Use of Terbium Doped Phosphate Glasses for High Dose Radiation Dosimetry—Thermoluminescence Characteristics, Dose Response and Optimization of Readout Method
Abstract
1. Introduction
2. Materials and Methods
2.1. Glass Samples Synthesis
2.2. XRD and DSC Analysis of Phosphate Glasses
2.3. Preparation of Glass Pellet Dosimeters
2.4. Samples Irradiation
2.5. Thermoluminescence (TL) Measurements
3. Results
3.1. Results of XRD and DSC Analysis of Synthesized Glasses
3.2. Thermoluminescence (TL) Characteristics of Irradiated Glasses
3.2.1. Electron Accelerator, Pulse Duration 4 µs
3.2.2. Electron Accelerator, Pulse Duration 17 ns
3.2.3. Radiation Chamber, Gamma Irradiation (1.5–7.5 kGy)
3.3. Analysis and Structure of TL Emission from Phosphate Glasses
3.4. Influence of Preheating before Readout on TL Signals and Signal Loss in Time
3.4.1. Influence of Preheating before Readout on TL Signals
3.4.2. Effect of Preheating on Signal Loss in Time
4. Discussion
Author Contributions
Funding
Conflicts of Interest
References
- Sugawara, E.; Nikaido, H. Properties of AdeABC and AdeIJK Efflux Systems of Acinetobacter baumannii Compared with Those of the AcrAB-TolC System of Escherichia coli. Antimicrob. Agents Chemother. 2014, 58, 7250–7257. [Google Scholar] [CrossRef]
- Nazarov, M.; Noh, D.Y. New Generation of Europium and Terbium Activated Phosphors: From Syntheses to Applications; CRC Press: Boca Raton, FL, USA, 2012; Available online: https://www.crcpress.com/New-Generation-of-Europium--and-Terbium-Activated-Phosphors-From-Syntheses/Nazarov-Noh/p/book/9789814310772 (accessed on 5 October 2019).
- Ebendorff-Heidepriem, H.; Ehrt, D. Formation and UV absorption of cerium, europium and terbium ions in different valencies in glasses. Opt. Mater. 2000, 15, 7–25. [Google Scholar] [CrossRef]
- Furmann, B.; Stefańska, D.; Chomski, M.; Suski, M.; Wilman, S. Hyperfine structure studies of the odd-parity electronic levels of the terbium atom. J. Quant. Spectrosc. Radiat. Transf. 2019, 237, 106613. [Google Scholar] [CrossRef]
- Lu, C.-H.; Yang, C.-Y.; Som, S.; Das, S. Structural and luminescence characterization of terbium doped siliconitride phosphors for afterglow applications. Optik 2020, 203, 164030. [Google Scholar] [CrossRef]
- Altunal, V.; Guckan, V.; Ozdemir, A.; Yegingil, Z. Radiation dosimeter utilizing optically stimulated luminescence of BeO: Na, Tb, Gd ceramics. J. Alloy. Compd. 2020, 817, 152809. [Google Scholar] [CrossRef]
- Guzmán-Olguín, J.; Guzmán-Mendoza, J.; Montalvo, T.R.; García-Hipólito, M.; Baéz-Rodríguez, A.; Falcony, C. Luminescent properties of terbium doped barium hafnate perovskite: Synthesis and characterization. J. Lumin. 2020, 226, 117459. [Google Scholar] [CrossRef]
- Gingasu, D.; Mindru, I.; Ianculescu, A.; Preda, S.; Negrila, C.; Secu, M. Photoluminescence and thermoluminescence properties of the Sr3Al2O6: Eu3+/Eu2+,Tb3+ persistent phosphor. J. Lumin. 2019, 214, 116540. [Google Scholar] [CrossRef]
- Bunzli, J.-C.; Wong, K.-L. Lanthanide mechanoluminescence. J. Rare Earths 2018, 36, 1–41. [Google Scholar] [CrossRef]
- Sharipov, G.L.; Tukhbatullin, A.; Abdrakhmanov, A.M. Triboluminescence of crystals and suspensions of inorganic salts of lanthanides. Prot. Met. Phys. Chem. Surf. 2011, 47, 13–19. [Google Scholar] [CrossRef]
- Zhao, Y.; Wang, Y.; Cui, M.; Jin, H.; Fan, Z.; Zhao, C.; Wu, X.; Townsend, P. Morphology and thermoluminescence properties of terbium doped magnesium orthosilicate. Radiat. Meas. 2017, 99, 44–49. [Google Scholar] [CrossRef]
- Prokić, M.; Yukihara, E. Dosimetric characteristics of high sensitive Mg2SiO4: Tb solid TL detector. Radiat. Meas. 2008, 43, 463–466. [Google Scholar] [CrossRef]
