Abstract
In the design stage of energy systems in buildings, accurate load boundary conditions are the key to achieving energy supply and demand balance. Compared with the building cold and heat load, the generation of building electrical load has stronger randomness, and the current standard electrical load calculation method cannot reflect this feature. Therefore, this paper proposes a bottom-up high time resolution power load generation method for office buildings. Firstly, the non-homogeneous Markov chain is used to establish the random mobility model of personnel in office buildings, and the building electrical appliances are divided into four categories according to the different driving modes of personnel to electrical appliances in office buildings. Then, based on the personnel mobility model, the correlation between the use of electrical appliances in office buildings and the personnel in the room is established to construct the random power simulation model of different types of electrical appliances. Finally, the electric load of different types of electrical appliances is superimposed hourly to generate a random daily load curve. In order to verify the validity of the model, an office building is simulated and compared with the measured electrical load value. The verification results show that the model well reflects the daily distribution characteristics of electric load. The simulation value and the measured value are used for statistical analysis. The evaluation results show that the correlation between the simulation value and the measured value is high, which further illustrates the validity and accuracy of the model.
1. Introduction
The energy consumption of public buildings is about 20% of the total consumption of the building sector in China and 32.5% of it is due to office buildings [1]. In 2021, China’s two sessions put forward the “carbon peak” and “carbon neutral” goals for the first time. In this context, the use of renewable energy is an effective way to reduce fossil fuels’ energy consumption. When designing a building energy system, three main questions usually arise: (i) Which energy technology should be used? (ii) What is the optimal capacity? (iii) Which control strategy should be adopted? The answers to these questions are usually highly dependent on load boundary. Accurate design boundary is the premise and foundation to ensure reliable and economic operation of the energy system.
Traditional building energy system design methods are basically based on the prerequisite of meeting the basic energy consumption requirements of the building in accordance with relevant regulations and appropriately equipped with the necessary equipment to meet the national energy-saving requirements [2]. The load demand of the whole building is calculated according to the cold, heat, and electrical load indexes designed per unit area of the building. Or using the coefficient method, according to historical statistical data, one can calculate the relevant proportional coefficient, and then analyze and establish the prediction model. For traditional methods, they are generally static models and do not consider their changing laws over time [3]. With the development of renewable energy, renewable energy carriers such as integrated energy systems and distributed energy systems have become new design forms [4]. When the design perspective is from the wide-area scale such as the city to the local scale of the region and the building, the random feature of the building energy demand becomes a significant feature [5]. If the load changes with time are not considered in the design stage, it is easy to cause unreasonable system equipment configuration [6]. How to construct a design load considering random characteristics is a key link in the reliability design of building renewable energy systems. In addition, constructing the operating load with random characteristics has become the key to realizing the matching of energy supply and demand and the efficient design of the system [7]. In this case, scholars use pre-made standardized load curves or load curves based on statistical analysis of field measurements [8,9,10,11]. This method can cause the results to over-adapt to the input load curve, especially when considering larger buildings. The combination of some available measured load curves may lead to statistically uncorrelated results [2]. In addition, the level of time resolution plays an important role in the scale and controller design of the energy system [12]. Measurement data with high time resolution is difficult to retrieve at first and may suffer from measurement errors or be limited to a few data sets. On the other hand, electrical load is more random than heating and cooling loads. In addition to the lack of data mentioned above, this purely descriptive method also lacks insight into the presence of people in the room and the use of appliances. Using a random model to generate a load curve can overcome these shortcomings, because the load curve of each output will definitely be different from the load curve that has been generated. Therefore, it is necessary to establish a random electrical load curve model.
At present, there are two commonly used stochastic load curve modeling methods: one is top-down method, and the other is bottom-up method. In the top-down method, the research object is based on a set of measured load curves, which is used to describe the characteristics of input data, and then the load model is formulated according to the extracted characteristics [13]. In the bottom-up method, the appliances are the research object, focusing on the use mode of each appliance and using this to obtain the total electricity consumption [14].
The top-down models use mathematical techniques such as regression, statistics, or econometric methods. In this model, the author tries to explain domestic electricity demand with the help of some different independent variables. Hirst [15] first tried to introduce an econometric regression model, selecting a number of socio-economic variables and demographic and technical characteristics to estimate the annual residential load of American cities. The socio-economic variables of the model reflect changes in social policies and human behavior, while technical variables reflect the differences in efficiency of different end-uses. Based on Hirst’s research results, Bentzen and Engsted [16] used a simple regression model to simulate the electricity consumption of residential buildings in Denmark; Fintan et al. [11] proposed a multiple linear regression model that uses social and economic factors such as housing type, number of bedrooms, and age of the head of the household to predict the total electricity consumption, maximum demand, load rate, and use time of a single-family household. Both studies have found a close coupling relationship between electricity consumption and income and electricity prices. Julián Pérez-García [17] also considered long-term trends such as economic growth, electricity prices, and demographic changes and predicted the long-term hourly electricity load in Spain. Research based on econometric models focuses on the relationship between electricity demand, income, and electricity prices, but there is insufficient consideration of outdoor temperature, seasons, and other climatic factors. Summerfield et al. [18] compared the total energy consumption and temperature changes in British residential buildings in 1970 and used multiple linear regression to analyze the relationship between household energy consumption, outdoor temperature, and energy prices. Labandeira et al. [19] used various factors including demographic, economic, and climate variables to estimate the detailed building energy consumption in Spain. Their research used regression models to estimate electricity consumption. Wenz et al. [20] used regression methods to evaluate the temperature dependence of the total power load in different countries. Based on the forecast of future temperature changes, the power demand and peak load changes are estimated.
