You are currently viewing a new version of our website. To view the old version click .
Applied Sciences
  • Article
  • Open Access

13 May 2022

A Compact Numerical Scheme for the Heat Transfer of Mixed Convection Flow in Quantum Calculus

,
and
1
Department of Mathematics, Air University, PAF Complex E-9, Islamabad 44000, Pakistan
2
Department of Mathematics and Sciences, College of Humanities and Sciences, Prince Sultan University, Riyadh 11586, Saudi Arabia
*
Author to whom correspondence should be addressed.
This article belongs to the Special Issue Heat Transfer Reinforcement Techniques in Heat Exchangers

Abstract

This contribution aims to propose a compact numerical scheme to solve partial differential equations (PDEs) with q-spatial derivative terms. The numerical scheme is based on the q-Taylor series approach, and an operator is proposed, which is useful to discretize second-order spatial q-derivative terms. The compact numerical scheme is constructed using the proposed operator, which gives fourth-order accuracy for second-order q-derivative terms. For time discretization, Crank–Nicolson, and Runge–Kutta methods are applied. The stability for the scalar case and convergence conditions for the system of equations are provided. The mathematical model for the heat transfer of boundary layer flow under the effects of non-linear mixed convection is given in form of PDEs. The governing equations are transformed into dimensionless PDEs using suitable transformations. The velocity and temperature profiles with variations of mixed convection parameters and the Prandtl number are drawn graphically. From considered numerical experiments, it is pointed out that the proposed scheme in space and Crank–Nicolson in time is more effective than that in which discretization for the time derivative term is performed by applying the Runge–Kutta scheme. A comparison with existing schemes is carried out as part of the research. For future fluid-flow investigations in an enclosed industrial environment, the results presented in this study may serve as a useful guide.

