Next Article in Journal
Thermal Hydrolysis of Sewage Sludge: A Case Study of a WWTP in Burgos, Spain
Previous Article in Journal
Optimized Computation of Tight Focusing of Short Pulses Using Mapping to Periodic Space
 
 
Font Type:
Arial Georgia Verdana
Font Size:
Aa Aa Aa
Line Spacing:
Column Width:
Background:
Article

Numerical Study on Temperature Distribution of Steel Truss Aqueducts under Solar Radiation

Department of Bridge Engineering, Tongji University, Shanghai 200092, China
*
Author to whom correspondence should be addressed.
Appl. Sci. 2021, 11(3), 963; https://doi.org/10.3390/app11030963
Submission received: 11 December 2020 / Revised: 13 January 2021 / Accepted: 20 January 2021 / Published: 21 January 2021
(This article belongs to the Section Civil Engineering)

Abstract

Aqueduct, one kind of bridge structure overpassing a long space, is a significant structure for water delivery for the purpose of agricultural or domestic usage. Aqueduct has quite different loads from other forms of bridges, of which temperature effects due to the environment temperature change, such as seasonal weather or radiation from sunshine, are of great importance. With water flowing inside, the temperature boundary of aqueducts, especially for steel aqueducts, is much more complicated, and relevant researches are limited. In this paper, a 3D Finite Element Method (FEM) simulation process is presented to analyze temperature distribution on the cross-section of a new-type steel truss aqueduct, which belongs to the Water Transfer Project from Yangtze River to Huai River in China. ASHRAE clear-sky model is used to calculate the solar-radiation variation, including direct radiation, diffuse sky radiation, and ground reflected radiation on steel surfaces. The time-dependent sunshine radiation angle of incidence and shielding effect of steel trusses are considered. The water inside the aqueduct is also included in this model, which significantly influences the temperatures of the inner surfaces of the aqueduct. Several temperature distributions under critical conditions of winter and summer are shown in this study, and results of the empty aqueduct under the same circumstances are also provided as a comparison. The effects of wind speed, geographic latitude, and direction of the aqueduct are examined. The conclusions and approach provided by this study could serve as significant references for thermal design and control of similar steel truss aqueducts.

1. Introduction

To satisfy the demand for large span capability and various attractive geometrical surfaces, steel structures are widely used in numerous applications [1,2,3], of which one significant application is steel bridge [4]. Aqueducts [5] are special kinds of bridges for water transportation, which were usually made of reinforced concrete [6,7,8] or large volume concrete [9,10,11] in the past. Nowadays, new forms of steel truss aqueducts have been constructed like Magdeburg Water Bridge (2003) but are rarely seen in China. The analysis of structural behaviors of such type of aqueducts could be found in several references [12,13], but the investigations on temperature effects of this kind under solar radiation are limited.
An aqueduct has complex temperature boundary conditions. Different from common bridges, an aqueduct [14,15,16] has water flowing through. The temperature boundary conditions of an aqueduct are that the external surfaces contact the surrounding atmosphere and the internal surfaces directly contact the flowing water [9], which induce continuous heat exchange for the external surfaces with the atmosphere through radiation, convection, and conduction and stable temperature for the inner surfaces, respectively. Various natural environmental conditions have an influence on the temperature distributions of external surfaces like geographic locations, topography, and landforms, the orientation of aqueduct, seasons, solar radiation intensity, a variation of air temperatures, cloud, fog, rain, and snow. The temperature distributions of aqueducts are rather complicated considering the combination of those temperature boundaries, especially when an extreme weather condition is applied. Assuming a sudden rise or drop of ambient temperature happens, the differences in temperature boundaries will cause inhomogeneous temperature change and induce large nonlinear temperature gradients. The nonlinear temperature gradients along the directions of height, the width of the beam, and thickness of plate unquestionably cause significant deformation and stress of temperature under constraints [17,18,19], which threaten the safety and serviceability [11,20] of aqueducts. Thus, the study of thermal stress of an aqueduct is a significant aspect of the design process, and temperature distribution is the prerequisite for stress analysis.
Thermal stresses have different sources: daily solar radiation and annual ambient temperature change, among which the former renders a higher rate of temperature change and is the main source of thermal stresses. Numerous researchers have studied the solar radiation effect on bridges. Ji and Tang [21] proposed a conic distribution of sunshine temperature difference and derived a formula to calculate temperature stress of concrete box aqueduct. Song et al. [22] found that vertical deflection of concrete box girder during cantilever construction is greatly influenced by solar temperature gradient. Wang et al. [23] used two-dimensional plane and three-dimensional solid finite element model (FEM) to study concrete box girder arch bridges. Westgate et al. [24] studied the mechanisms of solar radiation-induced behavior of Tamar Bridge through monitoring data and FEM. Zhao et al. [25] monitored the temperature field of a steel latticed shell structure and found that solar radiation has little effect on this kind of structure. Kim et al. [26] developed a method to predict the 3D temperature distribution of different curved steel box girder bridges under solar radiation. Besides, several researchers [27,28] did experiments on different shapes of steel members under solar radiation considering shadow effect, providing resources for thermal design. However, those studies have focused on relatively small concrete bridges [22,23], composite bridges [24], steel shell [25], steel box girders [26,27,28], and steel members of I or H shape [29,30], which have a relatively limited value of reference on the thermal studies of steel truss aqueducts.
Even the temperature distribution of a concrete aqueduct cannot be directly applied to a steel truss aqueduct since they are made of different materials. Steel has better thermal conductivity than concrete, and the thickness of the steel member is smaller than that of the concrete component. Thus, self-equilibrating thermal stress is much larger in the concrete aqueduct, and thermal stress induced by the external constraint is the key component of thermal stresses in a steel truss aqueduct. Besides, the shadow effect between different truss members is another key factor that needs to be carefully considered when calculating the solar radiation effect.
In this study, the effect of solar radiation on an under-construction steel truss aqueduct, which first appears in China and is of great importance, is investigated, considering the radiation intensity change with time in a day and a year. Firstly, thermal boundary conditions, as well as the thermal parameters, are introduced. The FEM model and simulation process are detailed. Thermal analysis of the steel truss aqueduct is carried out. Different seasons and water volume in the aqueduct are considered, and totally four conditions are analyzed and discussed. In the end, some conclusions are drawn for the design of the structure.

