Abstract
Printed circuit boards (PCBs) have a large number of electrical connection nodes. Exposure to harsh environments may lead to connection faults in these nodes. In the present work, intelligent detection methods for electrical connection faults were studied. Specifically, the fault characteristics of connectors, bonding wires and solder balls in the frequency domain were analyzed. The reflection and transmission parameters of an example filter circuit with electrical connection faults were calculated using the Simulation Program with Integrated Circuit Emphasis (SPICE). With these obtained electrical parameters, three machine learning algorithms were used to detect example electrical connection faults for the example circuit. Based upon the performance evaluations of the three algorithms, one can conclude that machine-learning-based intelligent fault detection is a promising technique in diagnosing circuit faults due to electrical connection issues with high accuracy and lower time cost as compared to current manual processes.
1. Introduction
Circuits are the basis of information communication and power transmission. There are a lot of interconnects in the circuit systems, such as connectors, bonding wires and solder balls. Mechanical shock, vibration, high temperature and high humidity, as well as dust create environmental stresses that may induce failure of these interconnects. As the working frequency of circuits becomes higher and higher, the interconnection shows complex electromagnetic characteristics.
Due to the complex structure and electromagnetic characteristics of these circuits and devices, engineers expend great amounts of time and other resources for fault diagnosis, often needing to disassemble the problematic system when a circuit fault occurs. With the development of artificial intelligence technology, the application of intelligent algorithms to circuit fault detection has become a new focus of attention, with the goal of simplifying the complexity of fault diagnosis and making fault location detection more convenient and efficient. With regard to research on circuit fault diagnosis using intelligent algorithms, Binu et al. [1] proposed a rider optimization algorithm (ROA) based on a neural network for fault detection in analog circuits. Tan et al. [2] studied an analog circuit fault diagnosis algorithm using a genetic algorithm (GA) and neural network approach, which can minimize online measurement and offline calculation requirements. Yang et al. [3,4] investigated a simulation-after-test (SAT) fault diagnosis method based on a GA strategy for all possible continuous parameter faults (CPF) in analog filter circuits. Shi et al. [5] proposed two modified decision tree algorithms, CV-DT and FR-DT, for analog circuit fault detection, which improves the accuracy and effectiveness of the decision tree, while Wang et al. [6] used an improved GA for real-time circuit fault recovery. In this method, an analysis tree was used to monitor circuit faults, and an evolutionary mechanism with a recovery library and improved genetic algorithm were used to repair the circuit while the fault compensation mechanism was running. The improved algorithm significantly improves the fault-tolerant recovery rate. Yuan et al. [7] studied a new method for analog circuit fault diagnosis based on kurtosis and entropy, which has a high accuracy rate for the classification of soft and hard circuit faults. Vasan [8] et al. studied a method based on a support vector machine to detect faulty circuit conditions, isolate fault locations, and predict the remaining useful performance of analog circuits; the method was validated with two example filter circuits. In addition, there is also some research on the application of artificial intelligence algorithms to fault detection for power transmission systems [9,10].
At present, almost all electrical connection fault detection methods are based on testing a specific hardware/component, such as connection resistance tests, impedance tests, S-parameter tests and time domain reflectometry. To the best of our knowledge, there has been little research to date on electrical connection fault detection using artificial intelligence based on testing a device/circuit rather than a specific component. In the current work, the fault characteristics of connectors, bonding wires, and solder balls in the frequency domain were analyzed. The reflection and transmission parameters of a filter circuit with electrical connection faults were calculated using SPICE circuit simulation. These parameters were then used for input features training and testing of selected machine learning algorithm. Support vector machine (SVM), Logistic regression (LR), and Gradient boosting decision tree (GBDT) are three typical algorithms with distinct mechanisms selected to detect three types of electrical connection faults—due to connectors, bonding wires, and solder balls—in a filter circuit. Sets of values of reflection and transmission parameters were calculated under various conditions to train the algorithms, and the classification performance was analyzed and compared. The diagnostic capability, applicability, time complexity, and learning cost of the three algorithms are discussed in the following sections.
2. Electrical Connection Faults
First, consider the effects of three types of electrical connection faults in connectors, bonding wires, and solder balls on electrical characteristics; each type of fault is modeled and analyzed below. As illustrated in Figure 1, in engineering applications, the connection resistance is measured using a micro-ohmmeter to judge whether the connection is faulty.