Top-down models are mainly based on the relationship between income, energy prices, and gross domestic product (GDP) and other variables. They can also include the general climatic conditions of a country. Therefore, the top-down model focuses more on the macroeconomic trends and relationships observed in the past rather than individual factors in buildings that may affect energy demand. Moreover, for a single building, it is difficult for the micro level to have a significant relationship with the economic form; the trend is insufficient, and the randomness is significant. The use of the bottom-up model overcomes the above shortcomings. The bottom-up method represents power consumption based on detailed end-use information.
The bottom-up model has differences in the description of human behavior and the description of the use of electrical appliances. About member behavior description, Walker and Pokoski [21] used availability function and propensity function to describe people’s activities in the house, and then extracted the appliance usage probability to generate residential electrical load. Widén et al. [22] proposed a stochastic bottom-up model that combines household living patterns and daylight availability data. The Markov chain is used to generate occupancy patterns, and the conversion model converts the occupancy patterns into lighting requirements relative to daylight levels. Anna [23] proposed a probabilistic-empirical electricity load model. It takes into account the number of residents and their attitudes towards electrical appliance use and combines Danish ownership statistics, power consumption data, daily use patterns of electrical appliances, and empirical data of household electricity consumption to build a model and finally generates 1 min resolution of household electricity demand. Akhila Jambagi [24] developed a residential electricity demand model. The model classifies families according to the number of family members, as well as their differences in behavior and energy consumption. And the activity-based modeling method was used to model and categorize the loads of each terminal appliances so that the working patterns of different appliances can be reflected. C. Sandels et al. [25] determined the probability of family members moving between different states in a day based on the inhomogeneous Markov chain, and then established a model of various energy-consuming activities at home based on individual behaviors to predict the Swedish family’s electrical load distribution. In the subsequent research by Sandels et al. [26], Markov chain was used to simulate the state of office workers in the room, and the behavior of office workers was linked with the electricity consumption of electrical appliances; a bottom-up model was established to generate a representative office building power load curve in Northern Europe. About the description of appliances, Capasso et al. [27] modeled the start and duration of a single electrical appliance based on the use time survey in Italy, and then attached the rated load to each electrical appliance. Finally, the load curve of the house was established by summarizing the consumption of each electrical appliance. Paatero and Lund [28] modeled the startup probability of a single electrical appliance as a stochastic process according to seasonal and social factors. After defining household appliance and overall load fluctuation trend for each household based on statistical data, the electrical load is simulated by adding rated power according to startup probability. Foteinaki et al. [29] combined the rated power of the appliance with the behavioral activities of the occupants. Based on the Danish Time Use Survey (DTU), they proposed two methods for modeling household load curves. The first method, DTU’s overview of occupant activity, is directly used to determine activity at 10-min intervals. The second method uses the probability of the start time and duration of the occupant activity to determine the activity.
Basically, the idea of the bottom-up method is to establish a total load curve starting from electrical appliance. However, in the research of existing scholars, the focus of appliance modeling considerations is almost always on the modeling of the appliance startup process, and then assigning the rated power and operating cycle of the electrical appliances. Few people consider the different power usage after the appliance is started. However, for most appliances, the power used has a certain randomness. In addition, almost all of the appliance models involved in the existing literature are a single model for all types of electrical appliances, but the actual use of different types of electrical appliances is somewhat different. Therefore, this article aims to establish different random power simulation models for different types of electrical appliances based on the presence of personnel in the room to reflect their actual use and then generate electrical load distribution of the office building.
This paper proposes a bottom-up model for generating electrical load in office building, using a combination of personnel model and appliance model. First, Markov chain is used to obtain the personnel in the room, and the electrical appliances are classified according to the personnel’ s driving of electrical appliances. Then, the correlation between the use of electrical appliances and the personnel in the room is established, and the power simulation model of various types of appliances is established based on the randomness of opening and the randomness of appliance power value. Finally, all electrical loads are aggregated to get the daily power load curve of office buildings. In order to verify that the model generated a representative load curve, it was applied to a four-story office building, and the feasibility and accuracy of the model were demonstrated by comparing the simulation results with the measured results. As the specific air-conditioning system plan cannot be determined at the design stage, the electrical load of the air conditioning cannot be determined. Therefore, the electrical load of the model in this paper is the non-air-conditioning electrical load for the lighting and sockets in the building.