1. Introduction

Techniques for solving non-linear equations and suggesting an appropriate solution have become a catchy area of research and engineering. Several scientists have used iterative approaches to solve non-linear equations, as evidenced by a literature survey [1,2,3,4,5,6,7,8,9,10,11], which indicated the evolution of iterative methods such as the homotopy perturbation technique, variational iteraFtive methods and the decomposition technique. Traub [12] is the foremost scientist who initiated the study by introducing a basic quadratic convergent Newton iterative method for solving non-linear equations. Later, his method was considered the most significant among the other ones.
Cordero and Torregrosa [13], Frontini and Sormani [14], Hasanov [15], Weerakoon and Fernando [16] and Ozban [17] put a step forth to modify the Newton iterative method using quadrature rules, hence improving the efficiency and local order of convergence for Newton’s method.
Introducing promising variations of the Adomian decomposition method [18] by Jafari and Daftardar-Gejji [19] is a milestone in this field. They proposed a simple procedure that did not need the evaluation of the Adomian polynomial’s derivative, demonstrating its superiority to the Adomian decomposition method. Saqib employed the Adomian decomposition method, while Iqbal [20] and Ali et al. [21,22] proposed a family of iterative methods for solving non-linear equations that were more efficient and had a higher convergence order. This study is regarded as innovative since it establishes higher-order iterative methods for solving non-linear equations toward the q-analogue of the iterative methods in the q-calculus.
Q-calculus is the combination of mathematics and physics [23,24,25,26,27,28,29]. Due to its numerous applications in mathematics, including combinatorics, relativity theory, physics, number theory, and orthogonal polynomials, q-calculus became the most brain-dominating field in the last part of the twentieth century. As the inventor of the q-Taylor’s formula, Jackson [30] is regarded as a pioneer in this subject. They later used the q-differentiation approach to develop the q-Taylor’s formula and established results on the q-remainder in the q-Taylor’s formula by Jing and Fan [31]. There were four alternative q-Taylor’s formulas presented by Ernest [32] and the q integral remainder. Iterative methods, such as the q-analogue of the generalized Newton Raphson method and the q-analogue of the Newton Raphson method for solving algebraic transcendental equations, were studied by Prashant et al. [33] using q-Taylor’s formula. They compared the precision of the results obtained by the classical methods with those achieved using q-Taylor’s formula. It is possible to simulate a variety of linear and non-linear problems in everyday life and engineering problems using the q-differential equation. To solve the q-difference equations and develop convergence strategies, Jafari et al. [34] have accepted the Daftardar decomposition technique.
In the literature, mathematical models for the flow over the surfaces have been constructed by various researchers using classical derivatives. Both ordinary and partial differential equations forms are considered in the literature to study the effect of involved dimensionless parameters on velocity, temperature and concentration profiles if the problem is related to the heat and mass transfer of some flows over the surfaces. A study was conducted of mixed convection, unsteady Darcy–Forchheimer flow over a stretching sheet [35]. The effects of Brownian motion and thermophoresis diffusion were also considered in the study. The obtained PDEs were tackled by employing the finite difference method. It was concluded that the velocity escalated by incrementing buoyancy and time and de-escalated by enhancing the porosity parameter and Forchheimer number. There also was a study on mixed convective Jeffery nanofluid stratified flow with the effect of magnetohydrodynamics [36]. The convective boundary condition was implemented, and effects of heat absorption and heat generation were also considered. On the non-linear convected flow of thixotropic non-Newtonian fluid [37], the dimensionless model was solved by an optimal homotopy analysis method. The method finds the solution in infinite series form. The main advantage of using this method is that it contains the parameter(s) that can be used to control the convergence of the solution. Radiative mixed convective flow over a vertical cylinder using porous media and irregular heat sink/source has been studied [38]. A MATLAB solver for solving boundary value problems has been employed to solve the transformed model, and solutions of the model with both of their branches were portrayed in graphs.
There are also various analytical and numerical methods to solve these models. The accuracy of solutions of models depends on the used method. One of the ways to check the accuracy of numerical methods is to use the Taylor series. The accuracy may depend on the degree of the considered interpolation polynomial. Some methods have been constructed in the literature using polynomial interpolation. The idea for the interpolation of the polynomial has been used in literature to construct numerical schemes in fractional calculus.
