CrossRef]
- Wang, C.; Li, Z.; Luo, Q.; Hu, L.; Zhao, Z.; Hu, J.; Zhang, X. Wind characteristics investigation on the roofs of three adjacent high-rise buildings in a coastal area during Typhoon Meranti. Appl. Sci. 2019, 9, 367. [Google Scholar] [CrossRef] [Green Version]
- Ye, Z.; Li, N.; Zhang, F. Wind characteristics and responses of Xihoumen Bridge during typhoons based on field monitoring. J. Civ. Struct. Health Monit. 2019, 9, 1–20. [Google Scholar] [CrossRef]
- Wang, X.; Huang, C.; Huang, P.; Yu, X. Study on wind characteristics of a strong typhoon in near-ground boundary layer. Struct. Des. Tall Spec. Build. 2017, 26, e1338. [Google Scholar] [CrossRef]
- Shi, W.H.; Dong, D.Z.; Li, Z.N. Statistical characteristics analysis of boundary layer strong wind or typhoon in coastal areas. Eng. Mech. 2013, 30, 30–35. [Google Scholar]
- GB 50009—2012 Load Code for the Design of Building Structures; China Architecture & Building Press: Beijing, China, 2012. (In Chinese)
- Li, B.; Yang, Q.; Yang, J. Wind characteristics near ground in south-eastern coast area of China based on field measurement. Geomat. Nat. Hazards Risk 2016, 7, 57–69. [Google Scholar] [CrossRef] [Green Version]
- Wang, X.; Luan, X.; Li, W.; Du, Y. Wind Characteristics of Near Strata Based on Field-Measured Data. J. Vib. Meas. Diagn. 2012, 41, 1066–1073. [Google Scholar] [CrossRef]
- Liu, W. Study on Wind Characteristics of Long-Span Bridge Site in Coastal Area during Typhoon Mangkhut Landing; Chongqing Jiaotong University: Chongqing, China, 2021. [Google Scholar] [CrossRef]
- Ishizaki, H. Wind profiles, turbulent intensities and gust factors for design in typhoon-prone regions. J. Wind. Eng. Ind. Aerodyn. 1983, 13, 55–66. [Google Scholar] [CrossRef]
- Choi, E.C.C. Wind Loading in Hong Kong: Commentary on the Code of Practice on Wind Effects Hong Kong—1983; Hong Kong Institution of Engineers: Hong Kong, China, 1983. [Google Scholar]
- Cao, S.Y.; Tamura, Y.; Kikuchi, N.; Saito, M.; Nakayama, I.; Matsuzaki, Y. Wind characteristics of a strong typhoon. J. Wind. Eng. Ind. Aerodyn. 2009, 97, 11–21. [Google Scholar] [CrossRef]
- Kaimal, J.C.; Wyngaard, J.C.; Izumi, Y.; Coté, O.R. Spectral characteristics of surface layer turbulence. Quart. J. R. Met. Soc. 1972, 98, 563–589. [Google Scholar] [CrossRef]
- Wang, X.; Huang, P.; Yu, X.F.; Huang, C. Near ground wind characteristics during typhoon Meari: Turbulence intensities, gust factors, and peak factors. J. Cent. South Univ. 2017, 24, 2421–2430. [Google Scholar] [CrossRef]
- Ashcroft, J. The relationship between the gust ratio, terrain roughness, gust duration and the hourly mean wind speed. J. Wind. Eng. Ind. Aerodyn. 1994, 53, 331–355. [Google Scholar] [CrossRef]
- Krayer, W.R.; Marshall, R.D. Gust Factors Applied to Hurricane Winds. Bull. Am. Meteorol. Soc. 1992, 73, 613–618. [Google Scholar] [CrossRef] [Green Version]
- Durst, C.S. Wind speeds over short periods of time. Meteor. Mag. 1960, 89, 181–186. [Google Scholar]












Publisher’s Note: MDPI stays neutral with regard to jurisdictional claims in published maps and institutional affiliations. |
© 2022 by the authors. Licensee MDPI, Basel, Switzerland. This article is an open access article distributed under the terms and conditions of the Creative Commons Attribution (CC BY) license (https://creativecommons.org/licenses/by/4.0/).
Share and Cite
Wang, Y.; Li, Y.; Zhang, C.; Wang, X.; Fan, G.; Qi, Q.; Fu, B. Analysis of Turbulence Parameters of Typhoon Morakot along the Southeast Coast of China. Appl. Sci. 2022, 12, 5218. https://doi.org/10.3390/app12105218
Wang Y, Li Y, Zhang C, Wang X, Fan G, Qi Q, Fu B. Analysis of Turbulence Parameters of Typhoon Morakot along the Southeast Coast of China. Applied Sciences. 2022; 12(10):5218. https://doi.org/10.3390/app12105218
Chicago/Turabian StyleWang, Yanru, Yongguang Li, Chuanxiong Zhang, Xu Wang, Guangyu Fan, Qianqian Qi, and Bin Fu. 2022. "Analysis of Turbulence Parameters of Typhoon Morakot along the Southeast Coast of China" Applied Sciences 12, no. 10: 5218. https://doi.org/10.3390/app12105218
APA StyleWang, Y., Li, Y., Zhang, C., Wang, X., Fan, G., Qi, Q., & Fu, B. (2022). Analysis of Turbulence Parameters of Typhoon Morakot along the Southeast Coast of China. Applied Sciences, 12(10), 5218. https://doi.org/10.3390/app12105218

