Organizational Factors That Drive to BIM Effectiveness: Technological Learning, Collaborative Culture, and Senior Management Support
Abstract
1. Introduction
- (1)
- What are the links between senior management support, collaborative culture, technological learning, and BIM technology effectiveness?
- (2)
- How does senior management support influence BIM technology effectiveness in the presence of relationships between the aforementioned variables?
2. Literature Review and Research Hypotheses
2.1. BIM: Barriers and Factors
2.2. BIM Technology Effectiveness
2.3. Senior Management Support
2.4. Technological Learning
2.5. Collaborative Culture
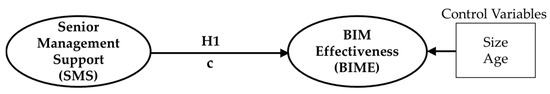
2.6. Research Hypothesis
3. Research Method
3.1. Overall Approach
3.2. Sample and Data Collection
3.3. Variables
3.4. Data Analysis
4. Results
5. Discussion
6. Conclusions
Author Contributions
Funding
Acknowledgments
Conflicts of Interest
References
- Suermann, P.; Issa, R. Evaluating industry perceptions of building information modeling (BIM) impact on construction. Electron. J. Inf. Technol. Constr. 2009, 14, 574–594. [Google Scholar]
- Kassem, M.; Brogden, T. Dawood. N. BIM and 4D planning: A holistic study of the barriers and drivers to widespread adoption. J. Constr. Eng. Proj. Manag. 2012, 2, 1–10. [Google Scholar] [CrossRef]
- Eastman, C.M.; Teicholz, P.; Sacks, R.; Liston, K. BIM Handbook: A Guide to Building Information Modelling for Owners, Managers, Designers, Engineers and Contractors; John Wiley and Sons, Inc.: Hoboken, NJ, USA, 2011. [Google Scholar]
- Sabongi, F.J. The Integration of BIM in the Undergraduate Curriculum: An Analysis of Undergraduate Courses. In Proceedings of the 45th ASC Annual International Conference on EEUU, Gainesville, FL, USA, 1–4 April 2009. [Google Scholar]
- Davis, F.D. Perceived usefulness, perceived ease of use and user acceptance of information technology. MIS Q. 1989, 13, 319–340. [Google Scholar] [CrossRef]
- Holden, R.J.; Karsh, B.T. The Technology Acceptance Model: Its past and its future in health care. J. Biomed. Inform. 2010, 43, 159–172. [Google Scholar] [CrossRef]
- Lee, Y.; Kozar, K.A.; Larsen, K.R. The Technology Acceptance Model: Past, Present, and Future. Commun. Assoc. Inf. Syst. 2003, 12, 750–782. Available online: http://aisel.aisnet.org/cgi/viewcontent.cgi?article=3217&context=cais (accessed on 21 March 2020). [CrossRef]
- Li, L. A Critical Review of Technology Acceptance Literature; Grambling State University: Grambling, LA, USA, 2010; p. 19. Available online: http://www.swdsi.org/swdsi2010/sw2010_preceedings/papers/pa104.pdf (accessed on 6 July 2020).
- Lee, S.; Yu, J. Comparative Study of BIM Acceptance between Korea and the United States. J. Constr. Eng. Manag. 2016, 142, 5015016. [Google Scholar] [CrossRef]
- Ahuja, R.; Jain, M.; Sawhney, A.; Arif, M. Adoption of BIM by architectural firms in India: Technology–organization–environment perspective. Archit. Eng. Des. Manag. 2016, 12, 311–330. [Google Scholar] [CrossRef]
- Xu, H.; Feng, J.; Li, S. Users-orientated evaluation of building information model in the Chinese construction industry. Autom. Constr. 2014, 39, 32–46. [Google Scholar] [CrossRef]
- Acquah, R.; Eyiah, A.K.; Oteng, D. Acceptance of building information modelling: A survey of professionals in the construction industry in Ghana. J. Inf. Technol. Constr. 2018, 23, 75–91. Available online: https://www.itcon.org/2018/4 (accessed on 16 February 2019).