The present contribution is concerned with proposing a compact numerical scheme for solving differential equations having spatial second order q-derivatives. Two useful numerical approximations for discretizing q-derivative are given, and the proposed numerical scheme is based on these approximations. For handling time derivative terms, Crank–Nicolson and Runge–Kutta methods are employed. The difference equations obtained by applying Crank–Nicolson/Runge–Kutta schemes in time direction and proposed compact scheme in spatial direction to the considered equations are tackled by the Gauss–Seidel iterative method. The mathematical model for the heat transfer of a mixed convection boundary layer flow over stretching sheets with a spatial q-derivative diffusion term is given. Later on, it is solved by the proposed numerical schemes. A non-linear mathematical model of mixed convection flow is chosen for the present study. Two types of boundary conditions are chosen for the considered flow problem. A non-linear differential equation is linearized first and then discretized by a proposed compact computational scheme.
Definition 1
([39]). The q -derivative for real-valued continuous function  f ( x )  is expressed as
f q ( x ) = f ( q x ) f ( x ) q x x ,   0 < q < 1
when  q 1 , f q ( x ) f ( x ) .
Theorem 1 
([39]). The q -derivative Taylor series is expressed as
f ( x ) = j = 0 f q j ( x 0 ) [ j ] q ! ( x x ) j
where  [ j ] q = [ j ] q [ j 1 ] q [ 2 ] q [ 1 ] q  and  [ j ] q = 1 q j 1 q .
A useful result is proposed before starting the construction procedure of the proposed compact scheme.
Theorem 2.
Let  A  be an operator defined as
A u i = u i 1 + b u i + u i + 1 b + 2
where  b = 2 ( 1 + q 2 ) ( 1 + q + q 2 ) 2 , then  u q , i = ( 1 + q 2 ) δ x 2 u i + O ( h 2 ) , and
A u q , i = u q , i 1 + b u q , i + u q , i + 1 b + 2 = ( 1 + q 2 ) δ x 2 u i + O ( h 4 )
where  δ x 2 u i = u i + 1 2 u i + u i 1 ( Δ x ) 2 .
Proof. 
Consider the q -derivative Taylor series expansions for u i + 1 and u i 1 as
u i + 1 = u i + Δ x [ 1 ] q ! u q , i + ( Δ x ) 2 [ 2 ] q ! u q , i + ( Δ x ) 3 [ 3 ] q ! u q , i + ( Δ x ) 4 [ 4 ] q ! u q , i i v +
u i 1 = u i Δ x [ 1 ] q ! u q , i + ( Δ x ) 2 [ 2 ] q ! u q , i ( Δ x ) 3 [ 3 ] q ! u q , i + ( Δ x ) 4 [ 4 ] q ! u q , i i v +
Adding (5) and (6) results in
u i + 1 + u i 1 = 2 u i + 2 ( Δ x ) 2 [ 2 ] q ! u q , i + O ( ( Δ x ) 4 )
This implies
u q , i = ( u i 1 2 u i + u i + 1 ) 2 ( Δ x ) 2 [ 2 ] q ! + O ( ( Δ x ) 2 ) = δ x 2 u i ( 1 + q 2 ) + O ( ( Δ x ) 2 )
By taking second order q-derivative of Equations (5) and (6) yields
u q , i + 1 = u q , i + Δ x [ 1 ] q ! u q , i + ( Δ x ) 2 [ 2 ] q ! u q , i i v +
u q , i 1 = u q , i Δ x [ 1 ] q ! u q , i + ( Δ x ) 2 [ 2 ] q ! u q , i i v +
Adding Equations (8) and (9), it produces
u q , i + 1 + u q , i 1 = 2 u q , i + 2 ( Δ x ) 2 [ 2 ] q ! u q , i i v + O ( ( Δ x ) 4 )
Adding b u q , i on both sides of Equation (10) yields
u q , i + 1 + b u q , i + u q , i 1 = ( 2 + b ) u q , i + 2 ( Δ x ) 2   [ 2 ] q ! u q , i i v + O ( ( Δ x ) 4 )  
Re-write Equation (11) as
u q , i + 1 + b u q , i + u q , i 1 b + 2 = u q , i + 2 ( Δ x ) 2 ( b + 2 ) [ 2 ] q ! u q , i i v + O ( ( Δ x ) 4 )
Adding Equations (5) and (6) and consider the remainder fourth order q-derivative term, it is obtained that
u i + 1 + u i 1 = 2 u i + 2 ( Δ x ) 2 [ 2 ] q ! u q , i + 2 ( Δ x ) 4 [ 4 ] q ! u q , i i v + O ( ( Δ x ) 6 )
Re-write Equation (13) in the form of
u q , i = ( 1 + q 2 ) δ x 2 u i ( Δ x ) 2 ( 1 + q ) [ 4 ] q ! u q , i i v + O ( ( Δ x ) 4 )
Substituting Equation (14) into Equation (12), it is obtained that
u q , i + 1 + b u q , i + u q , i 1 b + 2 = ( 1 + q 2 ) δ x 2 u i ( Δ x ) 2 ( 1 + q ) [ 4 ] q ! u q , i i v + 2 ( Δ x ) 2 ( b + 2 ) [ 2 ] q ! u q , i i v + O ( ( Δ x ) 4 )
Since ( Δ x ) 2 ( 1 + q ) [ 4 ] q ! u q , i i v + 2 ( Δ x ) 2 ( b + 2 ) [ 2 ] q ! u q , i i v = 0 , so, Equation (15) becomes
u q , i + 1 + b u q , i + u q , i 1 b + 2 = ( 1 + q 2 ) δ x 2 u i + O ( ( Δ x ) 4 ) .

2. Proposed Compact Scheme

In literature, different compact schemes have been proposed for finding solutions of partial differential equations for classical derivatives. Some compact schemes have been constructed in [40] for classical derivatives. Based on the compact scheme for classical derivatives, the compact difference scheme is constructed here in Quantum Calculus. For proposing a compact numerical scheme in Quantum Calculus, consider the following partial differential equation with q -partial derivative
u t = α 1 q 2 u x 2 + β 1 f ( u )
subject to the boundary and initial conditions,
u ( 0 , t ) = α ¯ ,   u ( L , t ) = β   and   u ( x , 0 ) = g ( x )
where α ¯ and β are constants. Applying operator A on both sides of the Equation (17),
A u t | i n = α 1 A q 2 u x 2 | i n + β 1 A u f 1 ( u ¯ ) | i n
where f ( u ) is linearized as
f ( u ) = u f 1 ( u ¯ )
Equation (19) with the effect of operator A is given as
u t | i + 1 n + b u t | i n + u t | i 1 n b + 2 = ( 1 + q 2 ) α 1 δ x 2 u i | n + β 1 ( u i + 1 + b u i + u i 1 b + 2 ) | n f 1 ( u ¯ i ) | n
Equation (21) is a semi-discretized scheme in which a fourth-order q-compact scheme is employed in a spatial direction. For time direction, a second-order Runge–Kutta scheme is employed in Equation (21), that yields
1 b + 2 [ u ^ i + 1 n + 1 u i + 1 n Δ t + b u ^ i n + 1 u i n Δ t + u ^ i 1 n + 1 u i 1 n Δ t ] = ( 1 + q 2 ) α 1 2 δ x 2 u i n + β 1 ( u i + 1 n + b u i n + u i 1 n 2 ( b + 2 ) ) f 1 ( u ¯ i n )
Equation (22) represents the first stage of the Runge–Kutta scheme, and for its second stage, Equation (21) is fully discretized as
1 b + 2 [ u i + 1 n + 1 u i + 1 n Δ t + b u i n + 1 u i n Δ t + u i 1 n + 1 u i 1 n Δ t ] = ( 1 + q 2 ) α 1 δ x 2 u ^ i n + β 1 ( u ^ i + 1 n + b u ^ i n + u ^ i 1 n b + 2 ) f 1 ( u ¯ i n )
So the scheme represented in Equations (22) and (23) gives fourth-order accuracy in space and second-order accuracy in time. The time accuracy can be enhanced by employing a fourth-order Runge–Kutta scheme. Additionally, a second-order Crank–Nicolson scheme can be considered. The term in bar ‘−’ notation will be evaluated at the i th grid point and at the n th time level. The next section provides a stability analysis of the proposed numerical scheme to find out the stability condition.

