Variation in Growth, Physiology, Yield, and Quality of Wheat under the Application of Different Zinc Coated Formulations
Abstract
1. Introduction
2. Materials and Methods
2.1. Soil Analysis
2.2. Preparation of Different Urea Formulations
2.3. Experimental Description
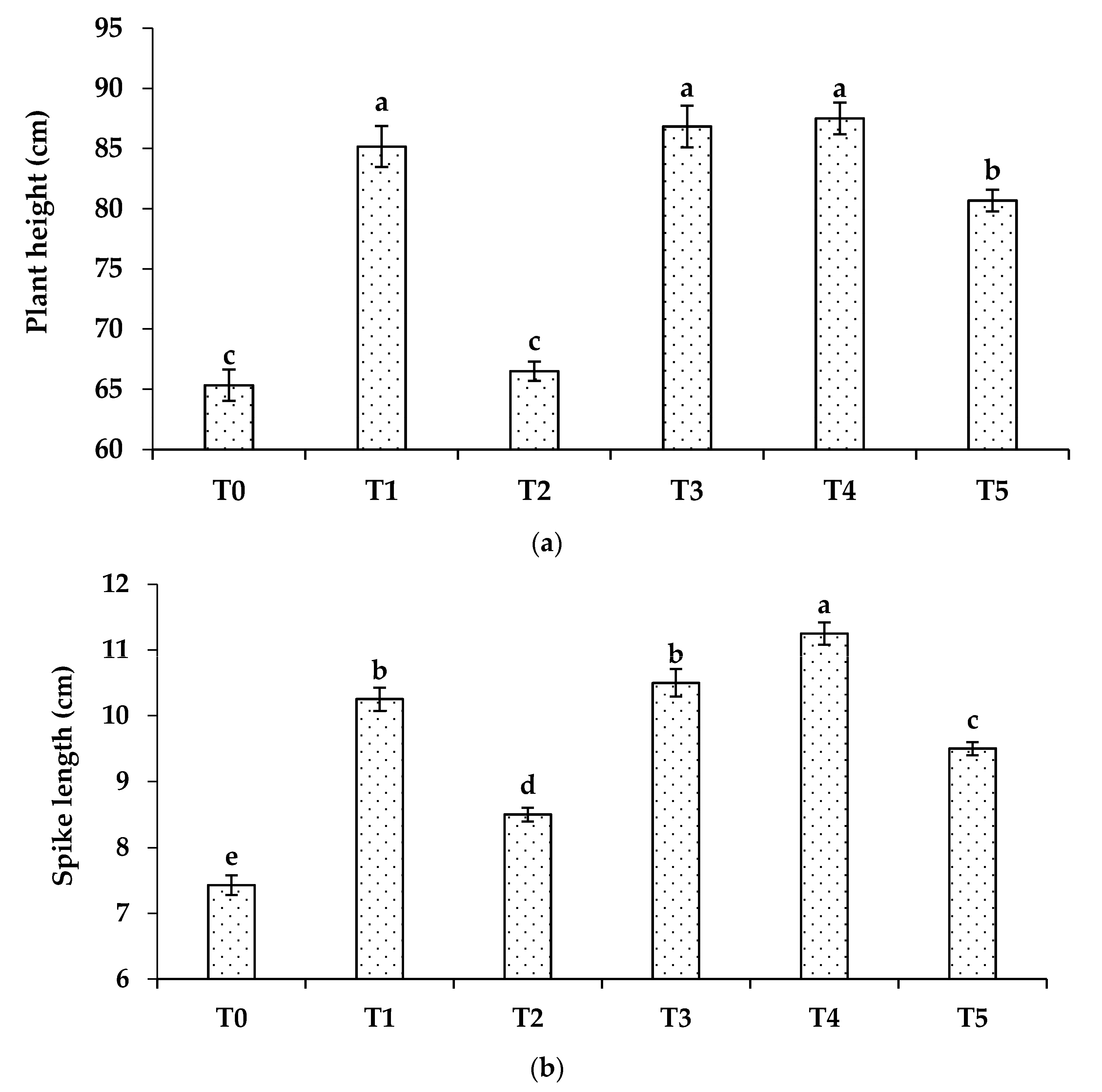
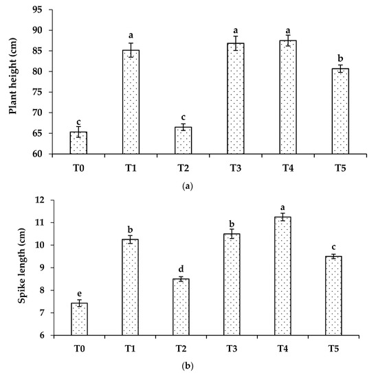
