Age- and Sex-Adjusted Reference Intervals in Tear Cytokine Levels in Healthy Subjects
Abstract
:Featured Application
Abstract
1. Introduction
2. Materials and Methods
2.1. Study Sample
2.2. Tear Collection and Tear Inflammatory Molecule Analysis
2.3. Data Analysis
2.3.1. Reference Intervals Determination
2.3.2. Model Diagnostics
2.3.3. Reference Intervals Utility
3. Results
4. Discussion
5. Conclusions
Author Contributions
Funding
Institutional Review Board Statement
Informed Consent Statement
Data Availability Statement
Conflicts of Interest
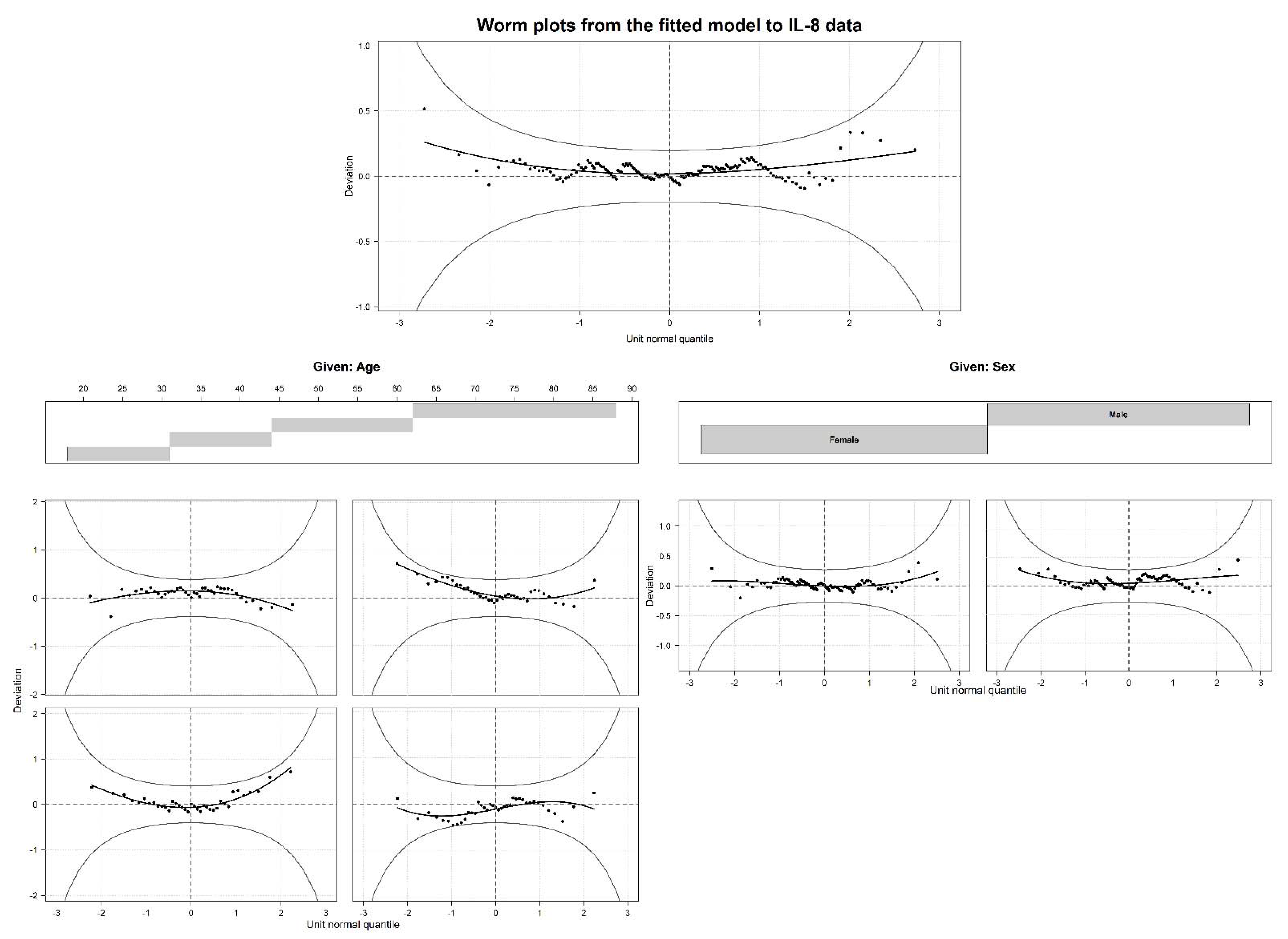
Appendix A. Residual Analysis
- Depending on the number of explanatory variables, four or five residuals plots for checking the normalized quantile residuals of the fitted model:
- -
- Histogram of the residuals adding their kernel smooth density estimate (dotted line) and standard normal density (solid line);
- -
- QQ-normal plot of the residuals;
- -
- Residuals against the fitted values of the μ parameter;
- -
- Residuals against each one of the included explanatory variables.
- Summary statistics of the normalized quantile residuals are also calculated to check deviation from normally assumption. Specifically, mean, variance, skewness, and kurtosis coefficients are estimated and theirs reference values are 0, 1, 0, and 3, respectively.
- Worm plots [26] of the normalized quantile residuals to identify adjustments for some of fitted model parameters. Below are detailed the main features:
- -
- Points on the plot show the gap between the ordered residuals and their approximate expected values from a standard normal distribution, represented by the horizontal dotted line.
- -
- Two elliptic curves represent the approximate point-wise 95% confidence bands. When the model is correct, approximately 95% of the points to lie between the confidence bands. A higher percentage of the points outside the elliptic curves indicates that the fitted terms are inadequate.
- -
- The shape of cubic fitted curve to the points (solid curve) shows inadequacies in the model described in Table A1.
| Shape of the Fitted Curve in the Worm Plot | Deficiencies in the Residuals | Deficiencies in the Fitted Distribution |
|---|---|---|
| Level above the origin | Mean too high | Fitted location parameter (μ) is too low |
| Level below the origin | Mean too low | Fitted location parameter (μ) is too high |
| Line with positive slope | Variance too high | Fitted scale parameter (σ) is too low |
| Line with negative slope | Variance too low | Fitted scale parameter (σ) is too high |
| Curve with U shape | Positive skewness | Fitted skewness parameter (ν) is too low |
| Curve with inverted U shape | Negative skewness | Fitted skewness parameter (ν) is too high |
| Curve with S shape with left bent down | Leptokurtosis (more peaked than that of a normal distribution) | Fitted kurtosis parameter (τ) is too low |
| Curve with S shape with left bent up | Platykurtosis (flatter than that of a normal distribution) | Fitted kurtosis parameter (τ) is too high |
| Mean | Variance | Skewness Coef. | Kurtosis Coef. | |
|---|---|---|---|---|
| (95% CI) | (95% CI) | (95% CI) | (95% CI) | |
| EGF | 0 | 1 | −0.01 | 2.85 |
| (−0.156, 0.16) | (0.814, 1.27) | (−0.324, 0.286) | (2.398, 3.315) | |
| Fractalkine | 0 | 1.01 | 0.05 | 2.74 |
| (−0.158, 0.158) | (0.816, 1.273) | (−0.269, 0.33) | (2.392, 3.15) | |
| IL-1RA | 0 | 1.01 | 0 | 2.92 |
| (−0.158, 0.159) | (0.816, 1.274) | (−0.3, 0.325) | (2.416, 3.492) | |
| IL-7 | 0 | 1.01 | −0.2 | 2.75 |
| (−0.158, 0.158) | (0.816, 1.273) | (−0.543, 0.117) | (2.284, 3.207) | |
| IL-8 | 0.04 | 1 | 0.16 | 2.89 |
| (−0.113, 0.203) | (0.814, 1.271) | (−0.219, 0.453) | (2.409, 3.399) | |
| IP-10 | 0.05 | 1 | −0.15 | 2.97 |
| (−0.108, 0.208) | (0.813, 1.269) | (−0.442, 0.215) | (2.448, 3.496) | |
| MCP-1 | 0 | 1.01 | 0.08 | 2.68 |
| (−0.158, 0.158) | (0.816, 1.273) | (−0.215, 0.375) | (2.269, 3.16) | |
| VEGF | 0.04 | 1.05 | −0.07 | 2.83 |
| (−0.121, 0.203) | (0.855, 1.334) | (−0.369, 0.229) | (2.42, 3.288) |
















Appendix B. Centile Curves Estimation
| Age (Years) | Percentile | ||||
|---|---|---|---|---|---|
| 2.5th | 5th | 50th | 95th | 97.5th | |
| 18 | 32.55 | 50.26 | 508.25 | 3314.48 | 4333.62 |
| 19 | 32.32 | 49.86 | 501.91 | 3260.74 | 4261.06 |
| 20 | 32.10 | 49.47 | 495.64 | 3207.88 | 4189.71 |
| 21 | 31.87 | 49.08 | 489.45 | 3155.87 | 4119.56 |
| 22 | 31.65 | 48.70 | 483.34 | 3104.71 | 4050.58 |
| 23 | 31.43 | 48.31 | 477.31 | 3054.37 | 3982.76 |
| 24 | 31.21 | 47.93 | 471.35 | 3004.86 | 3916.07 |
| 25 | 30.99 | 47.56 | 465.46 | 2956.14 | 3850.50 |
| 26 | 30.77 | 47.18 | 459.65 | 2908.21 | 3786.03 |
| 27 | 30.56 | 46.81 | 453.91 | 2861.07 | 3722.63 |
| 28 | 30.34 | 46.44 | 448.24 | 2814.68 | 3660.30 |
| 29 | 30.13 | 46.08 | 442.65 | 2769.05 | 3599.01 |
| 30 | 29.92 | 45.71 | 437.12 | 2724.16 | 3538.75 |
| 31 | 29.71 | 45.35 | 431.66 | 2679.99 | 3479.50 |
| 32 | 29.50 | 45.00 | 426.27 | 2636.54 | 3421.24 |
| 33 | 29.30 | 44.64 | 420.95 | 2593.80 | 3363.95 |
| 34 | 29.09 | 44.29 | 415.70 | 2551.75 | 3307.63 |
| 35 | 28.89 | 43.94 | 410.51 | 2510.38 | 3252.24 |
| 36 | 28.69 | 43.60 | 405.38 | 2469.68 | 3197.79 |
| 37 | 28.49 | 43.26 | 400.32 | 2429.64 | 3144.25 |
| 38 | 28.29 | 42.92 | 395.32 | 2390.25 | 3091.60 |
| 39 | 28.09 | 42.58 | 390.39 | 2351.50 | 3039.83 |
| 40 | 27.89 | 42.24 | 385.51 | 2313.38 | 2988.93 |
| 41 | 27.70 | 41.91 | 380.70 | 2275.87 | 2938.89 |
| 42 | 27.50 | 41.58 | 375.94 | 2238.97 | 2889.68 |
| 43 | 27.31 | 41.25 | 371.25 | 2202.67 | 2841.29 |
| 44 | 27.12 | 40.93 | 366.62 | 2166.96 | 2793.72 |
| 45 | 26.93 | 40.61 | 362.04 | 2131.83 | 2746.94 |
| 46 | 26.74 | 40.29 | 357.52 | 2097.27 | 2700.95 |
| 47 | 26.55 | 39.97 | 353.05 | 2063.27 | 2655.72 |
| 48 | 26.37 | 39.66 | 348.65 | 2029.82 | 2611.26 |
| 49 | 26.18 | 39.34 | 344.29 | 1996.91 | 2567.53 |
| 50 | 26.00 | 39.03 | 339.99 | 1964.54 | 2524.54 |
| 51 | 25.82 | 38.73 | 335.75 | 1932.69 | 2482.27 |
| 52 | 25.64 | 38.42 | 331.56 | 1901.35 | 2440.71 |
| 53 | 25.46 | 38.12 | 327.42 | 1870.53 | 2399.84 |
| 54 | 25.28 | 37.82 | 323.33 | 1840.20 | 2359.66 |
| 55 | 25.10 | 37.52 | 319.29 | 1810.37 | 2320.15 |
| 56 | 24.93 | 37.23 | 315.31 | 1781.02 | 2281.30 |
| 57 | 24.75 | 36.93 | 311.37 | 1752.14 | 2243.10 |
| 58 | 24.58 | 36.64 | 307.48 | 1723.74 | 2205.54 |
| 59 | 24.41 | 36.36 | 303.64 | 1695.79 | 2168.61 |
| 60 | 24.24 | 36.07 | 299.85 | 1668.30 | 2132.30 |
| 61 | 24.07 | 35.79 | 296.11 | 1641.25 | 2096.60 |
| 62 | 23.90 | 35.50 | 292.41 | 1614.65 | 2061.49 |
| 63 | 23.73 | 35.22 | 288.76 | 1588.47 | 2026.98 |
| 64 | 23.57 | 34.95 | 285.15 | 1562.72 | 1993.04 |
| 65 | 23.40 | 34.67 | 281.59 | 1537.38 | 1959.67 |
| 66 | 23.24 | 34.40 | 278.08 | 1512.46 | 1926.85 |
| 67 | 23.07 | 34.13 | 274.61 | 1487.94 | 1894.59 |
| 68 | 22.91 | 33.86 | 271.18 | 1463.81 | 1862.87 |
| 69 | 22.75 | 33.59 | 267.79 | 1440.08 | 1831.68 |
| 70 | 22.59 | 33.33 | 264.45 | 1416.73 | 1801.01 |
| 71 | 22.44 | 33.07 | 261.15 | 1393.77 | 1770.85 |
| 72 | 22.28 | 32.81 | 257.89 | 1371.17 | 1741.20 |
| 73 | 22.12 | 32.55 | 254.67 | 1348.94 | 1712.04 |
| 74 | 21.97 | 32.29 | 251.49 | 1327.07 | 1683.38 |
| 75 | 21.81 | 32.04 | 248.35 | 1305.56 | 1655.19 |
| 76 | 21.66 | 31.79 | 245.25 | 1284.39 | 1627.48 |
| 77 | 21.51 | 31.54 | 242.18 | 1263.57 | 1600.23 |
| 78 | 21.36 | 31.29 | 239.16 | 1243.08 | 1573.43 |
| 79 | 21.21 | 31.04 | 236.17 | 1222.93 | 1547.09 |
| 80 | 21.06 | 30.80 | 233.22 | 1203.10 | 1521.18 |
| 81 | 20.91 | 30.56 | 230.31 | 1183.60 | 1495.71 |
| 82 | 20.77 | 30.32 | 227.44 | 1164.41 | 1470.67 |
| 83 | 20.62 | 30.08 | 224.60 | 1145.53 | 1446.04 |
| 84 | 20.48 | 29.84 | 221.79 | 1126.96 | 1421.83 |
| 85 | 20.33 | 29.61 | 219.02 | 1108.69 | 1398.02 |
| 86 | 20.19 | 29.37 | 216.29 | 1090.71 | 1374.61 |
| 87 | 20.05 | 29.14 | 213.59 | 1073.03 | 1351.60 |
| 88 | 19.91 | 28.91 | 210.92 | 1055.63 | 1328.97 |
| Percentile for Women | Percentile for Men | ||||||||
|---|---|---|---|---|---|---|---|---|---|
| 2.5th | 5th | 50th | 95th | 97.5th | 2.5th | 5th | 50th | 95th | 97.5th |
| 19.25 | 26.64 | 145.21 | 791.44 | 1095.20 | 25.93 | 35.88 | 195.53 | 1065.69 | 1474.72 |
| Age (Years) | Percentile | ||||
|---|---|---|---|---|---|
| 2.5th | 5th | 50th | 95th | 97.5th | |
| 18 | 21.92 | 29.06 | 238.21 | 4675.57 | 8526.01 |
| 19 | 22.51 | 29.92 | 249.70 | 5028.39 | 9216.92 |
| 20 | 23.11 | 30.78 | 261.59 | 5402.87 | 9954.05 |
| 21 | 23.71 | 31.66 | 273.72 | 5794.25 | 10,728.33 |
| 22 | 24.30 | 32.52 | 285.90 | 6197.32 | 11,529.63 |
| 23 | 24.88 | 33.36 | 298.08 | 6609.48 | 12,352.84 |
| 24 | 25.42 | 34.16 | 309.71 | 7011.97 | 13,160.26 |
| 25 | 25.89 | 34.84 | 319.89 | 7370.82 | 13,882.94 |
| 26 | 26.24 | 35.35 | 327.47 | 7642.29 | 14,431.31 |
| 27 | 26.42 | 35.62 | 331.57 | 7790.47 | 14,731.23 |
| 28 | 26.46 | 35.67 | 332.35 | 7819.00 | 14,789.03 |
| 29 | 26.37 | 35.55 | 330.52 | 7752.64 | 14,654.63 |
| 30 | 26.21 | 35.31 | 326.90 | 7621.70 | 14,389.67 |
| 31 | 26.00 | 35.01 | 322.35 | 7458.50 | 14,059.90 |
| 32 | 25.79 | 34.69 | 317.64 | 7290.98 | 13,721.93 |
| 33 | 25.60 | 34.41 | 313.52 | 7145.39 | 13,428.64 |
| 34 | 25.46 | 34.22 | 310.57 | 7042.10 | 13,220.84 |
| 35 | 25.38 | 34.10 | 308.87 | 6982.50 | 13,101.03 |