3. Stability Analysis

The stability analysis of different finite difference schemes has been given in the literature. The stability analysis of some basic difference schemes for partial differential equations for classical derivatives (or integer-order derivatives) can be seen in [41]. Here, the stability analysis called as Von Neumann or Fourier series analysis is applied to the problem of Quantum Calculus. This stability analysis is a useful analysis of numerical schemes for finding stability conditions. In some cases, these conditions are imposed on the diffusion number (the ratio of time step size, and squared spatial step size) for parabolic equations. For this criterion, some transformations are considered. The transformations for this study are expressed as
u ^ i n + 1 = E ^ n + 1 e i I ψ ,   u i ± 1 n = E n e ( i ± 1 ) I ψ ,   u ^ i ± 1 n + 1 = E ^ n + 1 e ( i ± 1 ) I ψ
where I = 1 .
For the first stage of the proposed scheme, substituting transformations (24) into Equation (22), it is obtained that
1 b + 2 [ E ^ n + 1 e ( i + 1 ) I ψ   E n e ( i + 1 ) I ψ Δ t + b E ^ n + 1 e i I ψ E n e i I ψ Δ t + E ^ n + 1 e ( i 1 ) I ψ   E n e ( i 1 ) I ψ Δ t ]   = α 1 2 ( 1 + q 2 ) [ e ( i + 1 ) I ψ 2 e i I ψ + e ( i 1 ) I ψ ( Δ x ) 2 ] E n + β 1 f ( u ¯ i n ) 2 ( b + 2 ) ( e ( i + 1 ) I ψ 2 e i I ψ + e ( i 1 ) I ψ ) E n
Dividing both sides by Equation (25) by e i I ψ , it results in
1 b + 2 [ E ^ n + 1 e I ψ E n e I ψ Δ t + b E ^ n + 1 E n Δ t + E ^ n + 1 e I ψ E n e I ψ Δ t ] = α 1 2 ( 1 + q 2 ) [ e I ψ 2 + e I ψ ( Δ x ) 2 ] E n + β 1 f ( u ¯ i n ) 2 ( b + 2 ) ( e I ψ 2 + e I ψ ) E n
Re-writing Equation (26) gives
E ^ n + 1 ( e I ψ + b + e I ψ ) = ( e I ψ + b + e I ψ ) E n + { α 1 Δ t ( b + 2 ) ( 1 + q ) 4 ( Δ x ) 2 ( e I ψ 2 + e I ψ ) E n + Δ t ( b + 2 ) β 1 f ( u ¯ i n ) 2 ( b + 2 ) ( e I ψ 2 + e I ψ ) E n }
Using trigonometric identities, Equation (27) can be expressed as
E ^ n + 1 = E n + α 1 Δ t ( b + 2 ) ( 1 + q ) 2 ( Δ x ) 2 ( c o s ψ 1 2 c o s ψ + b ) E n + Δ t ( b + 2 ) β 1 f ( u ¯ i n ) ( b + 2 ) ( c o s ψ 1 2 c o s ψ + b ) E n
Similarly, transformations (24) can be substituted into Equation (23) to yield
1 b + 2 [ E n + 1 e ( i + 1 ) I ψ E n e ( i + 1 ) I ψ Δ t + b E n + 1 e i I ψ E n e i I ψ Δ t + E n + 1 e ( i 1 ) I ψ E n e ( i 1 ) I ψ Δ t ] = α 1 ( 1 + q 2 ) [ e ( i + 1 ) I ψ 2 e i I ψ + e ( i 1 ) I ψ ] E ^ n + 1 + β 1 f 1 ( u ¯ i n ) b + 2 [ e ( i + 1 ) I ψ 2 e i I ψ + e ( i 1 ) I ψ ] E ^ n + 1
Dividing both sides of Equation (29) by e i I ψ , it is obtained that
1 b + 2 [ E n + 1 e I ψ E n e I ψ Δ t + b E n + 1 E n Δ t + E n + 1 e I ψ E n e I ψ Δ t ] = α 1 ( 1 + q 2 ) [ e I ψ 2 + e I ψ ] E ^ n + 1 + β 1 f 1 ( u ¯ i n ) b + 2 [ e I ψ 2 + e I ψ ] E ^ n + 1
Re-writing Equation (30) gives
E n + 1 = E n + α 1 Δ t ( b + 2 ) ( 1 + q ) ( Δ x ) 2 ( c o s ψ 1 2 c o s ψ + b ) E ^ n + 1 + 2 Δ t ( b + 2 ) β 1 f ( u ¯ i n ) ( b + 2 ) ( c o s ψ 1 2 c o s ψ + b ) E ^ n + 1
Substituting Equation (28) into Equation (31) provides
E n + 1 = E n + [ α 1 Δ t ( b + 2 ) ( 1 + q ) ( Δ x ) 2 ( c o s ψ 1 2 c o s ψ + b ) + 2 Δ t ( b + 2 ) β 1 f ( u ¯ i n ) ( b + 2 ) ( c o s ψ 1 2 c o s ψ + b ) ] [ E n + α 1 Δ t ( b + 2 ) ( 1 + q ) 2 ( Δ x ) 2 ( c o s ψ 1 2 c o s ψ + b ) E n + Δ t ( b + 2 ) β 1 f ( u ¯ i n ) ( b + 2 ) ( c o s ψ 1 2 c o s ψ + b ) E n ]
The stability conditions can be expressed as
| E n + 1 E n | 1 .
For homogeneous equations, i.e., β 1 = 0 , the stability condition can be expressed as
| 1 + d ( b + 2 ) ( 1 + q ) 2 ( c o s ψ 1 2 c o s ψ + b ) [ 1 + d ( b + 2 ) ( 1 + q ) 2 ( c o s ψ 1 2 c o s ψ + b ) ] | 1 ,
where d = α 1 Δ t ( Δ x ) 2 .  
By varying different values of q   and   d , the stability condition can be determined using the smallest or largest values of trigonometric functions.

