Modeling of the Suspended Solid Removal of a Granular Media Layer in an Upflow Stormwater Runoff Filtration System
Abstract
1. Introduction
2. Materials and Methods
2.1. Laboratory Scale Experiment
2.2. Modeling
2.2.1. The Kinetic Model
2.2.2. The Deep Bed Filtration Model
2.2.3. The k-C* Model
2.2.4. The Steady-State Porous Media Capture Equation
3. Results and Discussion
3.1. SS Removal and Head Loss
3.2. Modeling Study
3.2.1. The Kinetic Model
3.2.2. The Deep Bed Filtration Model
3.2.3. The k-C* Model
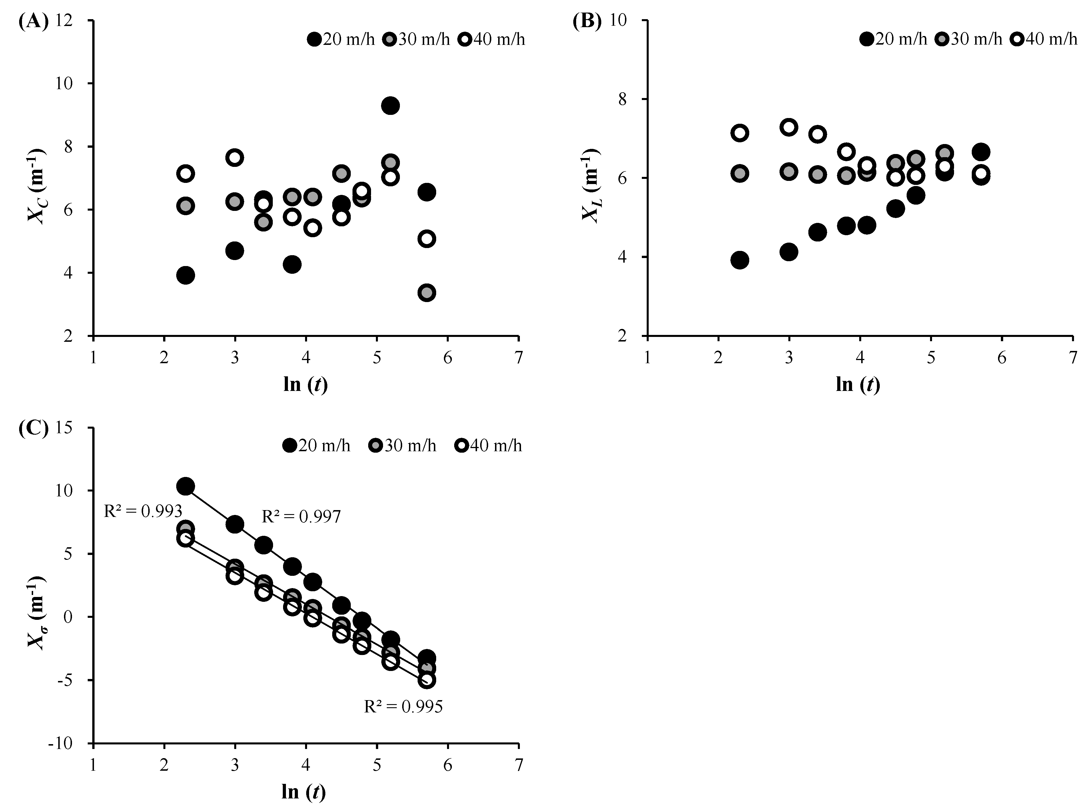
3.2.4. Steady-State, Porous Media Capture Model
3.3. Correlations between Head Loss and the Parameters ka, kd, σm, and Xσ
3.4. Applications
4. Conclusions
Author Contributions
Funding
Institutional Review Board Statement
Informed Consent Statement
Data Availability Statement
Acknowledgments
Conflicts of Interest
References
- USEPA. Polluted Runoff: Nonpoint Source (NPS) Pollution. Available online: https://www.epa.gov/nps (accessed on 1 April 2021).