| 36 | 25.34 | 34.04 | 307.94 | 6950.29 | 13,036.30 |
| 37 | 25.31 | 33.99 | 307.33 | 6928.79 | 12,993.11 |
| 38 | 25.29 | 33.97 | 306.89 | 6913.76 | 12,962.94 |
| 39 | 25.28 | 33.95 | 306.63 | 6904.68 | 12,944.69 |
| 40 | 25.28 | 33.94 | 306.57 | 6902.55 | 12,940.43 |
| 41 | 25.28 | 33.94 | 306.56 | 6902.30 | 12,939.93 |
| 42 | 25.27 | 33.93 | 306.39 | 6896.08 | 12,927.42 |
| 43 | 25.24 | 33.89 | 305.73 | 6873.36 | 12,881.82 |
| 44 | 25.18 | 33.80 | 304.45 | 6829.08 | 12,792.95 |
| 45 | 25.09 | 33.67 | 302.54 | 6762.95 | 12,660.31 |
| 46 | 24.97 | 33.49 | 299.97 | 6674.32 | 12,482.68 |
| 47 | 24.81 | 33.26 | 296.54 | 6557.01 | 12,247.82 |
| 48 | 24.61 | 32.97 | 292.43 | 6417.22 | 11,968.36 |
| 49 | 24.40 | 32.66 | 287.91 | 6264.80 | 11,664.14 |
| 50 | 24.17 | 32.33 | 283.26 | 6109.30 | 11,354.31 |
| 51 | 23.96 | 32.01 | 278.72 | 5958.78 | 11,054.94 |
| 52 | 23.75 | 31.70 | 274.40 | 5816.63 | 10,772.72 |
| 53 | 23.54 | 31.40 | 270.20 | 5679.81 | 10,501.53 |
| 54 | 23.33 | 31.09 | 265.87 | 5539.90 | 10,224.70 |
| 55 | 23.09 | 30.75 | 261.15 | 5388.59 | 9925.87 |
| 56 | 22.82 | 30.36 | 255.77 | 5218.18 | 9590.03 |
| 57 | 22.51 | 29.92 | 249.70 | 5028.20 | 9216.57 |
| 58 | 22.17 | 29.41 | 242.94 | 4819.77 | 8807.96 |
| 59 | 21.79 | 28.86 | 235.60 | 4596.83 | 8372.30 |
| 60 | 21.39 | 28.30 | 228.11 | 4373.04 | 7936.51 |
| 61 | 21.01 | 27.74 | 220.93 | 4162.42 | 7527.78 |
| 62 | 20.67 | 27.24 | 214.51 | 3977.06 | 7169.31 |
| 63 | 20.38 | 26.83 | 209.24 | 3827.22 | 6880.39 |
| 64 | 20.17 | 26.54 | 205.54 | 3723.27 | 6680.42 |
| 65 | 20.07 | 26.39 | 203.73 | 3672.81 | 6583.48 |
| 66 | 20.08 | 26.41 | 203.92 | 3678.21 | 6593.86 |
| 67 | 20.21 | 26.59 | 206.21 | 3742.14 | 6716.69 |
| 68 | 20.46 | 26.95 | 210.79 | 3871.14 | 6964.99 |
| 69 | 20.86 | 27.52 | 218.05 | 4078.99 | 7366.30 |
| 70 | 21.40 | 28.31 | 228.28 | 4378.15 | 7946.44 |
| 71 | 22.09 | 29.30 | 241.42 | 4773.25 | 8716.92 |
| 72 | 22.90 | 30.48 | 257.36 | 5268.45 | 9689.03 |
| 73 | 23.82 | 31.82 | 276.02 | 5869.64 | 10,877.90 |
| 74 | 24.85 | 33.32 | 297.48 | 6589.20 | 12,312.25 |
| 75 | 25.98 | 34.98 | 321.91 | 7442.84 | 14,028.28 |
| 76 | 27.22 | 36.79 | 349.47 | 8449.34 | 16,069.59 |
| 77 | 28.55 | 38.76 | 380.35 | 9629.55 | 18,485.24 |
| 78 | 29.98 | 40.88 | 414.72 | 11,005.47 | 21,328.07 |
| 79 | 31.49 | 43.15 | 452.69 | 12,599.45 | 24,653.07 |
| 80 | 33.10 | 45.55 | 494.35 | 14,433.69 | 28,516.30 |
| 81 | 34.78 | 48.09 | 539.83 | 16,534.26 | 32,983.42 |
| 82 | 36.55 | 50.76 | 589.47 | 18,939.52 | 38,148.14 |
| 83 | 38.41 | 53.59 | 643.71 | 21,696.71 | 44,126.04 |
| 84 | 40.37 | 56.58 | 703.05 | 24,861.31 | 51,053.90 |
| 85 | 42.44 | 59.75 | 768.06 | 28,498.56 | 59,094.05 |
| 86 | 44.62 | 63.10 | 839.37 | 32,685.48 | 68,439.71 |
| 87 | 46.92 | 66.66 | 917.71 | 37,513.16 | 79,321.44 |
| 88 | 49.36 | 70.45 | 1003.80 | 43,082.66 | 91,999.10 |
| Age (Years) | Percentile for Women | Percentile for Men | ||||||||
|---|---|---|---|---|---|---|---|---|---|---|
| 2.5th | 5th | 50th | 95th | 97.5th | 2.5th | 5th | 50th | 95th | 97.5th | |
| 18 | 11.48 | 13.94 | 38.35 | 105.53 | 128.11 | 8.88 | 10.79 | 29.68 | 81.65 | 99.12 |
| 19 | 11.86 | 14.40 | 39.61 | 109.00 | 132.32 | 9.18 | 11.14 | 30.65 | 84.33 | 102.38 |
| 20 | 12.25 | 14.87 | 40.92 | 112.59 | 136.68 | 9.48 | 11.51 | 31.66 | 87.12 | 105.76 |
| 21 | 12.66 | 15.37 | 42.28 | 116.32 | 141.21 | 9.79 | 11.89 | 32.71 | 90.00 | 109.26 |
| 22 | 13.08 | 15.88 | 43.68 | 120.19 | 145.91 | 10.12 | 12.28 | 33.80 | 93.00 | 112.90 |
| 23 | 13.52 | 16.41 | 45.15 | 124.22 | 150.80 | 10.46 | 12.70 | 34.93 | 96.11 | 116.68 |
| 24 | 13.96 | 16.95 | 46.64 | 128.33 | 155.79 | 10.80 | 13.12 | 36.09 | 99.30 | 120.55 |
| 25 | 14.41 | 17.50 | 48.14 | 132.45 | 160.79 | 11.15 | 13.54 | 37.25 | 102.48 | 124.41 |
| 26 | 14.85 | 18.02 | 49.59 | 136.45 | 165.65 | 11.49 | 13.95 | 38.37 | 105.58 | 128.17 |
| 27 | 15.26 | 18.52 | 50.96 | 140.21 | 170.21 | 11.80 | 14.33 | 39.43 | 108.49 | 131.70 |
| 28 | 15.63 | 18.97 | 52.20 | 143.63 | 174.36 | 12.09 | 14.68 | 40.39 | 111.13 | 134.91 |
| 29 | 15.95 | 19.36 | 53.28 | 146.59 | 177.96 | 12.34 | 14.98 | 41.22 | 113.43 | 137.69 |
| 30 | 16.22 | 19.69 | 54.17 | 149.04 | 180.93 | 12.55 | 15.23 | 41.91 | 115.32 | 139.99 |
| 31 | 16.42 | 19.94 | 54.86 | 150.94 | 183.23 | 12.71 | 15.43 | 42.45 | 116.79 | 141.77 |
| 32 | 16.57 | 20.11 | 55.34 | 152.27 | 184.85 | 12.82 | 15.56 | 42.82 | 117.82 | 143.03 |
| 33 | 16.65 | 20.22 | 55.62 | 153.04 | 185.78 | 12.88 | 15.64 | 43.04 | 118.41 | 143.75 |
| 34 | 16.67 | 20.24 | 55.69 | 153.24 | 186.03 | 12.90 | 15.66 | 43.09 | 118.57 | 143.94 |
| 35 | 16.64 | 20.20 | 55.58 | 152.94 | 185.66 | 12.88 | 15.63 | 43.01 | 118.33 | 143.65 |
| 36 | 16.56 | 20.11 | 55.32 | 152.22 | 184.78 | 12.82 | 15.56 | 42.81 | 117.78 | 142.98 |
| 37 | 16.45 | 19.97 | 54.93 | 151.15 | 183.49 | 12.73 | 15.45 | 42.51 | 116.95 | 141.97 |
| 38 | 16.30 | 19.79 | 54.45 | 149.80 | 181.86 | 12.61 | 15.31 | 42.13 | 115.91 | 140.71 |
| 39 | 16.13 | 19.58 | 53.88 | 148.24 | 179.95 | 12.48 | 15.15 | 41.69 | 114.70 | 139.24 |
| 40 | 15.94 | 19.35 | 53.24 | 146.50 | 177.84 | 12.33 | 14.97 | 41.20 | 113.35 | 137.61 |
| 41 | 15.73 | 19.10 | 52.55 | 144.60 | 175.54 | 12.17 | 14.78 | 40.66 | 111.88 | 135.82 |
| 42 | 15.51 | 18.83 | 51.80 | 142.53 | 173.03 | 12.00 | 14.57 | 40.08 | 110.28 | 133.88 |
| 43 | 15.26 | 18.53 | 50.98 | 140.27 | 170.29 | 11.81 | 14.34 | 39.45 | 108.54 | 131.76 |
| 44 | 15.00 | 18.21 | 50.10 | 137.84 | 167.33 | 11.60 | 14.09 | 38.76 | 106.65 | 129.47 |
| 45 | 14.72 | 17.87 | 49.17 | 135.30 | 164.25 | 11.39 | 13.83 | 38.05 | 104.68 | 127.08 |
| 46 | 14.44 | 17.53 | 48.23 | 132.70 | 161.10 | 11.17 | 13.56 | 37.32 | 102.68 | 124.65 |
| 47 | 14.16 | 17.18 | 47.28 | 130.10 | 157.93 | 10.95 | 13.30 | 36.59 | 100.66 | 122.20 |
| 48 | 13.88 | 16.85 | 46.35 | 127.53 | 154.81 | 10.74 | 13.03 | 35.86 | 98.67 | 119.79 |
| 49 | 13.60 | 16.51 | 45.44 | 125.02 | 151.77 | 10.53 | 12.78 | 35.16 | 96.73 | 117.43 |
| 50 | 13.34 | 16.19 | 44.54 | 122.55 | 148.78 | 10.32 | 12.53 | 34.46 | 94.83 | 115.11 |
| 51 | 13.07 | 15.87 | 43.66 | 120.14 | 145.84 | 10.11 | 12.28 | 33.78 | 92.95 | 112.84 |
| 52 | 12.82 | 15.56 | 42.82 | 117.82 | 143.03 | 9.92 | 12.04 | 33.13 | 91.16 | 110.67 |
| 53 | 12.58 | 15.28 | 42.04 | 115.66 | 140.40 | 9.74 | 11.82 | 32.52 | 89.49 | 108.64 |
| 54 | 12.37 | 15.01 | 41.31 | 113.65 | 137.97 | 9.57 | 11.62 | 31.96 | 87.94 | 106.75 |
| 55 | 12.17 | 14.77 | 40.64 | 111.81 | 135.74 | 9.41 | 11.43 | 31.44 | 86.51 | 105.03 |
| 56 | 11.98 | 14.55 | 40.02 | 110.12 | 133.68 | 9.27 | 11.25 | 30.97 | 85.20 | 103.43 |
| 57 | 11.81 | 14.34 | 39.44 | 108.52 | 131.74 | 9.14 | 11.09 | 30.52 | 83.97 | 101.93 |
| 58 | 11.64 | 14.14 | 38.89 | 107.01 | 129.91 | 9.01 | 10.94 | 30.09 | 82.80 | 100.52 |
| 59 | 11.49 | 13.95 | 38.37 | 105.58 | 128.17 | 8.89 | 10.79 | 29.69 | 81.69 | 99.17 |
| 60 | 11.34 | 13.77 | 37.88 | 104.22 | 126.52 | 8.77 | 10.65 | 29.31 | 80.64 | 97.89 |
| 61 | 11.20 | 13.60 | 37.41 | 102.93 | 124.96 | 8.67 | 10.52 | 28.95 | 79.64 | 96.69 |
| 62 | 11.07 | 13.44 | 36.97 | 101.73 | 123.50 | 8.56 | 10.40 | 28.61 | 78.71 | 95.55 |
| 63 | 10.95 | 13.29 | 36.57 | 100.62 | 122.15 | 8.47 | 10.28 | 28.30 | 77.85 | 94.51 |
| 64 | 10.84 | 13.16 | 36.21 | 99.62 | 120.93 | 8.39 | 10.18 | 28.01 | 77.08 | 93.57 |
| 65 | 10.74 | 13.04 | 35.89 | 98.74 | 119.86 | 8.31 | 10.09 | 27.77 | 76.40 | 92.74 |
| 66 | 10.66 | 12.94 | 35.61 | 97.98 | 118.95 | 8.25 | 10.01 | 27.55 | 75.81 | 92.03 |
| 67 | 10.59 | 12.86 | 35.38 | 97.34 | 118.17 | 8.20 | 9.95 | 27.37 | 75.32 | 91.43 |
| 68 | 10.54 | 12.79 | 35.19 | 96.83 | 117.55 | 8.15 | 9.90 | 27.23 | 74.92 | 90.95 |
| 69 | 10.50 | 12.74 | 35.06 | 96.47 | 117.11 | 8.12 | 9.86 | 27.13 | 74.64 | 90.61 |
| 70 | 10.47 | 12.72 | 34.99 | 96.27 | 116.86 | 8.10 | 9.84 | 27.07 | 74.49 | 90.42 |
| 71 | 10.47 | 12.71 | 34.98 | 96.24 | 116.83 | 8.10 | 9.84 | 27.06 | 74.46 | 90.40 |
| 72 | 10.49 | 12.73 | 35.03 | 96.39 | 117.02 | 8.12 | 9.85 | 27.11 | 74.58 | 90.54 |
| 73 | 10.53 | 12.78 | 35.16 | 96.73 | 117.43 | 8.14 | 9.89 | 27.20 | 74.85 | 90.86 |
| 74 | 10.59 | 12.85 | 35.36 | 97.29 | 118.11 | 8.19 | 9.94 | 27.36 | 75.28 | 91.38 |
| 75 | 10.67 | 12.96 | 35.65 | 98.10 | 119.08 | 8.26 | 10.03 | 27.59 | 75.90 | 92.14 |
| 76 | 10.79 | 13.10 | 36.04 | 99.16 | 120.37 | 8.35 | 10.13 | 27.88 | 76.72 | 93.14 |
| 77 | 10.93 | 13.27 | 36.52 | 100.48 | 121.98 | 8.46 | 10.27 | 28.26 | 77.74 | 94.38 |
| 78 | 11.11 | 13.48 | 37.09 | 102.06 | 123.90 | 8.59 | 10.43 | 28.70 | 78.97 | 95.87 |
| 79 | 11.31 | 13.73 | 37.77 | 103.92 | 126.16 | 8.75 | 10.62 | 29.22 | 80.41 | 97.61 |
| 80 | 11.54 | 14.01 | 38.54 | 106.05 | 128.74 | 8.93 | 10.84 | 29.82 | 82.06 | 99.62 |
| 81 | 11.80 | 14.33 | 39.42 | 108.45 | 131.66 | 9.13 | 11.08 | 30.50 | 83.91 | 101.87 |
| 82 | 12.09 | 14.68 | 40.38 | 111.10 | 134.87 | 9.35 | 11.36 | 31.24 | 85.96 | 104.36 |
| 83 | 12.40 | 15.06 | 41.43 | 113.99 | 138.38 | 9.60 | 11.65 | 32.05 | 88.20 | 107.07 |
| 84 | 12.74 | 15.47 | 42.56 | 117.09 | 142.15 | 9.86 | 11.97 | 32.93 | 90.60 | 109.98 |
| 85 | 13.10 | 15.90 | 43.76 | 120.40 | 146.16 | 10.14 | 12.31 | 33.86 | 93.16 | 113.09 |
| 86 | 13.48 | 16.36 | 45.02 | 123.88 | 150.39 | 10.43 | 12.66 | 34.84 | 95.85 | 116.36 |
| 87 | 13.88 | 16.84 | 46.35 | 127.52 | 154.80 | 10.74 | 13.03 | 35.86 | 98.66 | 119.78 |