4. Convergence of Numerical Scheme

The stability of the scalar case has been discussed. Here, the convergence of the proposed scheme for the system of the parabolic equation having spatial q -derivative terms will be explained. For doing so, consider the following system of the parabolic equation in Quantum Calculus
u t = a 2 u y 2 + b ¯ θ
θ t = c 2 θ y 2
where a ,   b ¯ are constant, and b ¯ is a function of θ that is kept fixed due to linearization. These parameters will appear in the flow problem constructed in the later section.
Before initializing the procedure of determining convergence conditions, a proposed scheme will be employed on a single vector-matrix equation instead of a system Equations (35) and (36).
Re-write Equations (35) and (36) into a single vector-matrix equation gives
U t = A q 2 U y 2 + B U
where A = [ a 0 0 c ] ,   B = [ 0 b ¯ 0 0 ] ,   U = [ u ,   θ ] t .
Applying the operator A on both sides of Equation (37) yields
A U t = A A q 2 U y 2 + A B U
Equation (38) can be expressed as
( U t ) i + 1 n + b ( U t ) i n + ( U t ) i 1 n b + 2 = A ( 1 + q 2 ) δ y 2 U i n + B ( U i + 1 n + b U I n + U i 1 n b + 2 )
Employing the first stage of the Runge–Kutta scheme, it is obtained that
U ¯ i + 1 n + 1 U i + 1 n Δ t ( b + 2 ) + b ( U ¯ i n + 1 U i n ) Δ t ( b + 2 ) + U ¯ i 1 n + 1 U i 1 n Δ t = A 4 ( 1 + q ) δ y 2 U i n + B 2 ( b + 2 ) ( U i + 1 n + b U i n + U i 1 n )
Applying the second stage of the Runge–Kutta scheme on Equation (39) yields
U i + 1 n + 1 U i + 1 n Δ t ( b + 2 ) + b ( U i n + 1 U i n ) Δ t ( b + 2 ) + U i 1 n + 1 U i 1 n Δ t = A 2 ( 1 + q ) δ y 2 U ¯ i n + 1 + B ( b + 2 ) ( U ¯ i + 1 n + 1 + b U ¯ i n + 1 + U ¯ i 1 n + 1 )  
Theorem 3.
The proposed schemes (40) and (41) converges conditionally.
Proof. 
Let the first and second stage of the corresponding exact scheme for Equation (37) be, respectively, expressed as
u ¯ i + 1 n + 1 u i + 1 n Δ t ( b + 2 ) + b ( u i n + 1 u i n ) Δ t + u i 1 n + 1 u i 1 n Δ t = A 4 ( 1 + q ) δ y 2 u i n + B 2 ( b + 2 ) ( u i + 1 n + b u i n + u i 1 n )  
u i + 1 n + 1 u i + 1 n Δ t ( b + 2 ) + b ( u i n + 1 u i n ) Δ t ( b + 2 ) + u i 1 n + 1 u i 1 n Δ t = A 2 ( 1 + q ) δ y 2 u ¯ i n + 1 + B ( b + 2 ) ( u ¯ i + 1 n + 1 + b u ¯ i n + 1 + u ¯ i 1 n + 1 )  
Let the error between the proposed and exact scheme be expressed as
u ¯ i n + 1 U ¯ i n + 1 = e ¯ i n + 1 ,   u i n U i n = e i n ,   u i n + 1 U i n + 1 = e i n + 1
Subtracting Equation (40) from Equation (42) results in
e ¯ i + 1 n + 1 e i + 1 n Δ t ( b + 2 ) + b ( e ¯ i n + 1 e i n ) Δ t ( b + 2 ) + e ¯ i 1 n + 1 e i 1 n Δ t ( b + 2 ) = A ( 1 + q ) 4 ( Δ x ) 2 ( e i + 1 n 2 e i n + e i 1 n ) + B 2 ( b + 2 ) ( e i + 1 n + b e i n + e i 1 n )  
Re-write Equation (45) as
e ¯ i n + 1 = e i n + 1 b [ e ¯ i + 1 n + 1 + e i + 1 n e ¯ i 1 n + 1 + e i 1 n ] + { A Δ t ( 1 + q ) ( b + 2 ) 4 ( Δ x ) 2 ( e i + 1 n 2 e i n + e i 1 n ) + B Δ t 2 ( e i + 1 n + b e i n + e i 1 n ) }
Applying . on both sides of Equation (46) and letting
e ¯ n + 1 = max ( max 1 i N | e ¯ 1 , i n + 1 | ,   max 1 i N | e ¯ 2 , i n + 1 | ) ,   where   e ¯ i n + 1 = [ e ¯ 1 , i n + 1 ,   e ¯ 2 , i n + 1 ] t e ¯ n + 1 e n + 1 | b | ( e ¯ n + 1 + e n + e ¯ n + 1 + e n ) + A Δ t ( 1 + q ) ( b + 2 ) ( Δ x ) 2 ( e n ) + B Δ t ( | b | + 2 ) 2 | b | ( e n )
Inequality (47) can be expressed as
e ¯ n + 1 | b | + 2 | b | 2 e n + A Δ t ( 1 + q ) ( b + 2 ) | b | ( Δ x ) 2 ( | b | 2 ) ( e n ) + Δ t | b | ( | b | + 2 ) B 2 ( | b | 2 ) ( e n )
Re-writing inequality (48) gives
e ¯ n + 1 δ 1 e n
where δ 1 = | b | + 2 | b | 2 + A Δ t ( 1 + q ) ( b + 2 ) | b | ( Δ x ) 2 ( | b | 2 ) + Δ t | b | ( | b | + 2 ) B 2 ( | b | 2 ) .
Similarly, subtracting Equation (43) from Equation (41) yields
e i + 1 n + 1 e i + 1 n Δ t ( b + 2 ) + b ( e i n + 1 e i n ) Δ t ( b + 2 ) + e i 1 n + 1 e i 1 n Δ t ( b + 2 ) = A 2 ( Δ x ) 2 ( 1 + q ) ( e ¯ i + 1 n + 1 2 e ¯ i n + 1 + e ¯ i 1 n + 1 ) + B ( b + 2 ) ( e ¯ i + 1 n + 1 + b e ¯ i n + 1 + e ¯ i 1 n + 1 )  
Applying . on both sides of Equation (50) yields
e n + 1 e n + 1 | b | ( e n + 1 + e n + e n + 1 + e n ) + A Δ t ( 1 + q ) ( b + 2 ) ( Δ x ) 2 ( 2 e ¯ n + 1 ) + Δ t B ( | b | + 2 ) e ¯ n + 1 + M ( O ( ( Δ t ) 2 , ( Δ x ) 4 q ) )
Re-writing Equation (51) gives
e n + 1 | b | + 2 | b | 2 e n + | b | A Δ t ( 1 + q ) ( b + 2 ) ( | b | 2 ) ( Δ x ) 2 ( 2 e ¯ n + 1 ) + Δ t | b | B ( | b | + 2 ) ( | b | 2 ) e ¯ n + 1 + M ( O ( ( Δ t ) 2 , ( Δ x ) 4 q ) )
Inequality (52) can be expressed as
e n + 1 δ e n + M ( O ( ( Δ t ) 2 , ( Δ x ) 4 q ) )
where δ = | b | + 2 | b | 2 e n + ( 2 | b | A Δ t ( 1 + q ) ( b + 2 ) ( | b | 2 ) ( Δ x ) 2 + Δ t | b | ( | b | + 2 ) B ( | b | 2 ) ) δ 1 .
Substituting n = 0 in (53) yields
e δ e 0 + M ( O ( ( Δ t ) 2 , ( Δ x ) 4 q ) )
Since an initial condition is exact, so e 0 = 0 ; therefore, inequality (54) becomes
e M ( O ( ( Δ t ) 2 , ( Δ x ) 4 q ) )
For n = 1 , inequality (53) becomes
e 2 δ e 1 + M ( O ( ( Δ t ) 2 , ( Δ x ) 4 q ) ) ( 1 + δ ) M ( O ( ( Δ t ) 2 , ( Δ x ) 4 q ) )
If this is continued, then for any finite number n , the following inequality can be constructed
e n ( δ n 1 + δ n 2 + + δ + 1 ) M ( O ( ( Δ t ) 2 , ( Δ x ) 4 q ) ) = 1 δ n 1 δ M ( O ( ( Δ t ) 2 , ( Δ x ) 4 q ) ) .
when n in (57), the series + δ n 1 + + δ + 1 becomes an infinite geometric series that will converge if | δ | < 1 . □