- Zhao, Y.; Wang, Y.; Jin, H.; Yin, L.; Wu, X.; Ma, Y.; Townsend, P.D. Thermoluminescence Spectra of Rare Earth Doped Magnesium Orthosilicate. J. Alloys Compd. 2019, 797, 1338–1347. [Google Scholar] [CrossRef]
- Selvan, P.C.; Selvasekarapandian, S.; Neelamegam, P. Optical absorption, photoluminescence, and thermally stimulated luminescence of CsCl: Tb crystals. Phys. Status Solidi 1996, 194, 747–756. [Google Scholar] [CrossRef]
- Lozano, I.; Roman-Lopez, J.; Valverde, M.; Garcia-Hipolito, M.; Díaz-Góngora, J.; Castañeda, J.G.; Alarcon-Flores, G. Thermoluminescence properties of cerium and terbium doped alpha-strontium pyrophosphate. Radiat. Meas. 2019, 129, 106192. [Google Scholar] [CrossRef]
- Bangaru, S.; Muralidharan, G.; Brahmanandhan, G. Thermoluminescence and optical studies on X-irradiated terbium-doped potassium bromide crystals. J. Lumin. 2010, 130, 618–622. [Google Scholar] [CrossRef]
- Azorin-Nieto, J.; Khaidukov, N.; Sánchez-Rodríguez, A.; Azorín-Vega, J. Thermoluminescence of terbium-doped double fluorides. Nucl. Instruments Methods Phys. Res. Sect. B Beam Interact. Mater. At. 2007, 263, 36–40. [Google Scholar] [CrossRef]
- Andrade, M.; Azevedo, W.; Barros, V.; Khoury, H. Thermoluminescence of aluminum oxide co-doped with terbium and thulium obtained via combustion synthesis. Radiat. Meas. 2011, 46, 1474–1476. [Google Scholar] [CrossRef]
- Zych, E.; Bolek, P.; Kulesza, D. On thermoluminescence of Lu2O3: Tb, Ta ceramic storage phosphors. J. Lumin. 2017, 189, 153–158. [Google Scholar] [CrossRef]
- Szajerski, P.; Jakubowska, M.; Gasiorowski, A.; Mandowska, E. Dosimetric properties of europium, gadolinium and cerium borosilicate glasses in application of electron beam dose measurements. J. Lumin. 2017, 182, 300–311. [Google Scholar] [CrossRef]
- Saidu, A.; Wagiran, H.; Saeed, M.; Obayes, H.; Bala, A.; Usman, F. Thermoluminescence response of rare earth activated zinc lithium borate glass. Radiat. Phys. Chem. 2018, 144, 413–418. [Google Scholar] [CrossRef]
- Prasad, S.; Reddy, M.S.; Kumar, V.R.; Veeraiah, N.; Nalluri, V. Specific features of photo and thermoluminescence of Tb3+ ions in BaO–M2O3 (M=Ga, Al, In)–P2O5 glasses. J. Lumin. 2007, 127, 637–644. [Google Scholar] [CrossRef]
- Ono, H.; Fujimoto, Y.; Yahaba, T.; Yanagida, T.; Koshimizu, M.; Asai, K. Thermoluminescence properties of Tb3+-doped CaO–Al2O3–B2O3-based glasses. Opt. Mater. 2019, 87, 24–28. [Google Scholar] [CrossRef]
- Roberts, C.J. Management and disposal of waste from sites contaminated by radioactivity. Radiat. Phys. Chem. 1998, 51, 579–587. [Google Scholar] [CrossRef]
- Honma, T.; Sato, A.; Ito, N.; Togashi, T.; Shinozaki, K.; Komatsu, T. Crystallization behavior of sodium iron phosphate glass Na2−Fe1+0.5P2O7 for sodium ion batteries. J. Non-Cryst. Solids 2014, 404, 26–31. [Google Scholar] [CrossRef]
- Jha, P.K.; Pandey, O.; Singh, K. Non-isothermal crystallization kinetics of K2O modified sodium-phosphate glasses. J. Non-Cryst. Solids 2016, 440, 76–84. [Google Scholar] [CrossRef]
- Gasiorowski, A.; Szajerski, P. Thermoluminescence characteristics and dose response of electron beam and gamma rays irradiated alumino-phosphate glasses doped with Gd2O3 and Tb2O3. J. Lumin. 2019, 214, 116519. [Google Scholar] [CrossRef]
- Sharma, S.; De, M.; Jana, S. Terbium doped sodium phosphate glass: A strong green emitting glass. Optik 2018, 154, 576–580. [Google Scholar] [CrossRef]
- Kuro, T.; Okada, G.; Kawaguchi, N.; Fujimoto, Y.; Masai, H.; Yanagida, T. Scintillation properties of rare-earth doped NaPO3-Al(PO3)3 glasses. Opt. Mater. 2016, 62, 561–568. [Google Scholar] [CrossRef]