| 88 | 14.28 | 17.34 | 47.71 | 131.28 | 159.37 | 11.05 | 13.42 | 36.92 | 101.58 | 123.31 |
| Age (Years) | Percentile for Women | Percentile for Men | ||||||||
|---|---|---|---|---|---|---|---|---|---|---|
| 2.5th | 5th | 50th | 95th | 97.5th | 2.5th | 5th | 50th | 95th | 97.5th | |
| 18 | 16.61 | 25.36 | 113.22 | 505.52 | 771.84 | 11.94 | 18.23 | 81.40 | 363.43 | 554.90 |
| 19 | 16.48 | 25.16 | 112.35 | 501.59 | 765.84 | 11.85 | 18.09 | 80.77 | 360.61 | 550.59 |
| 20 | 16.36 | 24.97 | 111.49 | 497.78 | 760.02 | 11.76 | 17.95 | 80.15 | 357.87 | 546.40 |
| 21 | 16.23 | 24.78 | 110.66 | 494.05 | 754.32 | 11.67 | 17.82 | 79.55 | 355.19 | 542.30 |
| 22 | 16.11 | 24.60 | 109.82 | 490.31 | 748.61 | 11.58 | 17.68 | 78.95 | 352.49 | 538.20 |
| 23 | 15.99 | 24.41 | 108.98 | 486.58 | 742.93 | 11.49 | 17.55 | 78.35 | 349.82 | 534.11 |
| 24 | 15.87 | 24.22 | 108.16 | 482.89 | 737.29 | 11.41 | 17.42 | 77.76 | 347.16 | 530.06 |
| 25 | 15.74 | 24.03 | 107.31 | 479.11 | 731.51 | 11.32 | 17.28 | 77.15 | 344.44 | 525.90 |
| 26 | 15.61 | 23.84 | 106.43 | 475.16 | 725.49 | 11.22 | 17.14 | 76.51 | 341.61 | 521.58 |
| 27 | 15.48 | 23.63 | 105.50 | 471.04 | 719.19 | 11.13 | 16.99 | 75.85 | 338.64 | 517.05 |
| 28 | 15.33 | 23.41 | 104.51 | 466.63 | 712.46 | 11.02 | 16.83 | 75.14 | 335.47 | 512.21 |
| 29 | 15.18 | 23.17 | 103.46 | 461.95 | 705.31 | 10.91 | 16.66 | 74.38 | 332.11 | 507.07 |
| 30 | 15.02 | 22.94 | 102.41 | 457.22 | 698.09 | 10.80 | 16.49 | 73.62 | 328.71 | 501.88 |
| 31 | 14.88 | 22.71 | 101.40 | 452.74 | 691.26 | 10.69 | 16.33 | 72.90 | 325.49 | 496.96 |
| 32 | 14.74 | 22.51 | 100.48 | 448.63 | 684.98 | 10.60 | 16.18 | 72.24 | 322.53 | 492.45 |
| 33 | 14.62 | 22.33 | 99.69 | 445.07 | 679.55 | 10.51 | 16.05 | 71.67 | 319.98 | 488.54 |
| 34 | 14.53 | 22.18 | 99.04 | 442.17 | 675.12 | 10.44 | 15.95 | 71.20 | 317.89 | 485.36 |
| 35 | 14.45 | 22.07 | 98.53 | 439.90 | 671.65 | 10.39 | 15.87 | 70.83 | 316.26 | 482.87 |
| 36 | 14.40 | 21.98 | 98.15 | 438.21 | 669.07 | 10.35 | 15.80 | 70.56 | 315.04 | 481.01 |
| 37 | 14.35 | 21.92 | 97.85 | 436.88 | 667.03 | 10.32 | 15.76 | 70.35 | 314.08 | 479.55 |
| 38 | 14.31 | 21.85 | 97.58 | 435.65 | 665.16 | 10.29 | 15.71 | 70.15 | 313.20 | 478.21 |
| 39 | 14.28 | 21.80 | 97.31 | 434.47 | 663.36 | 10.26 | 15.67 | 69.96 | 312.35 | 476.91 |
| 40 | 14.24 | 21.74 | 97.07 | 433.39 | 661.71 | 10.24 | 15.63 | 69.79 | 311.58 | 475.72 |
| 41 | 14.21 | 21.69 | 96.84 | 432.37 | 660.16 | 10.21 | 15.59 | 69.62 | 310.85 | 474.61 |
| 42 | 14.17 | 21.64 | 96.61 | 431.32 | 658.55 | 10.19 | 15.56 | 69.45 | 310.09 | 473.45 |
| 43 | 14.13 | 21.57 | 96.32 | 430.02 | 656.57 | 10.16 | 15.51 | 69.24 | 309.16 | 472.03 |
| 44 | 14.07 | 21.48 | 95.88 | 428.10 | 653.63 | 10.11 | 15.44 | 68.93 | 307.77 | 469.91 |
| 45 | 13.98 | 21.34 | 95.29 | 425.45 | 649.58 | 10.05 | 15.34 | 68.51 | 305.87 | 467.00 |
| 46 | 13.87 | 21.18 | 94.55 | 422.15 | 644.54 | 9.97 | 15.22 | 67.98 | 303.49 | 463.38 |
| 47 | 13.74 | 20.98 | 93.67 | 418.20 | 638.52 | 9.88 | 15.08 | 67.34 | 300.66 | 459.05 |
| 48 | 13.59 | 20.76 | 92.67 | 413.74 | 631.71 | 9.77 | 14.92 | 66.62 | 297.45 | 454.16 |
| 49 | 13.44 | 20.52 | 91.61 | 409.02 | 624.50 | 9.66 | 14.75 | 65.86 | 294.06 | 448.97 |
| 50 | 13.29 | 20.28 | 90.57 | 404.36 | 617.38 | 9.55 | 14.58 | 65.11 | 290.70 | 443.85 |
| 51 | 13.15 | 20.07 | 89.61 | 400.10 | 610.88 | 9.45 | 14.43 | 64.43 | 287.64 | 439.18 |
| 52 | 13.03 | 19.90 | 88.84 | 396.65 | 605.61 | 9.37 | 14.31 | 63.87 | 285.16 | 435.39 |
| 53 | 12.96 | 19.78 | 88.32 | 394.32 | 602.05 | 9.31 | 14.22 | 63.49 | 283.49 | 432.83 |
| 54 | 12.92 | 19.73 | 88.10 | 393.35 | 600.58 | 9.29 | 14.19 | 63.34 | 282.79 | 431.77 |
| 55 | 12.94 | 19.76 | 88.24 | 393.96 | 601.50 | 9.31 | 14.21 | 63.44 | 283.23 | 432.44 |
| 56 | 13.01 | 19.87 | 88.72 | 396.11 | 604.78 | 9.36 | 14.29 | 63.78 | 284.77 | 434.79 |
| 57 | 13.13 | 20.05 | 89.52 | 399.68 | 610.24 | 9.44 | 14.41 | 64.36 | 287.34 | 438.72 |
| 58 | 13.29 | 20.29 | 90.60 | 404.50 | 617.59 | 9.55 | 14.59 | 65.13 | 290.80 | 444.01 |
| 59 | 13.48 | 20.59 | 91.92 | 410.39 | 626.60 | 9.69 | 14.80 | 66.08 | 295.04 | 450.48 |
| 60 | 13.71 | 20.93 | 93.46 | 417.27 | 637.10 | 9.86 | 15.05 | 67.19 | 299.99 | 458.03 |
| 61 | 13.97 | 21.32 | 95.21 | 425.07 | 649.01 | 10.04 | 15.33 | 68.45 | 305.60 | 466.59 |
| 62 | 14.25 | 21.76 | 97.15 | 433.75 | 662.26 | 10.25 | 15.64 | 69.84 | 311.83 | 476.12 |
| 63 | 14.57 | 22.24 | 99.29 | 443.31 | 676.85 | 10.47 | 15.99 | 71.38 | 318.71 | 486.61 |
| 64 | 14.91 | 22.77 | 101.67 | 453.94 | 693.09 | 10.72 | 16.37 | 73.10 | 326.35 | 498.28 |
| 65 | 15.31 | 23.37 | 104.35 | 465.90 | 711.34 | 11.01 | 16.80 | 75.02 | 334.95 | 511.40 |
| 66 | 15.76 | 24.06 | 107.42 | 479.61 | 732.27 | 11.33 | 17.30 | 77.23 | 344.80 | 526.45 |
| 67 | 16.29 | 24.87 | 111.02 | 495.69 | 756.83 | 11.71 | 17.88 | 79.82 | 356.37 | 544.11 |
| 68 | 16.92 | 25.83 | 115.32 | 514.87 | 786.11 | 12.16 | 18.57 | 82.91 | 370.15 | 565.16 |
| 69 | 17.67 | 26.98 | 120.47 | 537.86 | 821.21 | 12.70 | 19.40 | 86.61 | 386.68 | 590.39 |
| 70 | 18.57 | 28.36 | 126.60 | 565.26 | 863.05 | 13.35 | 20.39 | 91.02 | 406.38 | 620.47 |
| 71 | 19.63 | 29.97 | 133.82 | 597.49 | 912.26 | 14.11 | 21.55 | 96.21 | 429.55 | 655.85 |
| 72 | 20.86 | 31.85 | 142.20 | 634.88 | 969.35 | 15.00 | 22.90 | 102.23 | 456.43 | 696.89 |
| 73 | 22.27 | 34.00 | 151.82 | 677.83 | 1034.92 | 16.01 | 24.45 | 109.15 | 487.31 | 744.03 |
| 74 | 23.88 | 36.46 | 162.80 | 726.88 | 1109.82 | 17.17 | 26.22 | 117.04 | 522.58 | 797.88 |
| 75 | 25.72 | 39.26 | 175.31 | 782.70 | 1195.05 | 18.49 | 28.23 | 126.03 | 562.71 | 859.15 |
| 76 | 27.80 | 42.44 | 189.49 | 846.03 | 1291.74 | 19.98 | 30.51 | 136.23 | 608.24 | 928.67 |
| 77 | 30.15 | 46.04 | 205.54 | 917.68 | 1401.13 | 21.68 | 33.10 | 147.77 | 659.75 | 1007.32 |
| 78 | 32.81 | 50.09 | 223.66 | 998.57 | 1524.64 | 23.59 | 36.01 | 160.79 | 717.90 | 1096.10 |
| 79 | 35.80 | 54.67 | 244.07 | 1089.71 | 1663.78 | 25.74 | 39.30 | 175.47 | 783.42 | 1196.14 |
| 80 | 39.17 | 59.80 | 267.00 | 1192.11 | 1820.14 | 28.16 | 42.99 | 191.96 | 857.04 | 1308.55 |
| 81 | 42.93 | 65.55 | 292.65 | 1306.62 | 1994.97 | 30.86 | 47.12 | 210.40 | 939.37 | 1434.24 |
| 82 | 47.13 | 71.96 | 321.29 | 1434.47 | 2190.17 | 33.88 | 51.73 | 230.98 | 1031.28 | 1574.58 |
| 83 | 51.82 | 79.12 | 353.24 | 1577.12 | 2407.98 | 37.25 | 56.88 | 253.95 | 1133.84 | 1731.17 |
| 84 | 57.04 | 87.10 | 388.86 | 1736.19 | 2650.84 | 41.01 | 62.62 | 279.57 | 1248.19 | 1905.77 |
| 85 | 62.87 | 95.99 | 428.56 | 1913.40 | 2921.42 | 45.20 | 69.01 | 308.10 | 1375.60 | 2100.29 |
| 86 | 69.35 | 105.88 | 472.74 | 2110.67 | 3222.61 | 49.86 | 76.12 | 339.87 | 1517.42 | 2316.83 |
| 87 | 76.56 | 116.89 | 521.87 | 2330.02 | 3557.52 | 55.04 | 84.03 | 375.19 | 1675.12 | 2557.60 |
| 88 | 84.55 | 129.10 | 576.40 | 2573.48 | 3929.24 | 60.79 | 92.81 | 414.39 | 1850.15 | 2824.85 |
| Age (Years) | Percentile for Women | Percentile for Men | ||||||||
|---|---|---|---|---|---|---|---|---|---|---|
| 2.5th | 5th | 50th | 95th | 97.5th | 2.5th | 5th | 50th | 95th | 97.5th | |
| 18 | 5548.71 | 8410.15 | 36,226.93 | 156,048.41 | 236,521.53 | 5986.14 | 8352.22 | 26,900.80 | 86,642.06 | 120,888.05 |
| 19 | 5428.03 | 8252.57 | 35,934.03 | 156,467.01 | 237,886.30 | 5872.14 | 8213.35 | 26,683.31 | 86,687.94 | 121,250.29 |
| 20 | 5309.43 | 8097.29 | 35,643.50 | 156,899.26 | 239,283.49 | 5759.84 | 8076.29 | 26,467.57 | 86,739.39 | 121,623.60 |
| 21 | 5192.88 | 7944.30 | 35,355.31 | 157,345.35 | 240,713.75 | 5649.21 | 7940.99 | 26,253.57 | 86,796.47 | 122,008.15 |
| 22 | 5078.36 | 7793.56 | 35,069.46 | 157,805.49 | 242,177.76 | 5540.25 | 7807.46 | 26,041.31 | 86,859.21 | 122,404.13 |
| 23 | 4965.85 | 7645.06 | 34,785.91 | 158,279.90 | 243,676.22 | 5432.94 | 7675.67 | 25,830.76 | 86,927.68 | 122,811.70 |
| 24 | 4855.32 | 7498.78 | 34,504.66 | 158,768.79 | 245,209.86 | 5327.25 | 7545.61 | 25,621.91 | 87,001.94 | 123,231.05 |
| 25 | 4746.74 | 7354.68 | 34,225.69 | 159,272.37 | 246,779.40 | 5223.17 | 7417.26 | 25,414.75 | 87,082.03 | 123,662.38 |
| 26 | 4640.09 | 7212.75 | 33,948.96 | 159,790.89 | 248,385.62 | 5120.69 | 7290.60 | 25,209.27 | 87,168.02 | 124,105.87 |
| 27 | 4535.35 | 7072.97 | 33,674.48 | 160,324.56 | 250,029.29 | 5019.78 | 7165.63 | 25,005.45 | 87,259.97 | 124,561.72 |
| 28 | 4432.49 | 6935.31 | 33,402.22 | 160,873.64 | 251,711.21 | 4920.43 | 7042.32 | 24,803.27 | 87,357.94 | 125,030.14 |
| 29 | 4331.49 | 6799.74 | 33,132.15 | 161,438.37 | 253,432.22 | 4822.63 | 6920.66 | 24,602.74 | 87,462.00 | 125,511.33 |
| 30 | 4232.33 | 6666.26 | 32,864.27 | 162,019.01 | 255,193.17 | 4726.35 | 6800.63 | 24,403.82 | 87,572.21 | 126,005.52 |
| 31 | 4134.97 | 6534.83 | 32,598.56 | 162,615.80 | 256,994.93 | 4631.58 | 6682.22 | 24,206.51 | 87,688.63 | 126,512.92 |
| 32 | 4039.40 | 6405.43 | 32,334.99 | 163,229.03 | 258,838.41 | 4538.31 | 6565.42 | 24,010.79 | 87,811.34 | 127,033.77 |
| 33 | 3945.59 | 6278.04 | 32,073.56 | 163,858.97 | 260,724.54 | 4446.51 | 6450.20 | 23,816.66 | 87,940.41 | 127,568.29 |
| 34 | 3853.53 | 6152.64 | 31,814.24 | 164,505.89 | 262,654.28 | 4356.17 | 6336.56 | 23,624.10 | 88,075.92 | 128,116.72 |
| 35 | 3763.18 | 6029.21 | 31,557.01 | 165,170.10 | 264,628.61 | 4267.27 | 6224.47 | 23,433.09 | 88,217.93 | 128,679.32 |