2. Modeling Approach
In this section, the basic functions and characteristics of the bottom-up simulation model are described. The model consists of three modules: (a) a personnel model reflecting the presence of people in the office building; (b) an appliance selection process for determining appliance combinations in the office building; and (c) an appliance model reflecting the use of electrical appliances in the office building. (a) is driven by the behavior attributes of indoor personnel and (b) is determined by the ownership rate of office building electrical appliances provided by the China National Bureau of Statistics. Module (c) includes appliance classification and power simulation components, depending on the properties of the building, work schedule, and the output of modules (a) and (b). The basic functions and interrelationships of the modules are shown in Figure 1. The modules are described in detail below.
Figure 1.
Bottom-up modeling system of daily electrical load curve for office building.
2.1. Personnel Model
A non-homogeneous Markov chain is used to simulate the presence of indoor personnel. Electrical appliances related to personnel can only be used when the person is indoors, so it is assumed that the working person is in one of two states: in the room or not in the room. The specific use of electrical appliances in the room will be described in Section 2.3. The transition probability defines the probability of transition from state i to state j between discrete time steps t − 1 and t [30]. Figure 2 below reflects the transition of indoor personnel between the two states; for example, the probability of transition from the state at time t to the state at time t + 1 is . Temporal correlation is reflected by state transitions at adjacent times.
Figure 2.
Status transfer of personnel in the office building at time t.
Since either of the two possible transfers must occur, at the same moment, the sum of the probability of transition to state 1 and the probability of transition to state 2 is 1, that is, the transfer probability . The calculation process of effective number is shown in Figure 3; specific steps are as follows:
Figure 3.
Algorithmic process to determine the effective number of people.
- Enter the total number of people M, the current time t, the current state i, and the transition probability matrix at different times;
- Randomly sample the number r between 0 and 1 in each time step and compare it with the transition probability to determine the status of the person in the room;
- Determine the effective number of people in the office building by performing the entire sequence of random sampling M times.
M represents the total number of people in the office building, that is, how many independent Markov chains are implemented, and the value of M is determined by the area index method. The following Equation (1) can be defined to reflect whether people are in the room:
If is 1, it means that the person is in the room, and if it is 0, the person is not in the room. The effective number of people in the office building can be obtained as Equation (2):
This article is based on Vattenfal AB (a Swedish Public Utility Company, Solna, Sweden) [31] to determine the Markov chain transition probability. The agency uses sensors to collect the number of people in 47 offices in an office building, determines the number of experience transfers between states, and then calculates the transition probability as Equation (3):
The sensor data is pooled into 96 data sets, one for each 15-min time step in a day, over all workdays and all office rooms. This means that the resulting transition probabilities are for an average office room on an average workday.
2.2. Selection of Appliances
There are many kinds of electrical appliances involved in office buildings. At the design stage, the building has not been put into use, and the specific electrical appliance combination cannot be determined. Based on the appliance ownership rate of office buildings provided by China National Bureau of Statistics, the appliance combination is determined by Monte Carlo extraction. Using the generated random number and comparing it with the ownership rate of different electrical appliances to determine whether the electrical appliance is owned, one repeats the cycle until all electrical appliances are compared and finally determines the actual ownership of the electrical appliances in the office building. The flow chart of the appliance selection process is shown in Figure 4.
Figure 4.
The algorithm flow of determining appliance combination in an office building.
2.3. Appliance Model
In this section, the power simulation models of different types of electrical appliances are described. Based on the above personnel model, the electrical load curve of the office building is generated by comprehensively considering the on state of the electrical appliance and the random power value of the electrical appliance.
2.3.1. Appliance Classification
Fundamentally speaking, electricity consumption is a random process, affected by the following factors: (i) the physical properties of the building, (ii) the load parameters of the appliances used, and (iii) the specific usage of the appliances [27]. So far, factor (iii) is the most complicated estimation factor because it is related to weather dynamics and indoor occupants’ behavior [32]. The room-occupancy rate is the driving factor of energy use [33], and it plays an important role in the change of energy consumption, so the modeling method of electrical appliances is based on the presence of indoor personnel. According to the driving of electrical appliances by indoor personnel, electrical appliances can be divided into the following four categories:
- (i)
- Base Appliances: the behavior of indoor personnel has nothing to do with the power value, and the rated power is always maintained, such as security monitoring, or the power value changes periodically, such as water dispenser.
- (ii)
- Single-Use Appliances: appliances owned by every person in the room, such as computer.
- (iii)
- Communal Appliances: appliances shared by at least two or more people, such as printer, projector, paper shredder, etc.
- (iv)
- Other Appliances: in addition to the above types of electrical appliances, other electrical appliances related to work and rest time and the number of indoor personnel, such as elevators and office lighting.
The following will introduce the power simulation models corresponding to different types of electrical appliances.