2.4. Growth and Yield Parameters
2.5. Physiological Parameters
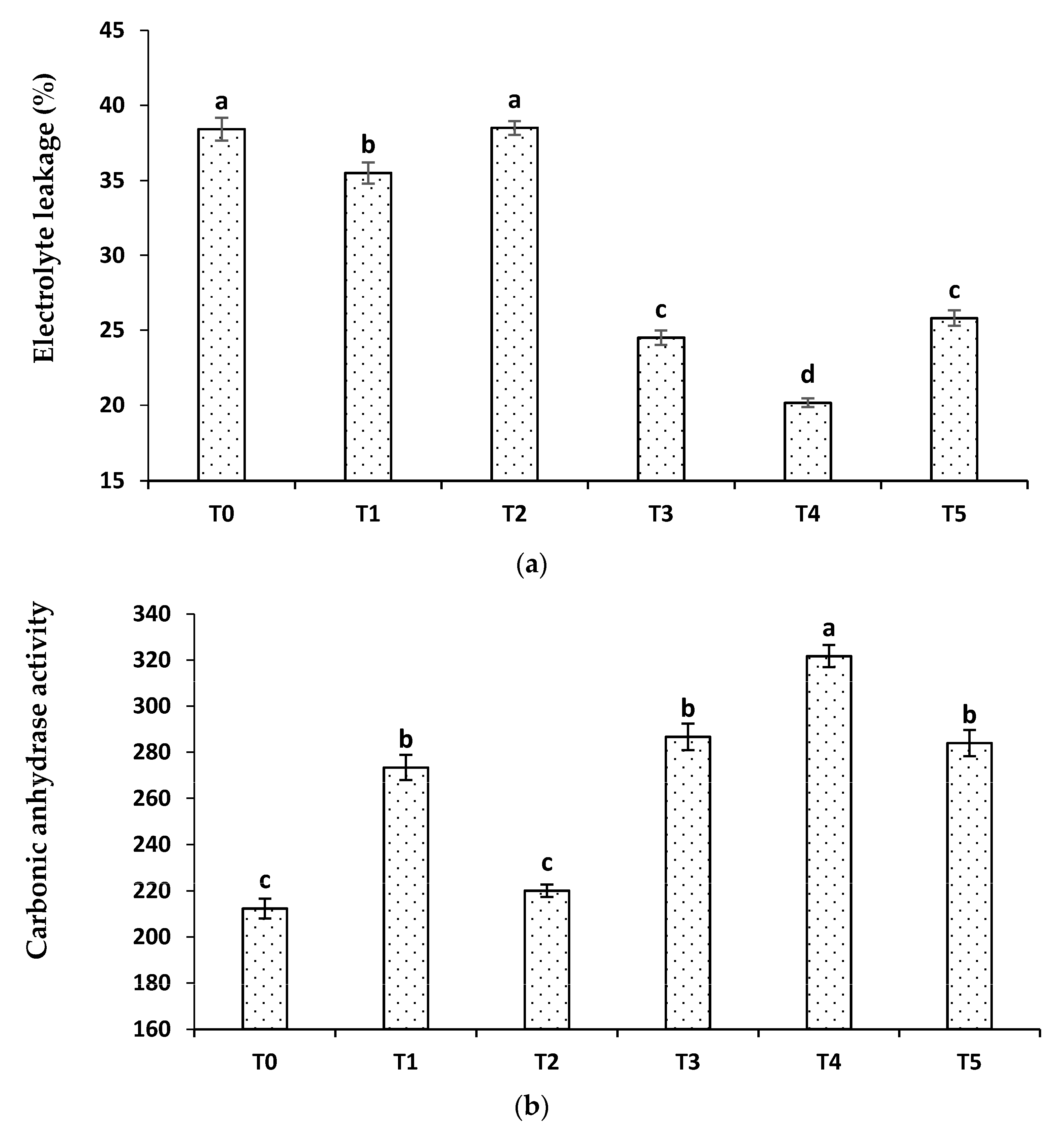
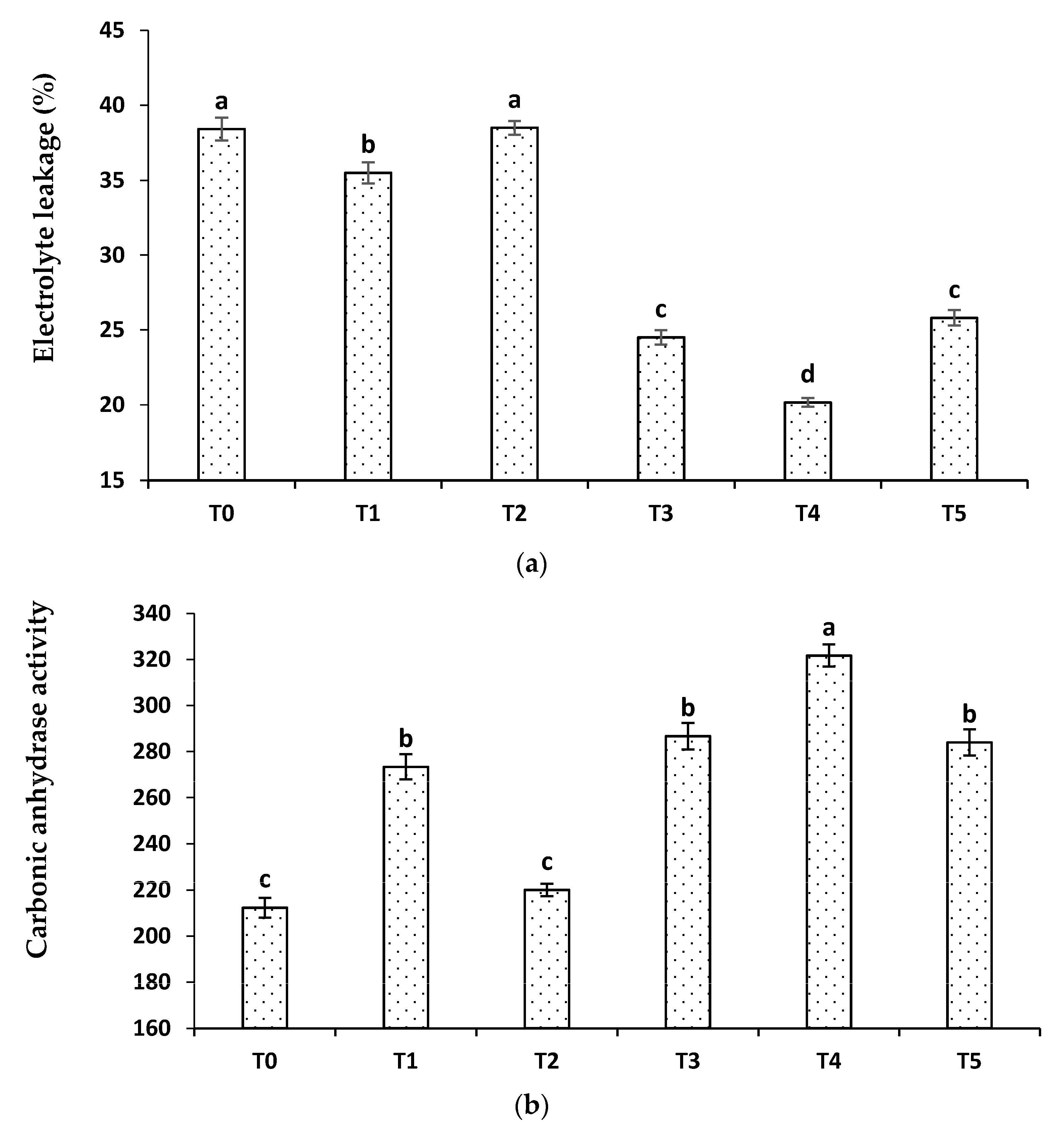
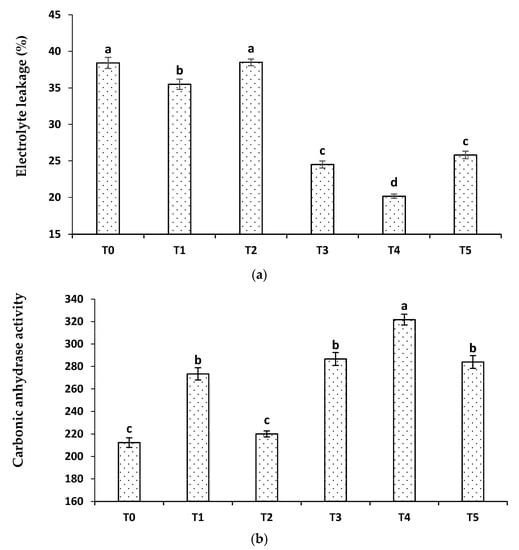
2.5.1. Electrolyte Leakage
2.5.2. Carbonic Anhydrase Activity
2.6. Quality Parameters
2.6.1. Oil Contents
2.6.2. Ash Contents (Mineral Contents)