| 36 | 3674.53 | 5907.72 | 31,301.87 | 165,851.88 | 266,648.54 | 4179.81 | 6113.93 | 23,243.63 | 88,366.52 | 129,256.33 |
| 37 | 3587.54 | 5788.16 | 31,048.79 | 166,551.54 | 268,715.13 | 4093.75 | 6004.91 | 23,055.70 | 88,521.78 | 129,848.02 |
| 38 | 3502.21 | 5670.50 | 30,797.75 | 167,269.40 | 270,829.44 | 4009.09 | 5897.41 | 22,869.29 | 88,683.79 | 130,454.65 |
| 39 | 3418.50 | 5554.73 | 30,548.75 | 168,005.77 | 272,992.60 | 3925.81 | 5791.41 | 22,684.39 | 88,852.63 | 131,076.50 |
| 40 | 3336.40 | 5440.81 | 30,301.75 | 168,761.00 | 275,205.73 | 3843.90 | 5686.89 | 22,500.98 | 89,028.38 | 131,713.84 |
| 41 | 3255.88 | 5328.73 | 30,056.76 | 169,535.42 | 277,470.02 | 3763.33 | 5583.84 | 22,319.06 | 89,211.14 | 132,366.98 |
| 42 | 3176.92 | 5218.47 | 29,813.74 | 170,329.38 | 279,786.68 | 3684.09 | 5482.24 | 22,138.61 | 89,401.00 | 133,036.21 |
| 43 | 3099.50 | 5110.01 | 29,572.69 | 171,143.25 | 282,156.95 | 3606.18 | 5382.09 | 21,959.61 | 89,598.04 | 133,721.83 |
| 44 | 3023.59 | 5003.33 | 29,333.59 | 171,977.38 | 284,582.14 | 3529.56 | 5283.36 | 21,782.06 | 89,802.37 | 134,424.16 |
| 45 | 2949.18 | 4898.41 | 29,096.43 | 172,832.16 | 287,063.57 | 3454.23 | 5186.05 | 21,605.95 | 90,014.09 | 135,143.52 |
| 46 | 2876.24 | 4795.22 | 28,861.18 | 173,707.99 | 289,602.59 | 3380.17 | 5090.13 | 21,431.26 | 90,233.29 | 135,880.25 |
| 47 | 2804.76 | 4693.74 | 28,627.83 | 174,605.26 | 292,200.64 | 3307.37 | 4995.60 | 21,257.99 | 90,460.08 | 136,634.69 |
| 48 | 2734.71 | 4593.97 | 28,396.37 | 175,524.38 | 294,859.16 | 3235.81 | 4902.43 | 21,086.11 | 90,694.56 | 137,407.19 |
| 49 | 2666.07 | 4495.87 | 28,166.78 | 176,465.78 | 297,579.65 | 3165.48 | 4810.63 | 20,915.63 | 90,936.85 | 138,198.11 |
| 50 | 2598.82 | 4399.43 | 27,939.04 | 177,429.90 | 300,363.66 | 3096.36 | 4720.17 | 20,746.52 | 91,187.07 | 139,007.82 |
| 51 | 2532.94 | 4304.62 | 27,713.15 | 178,417.17 | 303,212.78 | 3028.43 | 4631.03 | 20,578.78 | 91,445.31 | 139,836.71 |
| 52 | 2468.41 | 4211.44 | 27,489.08 | 179,428.07 | 306,128.68 | 2961.69 | 4543.21 | 20,412.40 | 91,711.71 | 140,685.17 |
| 53 | 2405.20 | 4119.85 | 27,266.83 | 180,463.07 | 309,113.03 | 2896.12 | 4456.70 | 20,247.36 | 91,986.38 | 141,553.60 |
| 54 | 2343.31 | 4029.83 | 27,046.37 | 181,522.65 | 312,167.60 | 2831.69 | 4371.47 | 20,083.66 | 92,269.46 | 142,442.43 |
| 55 | 2282.71 | 3941.38 | 26,827.70 | 182,607.31 | 315,294.21 | 2768.41 | 4287.52 | 19,921.27 | 92,561.06 | 143,352.07 |
| 56 | 2223.38 | 3854.47 | 26,610.79 | 183,717.58 | 318,494.70 | 2706.25 | 4204.83 | 19,760.21 | 92,861.32 | 144,282.97 |
| 57 | 2165.30 | 3769.08 | 26,395.64 | 184,853.97 | 321,771.02 | 2645.20 | 4123.38 | 19,600.44 | 93,170.38 | 145,235.58 |
| 58 | 2108.45 | 3685.19 | 26,182.22 | 186,017.03 | 325,125.16 | 2585.25 | 4043.18 | 19,441.97 | 93,488.38 | 146,210.37 |
| 59 | 2052.81 | 3602.79 | 25,970.53 | 187,207.33 | 328,559.16 | 2526.38 | 3964.19 | 19,284.78 | 93,815.46 | 147,207.81 |
| 60 | 1998.36 | 3521.85 | 25,760.56 | 188,425.44 | 332,075.16 | 2468.58 | 3886.42 | 19,128.86 | 94,151.76 | 148,228.41 |
| 61 | 1945.09 | 3442.36 | 25,552.28 | 189,671.96 | 335,675.35 | 2411.83 | 3809.84 | 18,974.20 | 94,497.44 | 149,272.67 |
| 62 | 1892.97 | 3364.30 | 25,345.68 | 190,947.48 | 339,361.99 | 2356.12 | 3734.44 | 18,820.79 | 94,852.65 | 150,341.11 |
| 63 | 1842.00 | 3287.64 | 25,140.76 | 192,252.65 | 343,137.42 | 2301.44 | 3660.22 | 18,668.62 | 95,217.55 | 151,434.27 |
| 64 | 1792.14 | 3212.38 | 24,937.49 | 193,588.11 | 347,004.06 | 2247.78 | 3587.15 | 18,517.68 | 95,592.30 | 152,552.70 |
| 65 | 1743.38 | 3138.49 | 24,735.87 | 194,954.52 | 350,964.40 | 2195.11 | 3515.23 | 18,367.96 | 95,977.08 | 153,696.98 |
| 66 | 1695.70 | 3065.96 | 24,535.87 | 196,352.57 | 355,021.04 | 2143.43 | 3444.45 | 18,219.45 | 96,372.05 | 154,867.70 |
| 67 | 1649.09 | 2994.77 | 24,337.50 | 197,782.97 | 359,176.64 | 2092.73 | 3374.78 | 18,072.14 | 96,777.40 | 156,065.45 |
| 68 | 1603.52 | 2924.89 | 24,140.72 | 199,246.44 | 363,433.96 | 2042.98 | 3306.22 | 17,926.03 | 97,193.30 | 157,290.87 |
| 69 | 1558.99 | 2856.32 | 23,945.54 | 200,743.72 | 367,795.85 | 1994.18 | 3238.76 | 17,781.09 | 97,619.94 | 158,544.59 |
| 70 | 1515.46 | 2789.04 | 23,751.94 | 202,275.59 | 372,265.27 | 1946.32 | 3172.38 | 17,637.33 | 98,057.51 | 159,827.27 |
| 71 | 1472.94 | 2723.02 | 23,559.90 | 203,842.84 | 376,845.27 | 1899.38 | 3107.07 | 17,494.73 | 98,506.21 | 161,139.61 |
| 72 | 1431.39 | 2658.26 | 23,369.41 | 205,446.28 | 381,539.00 | 1853.35 | 3042.82 | 17,353.28 | 98,966.25 | 162,482.29 |
| 73 | 1390.80 | 2594.73 | 23,180.46 | 207,086.76 | 386,349.74 | 1808.21 | 2979.61 | 17,212.97 | 99,437.83 | 163,856.05 |
| 74 | 1351.15 | 2532.42 | 22,993.05 | 208,765.15 | 391,280.86 | 1763.96 | 2917.45 | 17,073.80 | 99,921.16 | 165,261.62 |
| 75 | 1312.44 | 2471.30 | 22,807.14 | 210,482.33 | 396,335.87 | 1720.58 | 2856.30 | 16,935.76 | 100,416.47 | 166,699.79 |
| 76 | 1274.63 | 2411.38 | 22,622.74 | 212,239.23 | 401,518.38 | 1678.05 | 2796.17 | 16,798.83 | 100,923.98 | 168,171.33 |
| 77 | 1237.72 | 2352.61 | 22,439.83 | 214,036.79 | 406,832.15 | 1636.38 | 2737.04 | 16,663.01 | 101,443.93 | 169,677.08 |
| 78 | 1201.70 | 2295.01 | 22,258.40 | 215,875.99 | 412,281.06 | 1595.54 | 2678.89 | 16,528.28 | 101,976.55 | 171,217.86 |
| 79 | 1166.53 | 2238.53 | 22,078.44 | 217,757.84 | 417,869.12 | 1555.51 | 2621.72 | 16,394.65 | 102,522.09 | 172,794.55 |
| 80 | 1132.22 | 2183.17 | 21,899.93 | 219,683.37 | 423,600.51 | 1516.30 | 2565.52 | 16,262.10 | 103,080.79 | 174,408.05 |
| 81 | 1098.73 | 2128.92 | 21,722.87 | 221,653.66 | 429,479.54 | 1477.89 | 2510.27 | 16,130.61 | 103,652.93 | 176,059.28 |
| 82 | 1066.07 | 2075.75 | 21,547.23 | 223,669.81 | 435,510.67 | 1440.27 | 2455.96 | 16,000.19 | 104,238.77 | 177,749.19 |
| 83 | 1034.20 | 2023.66 | 21,373.02 | 225,732.96 | 441,698.55 | 1403.42 | 2402.58 | 15,870.83 | 104,838.58 | 179,478.77 |
| 84 | 1003.13 | 1972.62 | 21,200.21 | 227,844.27 | 448,047.96 | 1367.33 | 2350.12 | 15,742.51 | 105,452.64 | 181,249.04 |
| 85 | 972.82 | 1922.61 | 21,028.81 | 230,004.97 | 454,563.89 | 1331.99 | 2298.57 | 15,615.23 | 106,081.24 | 183,061.03 |
| 86 | 943.28 | 1873.64 | 20,858.78 | 232,216.30 | 461,251.49 | 1297.39 | 2247.92 | 15,488.98 | 106,724.69 | 184,915.84 |
| 87 | 914.48 | 1825.67 | 20,690.14 | 234,479.55 | 468,116.12 | 1263.52 | 2198.15 | 15,363.75 | 107,383.28 | 186,814.57 |
| 88 | 886.41 | 1778.69 | 20,522.85 | 236,796.04 | 475,163.32 | 1230.37 | 2149.26 | 15,239.53 | 108,057.34 | 188,758.38 |
| Age (Years) | Percentile | ||||
|---|---|---|---|---|---|
| 2.5th | 5th | 50th | 95th | 97.5th | |
| 18 | 13.65 | 21.22 | 211.86 | 2115.55 | 3287.57 |
| 19 | 13.97 | 21.71 | 216.75 | 2164.31 | 3363.35 |
| 20 | 14.29 | 22.21 | 221.74 | 2214.19 | 3440.86 |
| 21 | 14.62 | 22.72 | 226.85 | 2265.22 | 3520.17 |
| 22 | 14.96 | 23.24 | 232.08 | 2317.43 | 3601.30 |
| 23 | 15.30 | 23.78 | 237.43 | 2370.84 | 3684.30 |
| 24 | 15.65 | 24.33 | 242.90 | 2425.49 | 3769.22 |
| 25 | 16.01 | 24.89 | 248.50 | 2481.39 | 3856.09 |
| 26 | 16.38 | 25.46 | 254.23 | 2538.58 | 3944.96 |
| 27 | 16.76 | 26.05 | 260.09 | 2597.09 | 4035.89 |
| 28 | 17.15 | 26.65 | 266.08 | 2656.94 | 4128.90 |
| 29 | 17.54 | 27.26 | 272.21 | 2718.18 | 4224.07 |
| 30 | 17.95 | 27.89 | 278.49 | 2780.83 | 4321.42 |
| 31 | 18.36 | 28.53 | 284.91 | 2844.92 | 4421.02 |
| 32 | 18.78 | 29.19 | 291.47 | 2910.49 | 4522.92 |
| 33 | 19.22 | 29.86 | 298.19 | 2977.57 | 4627.16 |
| 34 | 19.66 | 30.55 | 305.06 | 3046.20 | 4733.80 |
| 35 | 20.11 | 31.25 | 312.09 | 3116.40 | 4842.91 |
| 36 | 20.58 | 31.98 | 319.29 | 3188.23 | 4954.53 |
| 37 | 21.05 | 32.71 | 326.65 | 3261.71 | 5068.72 |
| 38 | 21.54 | 33.47 | 334.18 | 3336.89 | 5185.54 |
| 39 | 22.03 | 34.24 | 341.88 | 3413.80 | 5305.05 |
| 40 | 22.54 | 35.03 | 349.76 | 3492.48 | 5427.32 |
| 41 | 23.06 | 35.83 | 357.82 | 3572.97 | 5552.41 |
| 42 | 23.59 | 36.66 | 366.06 | 3655.32 | 5680.38 |
| 43 | 24.13 | 37.50 | 374.50 | 3739.57 | 5811.30 |
| 44 | 24.69 | 38.37 | 383.13 | 3825.75 | 5945.24 |
| 45 | 25.26 | 39.25 | 391.96 | 3913.93 | 6082.26 |
| 46 | 25.84 | 40.16 | 401.00 | 4004.14 | 6222.45 |
| 47 | 26.44 | 41.08 | 410.24 | 4096.42 | 6365.86 |
| 48 | 27.05 | 42.03 | 419.69 | 4190.84 | 6512.58 |
| 49 | 27.67 | 43.00 | 429.37 | 4287.43 | 6662.68 |
| 50 | 28.31 | 43.99 | 439.26 | 4386.24 | 6816.24 |
| 51 | 28.96 | 45.00 | 449.39 | 4487.34 | 6973.34 |
| 52 | 29.63 | 46.04 | 459.75 | 4590.76 | 7134.06 |
| 53 | 30.31 | 47.10 | 470.34 | 4696.56 | 7298.48 |
| 54 | 31.01 | 48.19 | 481.18 | 4804.81 | 7466.70 |
| 55 | 31.72 | 49.30 | 492.27 | 4915.55 | 7638.79 |
| 56 | 32.45 | 50.44 | 503.62 | 5028.84 | 7814.84 |
| 57 | 33.20 | 51.60 | 515.22 | 5144.75 | 7994.96 |
| 58 | 33.97 | 52.79 | 527.10 | 5263.32 | 8179.23 |
| 59 | 34.75 | 54.00 | 539.25 | 5384.63 | 8367.74 |
| 60 | 35.55 | 55.25 | 551.68 | 5508.73 | 8560.60 |
| 61 | 36.37 | 56.52 | 564.39 | 5635.70 | 8757.90 |
| 62 | 37.21 | 57.82 | 577.40 | 5765.59 | 8959.75 |
| 63 | 38.07 | 59.16 | 590.71 | 5898.47 | 9166.25 |
| 64 | 38.94 | 60.52 | 604.32 | 6034.42 | 9377.51 |
| 65 | 39.84 | 61.92 | 618.25 | 6173.50 | 9593.64 |
| 66 | 40.76 | 63.34 | 632.50 | 6315.78 | 9814.76 |
| 67 | 41.70 | 64.80 | 647.08 | 6461.35 | 10,040.96 |
| 68 | 42.66 | 66.30 | 661.99 | 6610.27 | 10,272.39 |