5. Applications to Engineering Problems

For the implementation of the proposed scheme, two examples are considered. The first example is a non-linear parabolic equation having a spatial q -derivative term. Numerical schemes will be tested on these two examples.
Example 1.
Consider the following parabolic equation
u t = q 2 u x 2 + ρ u ρ u 2
subject to the boundary conditions
u ( t , 0.2 ) = 1 ( 1 + e ρ 6 ( 0.2 ) 5 ρ 6 t ) 2   &   u ( t , 0.8 ) = 1 ( 1 + e ρ 6 ( 0.8 ) 5 ρ 6 t ) 2 ,
with an initial condition
u ( 0 , x ) = 1 ( 1 + e ρ 6 x ) 2 .
Since Equation (58) is non-linear, and for applying the proposed scheme using the Gauss–Seidel iterative method, it must be linearized. For doing so, Equation (58) is expressed as
u t = q 2 u x 2 + ρ u ( 1 u ¯ )
where  u ¯  is considered as a fixed quantity, but it will be evaluated at each grid point  i  and at time level  n .
The proposed compact scheme is employed to solve Equation (61) using Equations (59) and (60). For time discretization, two different second-order schemes are employed. One of the adopted schemes is Crank–Nicolson that is second-order accurate an implicit scheme, and the second employed scheme is the second-order Runge–Kutta explicit scheme. However, Runge–Kutta explicit scheme with the proposed compact discretization in Quantum Calculus becomes implicit. Figure 1 and Figure 2 show the comparison of the two schemes. Figure 1 shows the relative error produced by both schemes using the same time and space step sizes. This figure shows that the proposed scheme in the spatial direction with Runge-Kutta in the time direction converges but it does not produce much accurate solution over the whole considered domain. Additionally, it is observed that the error given by the scheme using the Runge–Kutta time discretization scheme will decay if the final time is chosen to be very small for this particular example.
Figure 1. Comparison of two numerical schemes using N x = 30 ,   N t = 40 ,   ρ = 100 ,   t f = 0.00001 .
Figure 2. Convergence of two schemes using N x = 30 ,   N t = 40 ,   ρ = 100 ,   t f = 0.00001 ,   x 0 = 0.2 ,   x 1 = 0.8 .
Figure 2 shows the norm of relative error over the consumed iterations. Since the Runge–Kutta technique yields less accurate solutions than one obtained by the Crank–Nicolson approach, the Runge–Kutta method’s norm of relative error does not tend to zero over the consumed number of iterations. Figure 3 shows the variation of the q -derivative on the solution of Equations (59)–(61). From this Figure 3, it can be seen that solution decreases by enhancing q .
Figure 3. Impact of q on the solution of the problem in Example 1.
Example 2.
Flow over flat and oscillator sheet.
Consider a laminar two-dimensional, unsteady, incompressible mixed convection flow over the flat and oscillatory sheets. Let the x * -axis be kept with along the plate and the y * -axis be taken perpendicular to the x * -axis. The flow is generated due to the stretching of the plate. Under the assumptions of boundary layer theory, the governing equations of the flow can be expressed as
u * x * + v * y * = 0
u * t * = ν 2 u * y * + g ( Λ 1 ( T T ) + Λ 2 ( T T ) 2 )
T t * = α 2 T y * 2
subject to the boundary conditions
u * ( t * , y * ) = U w = a x ,   T ( t * , y * ) = T w   w h e n   y * = 0 u * ( t * , y * ) 0 ,   T ( t * , y * ) T   w h e n   y * }
u * ( t * , y * ) = U w c o s ( ω t * ) ,   T ( t * , y * ) = T w   w h e n   y * = 0 u * ( t * , y * ) 0 ,   T ( t * , y * ) T   w h e n   y * }
and for oscillatory plate, the boundary conditions are expressed as
u * ( t * , y * ) = U w c o s ( ω t * ) ,   T ( t * , y * ) = T + ( T w T ) s i n ( ω t * )   w h e n   y * = 0 u * ( t * , y * ) 0 ,   T ( t * , y * ) T   w h e n   y * }
The transformations for linearly stretching sheet are
u = u * u w , θ = T T T w T ,   t = u w 2 t * ν ,   y = u w y * ν
and the transformations for oscillatory sheet are
u = u * u w ,   t = ω t * ,   y = y * ω ν , θ = T T T w T
The governing Equations (62)–(64) are transformed to the following non-dimensional set of equations and consider the spatial q -derivative instead of the classical spatial derivative:
u t = q 2 u y 2 + λ θ + λ β θ 2
θ t = 1 P r q 2 θ y 2
subject to the boundary conditions
u ( t ,   y ) = 1 ,   T ( t , y ) = 1 ,   w h e n   y = 0 u ( t ,   y ) 0 ,   T ( t , y ) 0 ,   w h e n   y } ,
u ( t ,   y ) = c o s ( t ) ,   T ( t , y ) = 1 ,   w h e n   y = 0 u ( t ,   y ) 0 ,   T ( t , y ) 0 ,   w h e n   y }
and for oscillatory plate, dimensionless boundary conditions are expressed as
u ( t ,   y ) = c o s ( t ) ,   T ( t , y ) = s i n ( t ) ,   w h e n   y = 0 u ( t ,   y ) 0 ,   T ( t , y ) 0 ,   w h e n   y }
The linearized form of Equation (70) with Equation (71) using boundary conditions (72)–(74) are solved numerically using the proposed scheme.
A comparison of the two schemes is shown in Figure 4 over independent variables y in finding the relative error. Figure 4 indicates that the proposed scheme for spatial direction with the Runge–Kutta scheme for time direction produces less relative error than the one obtained by the Crank–Nicolson method in time direction for this particular problem. Figure 5 and Figure 6 show the solution to Stokes’ first and second problems by applying Runge–Kutta and Crank–Nicolson schemes in time direction. For this case, Crank–Nicolson time discretization performs better than the Runge–Kutta time discretization scheme. Figure 7 shows the variation of q on the velocity and temperature profiles. Both profiles decay by decreasing the value of q . The impact of mixed convection variable λ on the velocity profile is shown in Figure 8.
Figure 4. Comparison of two numerical schemes in time direction and proposed scheme in spatial direction for Stokes’ first problem using N y = 50 ,   N t = 170 ,   t f = 1 .
Figure 5. Solution and absolute error for Stokes’ second problem by Runge–Kutta time discretization scheme using N y = 50 ,   N t = 300 ,   t f = 10 .
Figure 6. Velocity profile and absolute error for Stokes’ second problem in Quantum Calculus by the proposed scheme for spatial direction and Crank–Nicolson scheme for time direction using N y = 50 ,   N t = 300 ,   t f = 10 .
Figure 7. Impact of q on the solution of Stokes’ second problem by the proposed scheme for spatial direction and Crank–Nicolson scheme for time direction using N y = 50 ,   N t = 500 ,   λ = 0.09 ,   β = 0.09 ,   P r = 0.7 ,   t f = 10 .
Figure 8. Impact of λ on velocity profile of Stokes’ first problem in Quantum Calculus by the proposed scheme for spatial direction and Crank–Nicolson scheme for time direction using q = 0.8 ,   N y = 50 ,   N t = 50 ,   β = 0.1 ,   P r = 1.5 ,   t f = 1 .
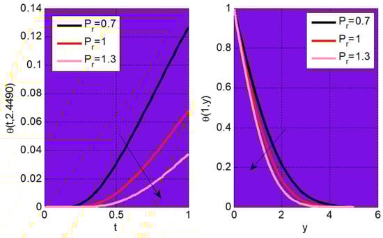
The velocity escalates by incrementing the mixed convection variable λ . The increase in mixed convection variable λ enhances temperature due to the rise in the temperature difference between the wall and ambient fluid. The rise in temperature difference produces an increase in heat flux, and consequently, the velocity profile rises. The impact of the Prandtl number on temperature profile is deliberated in Figure 9. The temperature profile decays by growing values of the Prandtl number. The decay in the temperature profile is the consequence of lower thermal conductivity due to the decay of thermal diffusivity by incrementing Prandtl number. The de-escalation of thermal diffusivity by increasing Prandtl number results from the inverse relationship between the Prandtl number and thermal diffusivity. Figure 10, Figure 11, Figure 12, Figure 13 and Figure 14 show surfaces underneath contours and contour plots for velocity and temperature profiles for linearly stretching and oscillatory stretching sheets. The effect of the oscillatory sheet on velocity profile depends on mixed convection parameters λ   and   β .
Figure 9. Impact of Prandtl number P r on the temperature profile of heat transfer for Stokes’ first problem in Quantum Calculus by the proposed scheme for spatial direction and Crank–Nicolson scheme for time direction using q = 0.8 ,   N y = 50 ,   N t = 50 ,   β = 0.1 ,   λ = 0.1 ,   t f = 1 .
Figure 10. Surface plot with underneath contours for velocity profile of Stokes’ second problem in Quantum Calculus by the proposed scheme for spatial direction and Crank–Nicolson scheme for time direction using N y = 50 ,   N t = 100 ,   q = 0.8 ,   λ = 0.9 ,   β = 0.9 ,   P r = 0.7 .
Figure 11. Contour plot for velocity profile of Stokes’ second problem in Quantum Calculus by the proposed scheme for spatial direction and Crank–Nicolson scheme for time direction using N y = 50 ,   N t = 100 ,   q = 0.8 ,   λ = 0.01 ,   β = 0.01 ,   P r = 0.9 ,   L = 24 .
Figure 12. Surface plot with underneath contours for temperature profile of Stokes’ second problem in Quantum Calculus by the proposed scheme for spatial direction and Crank–Nicolson scheme for time direction using N y = 50 ,   N t = 100 ,   q = 0.8 ,   λ = 0.01 ,   β = 0.01 ,   P r = 0.9 ,   L = 24 .
Figure 13. Surface plot with underneath contours for velocity profile of Stokes’ second problem in Quantum Calculus by the proposed scheme for spatial direction and Crank–Nicolson scheme for time direction using N y = 50 ,   N t = 100 ,   λ = 0.01 ,   β = 0.01 ,   P r = 3 ,   q = 0.8 ,   L = 24 ,   u ( t , 0 ) = c o s ( t ) ,   θ ( t , 0 ) = s i n ( t ) .
Figure 14. Contour plot for temperature profile of Stokes’ second problem in Quantum Calculus by the proposed scheme for spatial direction and Crank–Nicolson scheme for time direction using N y = 50 ,   N t = 100 ,   λ = 0.01 ,   β = 0.01 ,   P r = 3 ,   q = 0.8 ,   L = 24 ,   u ( t , 0 ) = c o s ( t ) ,   θ ( t , 0 ) = s i n ( t ) .