- Xin, X.; Yin, W.; Li, K. Estimation of non-point source pollution loads with flux method in Danjiangkou Reservoir area, China. Water Sci. Eng. 2017, 10, 134–142. [Google Scholar] [CrossRef]
- Korea Office of Prime Minister, Ministry for Food, Agriculture, Forestry and Fisheries, Korea Ministry of Knowledge Economy, Korea Ministry of Environment, Korea Ministry of Infrastructure and Transport, Korea Nation fire Agency, Korea Rural Development Administration, Korea Forest Service. The third comprehensive non-point sources management plan (2021−2025). 2020. (In Korean) [Google Scholar]
- Kim, D.G.; Ko, S.O. Road-deposited sediments mediating the transfer of anthropogenic organic matter to stormwater runoff. Environ. Geochem. Health 2020. [Google Scholar] [CrossRef] [PubMed]
- Chen, H.; Liao, Z.; Gu, X.; Xie, J.; Li, H.; Zhang, J. Anthropogenic influences of paved runoff and sanitary sewage on the dissolved organic matter quality of wet weather overflows: An excitation?emission matrix parallel factor analysis assessment. Environ. Sci. Technol. 2017, 51, 1157–1167. [Google Scholar] [CrossRef] [PubMed]
- Hosen, J.D.; McDonough, O.T.; Febria, C.M.; Palmer, M.A. Dissolved organic matter quality and bioavailability changes across an urbanization gradient in headwater streams. Environ. Sci. Technol. 2014, 48, 7817–7824. [Google Scholar] [CrossRef]
- Wang, Q.; Zhang, Q.; Dzakpasu, M.; Chang, N.; Wang, X. Transferral of HMs pollution from road-deposited sediments to stormwater runoff during transport processes. Front. Environ. Sci. Eng. 2019, 13, 13. [Google Scholar] [CrossRef]
- Borris, M.; Österlund, H.; Marsalek, J.; Viklander, M. Contribution of coarse particles from road surfaces to dissolved and particle-bound heavy metal loads in runoff: A laboratory leaching study with synthetic stormwater. Sci. Total Environ. 2016, 573, 212–221. [Google Scholar] [CrossRef] [PubMed]
- Yang, Y.-Y.; Toor, G.S. Stormwater runoff driven phosphorus transport in an urban residential catchment: Implications for protecting water quality in urban watersheds. Sci. Rep. 2018, 8, 11681. [Google Scholar] [CrossRef]
- Ahn, J.; Lee, D.; Han, S.; Han, A.; Jung, Y.; Park, S.; Choi, H. Experimental study on performance of sand filter layer to remove non-point source pollutants in rainwater. Water Sci. Technol. 2017, 17, 1748–1763. [Google Scholar] [CrossRef]
- Siriwardene, N.R.; Deletic, A.; Fletcher, T.D. Clogging of stormwater gravel infiltration systems and filters: Insights from a laboratory study. Water Res. 2007, 41, 1433–1440. [Google Scholar] [CrossRef]
- Gironás, J.; Adriasola, J.M.; Fernández, B. Experimental analysis and modeling of a storm water perlite filter. Water Environ. Res. 2008, 80, 524–539. [Google Scholar] [CrossRef]
- Hsieh, C.; Davis, A.P. Evaluation and optimization of bioretention media for treatment of urban storm water runoff. J. Environ. Eng. ASCE 2005, 131, 1521–1531. [Google Scholar] [CrossRef]
- Hoslett, J.; Massara, T.M.; Malamis, S.; Ahmad, D.; van den Boogaert, I.; Katsou, E.; Ahmad, B.; Ghazal, H.; Simons, S.; Wrobel, L.; et al. Surface water filtration using granular media and membranes: A review. Sci. Total Environ. 2018, 639, 1268–1282. [Google Scholar] [CrossRef]
- Lim, H.S.; Lim, W.; Hu, J.Y.; Ziegler, A.; Ong, S.L. Comparison of filter media materials for heavy metal removal from urban stormwater runoff using biofiltration systems. J. Environ. Manag. 2015, 147, 24–33. [Google Scholar] [CrossRef]
- Franks, C.A.; Davis, A.P.; Aydilek, A.H. Geosynthetic filters for water quality improvement of urban storm water runoff. J. Environ. Eng. ASCE 2012, 138, 1018–1028. [Google Scholar] [CrossRef]
- Shan, G.; Surampalli, R.Y.; Tyagi, R.D.; Zhang, T.C. Nanomaterials for environmental burden reduction, waste treatment, and non-point source pollution control: A review. Front. Environ. Sci. Eng. 2009, 3, 249–264. [Google Scholar] [CrossRef]