Figure 1.
Connection resistance is measured using a micro-ohmmeter.
2.1. Connectors
Connectors transmit current through the contact between the pin and receptacle. On the microscale, the contact between the two metal surfaces occurs at discrete points produced by mechanical contact of asperities on the two surfaces, as shown in Figure 2. The electric current lines become increasingly distorted as approaching the contact interface and the current flow is separated to pass through the contact spots. These introduces constriction resistance, while the regions of the interface that are not in contact introduce capacitance effects. When degradation occurs on the electrical contact surface, the connection mode of metal-metal and metal-void-metal becomes metal-film-metal. This results in further film resistance and capacitance [11].
Figure 2.
Equivalent connection impedance network of a contact surface between connector pin and receptacle.
With increasing connector degradation, the thickness of the contamination film increases, which leads to increasing connection resistance R1 and the decrease of connection capacitance C1. For the contact surface between the connector pin and receptacle shown in Figure 2, the impact on signal transmission mainly occurs in the low frequency band; this is because the equivalent circuit of the contact surface contains capacitance, and the associated impedance decreases with the increase of frequency. Accordingly, high-frequency currents can be transmitted by coupling. As shown in Figure 3, for RF connectors, the maximum connection resistance of normal connectors obtained from our experimental testing is 10 mΩ. However, for higher precision circuits, the interconnection structure is often required to have a lower maximum connection resistance. Accordingly, for the purposes of this study, a lower value of 5 mΩ is used in the current simulation model for the maximum connection resistance of a normal connector. This means that, when the connection resistance of a connector is greater than 5 mΩ, the connector is considered to be faulty. In addition, in the experiments, the faulty connectors were produced using an accelerated test, and the maximum measured fault connection resistance was 360 Ω. However, this is an extreme value. Thus, for the purposes of this study, the maximum connection resistance of a faulty connector is chosen to be 100 Ω in the current simulation model [12,13].
Figure 3.
The normal and fault values of the connection resistance of connectors in the experimental testing and model simulation.
2.2. Bonding Wires
Next, consider the effects of bonding wires on circuit performance. The connection between two solder pads that need to be electrically connected usually consists of multiple bonding wires in parallel to improve the power and reliability of the bonding area. When current flows through the bonding wires, an inductance effect is produced. Accordingly, the effects of bonding wires on circuit performance can be modeled as equivalent to an inductance, as shown in Figure 4.
Figure 4.
Equivalent connection impedance network of bonding area.
When circuits work in extreme environments, some bonding wires may fail, and the equivalent inductance L2 in the bonding area increases. Since the inductive reactance of the equivalent inductance increases with frequency, the influence of bonding wire faults on signal transmission is mainly reflected in the high-frequency band. In consideration of the higher standards for some circuits in engineering applications, the maximum normal equivalent connection inductance used in the simulation model is 1 nH, which is smaller than the 1.6 nH obtained from experimental testing. In addition, the maximum fault connection inductance of bonding wire in the simulation model is 3 nH, which is equal to that obtained from experiment, as shown in Figure 5 [14].
Figure 5.
The normal and fault values of the connection resistance of bonding wires in the experimental testing and model simulation.
2.3. Solder Ball
Finally, consider the effects on circuit performance of cracks in solder ball. Vibration, mechanical shock, and other environmental stresses may cause solder ball cracking. As shown in Figure 6, for the solder ball crack area, the connection mode of metal-metal becomes metal-void-metal, which results in a capacitance effect in the equivalent connection impedance network. For a solder ball area without a crack, when current flows through the metal, the bulk resistance and skin effect of the solder ball produce a resistance and inductance effect in the equivalent connection impedance network.
Figure 6.
Equivalent connection impedance network of a cracked solder ball.
As the degradation degree of a solder ball increases, the crack area increases, which leads to the increase of connection resistance R3, capacitance C3 and inductance L3. Due to the capacitance effects arising from solder ball cracks, such faults mainly affect the lower frequency components of a transmitted signal. Similarly, in our experiments, the faulty solder balls were produced using an accelerated test, and the maximum measured fault connection resistance was as high as 123 mΩ. However, most of the observed values were not that high. In order to simulate the most realistic configuration for engineering applications, a lower value was selected. Accordingly, in the current simulation model, the maximum connection resistance for a faulty solder ball was chosen as 105 mΩ, which is representative of what was generally observed in the experimental tests [15]. In addition, the maximum connection resistance of a normal solder ball in the simulation model is 5 mΩ, which is also representative of what was obtained from experiment, as shown in Figure 7.