6. Conclusions

A second- and fourth-order numerical approximation for the second order q-derivative has been proposed for solving PDEs in Quantum Calculus. These numerical approximations have been further utilized for proposing a numerical scheme. The numerical approximations have been developed by using the q-Taylor series. Two different numerical schemes have been applied for handling time derivative terms for the mathematical model of flow over stretching sheets. The comparison showed that Crank–Nicolson performed better than the Runge–Kutta method in two out of the three cases.
The application of the proposed numerical scheme can be further considered to solve different types of partial differential equations in applied science and engineering. In addition to the present applications [42,43,44,45,46], it is feasible to suggest other applications for the current methods following the conclusion of this study. In addition, the method suggested is easy to use and can be used to solve a wider range of partial differential equations in Quantum Calculus, both in practice and in theory.

Author Contributions

Conceptualization, Y.N.; Funding acquisition, K.A.; Investigation, Software, Formal Analysis, Writing—review and editing, Methodology, and Writing—original draft, Y.N.; Methodology, M.S.A.; Project administration, K.A.; Resources, K.A.; Supervision, M.S.A.; Visualization, K.A.; Writing—review and editing, M.S.A. All authors have read and agreed to the published version of the manuscript.

Funding

The authors would like to acknowledge the support of Prince Sultan University for paying the Article Processing Charges (APC) of this publication.

Data Availability Statement

The manuscript included all required data and implementing information.

Acknowledgments

The authors wish to express their gratitude to Prince Sultan University for facilitating the publication of this article through the Theoretical and Applied Sciences Lab.

Conflicts of Interest

The authors declare no conflict of interest.

Nomenclature

u * :   v * Horizontal and Vertical components of velocity
ν Kinematic viscosity
g Acceleration due to gravity
P r Prandtl number
λ Mixed convection variable
β Non-linear thermal convection parameter
ω Frequency of oscillations
U w Velocity of the wall
α Thermal diffusivity
Λ 1 Linear thermal expansion coefficient
Λ 2 Non-linear thermal expansion coefficient
T Temperature of fluid
T w Wall temperature
T Ambient temperature