- Kawano, N.; Akatsuka, M.; Kimura, H.; Okada, G.; Kawaguchi, N.; Yanagida, T. Scintillation and TSL properties of Tb-doped NaPO3-Al(PO3)3 glasses. Radiat. Meas. 2018, 117, 52–56. [Google Scholar] [CrossRef]
- Brahmachary, K.; Rajesh, D.; Balakrishna, A.; Ratnakaram, Y.C. Radiative Properties and Energy Transfer Mechanism of Sm3+ Ion in Zinc-Alumino-Sodium-Phosphate (ZANP) Glasses. Int. J. ChemTech Res. 2014, 6, 1705–1707. [Google Scholar]
- Babkina, A.; Kulpina, E.; Sgibnev, Y.; Fedorov, Y.; Starobor, A.; Palashov, O.; Nikonorov, N.; Ignatiev, A.; Zyryanova, K.; Oreshkina, K.; et al. Terbium concentration effect on magneto-optical properties of ternary phosphate glass. Opt. Mater. 2020, 100, 109692. [Google Scholar] [CrossRef]
- El Mesady, I.; Alawsh, S. Optical and luminescence properties of silicon doped alumino-phosphate-sodium glass system. J. Non-Cryst. Solids 2018, 482, 236–242. [Google Scholar] [CrossRef]
- Brow, R.K.; Kirkpatrick, R.J.; Turner, G.L. Nature of Alumina in Phosphate Glass: II, Structure of Sodium Alurninophosphate Glass. J. Am. Ceram. Soc. 1993, 76, 919–928. [Google Scholar] [CrossRef]
- Tricot, G.; Revel, B.; Wegner, S. Thermal stability of a low Tg phosphate glass investigated by DSC, XRD and solid state NMR. J. Non-Cryst. Solids 2011, 357, 2708–2712. [Google Scholar] [CrossRef]
- Karabulut, M.; Metwalli, E.; Brow, R. Structure and properties of lanthanum–aluminum–phosphate glasses. J. Non-Cryst. Solids 2001, 283, 211–219. [Google Scholar] [CrossRef]
- Stoch, L.; Stoch, P. Significance of crystallochemical factors in chemical reactions into the structure of solids. J. Therm. Anal. Calorim. 2012, 109, 763–766. [Google Scholar] [CrossRef][Green Version]
- Yang, R.; Wang, Y.; Chen, Y.; Hao, X.; Zhan, J.; Liu, S. Glass formation region of the lithium iron phosphate ternary system and the properties of obtained glasses. Ceram. Silikáty 2010, 54, 352–356. [Google Scholar]
- Gasiorowski, A.; Szajerski, P. Particles size increase assisted enhancement of thermoluminescence emission in gadolinium and dysprosium oxide doped phosphate glasses. J. Alloy. Compd. 2020, 839, 155479. [Google Scholar] [CrossRef]
- Thomas, S.; Chithambo, M. Thermoluminescence of K-Mg-Al-Zn fluorophosphate glass. Opt. Mater. 2017, 64, 302–309. [Google Scholar] [CrossRef]
- Jin, H.; Zhao, Y.; Wang, Y.; Xi, L.; Yin, L.; Ma, Y.; Townsend, P. Improved thermoluminescence response of terbium doped magnesium orthosilicate by co-doping with sodium ions. Opt. Mater. 2019, 98, 109448. [Google Scholar] [CrossRef]
- Fukuda, Y. Thermoluminescence in calcium fluoride doped with terbium and gadolinium ions. Radiat. Meas. 2008, 43, 455–458. [Google Scholar] [CrossRef]
- Abdel-Kader, A.; El-Mallawany, R.; Elkholy, M.; Farag, H. Thermoluminescence dosimetry of rare-earth doped tellurite phosphate glasses. Mater. Chem. Phys. 1994, 36, 365–370. [Google Scholar] [CrossRef]
- Liu, L.; Zhang, Y.; Hao, J.; Li, C.; Tang, Q.; Zhang, C.; Su, Q. Thermoluminescence characteristics of terbium-doped Ba2Ca(BO3)2 phosphor. Phys. Status Solidi 2005, 202, 2800–2806. [Google Scholar] [CrossRef]
- Kalnins, C.A.G.; Ebendorff-Heidepriem, H.; Spooner, N.A.; Monro, T.M. Enhanced radiation dosimetry of fluoride phosphate glass optical fibres by terbium (III) doping. Opt. Mater. Express 2016, 6, 3692–3703. [Google Scholar] [CrossRef]
- Terbium Doped Glasses: Their Optical Properties and Potential Applications—Durham e-Theses, (n.d.). Available online: http://etheses.dur.ac.uk/8176/ (accessed on 22 November 2020).