2. Theory on Thermal Boundary Condition and Thermal Parameters

For structures exposed to solar radiation, the thermal boundary conditions, such as solar radiation, heat convection, and longwave radiation, should be taken into consideration.
The ASHRAE clear-sky model [31,32,33,34], which was proposed by the American Society of Heating, Refrigerating, and Air-Conditioning Engineers, is adapted to calculate the solar radiation on the steel aqueduct. The solar radiation received by the aqueduct consists of direct radiation, diffuse radiation, and reflected radiation from the surrounding ground.
Before introducing the ASHRAE clear-sky model, several parameters about the solar radiation should be clarified. Solar altitude β (°) is the angle between sunlight and its projection on the horizontal plane and is calculated using Equation (1)
s i n β = c o s l c o s h a c o s δ + s i n l s i n δ
among which, l (°) is the geographic latitude; ha (°) is solar hour angle; δ (°) is solar declination angle.
Solar azimuth angle φ (°) is the angle between sunlight’s projection on horizontal plane and north direction along clockwise.
c o s φ = s i n δ c o s l c o s δ s i n l c o s h a c o s β
The direct solar radiation intensity GND (W/m2) on earth with a clear sky is defined as Equation (3).
G N D = A e x p ( B / s i n β ) C N c o s θ
among which, A (W/m2) is the solar radiation at the exoatmosphere of the Earth; B is the atmospheric extinction coefficient; CN is the clearness number of atmosphere, and θ (°) is the angle of incidence.
The diffuse radiation intensity Gdθ (W/m2) on nonvertical surfaces on a clear day is defined as Equation (4).
G d θ = C G N D F w s
in which C is the ratio of diffuse irradiation on a surface to the direct normal radiation, and the angle factor between the surface and the sky Fws is associated with surface tilt angle α, which can be written as Equation (5).
F w s = 1 + c o s α 2
The ground reflected radiation intensity GR (W/m2) on a clear day can be given with Equation (6).
G R = G t H ρ g F w g
where GtH (W/m2) is the total radiation on horizontal plane or ground before striking the target wall; ρg is the ground radiation reflectance; the configuration or angle factor from surface wall to ground Fwg is also associated with surface tilt angle α , which can be given with Equation (7).
F w g = 1 c o s α 2
The total heat flux density of solar radiation qs (W/m2) that is absorbed by the target surface can be calculated using the sum of three radiations intensity, as shown in Equation (8).
q s = a ( G d + G d θ + G R )
and a stands for solar absorption coefficient.
The density of convectional heat flux qh (W/m2) on the surface of a steel member can be computed referring to Newton cooling formula as Equation (9)
q h = h ( T 0 T )
in which h is the heat convection coefficient and is calculated by Equation (10) [31]; T0 (°C) is the ambient air temperature, and T (°C) is the temperature of the surface.
h = [ C t ( Δ T ) 1 / 3 ] 2 + [ a V 0 b ] 2
where Ct is the turbulent natural convection constant and sets as 0.84 W/(m2K3/4); ΔT is the temperature difference between steel surface and surrounding air; V0 is the average wind speed, which is 3 m/s in the targeted region; a has a value of 2.38 W/(m2Km/s), and b is 0.89.
The heat flux density of longwave radiation on a steel surface is calculated using the Stefan–Boltzmann equation (Equation (11)).
q L = ε σ ( F w g ( T g 4 T 4 ) + F w s ( T s k y 4 T 4 ) )
where ε is the steel emissivity; σ (W/(m2·K4)) is the Stefan–Boltzmann constant; Tg (°C) is the ground temperature; Tsky (°C) is the effective temperature of sky, which is usually 6 degrees Celsius lower than the ambient air temperature T0. As seen above, the ambient air temperature T0 is one critical parameter affecting the steel temperature, as both of the convection heat transfer between steel surface and air and the longwave radiation irradiating on the steel surface are determined by it.
With the heat flux density of solar radiation, heat convection, and longwave radiation, the boundary condition of steel member surfaces can be expressed as Equation (12).
λ T n | Γ = q s + q h + q L
where λ is thermal conductivity. In this equation, the heat convection is served as the third boundary condition, and the rest two terms are the second boundary conditions.

3. Engineering Background and Thermal Parameters

The steel truss aqueduct is in Hefei, Anhui province in China, and is now under construction. As shown in Figure 1, the channel connecting Yangtze River and Huai River will cut off the existing Pi River, and thus this aqueduct is built to reconnect the Pi River.
The front elevation of the steel truss aqueduct is shown in Figure 2. The total length of the aqueduct is 246 m and consists of three spans, which are 68 m, 110 m, and 68 m long, respectively.
The cross-section of the mid-span of the aqueduct is shown in Figure 3. The cross-section is 9 m high and 23 m wide. The check water level is 5.05 m, and the design water level is 4.0 m.
The thermal parameters used in this study are listed in Table 1. The steel emissivity is available in the literature [3,24,28,29].
The steel truss aqueduct is between 116°20′ and 117°30′ in the east longitude and 31°30′ and 32°40′ in the north latitude. In this region, the highest temperature is reached between July and August, while the coldest weather comes in January. Based on the weather station data (National Centers for Environmental information, https://www.ncei.noaa.gov/), 16 to 19 July in summer of 2018 and 15 to 18 January in winter of 2019 are chosen as critical weather condition to carry on the numerical simulation of temperature fields on the aqueduct. The hourly air temperatures in summer and winter are shown in Figure 4 and Figure 5, respectively.
A water temperature experiment on the site was taken from 31 July 2018. It was found that water temperature has almost no change over a few days and thus set as 33 °C and 2 °C constantly in summer and winter, respectively.