Figure 7.
The normal and fault values of the connection resistance of solder balls in the experimental testing and model simulation.
3. Intelligent Detection Method
Next, an example circuit system with the three fault modes described above is developed and used to assess the performance of three specific intelligent detection methods.
3.1. Filter Circuit with Electrical Connection Fault
As shown in Figure 8, the signal is input from the SMA connector at one end of the circuit board and passes through the printed trace on the circuit board to the filter chip. Then, this filtered signal is output from the chip and passes through the printed trace to the SMA connector at the other end of the circuit board. In this filter circuit, the connectors are used to connect other functional circuit systems and the circuit board, the solder balls are used to connect the circuit board and the packaged chip, and the bonding wires are used to connect the chip external package and the internal bare chip.
Figure 8.
Schematic structure of a filter circuit, where position 1, 2 and 3 represent a connector connection, a bonding wire connection, and a solder ball connection, respectively.
Consider three different fault modes for the circuit shown in Figure 8: the connector fault at position 1 is fault mode 1 (M1), the bonding wire fault at position 2 is fault mode 2 (M2), and the solder ball fault at position 3 is fault mode 3 (M3). The signal transmission path of the filter circuit is shown in Figure 9. The green boxes represent the interconnection structures of the filter circuit.
Figure 9.
Signal transmission path. M1 represents that connector 1 is faulty. M2 represents that bonding wire 1 is faulty. M3 represents that solder ball 2 is faulty.
Based on the signal transmission path, a model for the filter circuit was developed. When there is no fault in the circuit, the connectors and solder balls are each modeled as equivalent to a resistance of 5 mΩ, respectively, and the bonding wires are each modeled as equivalent to an inductance of 1 nH. As noted in Section 2, when a connection fault occurs in the circuit, the resistance (Rconnector1 or Rsolder2) or inductance (Lwire1) in the model is replaced by the corresponding equivalent connection impedance network, as illustrated by the red components shown in Figure 10.
Figure 10.
Equivalent circuit model of the filter circuit.
For a faulty connector, with the increase of connector degradation, the connection resistance increases, and the connection capacitance decreases. As noted in Section 2, the change in the connection resistance is from about 5 mΩ to 100 Ω. In accordance with the Ref. [13], in the current work, the corresponding change in the connection capacitance is from 7.65 pF to 0.15 pF. In addition, it is assumed that the connection resistance and connection capacitance are linearly related. Accordingly, the functional relationship between the equivalent connection capacitance (C1) and connection resistance (R1) can be modeled, as shown in Figure 11.
Figure 11.
Relationship between the connection resistance R1 and connection capacitance C1 of the example connector. The function expression is C1 = −0.075R1 + 7.65. The unit of capacitance is pF and the unit of resistance is Ω.
In addition, for a faulty solder ball, with the increase of solder ball degradation, the connection resistance, capacitance and inductance increase. As noted in Section 2, the change in the connection resistance is from 5 mΩ to 105 mΩ. In accordance with Ref. [15], in the current work, the corresponding change in the connection capacitance is from 0.016 pF to 0.022 pF. The corresponding change in the connection inductance is from 0.006 nH to 0.036 nH. In addition, it is assumed that the connection resistance and connection capacitance are linearly related, and the connection resistance and connection inductance are also linear. Then, the functional relationship between the equivalent connection capacitance (C3), connection inductance (L3) and connection resistance (R3) can be modeled, as shown in Figure 12.
Figure 12.
Relationship between the connection resistance R3, connection inductance L3 and connection capacitance C3 of the example solder ball. The function expressions are L3 = 3 × 10−4R3 + 4.4 × 10−3 and C3 = 6 × 10−5R3 + 0.01588. The unit of inductance, capacitance and resistance are nH, pF and mΩ, respectively.
Because the equivalent impedance networks are different when the connector, bonding wire and solder ball fail, the influence on signal transmission of these faults impacts different ranges of frequencies. Accordingly, this observation can be used in conjunction with artificial intelligence algorithms to classify different fault modes.