- Cheng, J.; Yuan, Q.; Kim, Y. Long-term operational studies of lab-scale pumice-woodchip packed stormwater biofilters. Environ. Technol. 2018, 39, 1765–1775. [Google Scholar] [CrossRef] [PubMed]
- Yi, S.-J.; Kim, Y.-I. Improvement on management of non-point source pollution for reasonable implementation of TMDL—Focusing on selection of non-point source pollution management region and management of non-point source pollutant. J. Korean Soc. Environ. Eng. 2014, 36, 719–723. [Google Scholar] [CrossRef]
- Hwang, Y.; Seo, Y.; Kim, H.; Roh, K.; Shin, H.; Kim, D. Optimization of Operation and Backwashing Condition for an Upflow Stormwater Filtration System Utilizing Ceramic Media. J. Korean Soc. Environ. Eng. 2017, 39, 478–488. (In Korean) [Google Scholar] [CrossRef]
- Boller, M.A.; Kavanaugh, M.C. Particle characteristics and headloss increase in granular media filtration. Water Res. 1995, 29, 1139–1149. [Google Scholar] [CrossRef]
- Rodgers, M.; Mulqueen, J.; Healy, M.G. Surface Clogging in an Intermittent Stratified Sand Filter. Soil Sci. Soc. Am. J. 2004, 68, 1827–1832. [Google Scholar] [CrossRef]
- Kang, S.; Kim, S.; Lee, S.; Lee, T. An upflow-type filtration device using expanded polypropylene media (EPM) to treat first flush of rainwater. Water Environ. Res. 2016, 88, 195–200. [Google Scholar] [CrossRef]
- Lee, J.J.; Johir, M.A.H.; Chinu, K.H.; Shon, H.K.; Vigneswaran, S.; Kandasamy, J.; Kim, C.W.; Shaw, K. Novel pretreatment method for seawater reverse osmosis: Fibre media filtration. Desalination 2009, 250, 557–561. [Google Scholar] [CrossRef][Green Version]
- Zhang, W.; Sang, M.; Che, W.; Sun, H. Nutrient removal from urban stormwater runoff by an up-flow and mixed-flow bioretention system. Environ. Sci. Pollut. Res. 2019, 26, 17731–17739. [Google Scholar] [CrossRef] [PubMed]
- Lee, J.; Lee, M. Stormwater runoff treatment filtration system and backwashing system. Water Sci. Technol. 2019, 79, 771–778. [Google Scholar] [CrossRef]
- Marsalek, J.; Jimenez-Cisneros, B.E.; Karamouz, M.; Malmquist, P.-A.; Goldenfum, J.; Chocat, B. Urban Water Cycle Processes and Interactions; CRC Press: Boca Raton, FL, USA, 2008. [Google Scholar]
- Rügner, H.; Schwientek, M.; Milačič, R.; Zuliani, T.; Vidmar, J.; Paunović, M.; Laschou, S.; Kalogianni, E.; Skoulikidis, N.T.; Diamantini, E.; et al. Particle bound pollutants in rivers: Results from suspended sediment sampling in Globaqua River Basins. Sci. Total Environ. 2019, 647, 645–652. [Google Scholar] [CrossRef]
- British Water. Code of Practice—Assessment of Manufactured Treatment Devices Designed to Treat Surface Water Runoff; British Water: London, UK, 2017. [Google Scholar]
- Auckland Regional Council. Proprietary Devices Evaluation Protocol (PDEP) for Stormwater Quality Treatment Devices, Version 3; Auckland Regional Council: Auckland, New Zealand, 2012. [Google Scholar]
- Yun, Y.; Park, H.; Kim, L.; Ko, S. Size Distributions and Settling Velocities of Suspended Particles from Road and Highway. KSCE J. Civ. Eng. 2010, 14, 481–488. [Google Scholar] [CrossRef]
- Cho, Y.-J.; Lee, J.-H.; Bang, K.-W.; Cho, S.C.-S. Water Quality and Particle Size Distributions of Bridge Road Runoff in Storm Event. J. Korean Soc. Environ. Eng. 2007, 29, 1353–1359. (In Korean) [Google Scholar]
- Lee, H.; Lee, S. Runoff Characteristics of Stormwater in Small City Urban Area. J. Korean Soc. Environ. Eng. 2009, 31, 193–202. (In Korean) [Google Scholar]
- APHA; AWWA; WEF. Standard Methods for the Examination of Water and Wastewater, 22nd ed.; APHA: Washington, DC, USA, 2012. [Google Scholar]
- Korea Ministry of Environment. Installation and Operation Manual of Non-Point Pollution Reduction Facility; Korea Ministry of Environment: Sejong-si, Korea, 2020.
- New Jersey Department of Environmental Protection (NJDEP). New Jersey Department of Environmental Protection Laboratory Protocol to Assess Total Suspended Solids Removal by a Filtration Manufactured Treatment Device; New Jersey Department of Environmental Protection: Trenton, NJ, USA, 2013.