| 69 | 43.64 | 67.82 | 677.25 | 6762.62 | 10,509.14 |
| 70 | 44.65 | 69.39 | 692.86 | 6918.48 | 10,751.35 |
| 71 | 45.68 | 70.99 | 708.83 | 7077.94 | 10,999.15 |
| 72 | 46.73 | 72.62 | 725.16 | 7241.07 | 11,252.65 |
| 73 | 47.81 | 74.30 | 741.88 | 7407.96 | 11,512.00 |
| 74 | 48.91 | 76.01 | 758.97 | 7578.70 | 11,777.33 |
| 75 | 50.04 | 77.76 | 776.47 | 7753.37 | 12,048.77 |
| 76 | 51.19 | 79.55 | 794.36 | 7932.07 | 12,326.47 |
| 77 | 52.37 | 81.39 | 812.67 | 8114.88 | 12,610.56 |
| 78 | 53.58 | 83.26 | 831.40 | 8301.91 | 12,901.21 |
| 79 | 54.81 | 85.18 | 850.56 | 8493.25 | 13,198.55 |
| 80 | 56.08 | 87.14 | 870.17 | 8689.00 | 13,502.75 |
| 81 | 57.37 | 89.15 | 890.22 | 8889.27 | 13,813.96 |
| 82 | 58.69 | 91.21 | 910.74 | 9094.14 | 14,132.34 |
| 83 | 60.04 | 93.31 | 931.73 | 9303.74 | 14,458.06 |
| 84 | 61.43 | 95.46 | 953.21 | 9518.17 | 14,791.29 |
| 85 | 62.84 | 97.66 | 975.17 | 9737.55 | 15,132.19 |
| 86 | 64.29 | 99.91 | 997.65 | 9961.98 | 15,480.95 |
| 87 | 65.77 | 102.21 | 1020.64 | 10,191.58 | 15,837.76 |
| 88 | 67.29 | 104.57 | 1044.17 | 10,426.47 | 16,202.78 |
| Age (Years) | Percentile | ||||
|---|---|---|---|---|---|
| 2.5th | 5th | 50th | 95th | 97.5th | |
| 18 | 23.58 | 31.23 | 124.00 | 492.38 | 652.17 |
| 19 | 24.37 | 32.09 | 127.31 | 504.99 | 665.03 |
| 20 | 25.19 | 32.99 | 130.71 | 517.91 | 678.20 |
| 21 | 26.04 | 33.92 | 134.22 | 531.18 | 691.73 |
| 22 | 26.93 | 34.88 | 137.86 | 544.87 | 705.72 |
| 23 | 27.86 | 35.89 | 141.65 | 559.09 | 720.32 |
| 24 | 28.83 | 36.95 | 145.61 | 573.88 | 735.55 |
| 25 | 29.85 | 38.06 | 149.79 | 589.43 | 751.66 |
| 26 | 30.94 | 39.26 | 154.25 | 606.05 | 769.04 |
| 27 | 32.11 | 40.55 | 159.05 | 623.88 | 787.83 |
| 28 | 33.34 | 41.90 | 164.08 | 642.56 | 807.60 |
| 29 | 34.60 | 43.29 | 169.22 | 661.55 | 827.63 |
| 30 | 35.87 | 44.68 | 174.37 | 680.49 | 847.49 |
| 31 | 37.14 | 46.06 | 179.42 | 699.00 | 866.72 |
| 32 | 38.39 | 47.39 | 184.31 | 716.78 | 884.96 |
| 33 | 39.59 | 48.68 | 188.96 | 733.56 | 901.89 |
| 34 | 40.74 | 49.89 | 193.32 | 749.11 | 917.25 |
| 35 | 41.83 | 51.01 | 197.32 | 763.26 | 930.86 |
| 36 | 42.84 | 52.04 | 200.94 | 775.88 | 942.58 |
| 37 | 43.74 | 52.93 | 204.02 | 786.36 | 951.70 |
| 38 | 44.49 | 53.64 | 206.39 | 794.07 | 957.48 |
| 39 | 45.07 | 54.15 | 207.97 | 798.76 | 959.67 |
| 40 | 45.49 | 54.46 | 208.80 | 800.53 | 958.42 |
| 41 | 45.75 | 54.58 | 208.91 | 799.58 | 954.02 |
| 42 | 45.86 | 54.53 | 208.36 | 796.11 | 946.73 |
| 43 | 45.82 | 54.31 | 207.18 | 790.28 | 936.75 |
| 44 | 45.66 | 53.95 | 205.45 | 782.38 | 924.46 |
| 45 | 45.41 | 53.49 | 203.37 | 773.23 | 910.83 |
| 46 | 45.12 | 52.99 | 201.17 | 763.65 | 896.86 |
| 47 | 44.83 | 52.50 | 198.97 | 754.13 | 883.10 |
| 48 | 44.55 | 52.02 | 196.87 | 745.02 | 869.95 |
| 49 | 44.30 | 51.58 | 194.91 | 736.53 | 857.66 |
| 50 | 44.07 | 51.18 | 193.14 | 728.76 | 846.34 |
| 51 | 43.89 | 50.84 | 191.56 | 721.80 | 836.05 |
| 52 | 43.75 | 50.55 | 190.20 | 715.70 | 826.89 |
| 53 | 43.65 | 50.30 | 189.03 | 710.34 | 818.66 |
| 54 | 43.56 | 50.09 | 187.97 | 705.47 | 811.09 |
| 55 | 43.49 | 49.88 | 186.97 | 700.84 | 803.88 |
| 56 | 43.40 | 49.67 | 185.97 | 696.22 | 796.76 |
| 57 | 43.30 | 49.44 | 184.88 | 691.37 | 789.45 |
| 58 | 43.16 | 49.17 | 183.67 | 686.05 | 781.69 |
| 59 | 42.96 | 48.85 | 182.26 | 680.06 | 773.24 |
| 60 | 42.70 | 48.45 | 180.60 | 673.18 | 763.85 |
| 61 | 42.36 | 47.97 | 178.64 | 665.20 | 753.31 |
| 62 | 41.93 | 47.40 | 176.32 | 655.93 | 741.38 |
| 63 | 41.40 | 46.71 | 173.60 | 645.22 | 727.91 |
| 64 | 40.76 | 45.90 | 170.45 | 632.96 | 712.79 |
| 65 | 40.01 | 44.98 | 166.88 | 619.18 | 696.04 |
| 66 | 39.17 | 43.95 | 162.95 | 604.14 | 677.96 |
| 67 | 38.25 | 42.85 | 158.76 | 588.15 | 658.92 |
| 68 | 37.29 | 41.70 | 154.39 | 571.54 | 639.27 |
| 69 | 36.28 | 40.52 | 149.90 | 554.57 | 619.32 |
| 70 | 35.26 | 39.31 | 145.35 | 537.37 | 599.20 |
| 71 | 34.21 | 38.09 | 140.74 | 520.01 | 578.98 |
| 72 | 33.15 | 36.85 | 136.08 | 502.52 | 558.71 |
| 73 | 32.07 | 35.60 | 131.40 | 484.96 | 538.43 |
| 74 | 30.98 | 34.35 | 126.70 | 467.38 | 518.21 |
| 75 | 29.88 | 33.09 | 122.00 | 449.84 | 498.11 |
| 76 | 28.78 | 31.83 | 117.32 | 432.39 | 478.18 |
| 77 | 27.69 | 30.58 | 112.67 | 415.08 | 458.48 |
| 78 | 26.60 | 29.34 | 108.06 | 397.97 | 439.05 |
| 79 | 25.52 | 28.12 | 103.51 | 381.08 | 419.93 |
| 80 | 24.45 | 26.91 | 99.03 | 364.47 | 401.18 |
| 81 | 23.39 | 25.72 | 94.63 | 348.17 | 382.82 |
| 82 | 22.36 | 24.56 | 90.33 | 332.26 | 364.95 |
| 83 | 21.35 | 23.43 | 86.15 | 316.82 | 347.63 |
| 84 | 20.38 | 22.34 | 82.12 | 301.90 | 330.94 |
| 85 | 19.43 | 21.28 | 78.23 | 287.56 | 314.93 |
| 86 | 18.53 | 20.27 | 74.51 | 273.84 | 299.63 |
| 87 | 17.66 | 19.31 | 70.96 | 260.76 | 285.06 |
| 88 | 16.84 | 18.40 | 67.59 | 248.32 | 271.23 |
Appendix C. Reference Intervals Classification
| Age | Sex | OSDI | T-BUT | Schirmer | Corneal Stain. | EGF | Fractalkine | IL-1RA | IL-8 | IP-10 | MCP-1 | VEGF | |||||||
|---|---|---|---|---|---|---|---|---|---|---|---|---|---|---|---|---|---|---|---|
| Level | Class | Level | Class | Level | Class | Level | Class | Level | Class | Level | Class | Level | Class | ||||||
| 27 | M | 2.1 | 10.0 | 30.0 | 0 | 1940 | Normal | 424 | Normal | 2020 | Normal | 293 | Normal | 54,000 | Normal | NA | NA | 555 | Normal |
| 29 | F | 4.5 | 9.7 | 35.0 | 0 | 2660 | Normal | 630 | Normal | 2700 | Normal | 429 | Normal | 48,600 | Normal | NA | NA | 58 | Normal |
| 25 | F | 4.2 | 8.3 | 12.0 | 0 | 2110 | Normal | 237 | Normal | 2090 | Normal | 186 | Normal | 62,800 | Normal | NA | NA | 58 | Normal |
| 29 | M | 0.0 | 10.0 | 8.0 | 0 | 1770 | Normal | 890 | Normal | 2330 | Normal | 155 | Normal | 29,200 | Normal | NA | NA | 58 | Normal |
| 56 | M | 0.0 | 10.3 | 5.0 | 0 | 419 | Normal | NA | NA | 8400 | High | 122.5 | Normal | 67,500 | Normal | NA | NA | 58 | Normal |
| 24 | M | 0.0 | 15.0 | 9.0 | 0 | 880 | Normal | 469.5 | Normal | 3175 | Normal | 486 | High | 50,500 | Normal | NA | NA | 520 | Normal |
| 20 | F | 0.0 | 10.0 | 20.0 | 0 | 1890 | Normal | 221.5 | Normal | 5350 | Normal | 139 | Normal | 22,250 | Normal | NA | NA | 104 | Normal |
| 19 | F | 4.5 | 11.0 | 14.0 | 0 | 1110 | Normal | 560 | Normal | NA | NA | 98 | Normal | 31,450 | Normal | NA | NA | 429.5 | Normal |
| 20 | M | 4.2 | 9.0 | 15.0 | 0 | 1650 | Normal | 313 | Normal | 1935 | Normal | 133 | Normal | 38,350 | Normal | NA | NA | 104 | Normal |
| 18 | M | 4.2 | 16.0 | 22.0 | 0 | 1675 | Normal | 640 | Normal | 4620 | Normal | 421 | High | 54,500 | Normal | NA | NA | 460 | Normal |
| 19 | F | 10.4 | 18.0 | 14.0 | 0 | 1635 | Normal | 448.5 | Normal | 7950 | High | 465 | Normal | 41,950 | Normal | NA | NA | 465 | Normal |
| 20 | F | 0.0 | 13.0 | 6.0 | 0 | 449 | Normal | 510 | Normal | 590 | Normal | 190.5 | Normal | 41,850 | Normal | NA | NA | 715 | High |
| 30 | F | 4.2 | 15.0 | 30.0 | 0 | 520 | Normal | 685 | Normal | 258.5 | Normal | 385 | Normal | 51,500 | Normal | NA | NA | 364.5 | Normal |
| 20 | F | 8.3 | 18.0 | 35.0 | 0 | 865 | Normal | 235.5 | Normal | 4380 | Normal | 148 | Normal | 47,150 | Normal | NA | NA | 104 | Normal |
| 20 | F | 2.1 | 18.0 | 8.0 | 0 | 1335 | Normal | 560 | Normal | 275.5 | Normal | 340.5 | Normal | 23,850 | Normal | NA | NA | 354.5 | Normal |
| 20 | F | 8.3 | 8.0 | 6.0 | 0 | 235 | Normal | 416.5 | Normal | 275.5 | Normal | 69.5 | Normal | 13,700 | Normal | NA | NA | 333.5 | Normal |
| 20 | F | 8.3 | 25.0 | 15.0 | 0 | 2565 | Normal | 890 | High | 4395 | Normal | 397 | Normal | 52,500 | Normal | NA | NA | 104 | Normal |
| 20 | F | 8.3 | 15.0 | 10.0 | 0 | 1105 | Normal | 349 | Normal | 155 | Normal | 92.5 | Normal | 39,700 | Normal | NA | NA | 354.5 | Normal |
| 24 | M | 2.1 | 11.0 | 35.0 | 0 | 870 | Normal | 427.5 | Normal | 1600 | Normal | 116 | Normal | 30,800 | Normal | NA | NA | 104 | Normal |
| 24 | F | 4.2 | 11.0 | 35.0 | 0 | 805 | Normal | 325 | Normal | 4600 | Normal | 429.5 | Normal | 63,500 | Normal | NA | NA | 645 | High |
| 47 | F | 2.1 | 13.0 | 33.0 | 0 | 170 | Normal | 368 | Normal | 296 | Normal | 30 | Normal | 4790 | Normal | NA | NA | 463 | Normal |
| 66 | M | 0.0 | 13.0 | 12.0 | 0 | 1190 | Normal | 1040 | Normal | 1120 | Normal | 145 | Normal | 7760 | Normal | NA | NA | 550 | Normal |
| 53 | M | 10.4 | 9.0 | 6.0 | 0 | 1560 | Normal | 1490 | High | 849 | Normal | 80 | Normal | 19,200 | Normal | NA | NA | 242 | Normal |
| 62 | M | 4.2 | 9.0 | 10.0 | 0 | 406 | Normal | 1050 | Normal | 3320 | Normal | 150 | Normal | 59,400 | Normal | NA | NA | 489 | Normal |
| 25 | F | 0.0 | 12.0 | 20.0 | 0 | 1280 | Normal | 187 | Normal | 545 | Normal | 296 | Normal | 9060 | Normal | NA | NA | 108 | Normal |
| 62 | M | 0.0 | 12.0 | 10.0 | 0 | 566 | Normal | 187 | Normal | 2420 | Normal | 235 | Normal | 3930 | Normal | NA | NA | 108 | Normal |
| 18 | F | 0.0 | 12.0 | 25.0 | 0 | 597 | Normal | 770 | Normal | 1190 | Normal | 357 | Normal | 40,400 | Normal | NA | NA | 108 | Normal |
| 21 | M | 0.0 | 10.0 | 20.0 | 0 | 275 | Normal | 187 | Normal | 115 | Normal | 102 | Normal | 7910 | Low | NA | NA | 108 | Normal |
| 56 | M | 0.0 | 12.0 | 20.0 | 0 | 408 | Normal | 187 | Normal | 186 | Normal | 262 | Normal | 16,900 | Normal | NA | NA | 108 | Normal |
| 62 | M | 0.0 | 10.0 | 15.0 | 0 | 518 | Normal | 679 | Normal | 5890 | High | 306 | Normal | 18,600 | Normal | NA | NA | 108 | Normal |