- Wang, Y.; Jiang, Y.; Chu, X.; Xu, J.; Townsend, P.D. Thermoluminescence responses of terbium-doped magnesium orthosilicate with different synthesis conditions. Radiat. Prot. Dosim. 2013, 158, 373–377. [Google Scholar] [CrossRef] [PubMed]
- McKeever, S.W.S. Thermoluminescence of Solids; Cambridge University Press (CUP): Cambridge, UK, 1985. [Google Scholar]
- Benavente, J.; Gómez-Ros, J.; Correcher, V. Characterization of the thermoluminescence glow curve of Li2B4O7: Cu, Ag. Radiat. Meas. 2020, 137, 106427. [Google Scholar] [CrossRef]
- Benavente, J.; Gómez-Ros, J.M.; Romero, A.M. Thermoluminescence glow curve deconvolution for discrete and continuous trap distributions. Appl. Radiat. Isot. 2019, 153, 108843. [Google Scholar] [CrossRef]
- Gómez-Ros, J.M.; Correcher, V.; Garcia-Guinea, J.; Delgado, A. Evolution of the trapped charge distribution due to trap emptying processes in a natural aluminosilicate. Radiat. Prot. Dosim. 2006, 119, 93–97. [Google Scholar] [CrossRef]














| Sample | Composition of Phosphate Glass Samples, in Weight (Mole) % | |||
|---|---|---|---|---|
| P2O5 | Al2O3 | Na2O | Tb2O3 | |
| PPG | 56.00 (38.36) | 12.00 (11.44) | 32.00 (50.20) | - |
| PPG_Tb01 | 55.94 (38.34) | 11.99 (11.44) | 31.97 (50.19) | 0.10 (0.03) |
| PPG_Tb05 | 55.72 (38.31) | 11.94 (11.43) | 31.84 (50.13) | 0.50 (0.13) |
| PPG_Tb30 | 54.03 (38.07) | 11.54 (11.32) | 30.85 (49.79) | 3.00 (0.82) |
| PPG | PPG_Tb01 | PPG_Tb05 | PPG_Tb30 | |
|---|---|---|---|---|
| Ninf | (5.4 ± 0.3) × 106 | (2.3 ± 1.0) × 106 | (4.0 ± 0.5) × 106 | (5.3 ± 0.4) × 106 |
| k | (6.7 ± 0.8) × 10−2 | (7.7 ± 0.6) × 10−2 | (5.7 ± 1.3) × 10−2 | (12.0 ± 2.0) × 10−2 |
| Adj. R-Square | 0.992 | 0.997 | 0.980 | 0.971 |