2.3.2. Power Simulation Model
- (i)
- Base Appliances
The instantaneous power of the base appliance is the rated power at the current moment, and the calculation formula is as Equation (4):
where is the rated power of the electrical appliance at time t.
- (ii)
- Single-Use Appliances
Single-Use Appliances, mainly referring to the computer, combined with simple practical research can determine the power distribution between 0 and 150 W. The range of potential computer power is divided into several intervals of 10 W, and the power usage probability in different intervals is calculated every 15 min. Monte Carlo extraction is used to determine the instantaneous power of the computer. Using random number to compare with cumulative probability and determine the instantaneous power of a single computer at time t as Equation (5):
where is the power value of the computer in the kth interval, β is the random number, and is the probability of power in different intervals at time t. Combined with the effective number of electricity users determined by the personnel model, the total power of all computers at time t is obtained as Equation (6):
The specific calculation process is shown in Figure 5:
Figure 5.
Computer instantaneous power value calculation process.
- (iii)
- Communal Appliances
For Communal Appliances, it is assumed that the average power is linearly correlated with the effective number of people [25], and the calculation formula is as Equation (7):
For different appliance m, is the standby power, is the power used, is the total number of appliances m, and the calculation formula is as in Equation (8). is the number of effective power users; the calculation formula is as Equation (9):
where is the sharing coefficient of appliance m, reflecting how many people use appliance m together.
where is the use probability of different appliances. The instantaneous power value of communal appliances can be determined by summarizing various appliances, as Equation (10):
- (iv) Other Appliances
Apart from base appliances, single-use appliances, and communal appliances in an office building, there are still appliances related to working hours and the number of personnel, including elevators and office lighting. The power of the elevator is determined according to the change of the effective number of people, as Equation (11):
where is the standby power of the elevator, and is the operating power.
Office lighting power is determined according to the effective number and vertical solar radiation, as Equation (12):
where is the per capita power density of office lighting, is the vertical solar radiation at time t, and are the upper and lower limits of vertical solar radiation.
Finally, the total power load of office buildings can be determined by superposition of the loads of various types of appliances as Equation (13):
3. Model Validation and Analysis
In this section, combined with a case of an office building, the simulation results of the electrical load of this building are given. The simulation and measured values are displayed together, and the comparative evaluation and analysis are performed to verify the validity of the model.
3.1. Simulation Case Introduction
This case is an office building with four floors in Tianjin, China. The total construction area is 2519 m2. The first and second floors are exhibition halls, the third floor is an open office area, and the fourth floor is a number of single-person office areas. Working hours are from Monday to Friday from 9:00 to 18:00, and there is very little overtime. The electrical load of the office building was monitored for a continuous week of working days, and the step length was 15 min to obtain the measured electrical load distribution of a week of working days.
3.2. Simulation Results and Analysis
3.2.1. Determine the Number of Effective Electricity Users
Based on the above office building information, the staff density of the office building is taken as 0.25 person/m2; combined with the actual situation and using the area index method, the total number of people in the office building is set to 629. According to the personnel model, the distribution of the effective number of working days in a week is shown in Figure 6. It can be seen that the distribution trend of the effective number of people per day is roughly the same.
Figure 6.
Distribution of effective number of people on working days in a week.
A working day is selected to analyze the changes in the effective number of people, as shown in Figure 7. Judging from the distribution of the effective number of people, there is a peak in the morning and the afternoon and a valley during the lunch break. This is caused by the fixed work and rest time of the office building. There is a certain amount of overtime outside of working hours, so there is also a smaller number of people.
Figure 7.
Distribution of effective number of people on a working day.
3.2.2. Selection of Appliances
According to the office building appliance ownership rate provided by China National Bureau of Statistics in Table 1, the office building appliance combinations are printers, projectors, scanners, computers, security monitoring, water dispensers, network-related equipment, and elevators.
Table 1.
Office building appliance ownership rate.