2.6.3. Nitrogen and Crude Protein in Grain Samples
2.6.4. Zinc Contents in Grain Samples
2.6.5. Statistical Analysis
3. Results
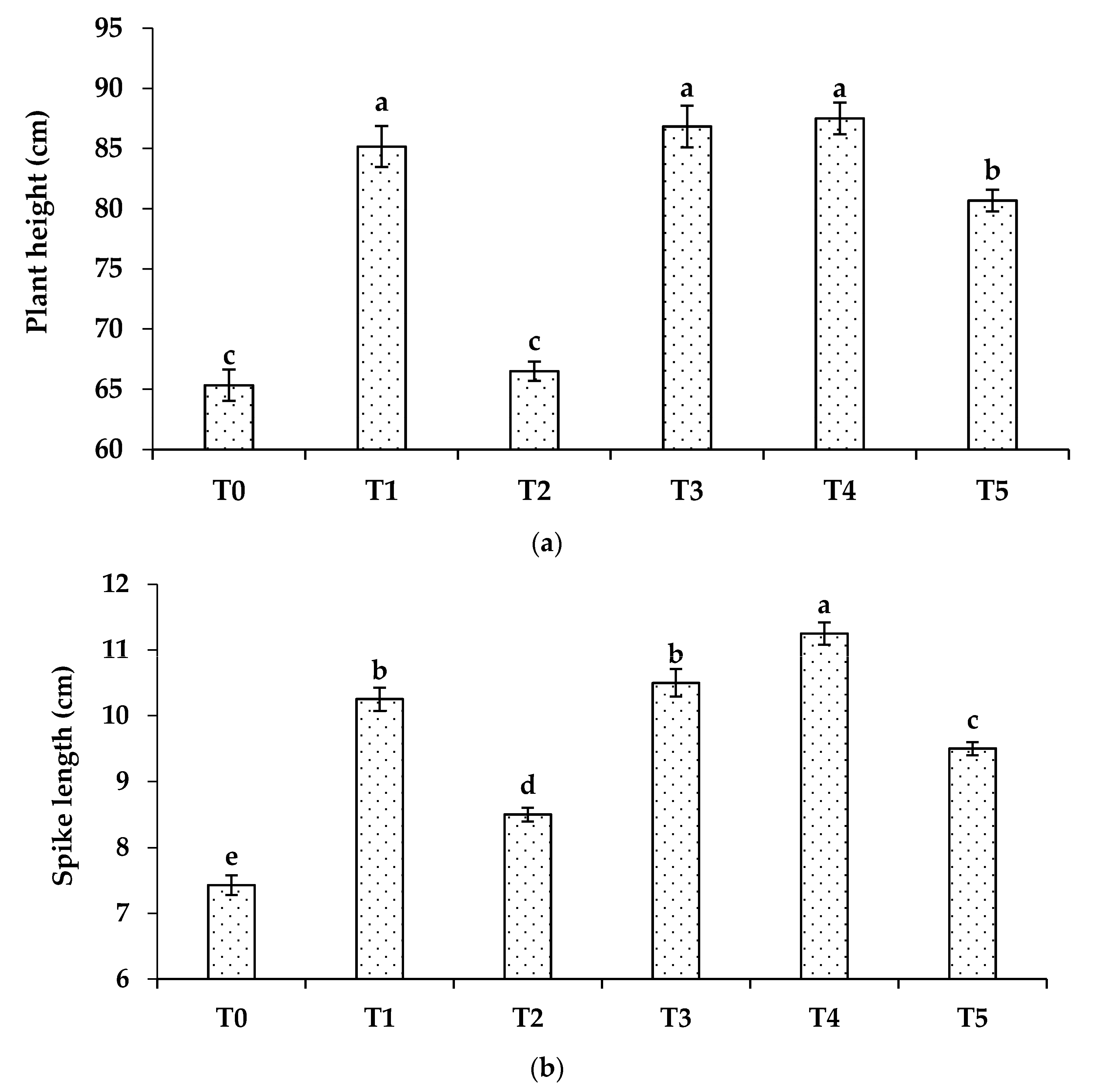
3.1. Growth Parameter
3.2. Physiological Parameters
3.3. Yield Parameters
3.4. Quality Parameters
4. Discussion
5. Conclusions
Author Contributions
Funding
Institutional Review Board Statement
Informed Consent Statement
Data Availability Statement
Acknowledgments
Conflicts of Interest
References
- Alloway, B.J. Zinc in Soils and Crop Nutrition. Publication of International Zinc. 2004. Available online: http://www.iza.com/Documents/Communications/Publications/ALLOWAY_PRINT.pdf (accessed on 5 February 2021).