4. FEM Model Considering Shadow Effect and Simulation Process

The 3D FEM model for the whole steel truss aqueduct is shown in Figure 6. In the model for the whole aqueduct, shell elements are used for simulating the steel planes and beam elements for truss structures. As the superstructures remain similar along the length and thickness, the temperature of the steel aqueduct has almost no change in the longitude direction under solar radiation [20]. Thus, for the sake of convenience and timesaving, only the mid-span cross-section is modeled and analyzed.
A simplified 3D finite element model of the mid-span section with a small length is established using Solid 70 element to analyze the temperature distribution, as shown in Figure 7. The origin of coordinates is set in the middle of the floor of the water channel.
In the analysis, the solar radiation and longwave radiation are simulated by applying an equivalent heat generation rate, and heat convection is considered through the surface thermal load. The thermal boundary condition of the model is illustrated in Figure 8. Under solar radiation, the azimuth angle of each surface, angle of incidence at each hour, and the shadow condition are varied. The differences induce the distinct solar radiation and need to be discussed separately. Five types of surfaces are classified in Figure 8, namely Type a, b, c, d, and e.
Type a surfaces represent the upper surfaces of top chords, which are under direct and diffuse radiation throughout the sunshine duration. Type b surfaces are the inner surfaces of the truss aqueduct, which are influenced by shadow induced by the outer truss members and top chords. Type c surfaces are the inner walls of the aqueduct, which directly contact and transfer heat with water when water exists. According to the specifications for load design of hydraulic structures (DL5077-1997), the convection coefficient of water is so large that it could be considered as infinity. Thus, in this study, the temperatures of the inner walls, which contact with water, are the same as those of surrounding water. The temperatures of water are set as 33 °C and 2 °C in summer and winter, respectively. Type d surfaces are similar to type b surfaces, in which part of the surfaces is under sunshine during the day. Type e surfaces are the lower surfaces and only affected by ground reflected radiation, ambient air temperature, and water if contacted.
In order to consider the shadow effect of diagonal and vertical bracing conveniently, they are transferred into a box girder equivalently. Due to the existence of the top chord and the equivalent box girder, the solar radiation can only be applied on the part of the inner surfaces of the truss aqueduct, as shown in Figure 9. Only the surfaces exposed to yellow areas are under the solar radiation at that time. These shadow areas change with time, and thus the calculations of shadow areas on the inner surfaces of the aqueduct by time are required.
Based on the FEM model, the numerical simulation process for the truss aqueduct under solar radiation in ANSYS software is shown in Figure 10.
The temperature fields of the aqueduct in summer (mid-July) and winter (mid-January) were calculated using the proposed model and method over 72 h, which were sunny without rain, separately. As discussed above, water has a large specific heat capacity, and the temperature of the water is relatively stable during a few days. The water level inside the aqueduct, which is changed with seasons and transportation demands, will significantly influence the temperature distribution of the aqueduct. Thus, two working conditions are considered: empty aqueduct and aqueduct “full of water”, that is at check water level (5.05 m).