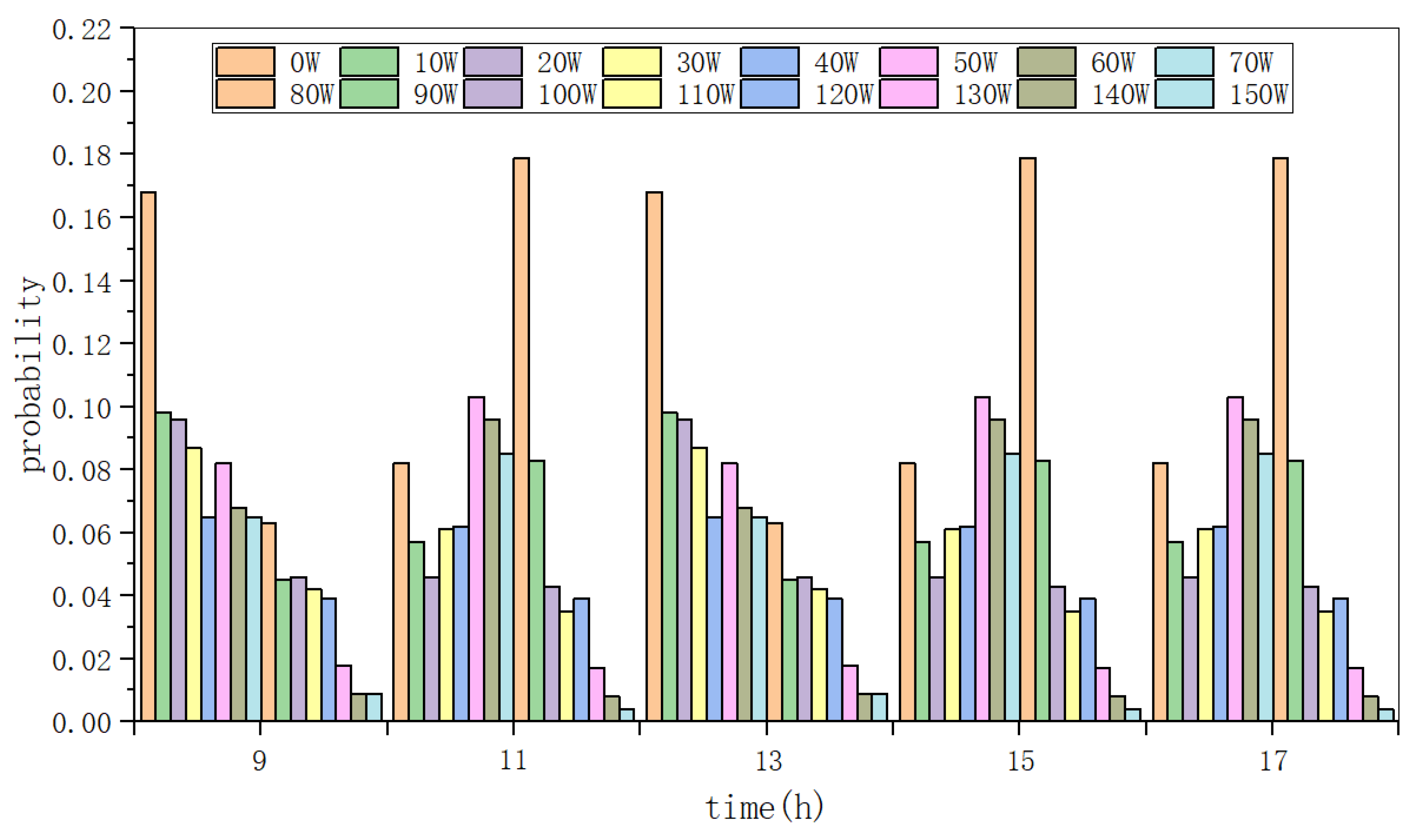
According to Reference [34], the different usage probabilities of computers at different power levels 24 h a day can be determined. Figure 8 below takes 9:00–17:00 as an example, showing the use probability of different power computers:
Figure 8.
Probability of different power usage of computer at different time.
According to the survey of the use of appliances by China National Bureau of Statistics, the probability of using printers, projectors, and scanners at different times can be determined as shown in Figure 9:
Figure 9.
Probability of using different appliances at different times.
According to the general power value of appliances determined by simple statistical investigation, the standby power and working power values of the above-identified appliances are obtained as shown in Table 2:
Table 2.
Appliance parameters in the office building.
For lighting, the gallery lamp maintains a rated power of 48 W, and the power density of office lighting is 9 W/person.
3.2.3. Simulation Results and Analysis
According to the appliances selected above, the classification of appliances can be determined. The base appliances are security monitoring, water dispensers, network-related equipment, and gallery lights; single-use appliances are computers; communal appliances are printers, projectors and scanners; other appliances are elevators and office lighting. Selecting one day of the working day for electrical load simulation and obtaining the electrical load distribution as shown in Figure 10:
Figure 10.
Electrical load distribution of a certain working day in the office building.
It can be seen that the distribution of the electrical load is similar to the distribution of the effective number of people, and both are bimodal distributions. During working hours, single-use appliances like computers account for most of the electrical load, and lighting accounts for a relatively high proportion. During non-working hours, since communal appliances maintain standby load when none are in use, the proportion is relatively high.
Carrying out the simulation for a continuous week working day, the comparison between the simulation results and the measured results is shown in Figure 11. The figure illustrates the hourly changes in simulation and measured electrical load data during a normal working day. On the whole, the hourly load changes of the simulated value and the measured value are similar. The model reproduces the low base load at night (0:00 to 6:00) and the increase in consumption in the morning (7:00 to 9:00). The load change during working hours (from 9:00 to 18:00) is very limited, but the load value during lunch time (around 12:00 to 13:00) will decrease. In the late afternoon (after 18:00), the power consumption will drop rapidly and stabilize at the base load level. The model accurately reproduces these types of load changes.
Figure 11.
Comparison result of simulated value and measured value for one consecutive week.