- Broadley, M.R.; White, P.J.; Hammond, J.P.; Zelko, I.; Lux, A. Zinc in plants. New Phytol. 2007, 173, 677–702. [Google Scholar]
- Brennan, R.F. Zinc Application and Its Availability to Plants. Ph.D. Thesis, Murdoch University, Murdoch, Australia, 2005. [Google Scholar]
- Disante, K.B.; Fuentes, D.; Cortina, J. Response to drought of Zn-stressed Quercus suber L. seedlings. Environ. Exp. Bot. 2010, 70, 96–103. [Google Scholar] [CrossRef]
- Peck, A.W.; McDonald, G.K. Adequate zinc nutrition alleviates the adverse effects of heat stress in bread wheat. Plant Soil 2010, 37, 355–374. [Google Scholar]
- Tavallali, V.; Rahemi, M.; Eshghi, S.; Kholdebarin, B.; Ramezanian, A. Zinc alleviates salt stress and increases antioxidant enzyme activity in the leaves of pistachio (Pistacia vera L.’Badami’) seedlings. Turk. J. Agric. For. 2010, 34, 349–359. [Google Scholar]
- Cakmak, I. Tansley Review No. 111: Possible roles of zinc in protecting plant cells from damage by reactive oxygen species. New Phytol. 2000, 146, 185–205. [Google Scholar] [CrossRef] [PubMed]
- Shah, H.; Siderius, C.; Hellegers, P. Cost and effectiveness of in-season strategies for coping with weather variability in Pakistan’s agriculture. Agric. Syst. 2020, 178, 102746. [Google Scholar] [CrossRef]
- Pakistan Economic Survey. Highlights of Pakistan Economic Survey Report, Section Agriculture, Ministry of Econmics Affairs Pakistan, Pakistan, 2018–2019; Government of Pakistan Finance Division: Islamabad, Pakistan, 2019; pp. 12–33.
- FAO. Food Supply Database (2007); Food and Agriculture Organization: Rome, Italy, 2012; Available online: http://faostat.fao.org/site/609/default.aspx#ancor (accessed on 1 June 2012).
- Kiekens, L. Zinc in heavy metals. In Soils; Alloway, B.J., Ed.; Blackie Academic and Professional: London, UK, 1995. [Google Scholar]
- Cakmak, I. Enrichment of cereals grains with zinc: Agronomic or genetic biofortification? Plant Soil 2008, 302, 1–17. [Google Scholar] [CrossRef]
- Joy, E.J.M.; Ahmad, W.; Zia, M.H.; Kumssa, D.B.; Young, S.D.; Ander, E.L.; Watts, M.J.; Stein, A.J.; Broadley, M.R. Valuing increased zinc (Zn) fertilizer-use in Pakistan. Plant Soil 2017, 411, 139–150. [Google Scholar] [CrossRef]
- Aziz, M.Z.; Yaseen, M.; Abbas, T.; Naveed, M.; Mustafa, A.; Hamid, Y.; Saeed, Q.; Xu, M.G. Foliar application of micronutrients enhance crop stand, yield, and the biofortification essential for human health of different wheat cultivars. J. Integr. Agric. 2018, 18, 1369–1376. [Google Scholar] [CrossRef]
- Khalifa, R.K.H.M.; Shaaban, S.H.A.; Rawia, A. Effect of foliar application of zinc sulfate and boric acid on growth, yield, and chemical constituents of iris plants. OJAS 2011, 4, 130–144. [Google Scholar]
- Ashraf, M.N.; Aziz, T.; Maqsood, M.A.; Bilal, H.M.; Raza, S.; Zia, M.; Mustafa, A.; Xu, M.; Wang, Y. Evaluating organic materials coating on urea as potential nitrification inhibitors for enhanced nitrogen recovery and growth of maize (Zea mays). Int. J. Agric. Biol. 2019, 22, 1102–1108. [Google Scholar]
- Aziz, M.Z.; Yaseen, M.; Naveed, M.; Wang, X.; Fatima, K.; Saeed, Q.; Mustafa, A. Polymer-Paraburkholderia phytofirmans PsJN Coated Diammonium Phosphate Enhanced Microbial Survival, Phosphorous Use Efficiency, and Production of Wheat. Agronomy 2020, 10, 1344. [Google Scholar] [CrossRef]
- Wang, X.; Fan, J.; Xing, Y.; Xu, G.; Wang, H.; Deng, J.; Wang, Y.; Zhang, F.; Li, P.; Li, Z. The effects of mulch and nitrogen fertilizer on the soil environment of crop plants. Adv. Agron. 2019, 153, 121–173. [Google Scholar]
- Wang, X.; Wang, G.; Guo, T.; Xing, Y.; Mo, F.; Wang, H.; Fan, J.; Zhang, F. Effects of plastic mulch and nitrogen fertilizer on the soil microbial community, enzymatic activity and yield performance in a dryland maize cropping system. Eur. J. Soil Sci. 2021, 72, 400–412. [Google Scholar] [CrossRef]