| PPG | PPG_Tb01 | PPG_Tb05 | PPG_Tb30 | |
|---|---|---|---|---|
| Slope | (1.6 ± 0.1) × 102 | (2.0 ± 0.1) × 102 | 2.3 ± 0.1) × 102 | (3.1 ± 0.1) × 102 |
| Pearson’s r | 0.998 | 0.999 | 0.999 | 0.995 |
| PPG | PPG_Tb01 | PPG_Tb05 | PPG_Tb30 | |
|---|---|---|---|---|
| Slope | (2.9 ± 0.4) × 105 | (1.0 ± 0.3) × 105 | (1.9 ± 0.7) × 105 | (2.1 ± 0.1) × 105 |
| Pearson’s r | 0.968 | 0.998 | 0.998 | 0.99 |
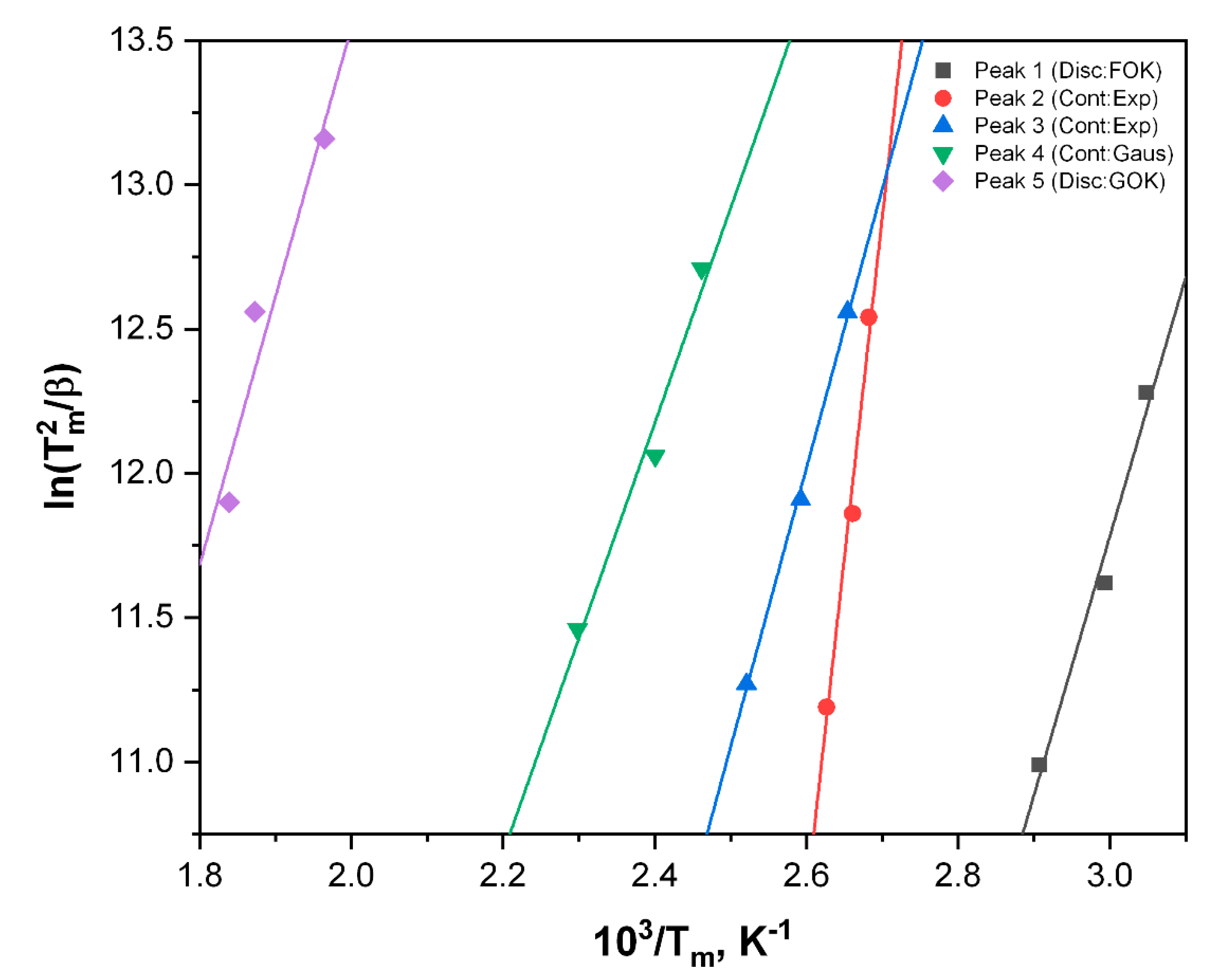
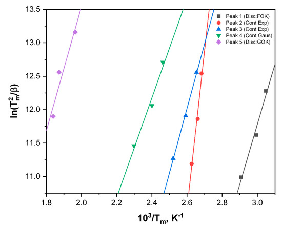
| Peak Type | β (°C/s) | E (eV) | Tm (°C) | s (s−1) | σ (eV) | b | FOM |
|---|---|---|---|---|---|---|---|
| Peak 1 (Disc:FOK) | 0.5 | 0.79 | 54.9 | 5.05 × 1010 | – | – | 2.17% |
| Peak 2 (Cont:Exp) | 2.03 | 99.7 | 2.20 × 1026 | 0.000 | – | ||
| Peak 3 (Cont:Exp) | 0.98 | 103.7 | 5.14 × 1011 | 0.005 | – | ||
| Peak 4 (Cont:Gaus) | 0.67 | 133.1 | 4.99 × 106 | 0.075 | – | ||
| Peak 5 (Disc:GOK) | 0.83 | 235.9 | 3.12 × 106 | – | 2.00 | ||
| Peak 1 (Disc:FOK) | 1 | 0.79 | 60.9 | 5.93 × 1010 | – | – | 4.48% |
| Peak 2 (Cont:Exp) | 2.03 | 102.7 | 2.62 × 1026 | 0.000 | – | ||
| Peak 3 (Cont:Exp) | 0.98 | 112.6 | 4.87 × 1011 | 0.005 | – | ||
| Peak 4 (Cont:Gaus) | 0.64 | 143.4 | 2.50 × 106 | 0.073 | – | ||
| Peak 5 (Disc:GOK) | 0.8 | 260.8 | 1.12 × 106 | – | 2.00 | ||
| Peak 1 (Disc:FOK) | 2 | 0.79 | 70.8 | 5.06 × 1010 | – | – | 4.99% |
| Peak 2 (Cont:Exp) | 2.03 | 107.6 | 2.25 × 1026 | 0.004 | – | ||
| Peak 3 (Cont:Exp) | 0.98 | 123.5 | 4.08 × 1011 | 0.000 | – | ||
| Peak 4 (Cont:Gaus) | 0.58 | 162 | 3.41 × 105 | 0.054 | – | ||
| Peak 5 (Disc:GOK) | 0.86 | 270.7 | 6.73 × 106 | – | 2.00 |
| Peak | E (eV) | |
|---|---|---|
| Deconvolution | VHR | |
| Peak 1 | 0.79 | 0.77 ± 0.11 |