The probability density of the simulated and the measured hourly electrical load in the office building within a week are compared, as shown in Figure 12. It can be seen that these two functions seem to come from the same distribution family, that is, a distribution with two different peaks. The phase difference between the low load peak and the high load peak is also detected, where the simulated value lags the measured value.
Figure 12.
Comparison result of the load probability density of the hourly simulated value and the measured value of the office building every day of the week.
The maximum, minimum, and average values of simulated value and measured value in each day of a week are compared to verify the effectiveness of the model. As shown in Table 3, the maximum relative error is 11.63%. Within the acceptable range, the simulated value has a high consistency with the measured value, so the model is more accurate.
Table 3.
Comparison of maximum, minimum, and average values between simulated and measured value.
Figure 13 shows the comparison of the total load change between the simulated value and the measured value within a week. It can be seen that the load variability of the simulated value during the working day is higher than the measured value.
Figure 13.
Comparison result of simulated value and measured value of total load.
The above shows a fitting linear regression model based on total simulation value and measured value of electrical load of a week. The linear model outputs the following statistical measures: (a) model slope coefficient value β, (b) statistical significance p-value, (c) determination coefficient , and (d) root mean square error (RMSE). Table 4 lists the results of the regression analysis, which show the correlation between the simulated value and the measured value. Both β and are high, which shows that the simulation model reproduces the changing law of the electrical load in the office building well. The RMSE is 1.558 kW, which proves that the simulated value is largely consistent with the measured value.
Table 4.
Regression statistical analysis results of the total simulated value and the measured value of the electrical load on each day of the week.
4. Discussion
Compared with other modeling methods, such as detailed building simulation model and time series model, the proposed simulation model does not model the turn-on probability of electrical appliances alone but integrates human behavior into the appliance model and determines its use state according to the power value of electrical appliances at different times. Different from the previous literature that only considers the rated power, the model in this paper comprehensively considers the randomness of the appliance switching on and the randomness of the appliance power value. Since the power value of the appliance is often changed during use, only the rated power will affect the final load curve, so it is very important to include this factor in the analysis. According to Figure 11, the actual measured electrical load distribution presents a peak in the morning and afternoon respectively. In contrast, the simulated load is lower than the measured load in the late afternoon, but overall, it conforms to the characteristics of a bimodal distribution. Further combining the load density distribution of Figure 12, it can be determined that the model in this paper better reflects the actual electricity consumption of the building.
On the other hand, this article classifies electrical appliances according to the drive of people and has a corresponding power simulation model for each type of electrical appliance. Therefore, this model can output the load status of different types of appliances in the office building during all time periods. Figure 10 can reflect this, which can more accurately capture the change trend of the electrical load of the office building. Finally, the statistical comparison between simulated and measured values provides an additional advantage. According to the comparison of the maximum, minimum, and average values of the simulated and measured values in Table 3, it can be seen that the relative error is between 2.04% and 11.63%, which is within an acceptable range of small errors. According to the regression analysis results of the total daily load of the simulated and measured values in Table 4, it can be seen that the slope coefficient is 0.7073 and the coefficient of determination is 89.29%, which proves that the simulated and measured values are highly correlated. In addition, the value of RMSE is 1.558, which proves that for every additional 1 kW of actual measured load, the simulated load is close to an increase of 1.558 kW. In summary, the bottom-up model of this paper can simulate the load curve representing the target consumer group.
5. Conclusions
This paper presents a bottom-up electrical load simulation model. The non-homogeneous Markov chain is used to determine the personnel in the room, and the effective number of electricity users is further obtained. According to the classification of the driver of electrical appliances, the use characteristics of different types of electrical appliances are described, and the randomness of the use of electrical appliances is taken into account. Different power simulation models for different types of electrical appliances are established according to the situation of people in the room. In the construction of random power simulation model, both the randomness of electrical appliance use behavior and the randomness of electrical appliance use power are considered. The load state of different types of electrical appliances in all time periods can be obtained, and the trend of electrical load in office buildings can be accurately captured. The model is applied to an actual office building, and the simulation results are in good agreement with the measured results, which verifies the accuracy and universality of the model. This provides valuable information for the discussion of the bottom-up model of office power consumption and also provides support for the design of renewable energy utilization aimed at improving energy efficiency, energy conservation, and environmental protection. When small-scale building energy systems are incorporated into local distribution networks or demand-side management, the representative daily load curve generated in this article is also an important foundation.
Author Contributions
Conceptualization, Z.T.; Investigation, S.C.; Methodology, S.C.; Project administration, X.W. and J.N.; Software, S.C.; Supervision, Z.T.; Writing—original draft, S.C.; Writing—review & editing, X.W. All authors have read and agreed to the published version of the manuscript.
Funding
This research was funded by National Natural Science Foundation of China “Directional Extraction of Heat Flux Components from Building Heat Loss based on Time Series Data Disaggregation”, grant number 51778407.
Acknowledgments
This work was supported by National Natural Science Foundation of China “Directional Extraction of Heat Flux Components from Building Heat Loss based on Time Series Data Disaggregation” (No. 51778407).