- Zeb, H.; Hussain, A.; Naveed, M.; Ditta, A.; Ahmad, S.; Jamshaid, M.U.; Ahmad, H.T.; Hussain, M.B.; Aziz, R.; Haider, M.S. Compost enriched with ZnO and Zn-solubilising bacteria improves yield and Zn-fortification in flooded rice. Ital. J. Agron. 2018, 13, 1295. [Google Scholar]
- Bhatt, K.; Maheshwari, D.K. Zinc solubilizing bacteria (Bacillus megaterium) with multifarious plant growth promoting activities alleviates growth in Capsicum annuum L. Biotech 2020, 10, 36. [Google Scholar] [CrossRef]
- Hussain, A.; Zahir, Z.A.; Ditta, A.; Tahir, M.U.; Ahmad, M.; Mumtaz, M.Z.; Hayat, K.; Hussain, S. Production and implication of bio-activated organic fertilizer enriched with zinc-solubilizing bacteria to boost up maize (Zea mays L.) production and biofortification under two cropping seasons. Agronomy 2020, 10, 39. [Google Scholar] [CrossRef]
- Naseer, I.; Ahmad, M.; Hussain, A.; Jamil, M. Potential of zinc solubilizing Bacillus strains to improve rice growth under axenic conditions. Pak. J. Agric. Sci. 2020, 57, 1057–1071. [Google Scholar]
- Ullah, A.; Farooq, M.; Nadeem, F.; Rehman, A.; Hussain, M.; Nawaz, A.; Naveed, M. Zinc Application in Combination with Zinc Solubilizing Enterobacter sp. MN17 Improved Productivity, Profitability, Zinc Efficiency, and Quality of Desi Chickpea. Soil Sci. Plant Nutr. 2020. [Google Scholar] [CrossRef]
- Ahmad, H.T.; Hussain, A.; Aimen, A.; Jamshaid, M.U.; Ditta, A.; Asghar, H.N.; Zahir, Z.A. Improving resilience against drought stress among crop plants through inoculation of plant growth-promoting rhizobacteria. In Resilient Environment and Plant Potential; Husen, A., Jawaid, M., Eds.; Springer Science + Business Media: New York, NY, USA, 2020; In Press. [Google Scholar]
- Sabir, A.; Naveed, M.; Bashir, M.A.; Hussain, A.; Mustafa, A.; Zahir, Z.A.; Kamran, M.; Ditta, A.; Núñez-Delgado, A.; Saeed, Q.; et al. Cadmium mediated phytotoxic impacts in Brassica napus: Managing growth, physiological and oxidative disturbances through combined use of biochar and Enterobacter sp. MN17. J. Environ. Manag. 2020, 265, 110522. [Google Scholar] [CrossRef]
- Ullah, N.; Ditta, A.; Khalid, A.; Mehmood, S.; Rizwan, M.S.; Mubeen, F.; Imtiaz, M. Integrated effect of algal biochar and plant growth promoting rhizobacteria on physiology and growth of maize under deficit irrigations. Soil Sci. Plant Nutr. 2020, 20, 346–356. [Google Scholar] [CrossRef]
- U.S. Salinity Lab. Staff. Diagnosis and Improvement of Saline and Alkali Soils; USDA Hand Book No. 60; U.S. Salinity Lab. Staff: Washington, DC, USA, 1954. [Google Scholar]
- Moodie, C.D.; Smith, H.W.; Mccreery, R.A. Laboratory Manual for Soil Fertility; Department of Agronomy, State College of Washington Pullman: Washington, DC, USA, 1959; pp. 1–75. [Google Scholar]
- Jackson, M.L. Soil Chemical Analysis; Prentice Hall, Inc.: Englewood Cliff, NJ, USA; New York, NY, USA, 1962. [Google Scholar]
- Watanabe, F.S.; Olsen, S.R. Test of an ascorbic acid method for determining phosphorus in water and NaHCO3 extracts from soil. Soil Sci. Soc. Am. J. 1965, 29, 677–678. [Google Scholar] [CrossRef]
- Soltanpour, P.N.; Workman, S. Modification of the NH4 HCO3-DTPA soil test to omit carbon black. Commun. Soil Sci. Plant Anal. 1979, 10, 1411–1420. [Google Scholar] [CrossRef]
- Hussain, A.; Arshad, M.; Zahir, Z.A.; Asghar, M. Prospects of zinc solubilizing bacteria for enhancing growth of maize. Pak. J. Agric. Sci. 2015, 52, 915–922. [Google Scholar]
- Bunt, J.S.; Rovira, A.D. Microbiological studies of some subantarctic soils. J. Soil Sci. 1955, 6, 119–128. [Google Scholar] [CrossRef]
- Nazir, Q.; Hussain, A.; Mumtaz, M.Z.; Niaz, A.; Arif, M.; Aftab, M.; Aslam, A.; Aziz, T. Efficiency of Various Formulations of Urea Coated with Bioaugmented (Bacillus sp.) ZnO to Improve Growth, Yield and Zn Contents of Wheat Grains. Pol. J. Environ. Stud. 2020, 30, 803–810. [Google Scholar] [CrossRef]