- Sikorska, E.; Gac, J.M.; Gradoń, L. Performance of a depth fibrous filter at particulate loading conditions: Description of temporary and local phenomena with structure development. Chem. Eng. Res. Des. 2018, 132, 743–750. [Google Scholar] [CrossRef]
- Przekop, R.; Gradoń, L. Dynamics of particle loading in deep-bed filter: Transport, deposition and re entrainment. Chem. Process Eng. 2016, 37, 405–417. [Google Scholar] [CrossRef][Green Version]
- Nakamura, K.; Nakamura, J.; Matsumoto, K. Filtration and backwashing behaviors of the deep bed filtration using long length poly-propylene fiber filter media. J. Taiwan. Inst. Chem. Eng. 2019, 94, 31–36. [Google Scholar] [CrossRef]
- Santos, A.; Barros, P.H.L. Multiple Particle Retention Mechanisms during Filtration in Porous Media. Environ. Sci. Technol. 2010, 44, 2515–2521. [Google Scholar] [CrossRef] [PubMed]
- Santos, A.; Araújo, J.A. Modeling Deep Bed Filtration Considering Limited Particle Retention. Transp. Porous Med. 2015, 108, 697–712. [Google Scholar] [CrossRef]
- Bai, R.; Tien, C.A. A new correlation for the initial filter coefficient under unfavorable surface interactions. J. Colloid Interf. Sci. 1996, 179, 631–634. [Google Scholar] [CrossRef]
- Kadlec, R.H.; Knight, R.L. Treatment Wetlands; CRC Press: Boca Raton, FL, USA, 1996. [Google Scholar]
- Wong, T.H.F.; Fletcher, T.D.; Duncan, H.P.; Jenkins, G.A. Modelling urban stormwater treatment-A unified approach. Ecol. Eng. 2006, 27, 58–70. [Google Scholar] [CrossRef]
- Siriwardene, N.R.; Deletic, A.; Fletcher, T.D. Modeling of Sediment Transport through Stormwater Gravel Filters over Their Lifespan. Environ. Sci. Technol. 2007, 41, 8099–8103. [Google Scholar] [CrossRef] [PubMed]
- American Water Works Association (AWWA). Water Quality and Treatment, 5th ed.; McGraw-Hill: New York, NY, USA, 1999. [Google Scholar]
- Campos, L.C. Modelling and Simulation of the Biological and Physical Processes of Slow Sand Filtration. Ph.D. Thesis, Imperial College of Science Technology and Medicine, London, UK, 2002. [Google Scholar]
- Wakeman, R. The influence of particle properties on filtration. Sep. Purif. Technol. 2007, 58, 234–241. [Google Scholar] [CrossRef]
- Newton, D. The Effectiveness of Modular Porous Pavement as a Stormwater Treatment Device. Ph.D. Thesis, Griffith University, Brisbane, Australia, 2005. [Google Scholar]
- Qin, H.; He, K.; Fu, G. Modeling middle and final flush effects of urban runoff pollution in an urbanizing catchment. J. Hydrol. 2016, 534, 638–647. [Google Scholar] [CrossRef]
- Alam, M.Z.; Anwar, A.H.M.F.; Heitz, A. Stormwater solids removal characteristics of a catch basin insertusing geotextile. Sci. Total Environ. 2018, 618, 1054–1063. [Google Scholar] [CrossRef]







Publisher’s Note: MDPI stays neutral with regard to jurisdictional claims in published maps and institutional affiliations. |
© 2021 by the authors. Licensee MDPI, Basel, Switzerland. This article is an open access article distributed under the terms and conditions of the Creative Commons Attribution (CC BY) license (https://creativecommons.org/licenses/by/4.0/).
Share and Cite
Hwang, Y.; Seo, Y.; Ko, S.; Kim, D. Modeling of the Suspended Solid Removal of a Granular Media Layer in an Upflow Stormwater Runoff Filtration System. Appl. Sci. 2021, 11, 6202. https://doi.org/10.3390/app11136202
Hwang Y, Seo Y, Ko S, Kim D. Modeling of the Suspended Solid Removal of a Granular Media Layer in an Upflow Stormwater Runoff Filtration System. Applied Sciences. 2021; 11(13):6202. https://doi.org/10.3390/app11136202
Chicago/Turabian StyleHwang, Yuhoon, Younggyo Seo, Seokoh Ko, and Dogun Kim. 2021. "Modeling of the Suspended Solid Removal of a Granular Media Layer in an Upflow Stormwater Runoff Filtration System" Applied Sciences 11, no. 13: 6202. https://doi.org/10.3390/app11136202
APA StyleHwang, Y., Seo, Y., Ko, S., & Kim, D. (2021). Modeling of the Suspended Solid Removal of a Granular Media Layer in an Upflow Stormwater Runoff Filtration System. Applied Sciences, 11(13), 6202. https://doi.org/10.3390/app11136202