For each fault mode, 50 training samples were used to train the classification algorithms, and 100 testing samples were used to test the performance of the obtained classification algorithms. For fault mode 1, the contact resistance R1 of the training samples ranges from 2–100 Ω, with incremental steps of 2 Ω. The contact resistance R1 of the testing samples ranges from 0.5–99.5 Ω, with incremental steps of 1 Ω. The corresponding contact capacitance C1 was calculated from the relationship in Figure 11. For fault mode 2, the connection inductance L2 of the training samples ranges from 1.04–3 nH, with incremental steps of 0.04 nH. The connection inductance L2 of the testing samples ranges from 1.01–2.99 nH, with incremental steps of 0.02 nH. For fault mode 3, the connection resistance R3 of the training samples ranges from 6–104 mΩ, with incremental steps of 2 mΩ. The connection resistance R3 of the testing samples ranges from 5.5–104.5 mΩ, with incremental steps of 1 mΩ. The corresponding connection capacitance C3 and connection inductance L3 were calculated from the relationship in Figure 12.
The S-parameter can be used to evaluate the signal transmission characteristics of the circuit board at different frequency points. S11 and S21 were calculated using ADS software. It should be noted that the filter in this study is a band-pass Butterworth filter, and ADS software provides the filter module directly. The simulation frequency is 10 MHz–4 GHz, and the frequency step is 10 MHz. As a result, each training and testing sample has 400 S-parameter values (S11 or S21) at 400 frequency points. Other parameters for the simulation configuration are shown in Table 1. Some representative S-parameter simulation results of the filter circuit are shown in Figure 13 and Figure 14.
Table 1.
Main electrical parameters of the example filter circuit.
Figure 13.
S-parameters of the filter circuit without fault (a) S11, (b) S21.
Figure 14.
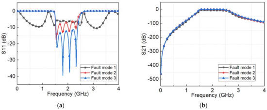
S-parameters of the filter circuit with fault. For fault mode 1, R1 = 100 Ω, C1 = 0.15 pF. For fault mode 2, L2 = 3 nH. For fault mode 3, R3 = 104 mΩ, L3 = 0.036 nH and C3 = 0.022 pF. (a) S11, (b) S21.
S11 represents the reflection of the electromagnetic wave, and S21 represents the loss of the electromagnetic wave. The larger the value of S11, the more the signal reflection of the circuit, and the smaller the value of S21, the greater the signal loss in the circuit. As shown in Figure 13, in the passband (1.5 GHz–2.5 GHz) of the filter circuit, the reflection and loss of electromagnetic waves are very small, and the signal energy can be transmitted with low attenuation. In the stopband (10 MHz–1.35 GHz, 2.65 GHz–4 GHz) of the filter circuit, the reflection and loss of electromagnetic waves are great, and the signal energy is transmitted with high attenuation. With regard to the S-parameters of the filter circuit with fault, because the equivalent connection impedance networks corresponding to various fault modes are different, the simulated S-parameters change significantly, as shown in Figure 14.
3.2. Machine Learning Algorithms for Intelligent Fault Detection and Evaluation Metrics
In this study, three algorithms (Support Vector Machine, Logistic Regression and Gradient Boosting Decision Tree) based on different classification mechanisms were selected as classifiers to detect and diagnose electrical connection faults.
The performance of machine-learning-based fault detection is evaluated in terms of precision (P), recall (R), F-score (F) and accuracy (AC), while the confusion matrix can show the number of samples of different fault modes correctly or wrongly classified in detail. The Receiver Operating Characteristic (ROC) curve depicts the classification performance using different discrimination thresholds. The closer the node locates to (0.1), the better the performance of the classifier. The Area Under Curve (AUC) is the magnitude of the area under the ROC curve, and the steeper the ROC curve, the higher the AUC value and the better the performance of a given classifier. Further, the processing time for classification was analyzed to predict the time cost for each trained algorithm.
4. Algorithm Performance Analysis and Comparison
The performances of the three selected machine learning algorithms are evaluated and compared using the example filter circuit with connection faults, as described in Section 2 and Section 3.1, as the common test vehicle for each algorithm. The performance of each is compared using the metrics described above in Section 3.2, and in the discussion below. The major items of concern are diagnostic accuracy, speed, and cost.