- Lutts, S.; Kinet, J.M.; Bouharmont, J. Changes in plant response to NaCl during development of rice (Oryza sativa L.) varieties differing in salinity resistance. J. Exp. Bot. 1995, 46, 1843–1852. [Google Scholar] [CrossRef]
- Dwivedi, R.S.; Randhawa, N.S. Evaluation of rapid test for hidden hunger of zinc in plants. Plant Soil 1974, 40, 45–451. [Google Scholar] [CrossRef]
- AACC. Approved Methods of American Association of Cereal Chemists, 10th ed.; AACC: St. Paul, MN, USA, 2000. [Google Scholar]
- Wolf, B. A comprehensive system of leaf analyses and its use for diagnosing crop nutrient status. Commun. Soil Sci. Plant Anal. 1982, 13, 1035–1059. [Google Scholar]
- Shih, F.F.; Champagne, E.T.; Daigle, K.; Zarins, Z. Use of enzymes in the processing of protein products from rice bran and rice flour. Food Nahr. 1999, 43, 14–18. [Google Scholar]
- Steel, R.G.D.; Torrie, J.H.; Dickey, D. Principle and Procedure of Statistical Analysis, 2nd ed.; McGraw Hill Book Co. Inc.: New York, NY, USA, 1997. [Google Scholar]
- Mader, P.; Kiser, F.; Adholeya, A.; Singh, R.; Uppal, H.S.; Sharma, A.K.; Srivastava., R.; Sahai, V.; Aragno, M.; Wiemkein, A.; et al. Inoculation of root microorganisms for sustainable wheat-rice and wheat–black gram rotations in India. Soil Biol. Biochem. 2010, 43, 609–619. [Google Scholar] [CrossRef]
- Chung, H.; Park, M.; Madhaiyan, M.; Seshadri, S.; Song, J.; Cho, H. Isolation and characterization of phosphate solubilizing bacteria from the rhizosphere of crop plants of Korea. Soil Biol. Biochem. 2005, 37, 1970–1974. [Google Scholar] [CrossRef]
- Fasim, F.; Ahmed, N.; Parsons, R.; Gadd, G.M. Solubilization of zinc salts by bacterium isolated by the air environment of tannery. FEMS Microbiol. Lett. 2002, 213, 1–6. [Google Scholar] [CrossRef]
- Saravanan, V.S.; Madhaiyan, M.; Thangaraju, M. Solubilization of Zinc Compounds by the diazotrophic, plant growth promoting bacterium Gluconacetobacter diazotrophicus. Chemosphere 2007, 66, 1794–1798. [Google Scholar] [CrossRef]
- Tariq, M.; Hameed, S.; Malik, K.A.; Hafeez, F.Y. Plant root associated bacteria for zinc mobilization in rice. Pak. J. Bot. 2007, 39, 245. [Google Scholar]
- Saravanan, V.S.; Kumar, M.R.; Sa, T.M. Microbial zinc solubilization and their role on plants. In Bacteria in Agrobiology: Plant Nutrient Management; Maheshwari, D.K., Ed.; Springer: Berlin, Germany, 2011; pp. 47–63. [Google Scholar]
- Shivay, Y.S.; Prasad, R.; Singh, R.K.; Pal, M. Relative efficiency of zinc-coated urea and soil and foliar application of zinc sulphate on yield, nitrogen, phosphorus, potassium, zinc, and iron biofortification in grains and uptake by basmati rice (Oryza sativa L.). J. Agric. Sci. 2015, 7, 161. [Google Scholar] [CrossRef]
- Reed, M.L.; Graham, D. Carbonic anhydrase in plants: Distribution, properties, and possible physiological functions. In Progress in Phytochemistry; Reinhold, L., Harborne, J.B., Swain, T., Eds.; Pergamon Press: Oxford, UK, 1980; Volume 7, pp. 47–94. [Google Scholar]
- Gibson, T.S.; Leece, D.R. Estimation of physiologically active zinc in maize by biochemical assay. Plant Soil 1981, 146, 241–250. [Google Scholar] [CrossRef]
- Guliev, N.M.; Bairamov, S.H.M.; Aliev, D.A. Functional organization of carbonic anhydrase in higher plants. Sov. Plant Physiol. 1992, 39, 537–544. [Google Scholar]
- Escudero-Almanza, D.J.; Ojeda-Barrios, D.L.; Hernandez-Rodiriguez, O.A.; Chavez, E.S.; Ruiz-Anchondo, T.; Sida-Arreola, J. Carbonic anhydrase and zinc in plant physiology. Chil. J. Agric. Res. 2012, 72, 140–146. [Google Scholar] [CrossRef]
- Kamilova, F.; Kravchenko, L.V.; Shaposhnikov, A.I.; Makarovaand, N.; Lugtenberg, B.J.J. Effects of the tomato pathogen Fusarium oxysporum sp. Radices-lycopersiciand of the biocontrol bacterium Pseudomonas fluorescens WCS365 on the composition of organic acids and sugars in tomato root exudate. Mol. Plant-Microbe Interac. 2006, 19, 1121–1126. [Google Scholar] [CrossRef]