5. Results and Discussion

Several key points (A1, A2, B1, B2, C1, C2, D1, D2) on different surfaces are selected to show the temperature changes over 72 h in summer (16 to 19 July), as illustrated in Figure 11. A1 and A2 are points on the western and eastern top surface A of the aqueduct separately; B1 and B2 are points on the western and eastern vertical surface B of top trusses separately; C1 and C2 are points on the western and eastern vertical surface C of bottom trusses separately; D1 and D2 are points on the western and eastern bottom surface D of bottom trusses separately. Although the points A1 and A2 are not on the same surface, the surfaces where they are located are symmetric and could be formulated into one group “surface A”. This rule goes for B1/B2, C1/C2, D1/D2.
For the surfaces on both top and bottom trusses, almost no differences exist in the two working conditions, which means that the cooling effect of water on the truss structure is limited. However, we can see from Figure 12 that the temperatures of inner surfaces of the empty aqueduct change by a large margin, while those of aqueduct full of water remain unchanged (33 °C), which demonstrates water’s ability of cooling during the day and keeping warm during the night on the contact surface.
The temperature variations of western and eastern parts are distinct on the vertical surfaces B and C and similar on the horizontal surfaces A and D. In details, the temperature variations on the top surface A in both parts are almost the same with just a little difference (about 2.15%) in the peak temperatures (65.80 °C in the eastern part and 64.38 °C in the western part). The reason for the phenomenon is that the top surface A enjoys the same solar radiation, but the heat conducted from the side vertical surfaces, which though only occupies a small proportion, is different.
The temperature variations on the vertical surface B of top trusses on both sides are significantly different as the solar radiation and shadow condition at each hour on each side are different. B1 on the western part has more solar radiation than B2 on the eastern part, and thus its peak value (51.35 °C) is a little higher than that of the eastern part (50.24 °C), even though the average hourly air temperature in the morning is usually higher than that in the afternoon. The direct radiation on each surface is different by the hour, and thus a phase difference has been found in temperature variations on the eastern and western sides.
The same reason can also be applied for the temperature variations on the vertical surface C of bottom trusses. The peak temperatures of C2 and C1 in the eastern and western parts are 48.25 °C and 44.83 °C, respectively.
It should be noted that heat conduction between different components plays an important role here. The average temperatures of surfaces B and C are significantly influenced by the adjacent surfaces (A and D separately). As surface D has a much lower temperature than the top surface A, a lower temperature is presented at C1 and C2 on the bottom trusses than that at B1 and B2 on the top trusses at the same time. More discussions about temperature distributions on vertical surfaces B and C are shown below.
The bottom surface D of bottom trusses does not have direct radiation, and the differences of temperature variations between D1 and D2 on both parts are no more than 0.7%. The maximum temperature is about 47.1 °C.
Besides, the time at which surfaces reach the highest temperature is also distinct between surfaces. The temperatures of the top surface A on top trusses reach a climax at about 2 p.m., while those of the bottom surface D on bottom trusses at 12 p.m. to 2 p.m. The time for vertical surfaces B and C to reach the highest temperature depends on their locations. As sunshine directly projects on the eastern part in the morning and the western part in the afternoon, the vertical surfaces on the eastern part reach the highest temperature earlier at 11 a.m. to 12 p.m. than those on the western part at about 5 p.m.
The temperature distributions along the inner surface (red line) of the aqueduct over 72 h are illustrated in Figure 12. It is apparent that points in close proximity to the top surfaces of the upper truss have the highest peak values of around 51.6 °C. The western part exposes to more solar radiation so that its average temperature and peak value are a little higher than those of the eastern part. Besides, the temperatures at 2–4 m high are relatively higher than other points, and a sudden rise of temperature occurs in this region at about 4 p.m. The reason for this is that these parts of surfaces are exposed to solar radiation from 4 p.m., considering shadow effects.