| 58 | F | 0.0 | 12.0 | 13.0 | 0 | 164 | Normal | 418 | Normal | 2620 | Normal | 199 | Normal | 24,600 | Normal | NA | NA | 108 | Normal |
| 54 | M | 0.0 | 11.7 | 22.0 | 0 | 544 | Normal | 261 | Normal | 5525 | Normal | 240 | Normal | 23,300 | Normal | NA | NA | 630 | Normal |
| 31 | M | 9.1 | 16.0 | 35.0 | 0 | 171 | Normal | 1050 | Normal | 4780 | Normal | 180 | Normal | NA | NA | 524 | Normal | NA | NA |
| 24 | F | 11.4 | 11.7 | 35.0 | 0 | 1670 | Normal | NA | NA | 2570 | Normal | 253 | Normal | 27,000 | Normal | 1200 | Normal | NA | NA |
| 19 | M | 8.3 | 8.7 | 30.0 | 0 | 383 | Normal | NA | NA | 740 | Normal | 29.3 | Normal | 23,500 | Normal | 143 | Normal | NA | NA |
| 24 | F | 6.3 | 7.3 | 35.0 | 0 | 1670 | Normal | 120 | Normal | 1120 | Normal | 92.2 | Normal | NA | NA | 126 | Normal | NA | NA |
| 36 | M | 5.6 | 11.3 | 19.0 | 0 | 864 | Normal | 318 | Normal | 5700 | Normal | 95.6 | Normal | NA | NA | 1500 | Normal | NA | NA |
| 21 | F | 11.1 | 8.0 | 5.0 | 0 | 1530 | Normal | NA | NA | 1610 | Normal | 256 | Normal | 23,400 | Normal | 189 | Normal | NA | NA |
| 20 | F | 7.5 | 8.0 | 22.0 | 0 | 551 | Normal | 225 | Normal | 4510 | Normal | 145 | Normal | NA | NA | 141 | Normal | NA | NA |
| 27 | M | 9.1 | 7.3 | 30.0 | 0 | 999 | Normal | 800 | Normal | 3660 | Normal | 101 | Normal | NA | NA | 166 | Normal | NA | NA |
| Age | Sex | OSDI | T-BUT | Schirmer | Corneal Stain. | EGF | Fractalkine | IL-1RA | IL-8 | IP-10 | MCP-1 | VEGF | |||||||
|---|---|---|---|---|---|---|---|---|---|---|---|---|---|---|---|---|---|---|---|
| Level | Class | Level | Class | Level | Class | Level | Class | Level | Class | Level | Class | Level | Class | ||||||
| 59 | F | 90.0 | 2.3 | 0.0 | 4.0 | 1040 | Normal | 1220 | High | 96,500 | High | 1780 | High | 110,000 | Normal | NA | NA | 1490 | High |
| 55 | M | 45.0 | 1.0 | 0.0 | 4.0 | 937 | Normal | NA | NA | 100,000 | High | 16,900 | High | 3300 | Low | NA | NA | 2100 | High |
| 47 | F | 66.7 | 0.7 | 0.0 | 3.0 | 117 | Normal | 615 | Normal | 45,400 | High | 327 | Normal | 244 | Low | NA | NA | 219 | Normal |
| 69 | M | 57.5 | 2.3 | 2.0 | 3.0 | 104 | Normal | 1050 | Normal | 48,300 | High | 1480 | High | 3230 | Low | NA | NA | 862 | High |
| 55 | M | 75.0 | 1.0 | 2.0 | 3.0 | 175 | Normal | 1000 | Normal | 43,100 | High | 2390 | High | 2430 | Low | NA | NA | 1050 | High |
| 54 | F | 75.0 | 1.0 | 1.0 | 3.0 | 292 | Normal | 2660 | High | 47,900 | High | 13,400 | High | 38,600 | Normal | NA | NA | 3050 | High |
| 60 | F | 78.1 | 1.0 | 0.0 | 3.0 | 468 | Normal | 1750 | High | 65,300 | High | 1370 | High | 40,400 | Normal | NA | NA | 699 | High |
| 58 | F | 45.0 | 2.0 | 2.0 | 3.0 | 27 | Low | 3890 | High | 88,800 | High | 3760 | High | 149,000 | Normal | NA | NA | 805 | High |
| 72 | F | 85.0 | 2.0 | 2.0 | 4.0 | 303 | Normal | 860 | High | 7420 | High | 1640 | High | 3800 | Normal | NA | NA | 1020 | High |
| 53 | M | 85.0 | 1.3 | 1.0 | 3.0 | 1040 | Normal | 1290 | High | 9390 | High | 19,700 | High | 12 | Low | NA | NA | 58 | Normal |
| 75 | F | 34.4 | 1.0 | 0.0 | 3.0 | 360 | Normal | 1490 | High | 10,400 | High | 4830 | High | 29,300 | Normal | NA | NA | 254 | Normal |
| 51 | F | 50.0 | 0.7 | 1.0 | 3.0 | 27 | Low | 5950 | High | 69,500 | High | 4470 | High | 32,500 | Normal | NA | NA | 2870 | High |
| 49 | F | 61.4 | 1.0 | 1.0 | 4.0 | 37.3 | Low | NA | NA | 1160 | Normal | 582 | High | 9250 | Normal | 12.3 | Low | NA | NA |
References
- Monastero, R.N.; Pentyala, S. Cytokines as biomarkers and their respective clinical cutoff levels. Int. J. Inflamm. 2017, 4309485. [Google Scholar] [CrossRef] [PubMed] [Green Version]
- von Thun Und Hohenstein-Blaul, N.; Funke, S.; Grus, F.H. Tears as a source of biomarkers for ocular and systemic diseases. Exp. Eye Res. 2013, 117, 126–137. [Google Scholar] [CrossRef] [PubMed]
- Hagan, S.; Martin, E.; Enríquez-de-Salamanca, A. Tear fluid biomarkers in ocular and systemic disease: Potential use for predictive, preventive and personalised medicine. EPMA J. 2016, 7, 15. [Google Scholar] [CrossRef] [PubMed] [Green Version]
- Tamhane, M.; Cabrera-Ghayouri, S.; Abelian, G.; Viswanath, V. Review of biomarkers in ocular matrices: Challenges and opportunities. Pharm. Res. 2019, 36, 40. [Google Scholar] [CrossRef] [PubMed] [Green Version]
- Roy, N.S.; Wei, Y.; Kuklinski, E.; Asbell, P.A. The growing need for validated biomarkers and endpoints for dry eye clinical research. Investig. Ophthalmol. Vis. Sci. 2017, 58, BIO1–BIO19. [Google Scholar] [CrossRef] [Green Version]
- Soria, J.; Durán, J.A.; Etxebarria, J.; Merayo, J.; González, N.; Reigada, R.; García, I.; Acera, A.; Suárez, T. Tear proteome and protein network analyses reveal a novel pentamarker panel for tear film characterization in dry eye and meibomian gland dysfunction. J. Proteom. 2013, 78, 94–112. [Google Scholar] [CrossRef] [PubMed]
- Versura, P.; Bavelloni, A.; Grillini, M.; Fresina, M.; Campos, E.C. Diagnostic performance of a tear protein panel in early dry eye. Mol. Vis. 2013, 19, 1247–1257. [Google Scholar]
- Pinto-Fraga, J.; Enríquez-de-Salamanca, A.; Calonge, M.; González-García, M.J.; López-Miguel, A.; López-de la Rosa, A.; García-Vázquez, C.; Calder, V.; Stern, M.E.; Fernández, I. Severity, therapeutic, and activity tear biomarkers in dry eye disease: An analysis from a phase III clinical trial. Ocul. Surf. 2018, 6, 368–376. [Google Scholar] [CrossRef]
- Stern, M.E.; Schaumburg, C.S.; Pflugfelder, S.C. Dry eye as a mucosal autoimmune disease. Int. Rev. Immunol. 2013, 32, 19–41. [Google Scholar] [CrossRef]
- Craig, J.P.; Nichols, K.K.; Akpek, E.K.; Caffery, B.; Dua, H.S.; Joo, C.K.; Liu, Z.; Nelson, J.D.; Nichols, J.J.; Tsubota, K.; et al. TFOS DEWS II Definition and Classification Report. Ocul. Surf. 2017, 15, 276–283. [Google Scholar] [CrossRef]
- Zhou, L.; Beuerman, R.W. Tear analysis in ocular surface diseases. Prog. Retin. Eye Res. 2012, 31, 527–550. [Google Scholar] [CrossRef]
- Micera, A.; Zazzo, A.D.; Esposito, G.; Longo, R.; Foulsham, W.; Sacco, R.; Sgrulletta, R.; Bonini, S. Age-related changes to human tear composition. Investig. Ophthalmol. Vis. Sci. 2018, 59, 2024–2031. [Google Scholar] [CrossRef] [Green Version]
- Carreño, E.; Enríquez-de-Salamanca, A.; Tesón, M.; García-Vázquez, C.; Stern, M.E.; Whitcup, S.M.; Calonge, M. Cytokine and chemokine levels in tears from healthy subjects. Acta Ophthalmol. 2010, 88, e250–e258. [Google Scholar] [CrossRef]
- LaFrance, M.W.; Kehinde, L.E.; Fullard, R.J. Multiple cytokine analysis in human tears: An optimized procedure for cytometric bead-based assay. Curr. Eye Res. 2008, 33, 525–544. [Google Scholar] [CrossRef]
- McGill, J.I.; Liakos, G.M.; Goulding, N.; Seal, D.V. Normal tear protein profiles and age-related changes. Br. J. Ophthalmol. 1984, 68, 316–320. [Google Scholar] [CrossRef] [Green Version]
- Nättinen, J.; Jylhä, A.; Aapola, U.; Mäkinen, P.; Beuerman, R.; Pietilä, J.; Vaajanen, A.; Uusitalo, H. Age-associated changes in human tear proteome. Clin. Proteom. 2019, 16, 11. [Google Scholar] [CrossRef] [PubMed]
- Rigby, R.A.; Stasinopoulos, D.M. Generalized additive models for location, scale and shape (with discussion). Appl. Stat. 2005, 54, 507–554. [Google Scholar] [CrossRef] [Green Version]
- Borghi, E.; de Onis, M.; Garza, C.; Van den Broeck, J.; Frongillo, E.A.; Grummer-Strawn, L.; Van Buuren, S.; Pan, H.; Molinari, L.; Martorell, R.; et al. Construction of the World Health Organization child growth standards: Selection of methods for attained growth curves. Stat. Med. 2006, 25, 247–265. [Google Scholar] [CrossRef] [PubMed]
- Chamitava, L.; Garcia-Larsen, V.; Cazzoletti, L.; Degan, P.; Pasini, A.; Bellisario, V.; Corsico, A.G.; Nicolis, M.; Olivieri, M.; Pirina, P.; et al. Determination of adjusted reference intervals of urinary biomarkers of oxidative stress in healthy adults using GAMLSS models. PLoS ONE 2018, 13, e0206176. [Google Scholar] [CrossRef] [PubMed]
- Flatley, C.; Kumar, S.; Greer, R.M. Reference centiles for the middle cerebral artery and umbilical artery pulsatility index and cerebro-placental ratio from a low-risk population—A Generalised Additive Model for Location, Shape and Scale (GAMLSS) approach. J. Matern.-Fetal Neonatal. Med. 2019, 32, 2338–2345. [Google Scholar] [CrossRef] [PubMed]
- Enríquez-de-Salamanca, A.; Castellanos, E.; Stern, M.E.; Fernández, I.; Carreño, E.; García-Vázquez, C.; Herreras, J.M.; Calonge, M. Tear cytokine and chemokine analysis and clinical correlations in evaporative-type dry eye disease. Mol. Vis. 2010, 16, 862–873. [Google Scholar]
- Carreño, E.; Portero, A.; Herreras, J.M.; García-Vázquez, C.; Whitcup, S.M.; Stern, M.E.; Calonge, M.; Enríquez-de-Salamanca, A. Cytokine and chemokine tear levels in patients with uveitis. Acta Ophthalmol. 2017, 95, e405–e414. [Google Scholar] [CrossRef] [Green Version]
- Helsel, D.R.; Cohn, T.A. Estimation of descriptive statistics for multiply censored water quality data. Water Resour. Res. 1988, 24, 1997–2004. [Google Scholar] [CrossRef]
- Akaike, H. Information measures and model selection. Int. Stat. Inst. 1983, 50, 277–291. [Google Scholar]
- Dunn, P.K.; Smyth, G.K. Randomised quantile residuals. J. Comput. Graph. Stat. 1996, 5, 236–244. [Google Scholar] [CrossRef]