4.1. Evaluations on Fault Diagnosis Ability Using Different Algorithms
Accuracy in identifying faults is a primary concern with diagnostic algorithms. As indicated in Table 2 and Table 3, the three algorithms achieve good performance in detecting electrical connection faults and precisely categorizing different modes of faults with over 90% accuracy in average, especially for the algorithms trained on S11. The GBDT, which makes detection decisions based on the ensemble results from multiple decision trees, produces nearly 100% accuracy with a very low false prediction rate. This demonstrates that machine learning algorithms can be successfully implemented to detect and diagnose electrical connection faults automatically and intelligently, with less manual effort and higher accuracy.
Table 2.
Performance comparison using different algorithms on S11.
Table 3.
Performance comparison using different algorithms on S21.
As shown in Table 4, Table 5 and Table 6, the confusion matrixes of the classification results for the three selected algorithms were each calculated separately. The left half of the tables is the confusion matrix of the algorithms trained with S11, and the right half is the confusion matrix of algorithms trained with S21. It can be seen that only relatively few testing samples were incorrectly classified as either of the other two modes, which shows that the three classifier algorithms perform well with S-parameters as input features for fault diagnosis. A comparison of algorithms trained with S11 and S21 shows that the accuracy of the former is higher. This is because the reflection parameters (S11) of the circuit are related to the impedance, and there are some resonant trough points in the curve. The electrical connection fault not only affects the value of reflection parameter but also affects the position of the resonant trough point. The transmission parameters (S21) are mainly related to the loss of the circuit, with less effect on the associated resonance point. Accordingly, an electrical connection fault is mainly reflected in the impact on the transmission parameter value, with S11 being more representative of electrical connection faults. Moreover, detector SVM performs better than LR on S11 while the opposite is true for S21. GBDT appears to be the detector, which is more robust and generally applicable under different circumstances, with higher accuracy and lower false detection rate on both S11 and S21, as can be seen by inspection of Table 4, Table 5 and Table 6 .
Table 4.
Confusion matrix with detailed fault classification result using SVM.
Table 5.
Confusion matrix with detailed fault classification result using LR.
Table 6.
Confusion matrix with detailed fault classification result using GBDT.
As can be seen by inspection of Table 4, Table 5 and Table 6, the three classifiers have higher classification accuracy for fault mode 3 without bias, while the other two modes are mis-classified to some extent. This is because the distance between the connector and the bonding wire is very close, both are at the input side of the bare chip, while the solder ball is at the output side of the bare chip, as shown in Figure 8. Because of this relative closeness, there is a modest similarity between the characteristics of fault mode 1 and mode 2, resulting in a slight tendency for misclassification.
ROC curves and AUC provide insight into the overall detection capability of the algorithms under various conditions of the given dataset. ROC curves of the three algorithms are shown in Figure 15. While all three of the algorithms perform well, it can be seen that the performance of the algorithms trained with S11 is better than that of the algorithms trained with S21 with steeper slopes and points closer to (0.1). When zooming into the corner of the chart to view more detail, it is illustrated that GBDT performs better than SVM and LR algorithms while they perform quite the opposite when trained on S11 and S21. This is in good agreement with the analysis results for the above evaluation sessions. In addition, the AUC of the three algorithms were also tabulated, as shown in Table 7. All of the AUC values are above 90%, confirming therefore that it is feasible to leverage machine learning algorithms as a fault detector to localize and diagnose categorized faults.
Figure 15.
ROC curves for different algorithms trained on (a) S11, (b) S21.
Table 7.
AUC for three algorithms.
4.2. Evaluations on Fault Diagnose Time Complexity
Processing speed is also an important consideration in identifying faults so that mitigation can be implemented quickly and operational disruption minimized. In this regard, the prediction time for classifying given unknown data into three fault modes is used to evaluate the processing time, which can provide a relative measure of the time requirements for using machine learning algorithms in fault detection. This is based on first training each machine learning algorithm-based detector using historical data offline, and then implementing each algorithm for fault detection and localization. As illustrated in Figure 16, the processing time for the three classifiers increases with more input testing data awaiting to be classified. For the three algorithms trained with S11 and S21, the orders of time complexity are the same. SVM has the longest processing time and LR has the shortest processing time. Compared with the LR classifier, GBDT improves the classification accuracy but requires more processing time. This is because of the preliminary building and judging of pre-defined numbers of trees in the ensemble algorithm, which consumes more time than a single algorithm and increases the overall processing time.