- Seadh, S.E.; El-Abady, M.I.; El-Ghamry, A.M.; Farouk, S. Influence of micronutrients foliar application and nitrogen fertilization on wheat yield and quality of grain and seed. J. Biol. Sci. 2009, 9, 851–858. [Google Scholar] [CrossRef]
- Soleymani, A.; Shahrajabian, M.H. The effects of Fe, Mn, and Zn foliar application on yield, ash, and protein percentage of forage sorghum in climatic condition of Esfahan. Int. J. Biol. 2012, 4, 92. [Google Scholar] [CrossRef]
- Singh, O.; Kumar, S.; Awanish. Productivity and profitability of rice as influence by high fertility levels and their residual effect on wheat. Indian J. Agron. 2012, 57, 143–147. [Google Scholar]
- Rehman, A.; Yasin, M.; Akram, M.; Awan, Z.I. Response of Zn applied and N sources in calcareous soils. Science 2002, 8, 100–104. [Google Scholar]
- Sowokinos, J.R.; Preston, D.A. Maintenance of potato processing quality producers of selected nutrient contents of some tropical maize production. J. Cereal Sci. 1988, 16, 31–33. [Google Scholar]
- Ikenie, J.; Amusa, N.; Obatolu, V. Nutrient composition and weight evaluation of some newly developed maize varieties in Nigeria. J. Food Technol. Afr. 2004, 7, 27–29. [Google Scholar] [CrossRef]






| Treatment | Ash Contents (%) | Oil Contents (%) | N (%) | Protein (%) | Zn (µg g−1 DW) |
|---|---|---|---|---|---|
| No Zn | 2.9 ± 0.09 c | 0.04 ± 0.004 b | 1.80 ± 0.02 c | 10.5 ± 0.23 d | 34.5 ± 0.2 f |
| ZnSO4 | 5.7 ± 0.09 ab | 0.07 ± 0.004 ab | 2.50 ± 0.09 a | 14.3 ± 0.2 b | 43.5 ± 0.3 b |
| ZSB | 4.0 ± 0.09 bc | 0.07 ± 0.002 ab | 2.20 ± 0.04 b | 12.5 ± 0.3 c | 37.5 ± 0.2 e |
| 1.5% Zn coated urea | 5.0 ± 0.3 ab | 0.07 ± 0.002 ab | 2.40 ± 0.04 a | 13.9 ± 0.3 b | 38.2 ± 0.09 d |
| 1.5% bio-activated Zn coated urea | 6.0 ± 0.4 a | 0.09 ± 0.002 a | 2.60 ± 0.14 a | 14.9 ± 0.2 a | 45.2 ± 0.09 a |
| 1.5% Zn blended urea | 4.1 ± 0.04 bc | 0.05 ± 0.002 b | 2.43 ± 0.03 ab | 13.8 ± 0.2 b | 42.2 ± 0.094 c |
| LSD | 1.8047 | 0.0318 | 0.2374 | 0.5976 | 0.3986 |
Publisher’s Note: MDPI stays neutral with regard to jurisdictional claims in published maps and institutional affiliations. |
© 2021 by the authors. Licensee MDPI, Basel, Switzerland. This article is an open access article distributed under the terms and conditions of the Creative Commons Attribution (CC BY) license (https://creativecommons.org/licenses/by/4.0/).
Share and Cite
Nazir, Q.; Wang, X.; Hussain, A.; Ditta, A.; Aimen, A.; Saleem, I.; Naveed, M.; Aziz, T.; Mustafa, A.; Panpluem, N. Variation in Growth, Physiology, Yield, and Quality of Wheat under the Application of Different Zinc Coated Formulations. Appl. Sci. 2021, 11, 4797. https://doi.org/10.3390/app11114797
Nazir Q, Wang X, Hussain A, Ditta A, Aimen A, Saleem I, Naveed M, Aziz T, Mustafa A, Panpluem N. Variation in Growth, Physiology, Yield, and Quality of Wheat under the Application of Different Zinc Coated Formulations. Applied Sciences. 2021; 11(11):4797. https://doi.org/10.3390/app11114797
Chicago/Turabian StyleNazir, Qudsia, Xiukang Wang, Azhar Hussain, Allah Ditta, Ayesha Aimen, Ifra Saleem, Muhammad Naveed, Tariq Aziz, Adnan Mustafa, and Nalun Panpluem. 2021. "Variation in Growth, Physiology, Yield, and Quality of Wheat under the Application of Different Zinc Coated Formulations" Applied Sciences 11, no. 11: 4797. https://doi.org/10.3390/app11114797
APA StyleNazir, Q., Wang, X., Hussain, A., Ditta, A., Aimen, A., Saleem, I., Naveed, M., Aziz, T., Mustafa, A., & Panpluem, N. (2021). Variation in Growth, Physiology, Yield, and Quality of Wheat under the Application of Different Zinc Coated Formulations. Applied Sciences, 11(11), 4797. https://doi.org/10.3390/app11114797