| Peak 2 | 2.03 | 2.03 ± 0.29 |
| Peak 3 | 0.98 | 0.83 ± 0.04 |
| Peak 4 | 0.63 | 0.64 ± 0.10 |
| Peak 5 | 0.83 | 0.80 ± 0.23 |
Publisher’s Note: MDPI stays neutral with regard to jurisdictional claims in published maps and institutional affiliations. |
© 2021 by the authors. Licensee MDPI, Basel, Switzerland. This article is an open access article distributed under the terms and conditions of the Creative Commons Attribution (CC BY) license (https://creativecommons.org/licenses/by/4.0/).
Share and Cite
Gasiorowski, A.; Szajerski, P.; Cuevas, J.F.B. Use of Terbium Doped Phosphate Glasses for High Dose Radiation Dosimetry—Thermoluminescence Characteristics, Dose Response and Optimization of Readout Method. Appl. Sci. 2021, 11, 7221. https://doi.org/10.3390/app11167221
Gasiorowski A, Szajerski P, Cuevas JFB. Use of Terbium Doped Phosphate Glasses for High Dose Radiation Dosimetry—Thermoluminescence Characteristics, Dose Response and Optimization of Readout Method. Applied Sciences. 2021; 11(16):7221. https://doi.org/10.3390/app11167221
Chicago/Turabian StyleGasiorowski, Andrzej, Piotr Szajerski, and Jose Francisco Benavente Cuevas. 2021. "Use of Terbium Doped Phosphate Glasses for High Dose Radiation Dosimetry—Thermoluminescence Characteristics, Dose Response and Optimization of Readout Method" Applied Sciences 11, no. 16: 7221. https://doi.org/10.3390/app11167221
APA StyleGasiorowski, A., Szajerski, P., & Cuevas, J. F. B. (2021). Use of Terbium Doped Phosphate Glasses for High Dose Radiation Dosimetry—Thermoluminescence Characteristics, Dose Response and Optimization of Readout Method. Applied Sciences, 11(16), 7221. https://doi.org/10.3390/app11167221