Conflicts of Interest
The authors declare no conflict of interest.
Abbreviations
| upper limits of solar radiation | |
| lower limits of solar radiation | |
| power of single-use appliance at kth level | |
| vertical solar radiation at time t | |
| K | power levels of single-use appliance |
| occupancy | |
| M | total number of office building |
| number of effective power users | |
| power of base appliances | |
| rated power of base appliances | |
| power of one single-use appliance | |
| power of single-use appliance | |
| probability of single-use appliance power at different levels | |
| per capita power density of office lighting | |
| power of appliance m | |
| standby power of appliance m | |
| used power of appliance m | |
| power of communal appliances | |
| power of elevator | |
| standby/used power of elevator | |
| power of office lighting | |
| P | power of office building |
| sharing coefficient of appliance m | |
| t | time |
| use probability of appliance m | |
| number of appliance m | |
| number of effective power users of appliance m | |
| r | random variables with uniform distribution on [0, 1] |
References
- Wang, Z.X.; Ding, Y.; Geng, G.; Zhu, N. Analysis of energy efficiency retrofit schemes for heating, ventilating and air-conditioning systems in existing office buildings based on the modified bin method. Energy Convers. Manag. 2014, 77, 233–242. [Google Scholar] [CrossRef]
- Fischer, D.; Hartl, A.; Wille-Haussmann, B. Model for electric load profiles with high time resolution for German households. Energy Build. 2015, 92, 170–179. [Google Scholar] [CrossRef]
- Zatti, M.; Gabba, M.; Freschini, M.; Rossi, M.; Gambarotta, A.; Morini, M.; Martelli, E. k-MILP: A novel clustering approach to select typical and extreme days for multi-energy systems design optimization. Energy 2019, 181, 1051–1063. [Google Scholar] [CrossRef]
- Voropai, N.; Stennikov, V.; Senderov, S.; Barakhtenko, E.; Voitov, O.; Ustinov, A. Modeling of integrated energy supply systems: Main principles, model, and applications. J. Energy Eng. 2017, 143, 04017011. [Google Scholar] [CrossRef]
- Min, D.; Ryu, J.H.; Choi, D.G. A long-term capacity expansion planning model for an electric power system integrating large-size renewable energy technologies. Comput. Oper. Res. 2018, 96, 244–255. [Google Scholar] [CrossRef]
- Liu, P.; Georgiadis, M.C.; Pistikopoulos, E.N. An energy systems engineering approach for the design and operation of microgrids in residential applications. Chem. Eng. Res. Des. 2013, 91, 2054–2069. [Google Scholar] [CrossRef]
- Wang, J.; Li, K.-J.; Liang, Y.; Javid, Z. Optimization of Multi-Energy Microgrid Operation in the Presence of PV, Heterogeneous Energy Storage and Integrated Demand Response. Appl. Sci. 2021, 11, 1005. [Google Scholar] [CrossRef]
- Wang, C.H.; Grozev, G.; Seo, S. Decomposition and statistical analysis for regional electricity demand forecasting. Energy 2012, 41, 313–325. [Google Scholar] [CrossRef]
- McLoughlin, F.; Duffy, A.; Conlon, M. Characterising domestic electricity consumption patterns by dwelling and occupant socio-economic variables: An Irish case study. Energy Build. 2012, 48, 240–248. [Google Scholar] [CrossRef] [Green Version]
- McLoughlin, F.; Duffy, A.; Conlon, M. Evaluation of time series techniques to characterise domestic electricity demand. Energy 2013, 50, 120–130. [Google Scholar] [CrossRef] [Green Version]
- Bucher, C.; Andersson, G. Generation of Domestic Load Profiles—An Adaptive Top-Down Approach. In Proceedings of the 12th International Conference on Probabilistic Methods Applied to Power Systems (PMAPS), Istanbul, Turkey, 10–14 June 2012. [Google Scholar]
- Gao, B.; Liu, X.; Zhu, Z. A Bottom-Up Model for Household Load Profile Based on the Consumption Behavior of Residents. Energies 2018, 11, 2112. [Google Scholar] [CrossRef] [Green Version]
- Hoverstad, B.A.; Tidemann, A.; Langseth, H.; Ozturk, P. Short-Term Load Forecasting with Seasonal Decomposition Using Evolution for Parameter Tuning. IEEE Trans. Smart Grid 2015, 6, 1904–1913. [Google Scholar] [CrossRef]
- Chuan, L.; Ukil, A. Modeling and Validation of Electrical Load Profiling in Residential Buildings in Singapore. IEEE Trans. Power Syst. 2014, 30, 2800–2809. [Google Scholar] [CrossRef] [Green Version]
- Hirst, E.; Lin, W.; Cope, J. Residential energy use model sensitive to demographic, economic, and technological factors. Q. Rev. Econ. Bus. 1977, 17. Available online: https://www.osti.gov/biblio/7088026-residential-energy-use-model-sensitive-demographic-economic-technological-factors (accessed on 1 November 2021).