Figure 16.
Processing time for different algorithms trained on (a) S11, (b) S21.
4.3. Evaluations on Machine Learning Algorithm-Based Learning Cost
Misclassification of faults by the three algorithms is also another important metric. In order to assess how it changes with increased learning cost, the error rates for the algorithms trained on S11 and S21 were calculated with increasing amounts of training data. The goal of this work is to provide a measure for the learning and training cost of using machine learning algorithms in fault detection. As shown in Figure 17a, when the algorithms were trained with S11, it can be seen that both SVM and LR achieves a low error rate after only a few iterations with fewer training samples; indeed, increasing the amount of training data beyond the level required to achieve a low error rate does not appear to substantially improve detection capability. For the GBDT, the error rate fluctuates significantly for different amounts of training data at the early stages. However, that algorithm tends to produce fewer misclassifications than the other two algorithms due to continuous learning in the later stages of the training process. The GBDT classifier produces substantially less error when trained with sufficient amounts of data.
Figure 17.
Fault detection error rate vs. number of training samples for different algorithms trained on (a) S11, (b) S21.
The behavior of the three classification algorithms is quite different when trained on S21, as shown in Figure 17b. It can be seen that GBDT is able to steadily learn, with a decreasing error rate with increasing input samples. Once the number of training data samples increase to a certain limit, the error rate is almost 0, with outstanding detection performance. For SVM, the error rate is extremely unstable, with erratically high or low error rates within a small number of training iterations, which indicates it is harder to train SVM using a small set of limited training data. The error rate of LR decreases to a great extent with less learning cost initially, but starts to increase with as the amount of training data increases, which results from over-fitting by the LR algorithm. Further, the LR classifier also learns the noisy and disturbing features, which leads to the classification less accurate with additional training and learning.
It is clear that the more historical training data needed to properly train the algorithm, the longer time and cost required before the algorithm is ready for application in real-time fault detection and prediction. Accordingly, a trade-off must be made between detection performance and cost, with the selection of both a reasonable number of training data and a machine learning algorithm with sufficient adaptability in real scenarios.
5. Conclusions
Harsh environments may lead to electrical connection faults in RF circuits. In this work, the characteristics of three specific kinds of electrical connection faults in the frequency domain, connector, bonding wire, and solder ball were analyzed. Machine learning algorithms were used to detect the electrical connection fault in an example filter circuit, and it has been demonstrated that he application of artificial intelligence classifiers to circuit fault diagnosis can significantly reduce the complexity of fault location, which can save time and reduce the requirements of testing equipment.
SVM, LR and GBDT classifiers can accurately detect and diagnose electrical connection faults accurately. From the perspective of fault detection capability and practicality, the performance of the GBDT is the best of the three classifiers, with the highest classification accuracy and steepest ROC curve. From the perspective of processing speed, the LR has the shortest processing time. However, the GBDT improves classification accuracy without sacrificing substantial processing time. From the perspective of learning cost, compared with SVM and LR, the performance of the GBDT is more predictable and controllable. The error rate of the GBDT decreases with increasing training data. Compared with using the S21 parameter, S11 is more representative of electrical connection fault characteristics. Thus, it is a better choice for training and testing a classifier and the predictive algorithms tend to behave better when using the S11 parameter. In addition, the classification accuracy is related with the fault location. The two faults that are close to each other in terms of their impact on the electrical performance of the circuit may cause some classification algorithms to confuse the two fault modes.
Author Contributions
Conceptualization, Z.W.; data curation, J.L.; funding acquisition, J.G.; investigation, Z.W. and G.T.F.; project administration, J.G. and Z.C.; software, J.L., K.S. and W.Y.; supervision, J.G.; writing—original draft, Z.W.; writing—review and editing, G.T.F. and Z.C. All authors have read and agreed to the published version of the manuscript.
Funding
This work was supported by the National Natural Science Foundation of China (No.51877010).
Acknowledgments
This work was supported in part by the National Natural Science Foundation of China (No.51877010) and in part by the NSF Center for Advanced Vehicle and Extreme Environment Electronics (CAVE3) at Auburn University.
Conflicts of Interest
The authors declare no conflict of interest.