Here, we carry on more discussions about the critical temperature distributions on surfaces B and C. As the top surfaces reach the highest temperature at around 2 p.m., the critical temperature gradients of surfaces B and C under the no-water condition and full-water condition are obtained at this moment, shown in Figure 13. The line and scatter in the black stand for vertical temperature distribution on the western outside surface. As seen from the figures, the eastern part has a little higher temperature on average than the western part because it has been exposed to the sunlight for a longer time at that time. A little difference (less than 0.01%) exists between external parts of the no-water condition and full-water condition, which further demonstrates that water inside the aqueduct has little influence on the temperature of outside vertical surfaces, as mentioned before.
Cubic polynomials are used to get the fitted curve of temperature gradient in Figure 14. The results show that the curves are fitted well with the simulation results with an R-square of over 0.997, and thus these cubic polynomials could be used as an approximation of the temperature gradients for further temperature stress analysis.
For engineering application, a simplified critical temperature gradient in summer with a regular water level (5.05 m) is provided in Figure 15. This temperature gradient is also obtained at 2 p.m. when the ambient air temperature is 30 °C. The temperature gradient is the increment over the ambient air temperature.
Several key points on different surfaces are selected to show the temperature changes over 72 h in winter, as illustrated in Figure 16 and Figure 17. These points have the same definitions as those in Figure 11.
Most temperature variation trends and phenomena are similar as in summer. However, the temperature values are obviously different. Another significant difference lies in the temperature changes of the vertical surfaces. Due to the change of solar azimuth angle, the vertical surfaces in the eastern part are exposed to solar radiation longer in winter than in summer, while things go the other way in the western part. Hourly air temperature is much lower in the afternoon. Thus, the temperature increments induced by solar radiation on the eastern part increase, and those of the western part decrease correspondingly. The temperature variations of vertical surfaces on both the truss and inner surface of the aqueduct follow this rule.
Similarly, the vertical temperature gradients of surfaces B and C also present cubic polynomial distributions, and the results of simulation and fitting are shown in Figure 18 and Figure 19, respectively.
A simplified critical temperature gradient in winter with a regular water level (5.05 m) is also provided in Figure 20. This temperature gradient is also obtained at 2 p.m. when the ambient air temperature is 1 °C. The temperature gradient is the increment over ambient air temperature at that time.
A parametric analysis is conducted to evaluate the influences of several key factors on the temperature distribution of the aqueduct, which include wind speed, geographic latitude, and direction of the aqueduct. The temperature gradients of surfaces B and C on the western part of the aqueduct in winter are selected as dependent variables to be observed.
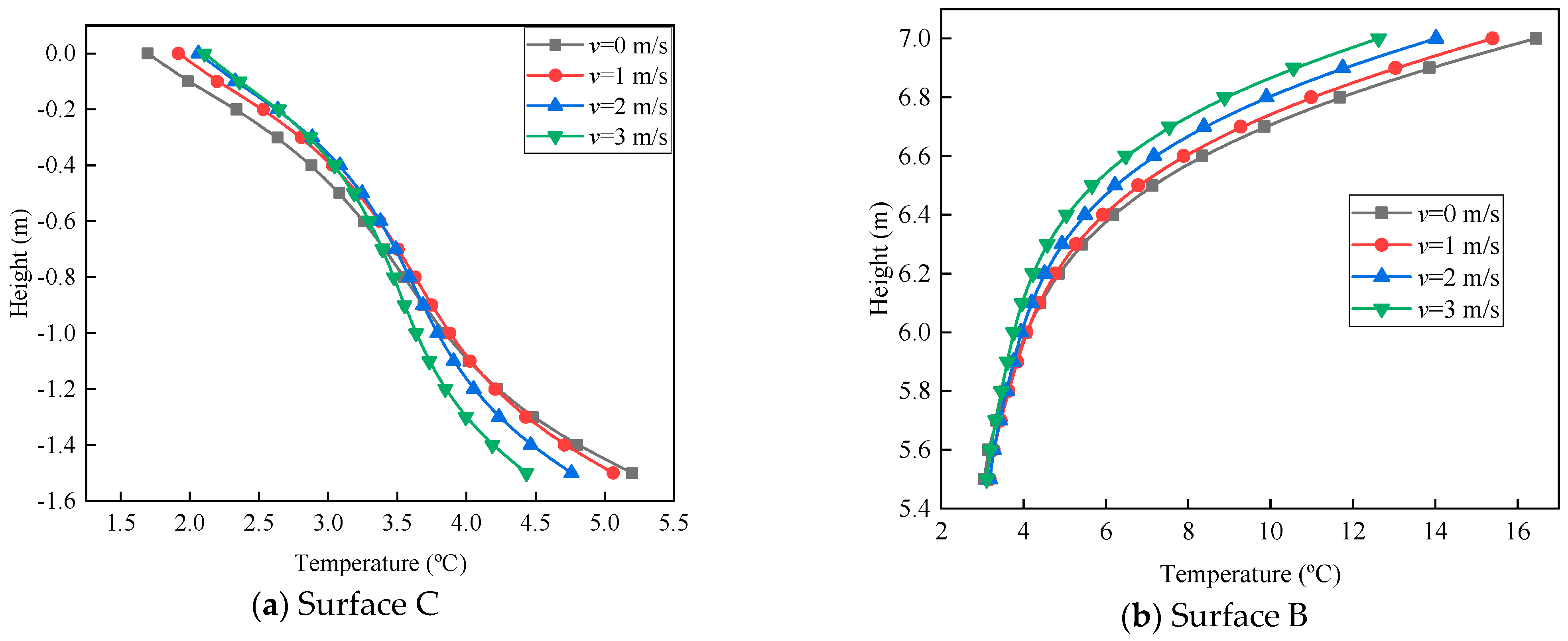
The temperature gradients with different wind speeds are shown in Figure 21. The wind speed has a little larger influence on surface B than surface C, and the maximum temperature difference decreases with the drop of wind speed. Exactly, when the wind speed increases from 0 to 3 m/s, the highest temperature on surface C decreases from 5.20 °C to 4.43 °C, and the lowest temperature on surface C increases slightly from 1.70 °C to 2.11 °C. Meanwhile, the highest temperature on surface B reduces from 16.4 °C to 12.6 °C, and the lowest temperature on surface B increases slightly by 0.5 °C. This is because the minimum temperature of each surface nearly equals that of the ambient air temperature at that time, and thus heat convection process has little influence on the temperature at this point. In conclusion, the temperature of the top truss is more sensitive to the change of wind speed than that of the bottom truss due to its higher temperature.
The change of geographic latitude will affect the angle of incidence. Several simulations with different latitudes within ±5° in latitude from the original location have been made, and results are shown in Figure 22. The maximum temperature change on surface B is 15.7% (at 36°), and that on surface C is less than 9.1% (at 36°). The maximum temperature change rates per degree in latitude are about 3.77% on surface B and 2.19% on surface C, which indicates that the effect of latitude change on the temperature field of the aqueduct is limited.
The temperature gradients with different directions of the aqueduct are shown in Figure 23. It can be concluded from Figure 23 that the direction of the aqueduct has limited influence on the top half of the surface B as they are adjacent to the top surfaces whose temperatures are scarcely influenced by the direction of the aqueduct. The maximum temperature change is 0.5 °C, appearing when the direction of the bridge turns clockwise by 15°. It is interesting to find that the temperature gradients almost stay unchanged when the surface azimuth is bigger than 301°. The reason for this phenomenon may be that sunlight on the western surfaces stays unchanged when the azimuth is larger than a certain angle.