- van Buuren, S.; Fredriks, M. Worm plot: A simple diagnostic device for modelling growth reference curves. Stat. Med. 2001, 20, 1259–1277. [Google Scholar] [CrossRef]
- Wolffsohn, J.S.; Arita, R.; Chalmers, R.; Djalilian, A.; Dogru, M.; Dumbleton, K.; Gupta, P.K.; Karpecki, P.; Lazreg, S.; Pult, H.; et al. TFOS Dry Eye workshop (DEWS) II Diagnostic methodology report. Ocul. Surf. 2017, 15, 539–574. [Google Scholar] [CrossRef]
- CLSI. Defining, Establishing, and Verifying Reference Intervals in the Clinical Laboratory; Approved Guideline, 3rd ed.; CLSI Document EP28-A3c; Clinical and Laboratory Standards Institute: Wayne, PA, USA, 2008. [Google Scholar]
- Zhou, X.; Fragala, M.S.; McElhaney, J.E.; Kuchel, G.A. Conceptual and methodological issues relevant to cytokine and inflammatory marker measurements in clinical research. Curr. Opin. Clin. Nutr. Metab. Care 2010, 13, 541–547. [Google Scholar] [CrossRef] [PubMed] [Green Version]
- Genser, B.; Cooper, P.J.; Yazdanbakhsh, M.; Barreto, M.L.; Rodrigues, L.C. A guide to modern statistical analysis of immunological data. BMC Immunol. 2007, 8, 27. [Google Scholar] [CrossRef] [PubMed] [Green Version]
- Rea, I.M.; Gibson, D.S.; McGilligan, V.; McNerlan, S.E.; Alexander, H.D.; Ross, O.A. Age and age-related diseases: Role of inflammation triggers and cytokines. Front. Immunol. 2018, 9, 586. [Google Scholar] [CrossRef] [PubMed]
- Franceschi, C.; Bonafè, M.; Valensin, S.; Olivieri, F.; De Luca, M.; Ottaviani, E.; De Benedictis, G. Inflamm-aging. An evolutionary perspective on immunosenescence. Ann. N. Y. Acad. Sci. 2000, 908, 244–254. [Google Scholar] [CrossRef]
- Xia, S.; Zhang, X.; Zheng, S.; Khanabdali, R.; Kalionis, B.; Wu, J.; Wan, W.; Tai, X. An update on inflamm-aging: Mechanisms, prevention, and treatment. J. Immunol. Res. 2016, 2016, 8426874. [Google Scholar] [CrossRef]
- Krabbe, K.S.; Pedersen, M.; Bruunsgaard, H. Inflammatory mediators in the elderly. Exp. Gerontol. 2004, 39, 687–699. [Google Scholar] [CrossRef]
- Antonelli, A.; Rotondi, M.; Fallahi, P.; Ferrari, S.M.; Paolicchi, A.; Romagnani, P.; Serio, M.; Ferrannini, E. Increase of CXC chemokine CXCL10 and CC chemokine CCL2 serum levels in normal ageing. Cytokine 2006, 34, 32–38. [Google Scholar] [CrossRef]
- Hu, W.T.; Howell, J.C.; Ozturk, T.; Gangishetti, U.; Kollhoff, A.L.; Hatcher-Martin, J.M.; Anderson, A.M.; Tyor, W.R. CSF cytokines in aging, multiple sclerosis, and dementia. Front. Immunol. 2019, 10, 480. [Google Scholar] [CrossRef] [Green Version]
- Valiathan, R.; Ashman, M.; Asthana, D. Effects of ageing on the immune system: Infants to elderly. Scand. J. Immunol. 2016, 83, 255–266. [Google Scholar] [CrossRef] [PubMed] [Green Version]
- Wieczorowska-Tobis, K.; Niemir, Z.I.; Podkówka, R.; Korybalska, K.; Mossakowska, M.; Breborowicz, A. Can an increased level of circulating IL-8 be a predictor of human longevity? Med. Sci. Monit. 2006, 12, CR118-21. [Google Scholar] [PubMed]
- Cavallone, L.; Bonafè, M.; Olivieri, F.; Cardelli, M.; Marchegiani, F.; Giovagnetti, S.; Di Stasio, G.; Giampieri, C.; Mugianesi, E.; Stecconi, R.; et al. The role of IL-1 gene cluster in longevity: A study in Italian population. Mech. Ageing Dev. 2003, 124, 533–538. [Google Scholar] [CrossRef]
- Jylhä, M.; Paavilainen, P.; Lehtimäki, T.; Goebeler, S.; Karhunen, P.J.; Hervonen, A.; Hurme, M. Interleukin-1 receptor antagonist, interleukin-6, and C-reactive protein as predictors of mortality in nonagenarians: The vitality 90+ study. J. Gerontol. A Biol. Sci. Med. Sci. 2007, 62, 1016–1021. [Google Scholar] [CrossRef] [Green Version]
- Nguyen, V.; Mendelsohn, A.; Larrick, J.W. Interleukin-7 and immunosenescence. J. Immunol. Res. 2017, 2017, 4807853. [Google Scholar] [CrossRef] [Green Version]
- Nasi, M.; Troiano, L.; Lugli, E.; Pinti, M.; Ferraresi, R.; Monterastelli, E.; Mussi, C.; Salvioli, G.; Franceschi, C.; Cossarizza, A. Thymic output and functionality of the IL-7/IL-7 receptor system in centenarians: Implications for the neolymphogenesis at the limit of human life. Aging Cell 2006, 5, 167–175. [Google Scholar] [CrossRef] [Green Version]
- Ruggiero, D.; Dalmasso, C.; Nutile, T.; Sorice, R.; Dionisi, L.; Aversano, M.; Bröet, P.; Leutenegger, A.L.; Bourgain, C.; Ciullo, M. Genetics of VEGF serum variation in human isolated populations of cilento: Importance of VEGF polymorphisms. PLoS ONE 2011, 6, e16982. [Google Scholar] [CrossRef]
- Saldías, M.P.; Fernández, C.; Morgan, A.; Díaz, C.; Morales, D.; Jaña, F.; Gómez, A.; Silva, A.; Briceño, F.; Oyarzún, A.; et al. Aged blood factors decrease cellular responses associated with delayed gingival wound repair. PLoS ONE 2017, 12, e0184189. [Google Scholar] [CrossRef] [Green Version]
- Scheubel, R.J.; Zorn, H.; Silber, R.E.; Kuss, O.; Morawietz, H.; Holtz, J.; Simm, A. Age-dependent depression in circulating endothelial progenitor cells in patients undergoing coronary artery bypass grafting. J. Am. Coll. Cardiol. 2003, 42, 2073–2080. [Google Scholar] [CrossRef] [PubMed] [Green Version]
- Chakraborty, A.; Chatterjee, M.; Twaalfhoven, H.; Del Campo Milan, M.; Teunissen, C.E.; Scheltens, P.; Fontijn, R.U.; van Der Flier, W.M.; de Vries, H.E. Vascular Endothelial Growth Factor remains unchanged in cerebrospinal fluid of patients with Alzheimer’s disease and vascular dementia. Alzheimers Res. Ther. 2018, 10, 58. [Google Scholar] [CrossRef] [PubMed]
- Rübenhagen, R.; Schüttrumpf, J.P.; Stürmer, K.M.; Frosch, K.H. Interleukin-7 levels in synovial fluid increase with age and MMP-1 levels decrease with progression of osteoarthritis. Acta Orthop. 2012, 83, 59–64. [Google Scholar] [CrossRef] [Green Version]
- Di Zazzo, A.; Micera, A.; Coassin, M.; Varacalli, G.; Foulsham, W.; De Piano, M.; Bonini, S. InflammAging at ocular surface: Clinical and biomolecular analyses in healthy volunteers. Investig. Ophthalmol. Vis. Sci. 2019, 60, 1769–1775. [Google Scholar] [CrossRef] [PubMed] [Green Version]
- Gallenga, C.E.; Parmeggiani, F.; Costagliola, C.; Sebastiani, A.; Gallenga, P.E. Inflammaging: Should this term be suitable for age related macular degeneration too? Inflamm. Res. 2014, 63, 105–107. [Google Scholar] [CrossRef] [PubMed]
- Vohra, R.; Tsai, J.C.; Kolko, M. The role of inflammation in the pathogenesis of glaucoma. Surv. Ophthalmol. 2013, 58, 311–320. [Google Scholar] [CrossRef] [PubMed]
- McMonnies, C.W. Glaucoma history and risk factors. J. Optom. 2017, 10, 71–78. [Google Scholar] [CrossRef] [Green Version]
- Milan-Mattos, J.C.; Anibal, F.F.; Perseguini, N.M.; Minatel, V.; Rehder-Santos, P.; Castro, C.A.; Vasilceac, F.A.; Mattiello, S.M.; Faccioli, L.H.; Catai, A.M. Effects of natural aging and gender on pro-inflammatory markers. Braz. J. Med. Biol. Res. 2019, 52, e8392. [Google Scholar] [CrossRef] [Green Version]
- Enríquez-de-Salamanca, A.; Calonge, M. Cytokines and chemokines in immune-based ocular surface inflammation. Expert Rev. Clin. Immunol. 2008, 4, 457–467. [Google Scholar] [CrossRef] [PubMed]
- Enríquez-de-Salamanca, A.; Bonini, S.; Calonge, M. Molecular and cellular biomarkers in dry eye disease and ocular allergy. Curr. Opin. Allergy Clin. Immunol. 2012, 12, 523–533. [Google Scholar] [CrossRef] [PubMed]
- Lam, H.; Bleiden, L.; de Paiva, C.S.; Farley, W.; Stern, M.E.; Pflugfelder, S.C. Tear cytokine profiles in dysfunctional tear syndrome. Am. J. Ophthalmol. 2009, 147, 198–205. [Google Scholar] [CrossRef] [PubMed] [Green Version]
- Massingale, M.L.; Li, X.; Vallabhajosyula, M.; Chen, D.; Wei, Y.; Asbell, P.A. Analysis of inflammatory cytokines in the tears of dry eye patients. Cornea 2009, 28, 1023–1027. [Google Scholar] [CrossRef] [PubMed]
- Choi, W.; Li, Z.; Oh, H.J.; Im, S.K.; Lee, S.H.; Park, S.H.; You, I.C.; Yoon, K.C. Expression of CCR5 and its ligands CCL3, −4, and −5 in the tear film and ocular surface of patients with dry eye disease. Curr. Eye Res. 2012, 37, 12–17. [Google Scholar] [CrossRef]
- Huang, J.F.; Zhang, Y.; Rittenhouse, K.D.; Pickering, E.H.; McDowell, M.T. Evaluations of tear protein markers in dry eye disease: Repeatability of measurement and correlation with disease. Investig. Ophthalmol. Vis. Sci. 2012, 53, 4556–4564. [Google Scholar] [CrossRef] [Green Version]
- Na, K.S.; Mok, J.W.; Kim, J.Y.; Rho, C.R.; Joo, C.K. Correlations between tear cytokines, chemokines, and soluble receptors and clinical severity of dry eye disease. Investig. Ophthalmol. Vis. Sci. 2012, 53, 5443–5450. [Google Scholar] [CrossRef] [Green Version]
- Pflugfelder, S.C.; Jones, D.; Ji, Z.; Afonso, A. Monroy, D. Altered cytokine balance in the tear fluid and conjunctiva of patients with Sjögren’s syndrome keratoconjunctivitis sicca. Curr. Eye Res. 1999, 19, 201–211. [Google Scholar] [CrossRef]
- Ohashi, Y.; Ishida, R.; Kojima, T.; Goto, E.; Matsumoto, Y.; Watanabe, K.; Ishida, N.; Nakata, K.; Takeuchi, T.; Tsubota, K. Abnormal protein profiles in tears with dry eye syndrome. Am. J. Ophthalmol. 2003, 136, 291–299. [Google Scholar] [CrossRef]
- Cocho, L.; Fernández, I.; Calonge, M.; Sainz de la Maza, M.; Rovira, M.; Stern, M.E.; García-Vázquez, C.; Enríquez-de-Salamanca, A. Prehematopoietic stem cell transplantation tear cytokines as potential susceptibility biomarkers for ocular chronic Graft-Versus-Host disease. Investig. Ophthalmol. Vis. Sci. 2017, 58, 4836–4846. [Google Scholar] [CrossRef] [Green Version]