- Bentzen, J.; Engsted, T. A revival of the autoregressive distributed lag model in estimating energy demand relationships. Energy 2001, 26, 45–55. [Google Scholar] [CrossRef]
- Moral-Carcedo, J.; Garcia, J.P. Integrating long-term economic scenarios into peak load forecasting: An application to Spain. Energy 2017, 140, 682–695. [Google Scholar] [CrossRef]
- Summerfield, A.J.; Lowe, R.J.; Oreszczyn, T. Two models for benchmarking UK domestic delivered energy. Build. Res. Inf. 2010, 38, 12–24. [Google Scholar] [CrossRef]
- Labandeira, X.; Labeaga, J.M.; Rodriguez, M. A residential energy demand system for Spain. Energy J. 2006, 27, 87–111. [Google Scholar] [CrossRef] [Green Version]
- Wenz, L.; Levermann, A.; Auffhammer, M. North–south polarization of European electricity consumption under future warming. Proc. Natl. Acad. Sci. USA 2017, 114, E7910–E7918. [Google Scholar] [CrossRef] [PubMed] [Green Version]
- Walker, C.F.; Pokoski, J.L. Residential Load Shape Modeling Based on Customer Behavior. IEEE Trans. Power Appar. Syst. 1985, 7, 1703–1711. [Google Scholar] [CrossRef]
- Widen, J.; Nilsson, A.M.; Wackelgard, E. A combined Markov-chain and bottom-up approach to modelling of domestic lighting demand. Energy Build. 2009, 41, 1001–1012. [Google Scholar] [CrossRef]
- Marszal-Pomianowska, A.; Heiselberg, P.; Larsen, O.K. Household electricity demand profiles—A high-resolution load model to facilitate modelling of energy flexible buildings. Energy 2016, 103, 487–501. [Google Scholar] [CrossRef]
- Jambagi, A.; Kramer, M.; Cheng, V. Residential electricity demand modelling: Activity based modelling for a model with high time and spatial resolution. In Proceedings of the IEEE 3rd International Renewable and Sustainable Energy Conference (IRSEC), Marrakech, Morocco, 10–13 December 2015. [Google Scholar]
- Sandels, C.; Widen, J.; Nordstrom, L. Forecasting household consumer electricity load profiles with a combined physical and behavioral approach. Appl. Energy 2014, 131, 267–278. [Google Scholar] [CrossRef]
- Sandels, C.; Broden, D.; Widen, J.; Nordstrom, L.; Andersson, E. Modeling office building consumer load with a combined physical and behavioral approach: Simulation and validation. Appl. Energy 2016, 162, 472–485. [Google Scholar] [CrossRef]
- Capasso, A.; Grattieri, W. A bottom-up approach to residential load modeling. IEEE Trans. Power Syst. 1994, 9, 957–964. [Google Scholar] [CrossRef]
- Paatero, J.V.; Lund, P.D. A model for generating household electricity load profiles. Int. J. Energy Res. 2006, 30, 273–290. [Google Scholar] [CrossRef] [Green Version]
- Foteinaki, K.; Li, R.L.; Rode, C.; Andersen, R.K. Modelling household electricity load profiles based on Danish time-use survey data. Energy Build. 2019, 202, 109355. [Google Scholar] [CrossRef]
- Nijhuis, M.; Gibescu, M.; Cobben, J.F.G. Bottom-up Markov Chain Monte Carlo approach for scenario based residential load modelling with publicly available data. Energy Build. 2016, 112, 121–129. [Google Scholar] [CrossRef] [Green Version]
- Vattenfall. Available online: http://corporate.vattenfall.com (accessed on 13 December 2015).
- Fischer, D.; Wolf, T.; Scherer, J.; Wille-Haussmann, B. A stochastic bottom-up model for space heating and domestic hot water load profiles for German households. Energy Build. 2016, 124, 120–128. [Google Scholar] [CrossRef]
- Fischer, D.; Stephen, B.; Flunk, A.; Kreifels, N.; Lindberg, K.B.; Wille-Haussmann, B.; Owens, E.H. Modeling the Effects of Variable Tariffs on Domestic Electric Load Profiles by Use of Occupant Behavior Submodels. IEEE Trans. Smart Grid 2016, 8, 2685–2693. [Google Scholar] [CrossRef] [Green Version]
- Wang, Z.X.; Ding, Y. An occupant-based energy consumption prediction model for office equipment. Energy Build. 2015, 109, 12–22. [Google Scholar] [CrossRef]
Publisher’s Note: MDPI stays neutral with regard to jurisdictional claims in published maps and institutional affiliations. |
© 2021 by the authors. Licensee MDPI, Basel, Switzerland. This article is an open access article distributed under the terms and conditions of the Creative Commons Attribution (CC BY) license (https://creativecommons.org/licenses/by/4.0/).