6. Conclusions

In this study, a 72-h transient temperature field analysis of a steel truss aqueduct under different conditions is conducted. Some conclusions are drawn from the results.
  • For the aqueduct full of water, the temperatures of inner surfaces contacting with water stay the same as water’s temperature, which is consistent with the fact that the thermal capacity of water is a few orders of magnitude larger than that of steel. It is interesting to find that water has a limited effect on the temperature field of truss structures of the aqueduct. When water depletes, the highest temperature of inner surfaces is reached near the upper surface of the truss. Most of the inner surfaces on the truss side are in the shadow area, but the middle of the inner surfaces, which can be exposed to solar radiation in certain hours, has a relatively high average temperature.
  • For horizontal surfaces on the trusses, the biggest temperature difference (37.0 °C) in a summer day happens on the upper surface of the top truss, while the temperature difference in a summer day of bottom surfaces on the bottom truss is only 15.4 °C, which is owing to different main heat sources: direct solar radiation on the upper surfaces and ground reflected radiation on the bottom surfaces. Meanwhile, a relatively small difference exists in the heat sources of different regions of upper surfaces (or bottom surfaces) as well as the temperature on them at the same time.
  • However, compared with the temperature distribution on horizontal surfaces discussed above, the temperatures on different locations of vertical surfaces are much more complicated as the shielding of sunlight between components of the aqueduct changes with hours. In general, the eastern part is exposed to direct radiation in the morning, and the western part in the afternoon. The exposure time is determined by several factors and changes with hours. The longer the exposure time and the larger the irradiation area are, the higher temperature gets. The largest temperature difference on the vertical surface of the truss is 21.3 °C on the western upper truss in summer.
  • Vertical temperature gradients of surfaces B and C are obtained from the simulation. Cubic polynomials fit well with the results. The temperature fields we got in this study can be used in further study of the aqueduct’s mechanic properties, and the analysis approach could assist in thermal design and health monitoring of steel aqueducts.
  • Simplified polyline temperature gradients in summer and winter are also extracted from the simulation results. This could help the engineers to have a clear and straightforward understanding of the temperature gradients on the steel truss aqueduct. It is also much more convenient to use in practical application and aqueduct design.
  • Parametric studies, including wind speed, latitude, and direction of the aqueduct, are carried out to evaluate the influences of these factors on the aqueduct. The results indicate that wind speed has a larger influence on the surface B, which has a relatively higher average temperature, than surface C. Latitude with a change of less than 1° can hardly influence the temperature distribution of the aqueduct. The maximum temperature change rates per degree in latitude are about 3.77% on the top truss and 2.19% on the bottom truss.