References
- Binu, D.; Kariyappa, B.S. RideNN: A New Rider Optimization Algorithm-Based Neural Network for Fault Diagnosis in Analog Circuits. IEEE Trans. Instrum. Meas. 2019, 68, 2–26. [Google Scholar] [CrossRef]
- Tan, Y.; He, Y.; Cui, C.; Qiu, G. A Novel Method for Analog Fault Diagnosis Based on Neural Networks and Genetic Algorithms. IEEE Trans. Instrum. Meas. 2008, 57, 2631–2639. [Google Scholar]
- Yang, C.; Zhen, L.; Hu, C. Fault Diagnosis of Analog Filter Circuit Based on Genetic Algorithm. IEEE Access 2019, 7, 54969–54980. [Google Scholar] [CrossRef]
- Yang, C. Multiple Soft Fault Diagnosis of Analog Filter Circuit Based on Genetic Algorithm. IEEE Access 2020, 8, 8193–8201. [Google Scholar] [CrossRef]
- Shi, J.; He, Q.; Wang, Z. GMM Clustering-Based Decision Trees Considering Fault Rate and Cluster Validity for Analog Circuit Fault Diagnosis. IEEE Access 2019, 7, 140637–140650. [Google Scholar] [CrossRef]
- Wang, J.; Kang, J.; Hou, G. Real-Time Fault Repair Scheme Based on Improved Genetic Algorithm. IEEE Access 2019, 7, 35805–35815. [Google Scholar] [CrossRef]
- Yuan, L.; He, Y.; Huang, J.; Sun, Y. A New Neural-Network-Based Fault Diagnosis Approach for Analog Circuits by Using Kurtosis and Entropy as a Preprocessor. IEEE Trans. Instrum. Meas. 2010, 59, 586–595. [Google Scholar] [CrossRef]
- Vasan, A.S.S.; Long, B.; Pecht, M. Diagnostics and Prognostics Method for Analog Electronic Circuits. IEEE Trans. Ind. Electron. 2013, 60, 5277–5291. [Google Scholar] [CrossRef]
- Huang, Z.; Wang, Z.; Zhang, H. A Diagnosis Algorithm for Multiple Open-Circuited Faults of Micro-grid Inverters Based on Main Fault Component Analysis. IEEE Trans. Energy Convers. 2018, 33, 925–937. [Google Scholar] [CrossRef]
- Kang, S.; Ahn, Y.; Kang, Y.; Nam, S. A Fault Location Algorithm Based on Circuit Analysis for Untransposed Parallel Transmission Lines. IEEE Trans. Power Deliv. 2009, 24, 1850–1856. [Google Scholar] [CrossRef]
- Slade, P.G. (Ed.) Electrical Contacts: Principles and Applications, 2nd ed.; CRC Press: Boca Raton, FL, USA, 2014. [Google Scholar]
- Ji, R.; Flowers, G.T.; Gao, J.; Cheng, Z.; Xie, G. High-frequency characterization and modeling of coaxial connectors with degraded contact surfaces. IEEE Trans. Compon. Packag. Manuf. Technol. 2018, 8, 447–455. [Google Scholar] [CrossRef]
- Ji, R.; Gao, J.; Xie, G.; Jin, Q. Fault Analysis and Diagnosis of Coaxial Connectors in RF Circuits. IEICE Trans. Electron. 2017, 100, 1060–1152. [Google Scholar] [CrossRef]
- Wang, Z.; Gao, J.; Flowers, G.T.; Yi, W.; Wu, Y.; Cheng, Z. The Impact of Connection Failure of Bonding Wire on Signal Transmission in Radio Frequency Circuits. IEEE Trans. Compon. Packag. Manuf. Technol. 2020, 10, 1729–1737. [Google Scholar] [CrossRef]
- Song, K.; Gao, J.; Flowers, G.T.; Wang, Z.; Li, Q.; Yi, W. Impact of the Ball Grid Array Connection Failures on Signal Integrity. In Proceedings of the 2020 IEEE 66th Holm Conference on Electrical Contacts, San Antonio, TX, USA, 24–27 October 2020; pp. 79–84. [Google Scholar]
Publisher’s Note: MDPI stays neutral with regard to jurisdictional claims in published maps and institutional affiliations. |
© 2021 by the authors. Licensee MDPI, Basel, Switzerland. This article is an open access article distributed under the terms and conditions of the Creative Commons Attribution (CC BY) license (https://creativecommons.org/licenses/by/4.0/).
