- Gurumurthy, S.; Iyer, G.; Srinivasan, B.; Agarwal, S.; Angayarkanni, N. Ocular surface cytokine profile in chronic Stevens-Johnson syndrome and its response to mucous membrane grafting for lid margin keratinisation. Br. J. Ophthalmol. 2018, 102, 169–176. [Google Scholar] [CrossRef] [Green Version]
- Hernandez-Molina, G.; Ruiz-Quintero, N.; Lima, G.; Hernández-Ramírez, D.; Llorente-Chavez, A.; Saavedra-González, V.; Jimenez-Soto, R.; Llorente, L. Dry eye in Sjögren’s Syndrome: Chemokine and Cytokine tear spectrum. Ann. Rheum. Dis. 2019, 78, 389. [Google Scholar] [CrossRef] [Green Version]
- Than, T.P.; Guyette, N.; Tran, K.; Elder, K.; Sims, J.; Kehinde, L.; Shin, P.; Williams, L.; Bradley, J.; Fullard, R. Correlations between tear IP-10 and other biomarkers in normal and dry eye patients. Investig. Ophthalmol. Vis. Sci. 2011, 52, 3807. [Google Scholar]
- Yoon, K.C.; Park, C.S.; You, I.C.; Choi, H.J.; Lee, K.H.; Im, S.K.; Park, H.Y.; Pflugfelder, S.C. Expression of CXCL9, -10, -11, and CXCR3 in the tear film and ocular surface of patients with dry eye syndrome. Investig. Ophthalmol. Vis. Sci. 2010, 51, 643–650. [Google Scholar] [CrossRef] [PubMed]


| Minimum Detectable Concentration (pg/mL) | Detection Rate | ||
|---|---|---|---|
| % | 95% CI for % | ||
| EGF | 3.2 | 100 | 97.02; 100 |
| Fractalkine | 3.83 | 87.9 | 81.51; 92.37 |
| IFN-γ | 0.1 | 1.3 | 0.22; 5 |
| IL-10 | 0.3 | 36.3 | 28.9; 44.4 |
| IL-12p70 | 0.4 | 5.1 | 2.39; 10.13 |
| IL-15 | 0.4 | 29.9 | 23.03; 37.84 |
| IL-17A | 0.2 | 0 | 0; 2.98 |
| IL-1β | 0.4 | 19.1 | 13.45; 26.31 |
| IL-1RA | 3.2 | 100 | 97.02; 100 |
| IL-2 | 0.3 | 0.6 | 0.03; 4.03 |
| IL-6 | 0.3 | 21 | 15.1; 28.39 |
| IL-7 | 1.08 | 87.3 | 80.78; 91.86 |
| IL-8 | 0.2 | 96.8 | 92.34; 98.82 |
| IP-10 | 3.2 | 100 | 97.02; 100 |
| MCP-1 | 3.2 | 100 | 97.02; 100 |
| TNF-α | 0.1 | 1.9 | 0.49; 5.92 |
| VEGF | 3.73 | 82.2 | 75.08; 87.63 |
| IL-23 (*) | 1.01 | 10.2 | 6.02; 16.55 |
| Age Range (n) | EGF | Fractalkine | IL-1RA | IL-7 | IL-8 | IP-10 | MCP-1 | VEGF |
|---|---|---|---|---|---|---|---|---|
| (pg/mL) | (pg/mL) | (pg/mL) | (pg/mL) | (pg/mL) | (pg/mL) | (pg/mL) | (pg/mL) | |
| 18–31 years (n = 41) | 866.9 | 352.8 | 1752.18 | 56.05 | 137.69 | 58,537.07 | 638.57 | 229.37 |
| (±1213.17) | (±446.45) | (±3198.11) | (±47.35) | (±144.44) | (±80,553.72) | (±1598.69) | (±223.48) | |
| F (n = 24) | 1008.46 | 369.69 | 1501.18 | 73.12 | 163.47 | 77,620.82 | 720.5 | 268.91 |
| (±1488.28) | (±459.08) | (±2377.86) | (±53.41) | (±173.43) | (±99,722.87) | (±2023.03) | (±239.51) | |
| M (n = 17) | 667.06 | 328.97 | 2106.52 | 31.96 | 101.3 | 31,595.29 | 522.91 | 173.54 |
| (±650.34) | (±440.81) | (±4148.96) | (±21.23) | (±80.72) | (±24,684.21) | (±694.31) | (±191.68) | |
| 32–44 years (n = 40) | 798.12 | 246.3 | 1022.4 | 55.85 | 152.69 | 46,427.69 | 822.39 | 332.26 |
| (±856.73) | (±213.42) | (±2056.48) | (±38.18) | (±289.03) | (±72,142.26) | (±985.87) | (±291.54) | |
| F (n = 21) | 1011.63 | 235.77 | 1301.05 | 65.26 | 200.19 | 65,836.55 | 929.3 | 339.12 |
| (±1099.11) | (±225.48) | (±2268.67) | (±32.36) | (±391.17) | (±95,687.15) | (±833.59) | (±314.94) | |
| M (n = 19) | 562.13 | 257.95 | 714.42 | 45.45 | 100.18 | 24,975.79 | 704.22 | 324.68 |
| (±368.87) | (±204.75) | (±1803.78) | (±42.16) | (±73.78) | (±13,335.03) | (±1142.67) | (±271.72) | |
| 45–62 years (n = 37) | 419.26 | 261.82 | 2184.8 | 42.41 | 180.43 | 31,448.49 | 1842.39 | 237.24 |
| (±429.22) | (±300.77) | (±7354.85) | (±23.44) | (±363.04) | (±21,726.21) | (±3308.21) | (±142.3) | |
| F (n = 20) | 247.93 | 175.63 | 894.66 | 45.77 | 136.21 | 36,615 | 1373.43 | 202.3 |
| (±210.12) | (±274.52) | (±1392.53) | (±25.7) | (±125.51) | (±21,039.07) | (±2411.03) | (±111.15) | |
| M (n = 17) | 620.84 | 363.22 | 3702.61 | 38.47 | 232.47 | 25,370.24 | 2394.11 | 278.35 |
| (±531.24) | (±306.32) | (±10,718.21) | (±20.52) | (±522.03) | (±21,536.14) | (±4138.03) | (±166.04) | |
| 63–88 years (n = 39) | 478.46 | 272.72 | 1341.34 | 34.68 | 215.38 | 38,545.33 | 1170.57 | 207.61 |
| (±579.94) | (±355.27) | (±3136.48) | (±21.45) | (±318.38) | (±48,499.9) | (±1112.74) | (±180.62) | |
| F (n = 17) | 310.61 | 248.91 | 1663.98 | 27.3 | 194.13 | 34,047.76 | 1239.38 | 153.99 |
| (±379.82) | (±443.5) | (±4396.99) | (±19.87) | (±384.55) | (±48,595.44) | (±1158.81) | (±125.24) | |
| M (n = 22) | 608.16 | 291.11 | 1092.03 | 40.38 | 231.8 | 42,020.72 | 1117.4 | 249.04 |
| (±676.95) | (±278.79) | (±1709.24) | (±21.3) | (±264.78) | (±49,276.32) | (±1100.28) | (±207.26) | |
| Total (n = 157) | 647.39 | 284.33 | 1566.15 | 47.48 | 170.88 | 44,101.84 | 1101.26 | 252.03 |
| (±850.46) | (±340.4) | (±4329.85) | (±35.53) | (±286.76) | (±61,226.66) | (±1983.23) | (±221.37) | |
| F (n = 82) | 679.1 | 263.02 | 1335.75 | 54.94 | 172.58 | 55,568.04 | 1040.8 | 246.82 |
| (±1049.42) | (±366.63) | (±2688.73) | (±40.1) | (±282.62) | (±77,538.17) | (±1741.18) | (±226.78) | |
| M (n = 75) | 612.73 | 307.64 | 1818.05 | 39.32 | 169.03 | 31,565.46 | 1167.36 | 257.73 |
| (±563) | (±309.98) | (±5611.22) | (±27.79) | (±293.12) | (±31,887.55) | (±2228.15) | (±216.69) |
| Normal | Box-Cox Cole and Green | Power Exponential | Box-Cox Power Exponential | |||||
|---|---|---|---|---|---|---|---|---|
| Model Specification | AIC | Model Specification | AIC | Model Specification | AIC | Model Specification | AIC | |
| EGF | μ ~ age σ ~ 1 | 628.43 | μ ~ age σ ~ 1 ν ~ age | 629.3 | μ ~ age σ ~ 1 ν ~ 1 | 629.9 | μ ~ age σ ~ 1 ν ~ 1 τ ~ 1 | 627.38 |
| Fractalkine | μ ~ sex σ ~ 1 | 576.18 | μ ~ 1 σ ~ 1 ν ~ 1 | 579.37 | μ ~ sex σ ~ 1 ν ~ 1 | 577.73 | μ ~ 1 σ ~ 1 ν ~ 1 τ ~ 1 | 580.88 |
| IL-1RA | μ ~ cs(age) σ ~ 1 | 690 | μ ~ cs(age) σ ~ 1 ν ~ 1 | 687.66 | μ ~ cs(age) σ ~ 1 ν ~ cs(age) | 687.71 | μ ~ cs(age) σ ~ 1 ν ~ 1 τ ~ 1 | 687.59 |
| IL-7 | μ ~ cs(age) + sex σ ~ 1 | 442.84 | μ ~ age + sex σ ~ 1 ν ~ 1 | 445.65 | μ ~ cs(age) + sex σ ~ age ν ~ 1 | 444.98 | μ ~ age + sex σ ~ 1 ν ~ 1 τ ~ age + sex | 442.20 |
| IL-8 | μ ~ cs(age) + sex σ ~ cs(age) | 541.76 | μ ~ cs(age) + sex σ ~ 1 ν ~ cs(age) | 538.11 | μ ~ cs(age) + sex σ ~ 1 ν ~ 1 | 531.89 | μ ~ cs(age) + sex σ ~ 1 ν ~ 1 τ ~ 1 | 533.83 |
| IP-10 | μ ~ age + sex σ ~ age + sex | 567.61 | μ ~ sex σ ~ 1 ν ~ cs(age) | 562.86 | μ ~ age + sex σ ~ age + sex ν ~ 1 | 554.07 | μ ~ sex σ ~ 1 ν ~ 1 τ ~ 1 | 556.26 |
| MCP-1 | μ ~ age σ ~ 1 | 672.06 | μ ~ age σ ~ 1 ν ~ cs(age) | 674.46 | μ ~ age σ ~ 1 ν ~ cs(age) | 672.32 | μ ~ age σ ~ 1 ν ~ cs(age) τ ~ cs(age) + sex | 673.6 |
| VEGF | μ ~ cs(age) σ ~ 1 | 524.07 | μ ~ cs(age) σ ~ 1 ν ~ 1 | 527.26 | μ ~ cs(age) σ ~ 1 ν ~ age | 517.01 | μ ~ cs(age) σ ~ 1 ν ~ 1 τ ~ 1 | 521.21 |
| Validation Sample | Utility Sample | |||||||
|---|---|---|---|---|---|---|---|---|
| Valid n | Low | Normal | High | Valid n | Low | Normal | High | |
| % (CI95%) | % (CI95%) | % (CI95%) | % (CI95%) | % (CI95%) | % (CI95%) | |||
| EGF | 40 | 0% (0%; 10.9%) | 100% (89.1%; 100%) | 0% (0%; 10.9%) | 13 | 23.1% (6.2%; 54%) | 76.9% (46%; 93.8%) | 0% (0%; 28.3%) |
| Fractalkine | 36 | 0% (0%; 12%) | 94.4% (80%; 99%) | 5.6% (1%; 20%) | 11 | 0% (0%; 32.1%) | 27.3% (7.3%; 60.7%) | 72.7% (39.3%; 92.7%) |
| IL-1RA | 39 | 0% (0%; 11.2%) | 92.3% (78%; 98%) | 7.7% (2%; 22%) | 13 | 0% (0%; 28.3%) | 7.7% (0.4%; 37.9%) | 92.3% (62.1%; 99.6%) |
| IL-8 | 40 | 0% (0%; 10.9%) | 95% (81.8%; 99.1%) | 5% (0.9%; 18.2%) | 13 | 0% (0%; 28.3%) | 7.7% (0.4%; 37.9%) | 92.3% (62.1%; 99.6%) |
| IP-10 | 35 | 2.9% (0.2%; 16.6%) | 97.1% (83.4%; 99.9%) | 0% (0%; 12.3%) | 13 | 38.5% (15.1%; 67.7%) | 61.5% (32.3%; 84.9%) | 0% (0%; 28.3%) |
| MCP-1 * | 8 | 0% (0%; 40.2%) | 100% (59.8%; 100%) | 0% (0%; 40.2%) | 1 | 100% | 0% | 0% |
| VEGF | 32 | 0% (0%; 13.3%) | 93.8% (77.8%; 98.9%) | 6.3% (1.1%; 22.2%) | 12 | 0% (0%; 30.1%) | 25% (6.7%; 57.2%) | 75% (42.8%; 93.3%) |
Publisher’s Note: MDPI stays neutral with regard to jurisdictional claims in published maps and institutional affiliations. |
© 2021 by the authors. Licensee MDPI, Basel, Switzerland. This article is an open access article distributed under the terms and conditions of the Creative Commons Attribution (CC BY) license (https://creativecommons.org/licenses/by/4.0/).
Share and Cite
Fernández, I.; Enríquez-de-Salamanca, A.; Portero, A.; García-Vázquez, C.; Calonge, M.; Herreras, J.M. Age- and Sex-Adjusted Reference Intervals in Tear Cytokine Levels in Healthy Subjects. Appl. Sci. 2021, 11, 8958. https://doi.org/10.3390/app11198958
Fernández I, Enríquez-de-Salamanca A, Portero A, García-Vázquez C, Calonge M, Herreras JM. Age- and Sex-Adjusted Reference Intervals in Tear Cytokine Levels in Healthy Subjects. Applied Sciences. 2021; 11(19):8958. https://doi.org/10.3390/app11198958
Chicago/Turabian StyleFernández, Itziar, Amalia Enríquez-de-Salamanca, Alejandro Portero, Carmen García-Vázquez, Margarita Calonge, and José M. Herreras. 2021. "Age- and Sex-Adjusted Reference Intervals in Tear Cytokine Levels in Healthy Subjects" Applied Sciences 11, no. 19: 8958. https://doi.org/10.3390/app11198958
APA StyleFernández, I., Enríquez-de-Salamanca, A., Portero, A., García-Vázquez, C., Calonge, M., & Herreras, J. M. (2021). Age- and Sex-Adjusted Reference Intervals in Tear Cytokine Levels in Healthy Subjects. Applied Sciences, 11(19), 8958. https://doi.org/10.3390/app11198958