Author Contributions

Conceptualization, R.M. and H.C.; methodology, R.M., X.H. and H.C.; software, R.M. and H.C.; validation, H.C.; formal analysis, H.C.; investigation, X.H.; resources, X.H. and R.M.; data curation, R.M. and H.C.; writing—original draft preparation, R.M. and H.C.; writing—review and editing, X.H., R.M. and H.C.; visualization, R.M. and H.C.; supervision, X.H. and R.M.; project administration, X.H. and R.M.; funding acquisition, X.H., R.M. and H.C. All authors have read and agreed to the published version of the manuscript.

Funding

This work was supported by the National Natural Science Foundations of China [grant number 51878493] and the National Project funded by the China Scholarship Council [grant number 201806260169].

Conflicts of Interest

The authors declare no conflict of interest.

References

  1. Gardner, L. Stability and design of stainless steel structures–Review and outlook. Thin-Walled Struct. 2019, 141, 208–216. [Google Scholar] [CrossRef]
  2. Cilin, L. The Present Conditions and Developments of Prestressed Spatial Steel Structure. Spat. Struct. 1995, 1, 1–14. [Google Scholar]
  3. Liu, H.; Liao, X.; Chen, Z.; Zhang, Q. Thermal behavior of spatial structures under solar irradiation. Appl. Therm. Eng. 2015, 87, 328–335. [Google Scholar] [CrossRef]
  4. Zhang, Q.H.; Bu, Y.Z.; Li, Q. Review on fatigue problems of orthotropic steel bridge deck. China J. Highw. Transp. 2017, 30, 14–30. [Google Scholar]
  5. Bai, X.L.; Fan, Y.Y.; Yu, W.; Wang, D.F. Dynamic Response Analysis of Large Aqueduct Structure. In Advanced Materials Research; Trans Tech Publications: Zurich, Switzerland, 2011; Volume 255, pp. 1159–1162. [Google Scholar] [CrossRef]
  6. Zhao, S.; Hu, Z.; Li, X. Experimental Investigation of Large Reinforced Concrete Aqueduct with Multi longitudinal Beams. J. Hydroelectr. Eng. 1999, 1162, 3. [Google Scholar]
  7. Su, C. Design Optimization of Concrete Aqueduct Structure considering Temperature Effects. Math. Probl. Eng. 2020. [Google Scholar] [CrossRef]
  8. Li, S.H.; Ji, R.C.; Bai, W.W. Aqueduct Transverse Temperature Stress Calculation under Polygonal Distribution of Temperature Difference. Water Resour. Power 2016, 12, 30. [Google Scholar]
  9. Feng, X.; Xia, F.; Wang, C.; Huang, H. Calculation of temperature field of large-scale concrete aqueduct during operation period. Eng. Wuhan Univ. 2007, 2, 25–28. [Google Scholar]
  10. Feng, X.B.; Wang, C.D.; Guan, G.H. Boundary Condition Calculation Method of Temperature Field in Large-Scale Aqueduct. South-To-North Water Transf. Water Sci. Technol. 2008, 1, 170–173. [Google Scholar]
  11. Zhang, X.G.; Wang, T.; Sun, J.P.; Zhang, Q.; Song, Z.P.; Wang, J.J. Numerical Simulation Analysis of Temperature Control of Large Volume Concrete Aqueduct. In Proceedings of the IOP Conference Series: Earth and Environmental Science, Tokyo, Japan, 9–11 November 2018; IOP Publishing: Bristol, UK; Volume 199, p. 032044. Available online: https://iopscience.iop.org/article/10.1088/1755-1315/199/3/032044/meta (accessed on 19 December 2018).
  12. Resnik, B.; Ribakov, Y.; Berlin, B. Implementation and analysis of vibration measurements obtained from monitoring the Magdeburg water bridge. In Proceedings of the 7th International Conference on Material Technologies and Modelling, Melbourne, Australia, 14–17 July 2012. [Google Scholar]
  13. Suprobo, P.; Febry, A. Infrastructure Health Monitoring System SHM Development, a Necessity for Maintance and Investigation. In Proceedings of the International Conference on Engineering and Technology Development ICETD, Lampung, Indonesia, 27–29 August 2013. [Google Scholar]
  14. Rossi, M.; Righetti, M.; Renzi, M. Pump-as-Turbine for energy recovery applications: The case study of an aqueduct. Energy Procedia 2016, 101, 1207–1214. [Google Scholar] [CrossRef]
  15. Cheng, G.; Zhang, Y.; Huang, J.; Liu, J.; Zhang, J. Vulnerability analysis of aqueduct structure based on boundary method. In Proceedings of the IOP Conference Series: Earth and Environmental Science, Shanghai, China, 7–9 August 2020; IOP Publishing: Bristol, UK; Volume 567, p. 012036. Available online: https://iopscience.iop.org/article/10.1088/1755-1315/567/1/012036/meta (accessed on 25 September 2020).
  16. Sun, L.; He, P.; Wang, Z. The Finite Element Analysis of En Zi Tan Aqueduct in Operation Period. Rev. Int. Contam. Ambient. 2019, 35, 73–87. [Google Scholar] [CrossRef]
  17. Zhao, L.; Zhou, L.Y.; Zhang, G.C.; Wei, T.Y.; Mahunon, A.D.; Jiang, L.Q.; Zhang, Y.Y. Experimental Study of the Temperature Distribution in CRTS-II Ballastless Tracks on a High-Speed Railway Bridge. Appl. Sci. 2020, 10, 1980. [Google Scholar] [CrossRef]
  18. Zhou, L.; Wei, T.; Zhang, G.; Zhang, Y.; Akim Djibril Gildas, M.; Zhao, L.; Guo, W. Experimental Study of the Influence of Extremely Repeated Thermal Loading on a Ballastless Slab Track-Bridge Structure. Appl. Sci. 2020, 10, 461. [Google Scholar] [CrossRef]
  19. Xu, W.; Chen, D.; Qian, H. Non-Uniform Temperature Fields and Effects of Steel Structures: Review and Outlook. Appl. Sci 2020, 10, 5255. [Google Scholar] [CrossRef]
  20. Song-he, M.A.O. The solar radiation temperature field and thermal stresses research of concrete box water bridge. Shanxi Archit. 2012, 33, 190–191. [Google Scholar]
  21. Ji, R.C.; Tang, Y. The Solar Radiation Temperature Field and Lengthways Thermal Stress Analysis of Concrete Box Aqueduct. J. Lanzhou Jiaotong Univ. 2009, 4, 7–11. [Google Scholar]
  22. Song, X.; Melhem, H.; Li, J.; Xu, Q.; Cheng, L. Effects of solar temperature gradient on long-span concrete box girder during cantilever construction. J. Bridge Eng. 2016, 21, 04015061. [Google Scholar] [CrossRef]
  23. Wang, Y.; Zhan, Y.; Zhao, R. Analysis of thermal behavior on concrete box-girder arch bridges under convection and solar radiation. Adv. Struct. Eng. 2016, 19, 1043–1059. [Google Scholar] [CrossRef]
  24. Westgate, R.; Koo, K.Y.; Brownjohn, J. Effect of solar radiation on suspension bridge performance. J. Bridge Eng. 2014, 20, 04014077. [Google Scholar] [CrossRef]
  25. Zhao, Z.; Liu, H.; Chen, Z. Field monitoring and numerical analysis of thermal behavior of large span steel structures under solar radiation. Adv. Steel Constr. 2017, 13, 190–205. [Google Scholar] [CrossRef]
  26. Kim, S.H.; Cho, K.I.; Won, J.H.; Kim, H. A study on thermal behaviour of curved steel box girder bridges considering solar radiation. Arch. Civ. Mech. Eng. 2009, 9, 59–76. [Google Scholar] [CrossRef]
  27. Ding, Y.L.; Wang, G.X. Estimating extreme temperature differences in steel box girder using long-term measurement data. J. Cent. South Univ. 2013, 20, 2537–2545. [Google Scholar] [CrossRef]
  28. Kim, S.H.; Park, S.; Wu, J.; Won, J.H. Temperature variation in steel box girders of cable-stayed bridges during construction. J. Constr. Steel Res. 2015, 112, 80–92. [Google Scholar] [CrossRef]
  29. Liu, H.; Chen, Z.; Zhou, T. Theoretical and experimental study on the temperature distribution of H-shaped steel members under solar radiation. Appl. Therm. Eng. 2012, 37, 329–335. [Google Scholar] [CrossRef]
  30. Chen, D.; Wang, H.; Qian, H.; Li, X.; Fan, F.; Shen, S. Experimental and numerical investigation of temperature effects on steel members due to solar radiation. Appl. Therm. Eng. 2017, 127, 696–704. [Google Scholar] [CrossRef]