References

  1. Mohammed, P.O.; Machado, J.A.T.; Guirao, J.L.G.; Agarwal, R.P. Adomian decomposition and fractional power series solution of a class of non-linear fractional differential equations. Mathematics 2021, 9, 1070. [Google Scholar] [CrossRef]
  2. Mohammed, P.O.; Alqudah, M.A.; Hamed, Y.S.; Kashuri, A.; Abualnaja, K.M. Solving the modified regularized long wave equations via higher degree B-spline algorithm. J. Funct. Space 2021, 2021, 5580687. [Google Scholar] [CrossRef]
  3. Chun, C. Iterative methods improving Newton’s method by the decomposition method. Comput. Math. Appl. 2005, 50, 1559–1568. [Google Scholar] [CrossRef] [Green Version]
  4. Noor, M.A.; Waseem, M.; Noor, K.I.; Ali, M.A. New iterative technique for solving non-linear equations. Appl. Math. Comput. 2015, 265, 1115–1129. [Google Scholar]
  5. Hamasalh, F.K.; Mohammed, P.O. Generalized quartic fractional spline interpolation with applications. Int. J. Open Probl. Compt. Math. 2015, 8, 67–80. [Google Scholar] [CrossRef]
  6. Solaiman, O.S. Two new efficient sixth order iterative methods for solving non-linear equations. J. King Saud Univ. Sci. 2019, 31, 701–705. [Google Scholar] [CrossRef]
  7. Sana, G.; Noor, M.A.; Noor, K.I. Some multistep iterative methods for non-linear equation using quadrature rule. Int. J. Anal. Appl. 2020, 18, 920–938. [Google Scholar]
  8. Alqudah, M.A.; Mohammed, P.O.; Abdeljawad, T. Solution of singular integral equations via Riemann–Liouville fractional integrals. Math. Prob. Eng. 2020, 2020, 1250970. [Google Scholar] [CrossRef]
  9. Wu, J.; Yuan, J.; Gao, W. Analysis of fractional factor system for data transmission in SDN. Appl. Math. Non-Linear Sci. 2019, 4, 191–196. [Google Scholar] [CrossRef] [Green Version]
  10. Kurt, A.; ¸Senol, M.; Tasbozan, O.; Chand, M. Two reliable methods for the solution of fractional coupled Burgers’ equation arising as a model of Polydispersive sedimentation. Appl. Math. Non-Linear Sci. 2019, 4, 523–534. [Google Scholar] [CrossRef] [Green Version]
  11. Touchent, K.A.; Hammouch, Z.; Mekkaoui, T. A modified invariant subspace method for solving partial differential equations with non-singular kernel fractional derivatives. Appl. Math. Non-Linear Sci. 2020, 5, 35–48. [Google Scholar] [CrossRef]
  12. Traub, J.F. Iterative Methods for Solution of Equations; Prentice-Hall: Englewood Cliffs, NJ, USA, 1964. [Google Scholar]
  13. Cordero, A.; Torregrosa, J.R. Variants of Newton’s method using fifth-order quadrature formulas. Appl. Math. Comput. 2007, 190, 686–698. [Google Scholar] [CrossRef]
  14. Frontini, M.; Sormani, E. Some variants of Newtons method with third order convergence. Appl. Math. Comput. 2003, 140, 419–426. [Google Scholar]
  15. Hasanov, V.I.; Ivanov, I.G.; Nedzhibov, G. A new modification of Newton method. Appl. Math. Eng. 2002, 27, 278–286. [Google Scholar]
  16. Weerakoon, S.; Fernando, T.G.I. A variant of Newton’s method with accelerated third-order convergence. Appl. Math. Lett. 2000, 13, 87–93. [Google Scholar] [CrossRef]
  17. Ozban, A.Y. Some New variants of Newton’s method. Appl. Math. Lett. 2004, 17, 677–682. [Google Scholar] [CrossRef] [Green Version]
  18. Daftardar-Gejji, V.; Jafari, H. An iterative method for solving non-linear functional equations. J. Math. Anal. Appl. 2006, 316, 753–763. [Google Scholar] [CrossRef] [Green Version]
  19. Adomian, G. Nonlinear Stochastic Systems and Applications to Physics; Springer Science & Business Media: Dordrecht, The Netherlands, 1989; Volume 46. [Google Scholar]
  20. Saqib, M.; Iqbal, M. Some multi-step iterative methods for solving non-linear equations. Open J. Math. Sci. 2017, 1, 25–33. [Google Scholar] [CrossRef]
  21. Ali, F.; Aslam, W.; Ali, K.; Anwar, M.A.; Nadeem, A. New family of iterative methods for solving non-linear models. Discret. Dyn. Nat. Soc. 2018, 2018, 9619680. [Google Scholar] [CrossRef] [Green Version]
  22. Ali, F.; Aslam, W.; Khalid, I.; Nadeem, A. Iteration methods with an auxiliary function for non-linear equations. J. Math. 2020, 2020, 7356408. [Google Scholar] [CrossRef]
  23. Ernst, T. A New Notation for q-Calculus a New q-Taylor’s Formula; UUDM Report; Department of Mathematics, Uppsala University: Uppsala, Sweden, 1999; pp. 1–28. [Google Scholar]
  24. Koelink, E. Eight lectures on quantum groups and q-special functions. Rev. Colomb. Mat. 1996, 30, 93–180. [Google Scholar]
  25. Alqudah, M.A.; Kashuri, A.; Mohammed, P.O.; Abdeljawad, T.; Raees, M.; Anwar, M.; Hamed, Y.S. Hermite-Hadamard integral inequalities on coordinated convex functions in quantum calculus. Adv. Differ. Equ. 2021, 2021, 264. [Google Scholar] [CrossRef]
  26. Eryılmaz, A. Spectral analysis of q-sturm-liouville problem with the spectral parameter in the boundary condition. J. Funct. Spaces 2012, 2012, 736437. [Google Scholar] [CrossRef] [Green Version]
  27. Erzan, A. Finite q-differences and the discrete renormalization group. Phys. Lett. A 1997, 4–6, 235–238. [Google Scholar] [CrossRef]
  28. He, J.H. A new iteration method for solving algebraic equations. Appl. Math. Comput. 2003, 135, 81–84. [Google Scholar] [CrossRef]
  29. Koornwinder, T.H.; Swarttouw, R.F. On q-analogues of the Fourier and Hankel transforms. Trans. Am. Math. Soc. 1992, 333, 445–461. [Google Scholar] [CrossRef]
  30. Jackson, F.H. A q-form of Taylors formula. Mess. Math. 1909, 38, 62–64. [Google Scholar]
  31. Jing, S.C.; Fan, H.Y. q-Taylor’s Formula with its q remainder. Commun. Theor. Phys. 1995, 23, 117–120. [Google Scholar] [CrossRef]
  32. Ernst, T. A method for q-calculus. J. Nonlinear Math. Phys. 2003, 10, 487–525. [Google Scholar] [CrossRef] [Green Version]
  33. Singh, P.; Mishra, P.K.; Pathak, R.S. q-iterative methods. IOSR J. Math. 2013, 9, 6–10. [Google Scholar] [CrossRef]
  34. Jafari, H.; Johnston, S.J.; Sani, S.M.; Baleanu, D. A decomposition method for solving q-difference equations. Appl. Math. Inf. Sci. 2015, 9, 2917–2920. [Google Scholar]
  35. Hayat, T.; Inayatullah; Momani, S.; Muhammad, K. FDM analysis for non-linearr mixed convective nanofluid flow with entropy generation. Int. Commun. Heat Mass Transf. 2021, 126, 105389. [Google Scholar] [CrossRef]
  36. Waqas, M.; Shehzad, S.A.; Hayat, T.; Khan, M.I.; Alsaedi, A. Simulation of magnetohydrodynamics and radiative heat transportation in convectively heated stratified flow of Jeffrey nanomaterial. J. Phys. Chem. Solids 2019, 133, 45–51. [Google Scholar] [CrossRef]
  37. Waqas, M.; Dogonchi, A.S.; Shehzad, S.A.; Khan, M.I.; Hayat, T.; Alsaedi, A. Non-linearr convection and joule heating impacts in magneto-thixotropic nanofluid stratified flow by convectively heated variable thicked surface. J. Mol. Liq. 2019, 300, 111945. [Google Scholar] [CrossRef]
  38. Khan, U.; Zaib, A.; Ishak, A.; Sherif, E.-S.M.; Waini, I.; Chu, Y.-M.; Pop, I. Radiative mixed convective flow induced by hybrid nanofluid over a porous vertical cylinder in a porous media with irregular heat sink/source. Case Stud. Therm. Eng. 2021, 30, 101711. [Google Scholar] [CrossRef]
  39. Sana, G.; Mohammed, P.O.; Shin, D.Y.; Noor, M.A.; Oudat, M.S. On Iterative Methods for Solving Non-linear Equations in Quantum Calculus. Fractal Fract. 2021, 5, 60. [Google Scholar] [CrossRef]
  40. Jichun, L.; Yi-Tung, C. Computational Partial Differential Equations Using Matlab; Chapman & Hall/CRC Applied Matheamtics and Non-Linearr Science Series; CRC Press: Boca Raton, FL, USA, 2011. [Google Scholar]
  41. Hoffmann, K.A.; Chiang, S.T. Computational Fluid Dynamics; Engineering Education System: Wichita, KS, USA, 2000; Volume 1. [Google Scholar]
  42. Nawaz, Y.; Arif, M.S. Modified Class of Explicit and Enhanced Stability Region Schemes: Application to Mixed Convection Flow in a Square Cavity with a Convective Wall. Int. J. Numer. Methods Fluids 2021, 93, 1759–1787. [Google Scholar] [CrossRef]
  43. Nawaz, Y.; Arif, M.S. A New Class of A-Stable Numerical Techniques for ordinary differential equations:Application to Boundary-Layer Flow. Therm. Sci. 2021, 25, 1665–1675. [Google Scholar] [CrossRef] [Green Version]
  44. Nawaz, Y.; Arif, M.S.; Nazeer, A. A class of second-order schemes with application to chemically reactive radiative natural convection flow in a rectangular enclosure. Int. J. Numer. Methods Fluids 2021, 93, 3161–3186. [Google Scholar] [CrossRef]
  45. Nawaz, Y.; Arif, M.S.; Bibi, M.; Abbasi, J.N.; Javed, U.; Nazeer, A. A finite difference method and effective modification of gradient descent optimization algorithm for MHD fluid flow over a linearly stretching surface. Comput. Mater. Contin. 2020, 62, 657–677. [Google Scholar] [CrossRef]
  46. Nawaz, Y.; Arif, M.S.; Shatanawi, W.; Nazeer, A. An Explicit Fourth-Order Compact Numerical Scheme for Heat Transfer of Boundary Layer Flow. Energies 2021, 14, 3396. [Google Scholar] [CrossRef]
Publisher’s Note: MDPI stays neutral with regard to jurisdictional claims in published maps and institutional affiliations.

Article Metrics

Citations

Article Access Statistics

Multiple requests from the same IP address are counted as one view.