  31. McQuiston, F.C.; Parker, D.; Spitler, D. Heating, Ventilating, and Air Conditioning: Analysis and Design; John Wiley & Sons: Hoboken, NJ, USA, 2004. [Google Scholar]
  32. ASHRAE. Standard 55—Thermal Environmental Conditions for Human Occupancy; ASHRAE Inc.: Atlanta, GA, USA, 2004. [Google Scholar]
  33. ASHRAE. Addendum to Standard 55—Thermal Environmental Conditions for Human Occupancy; ASHRAE Inc.: Atlanta, GA, USA, 1995. [Google Scholar]
  34. ASHRAE. ASHRAE Handbook Fundamentals; Tullie Circle, N.E., Ed.; ASHRAE Inc.: Atlanta, GA, USA, 2013. [Google Scholar]
Figure 1. Location of the steel truss aqueduct.
Figure 1. Location of the steel truss aqueduct.
Applsci 11 00963 g001
Figure 2. Front elevation of the aqueduct.
Figure 2. Front elevation of the aqueduct.
Applsci 11 00963 g002
Figure 3. Cross-section in mid-span of the aqueduct.
Figure 3. Cross-section in mid-span of the aqueduct.
Applsci 11 00963 g003
Figure 4. Hourly air temperature in summer (data from National Oceanic and Atmospheric Administration (NOAA), see: https://gis.ncdc.noaa.gov/maps/ncei/cdo/hourly).
Figure 4. Hourly air temperature in summer (data from National Oceanic and Atmospheric Administration (NOAA), see: https://gis.ncdc.noaa.gov/maps/ncei/cdo/hourly).
Applsci 11 00963 g004
Figure 5. Hourly air temperature in winter (data from NOAA, see: https://gis.ncdc.noaa.gov/maps/ncei/cdo/hourly).
Figure 5. Hourly air temperature in winter (data from NOAA, see: https://gis.ncdc.noaa.gov/maps/ncei/cdo/hourly).
Applsci 11 00963 g005
Figure 6. 3D finite element model (FEM) of the steel truss aqueduct.
Figure 6. 3D finite element model (FEM) of the steel truss aqueduct.
Applsci 11 00963 g006
Figure 7. 3D FEM model of heat conduction.
Figure 7. 3D FEM model of heat conduction.
Applsci 11 00963 g007
Figure 8. Thermal boundary condition on the FEM model.
Figure 8. Thermal boundary condition on the FEM model.
Applsci 11 00963 g008
Figure 9. Illustration for local shadow effects of the equivalent box girder and top chord to the truss aqueduct.
Figure 9. Illustration for local shadow effects of the equivalent box girder and top chord to the truss aqueduct.
Applsci 11 00963 g009
Figure 10. Numerical simulation process for the truss aqueduct under solar radiation.
Figure 10. Numerical simulation process for the truss aqueduct under solar radiation.
Applsci 11 00963 g010
Figure 11. Temperature changes over 72 h on the aqueduct in summer.
Figure 11. Temperature changes over 72 h on the aqueduct in summer.
Applsci 11 00963 g011
Figure 12. Temperature changes of several points on eastern and western inner surfaces of the empty aqueduct in summer (WEST stands for the western inner surface, and EAST represents the eastern inner surface. The number after the hyphen is its vertical coordinate).
Figure 12. Temperature changes of several points on eastern and western inner surfaces of the empty aqueduct in summer (WEST stands for the western inner surface, and EAST represents the eastern inner surface. The number after the hyphen is its vertical coordinate).
Applsci 11 00963 g012
Figure 13. Vertical temperature gradients of the surfaces B and C in summer.
Figure 13. Vertical temperature gradients of the surfaces B and C in summer.
Applsci 11 00963 g013
Figure 14. Fitted curves of temperature gradients of the surfaces B and C in summer.
Figure 14. Fitted curves of temperature gradients of the surfaces B and C in summer.
Applsci 11 00963 g014
Figure 15. Simplified temperature gradient under the full-water condition in summer.
Figure 15. Simplified temperature gradient under the full-water condition in summer.
Applsci 11 00963 g015
Figure 16. Temperature changes over 72 h on the aqueduct in winter.
Figure 16. Temperature changes over 72 h on the aqueduct in winter.
Applsci 11 00963 g016
Figure 17. Temperature changes of several points on eastern and western inner surfaces of the empty aqueduct in winter (WEST stands for the western inner surface, and EAST represents the eastern inner surface. The number after the hyphen is its vertical coordinate).
Figure 17. Temperature changes of several points on eastern and western inner surfaces of the empty aqueduct in winter (WEST stands for the western inner surface, and EAST represents the eastern inner surface. The number after the hyphen is its vertical coordinate).
Applsci 11 00963 g017
Figure 18. Vertical temperature gradients of the surfaces B and C in winter.
Figure 18. Vertical temperature gradients of the surfaces B and C in winter.
Applsci 11 00963 g018
Figure 19. Fitted curves of temperature gradients of surfaces B and C in winter.
Figure 19. Fitted curves of temperature gradients of surfaces B and C in winter.
Applsci 11 00963 g019
Figure 20. Simplified temperature gradient under the full-water condition in winter.
Figure 20. Simplified temperature gradient under the full-water condition in winter.
Applsci 11 00963 g020
Figure 21. Temperature gradients with different wind speeds.
Figure 21. Temperature gradients with different wind speeds.
Applsci 11 00963 g021
Figure 22. Temperature gradient with different geographic latitudes.
Figure 22. Temperature gradient with different geographic latitudes.
Applsci 11 00963 g022
Figure 23. Temperature gradients with different directions of the aqueduct (angles represent azimuths of vertical surfaces on the western part of the aqueduct).
Figure 23. Temperature gradients with different directions of the aqueduct (angles represent azimuths of vertical surfaces on the western part of the aqueduct).
Applsci 11 00963 g023
Table 1. Thermal parameters for steel and other properties.
Table 1. Thermal parameters for steel and other properties.
Latitude l31.84°
Specific heat of steel465 J (kg·°C)Density7850 kg/m3
Solar absorptivity a0.55Thermal conductivity λ 45.01 W/(m·°C)
Steel emissivity ε 0.8Solar radiation A1416.58 W/m2
Atmospheric extinction coefficient
B
0.42Atmospheric cleanliness
CN
1.0
Ratio of diffuse and direct radiation
C
0.138Ground radiation reflectance ρ g 0.35
Publisher’s Note: MDPI stays neutral with regard to jurisdictional claims in published maps and institutional affiliations.

Share and Cite

MDPI and ACS Style

Chang, H.; Hu, X.; Ma, R. Numerical Study on Temperature Distribution of Steel Truss Aqueducts under Solar Radiation. Appl. Sci. 2021, 11, 963. https://doi.org/10.3390/app11030963

AMA Style

Chang H, Hu X, Ma R. Numerical Study on Temperature Distribution of Steel Truss Aqueducts under Solar Radiation. Applied Sciences. 2021; 11(3):963. https://doi.org/10.3390/app11030963

Chicago/Turabian Style

Chang, Haocheng, Xiaohong Hu, and Rujin Ma. 2021. "Numerical Study on Temperature Distribution of Steel Truss Aqueducts under Solar Radiation" Applied Sciences 11, no. 3: 963. https://doi.org/10.3390/app11030963

APA Style

Chang, H., Hu, X., & Ma, R. (2021). Numerical Study on Temperature Distribution of Steel Truss Aqueducts under Solar Radiation. Applied Sciences, 11(3), 963. https://doi.org/10.3390/app11030963

Note that from the first issue of 2016, this journal uses article numbers instead of page numbers. See further details here.

Article Metrics

Back to TopTop