- Ahmed, A.L.; Kassem, M. A unified BIM adoption taxonomy: Conceptual development, empirical validation and application. Autom. Constr. 2018, 96, 103–127. [Google Scholar] [CrossRef]
- Sanchís, P.; Vizcarra, A.C.; Leal Rodríguez, A.L. BIM: A technology acceptance model in Peru. J. Inf. Technol. Constr. 2020, 25, 99–108. [Google Scholar]
- Ullah, K.; Lill, I.; Witt, E. An Overview of BIM Adoption in the Construction Industry: Benefits barriers. In Proceedings of the 10th Nordic Conference on Construction Economics and Organization (Emerald Reach Proceedings Series, Vol. 2); Emerald Publishing Limited: Bingley, UK, 2019; pp. 297–303. [Google Scholar] [CrossRef]
- Kjartansdottir, I.B.; Mordue, S.; Nowak, P.; Philp, D.; Snæbjörnsson, J.T. Building Information Modelling-BIM; Civil Engineering Faculty of Warsaw University of Technology: Warsaw, Poland, 2017. [Google Scholar]
- Khosrowshahi, F.; Dastbaz, M.; Gorse, C.; Moncaster, A. Building Information Modelling (BIM) a Paradigm Shift in Construction. In Building Information Modelling, Building Performance, Design and Smart Construction; Springer: Cham, Switzerland, 2017; pp. 47–64. [Google Scholar]
- Latiffi, A.A.; Mohd, S.; Rakiman, U.S. Potential improvement of building information modeling (bim) implementation in Malaysian construction projects. In Proceedings of the 12th IFIP International Conference on Product Lifecycle Management, Doha, Qatar, 19–21 October 2015. [Google Scholar]
- Latorre, U.A.; Sanz, C.; Sánchez, B. Aplicación de un modelo Lean-BIM para la mejora de la productividad en redacción de proyectos de edificación. Inf. Constr. 2019, 71, 313. [Google Scholar] [CrossRef]
- Lu, N.; Korman, T. Implementation of Building Information Modeling (BIM) in Modular Construction: Benefits and Challenges. Constr. Res. Congr. 2010, 8, 1136–1145. [Google Scholar] [CrossRef]
- Gu, N.; London, K. Understanding and facilitating BIM adoption in the AEC industry. Autom. Constr. 2010, 19, 988–999. [Google Scholar] [CrossRef]
- Gurevich, U.; Sacks, R.; Shrestha, P. BIM adoption by public facility agencies: Impacts on occupant value. Build. Res. Inf. 2017, 45, 610–630. [Google Scholar] [CrossRef]
- Lee, S.; Yu, J. Discriminant model of BIM acceptance readiness in a construction organization. J. Civil Eng. 2016, 21. [Google Scholar] [CrossRef]
- Gilligan, B.; Kunz, J. VDC Use in 2007: Significant Value, Dramatic Growth, and Apparent Business Opportunity. CIFE, Stanford University Center for Integrated Facility Engineering. Available online: http://cife.stanford.edu (accessed on 18 April 2009).
- Hongping, Y.Y.; Yu, Y.; Xiaolong, X. Promoting Owners’ BIM Adoption Behaviors to Achieve Sustainable Project Management. Sustainability 2019, 11, 3905. [Google Scholar] [CrossRef]
- Dodgson, M. Organizational Learning: A Review of Some Literatures. Organ. Stud. 1993, 14, 375–394. [Google Scholar] [CrossRef]
- McGraw-Hill Construction. The Business Value of BIM in North America: Multi-Year Trend Analysis and User Ratings (2007–2012); Smart Market Report; McGraw-Hill Construction: Bedford, MA, USA, 2012; p. 18. [Google Scholar]
- Weirui, X.; Yaow, W.; Qingpeng, M. Research on information models for the construction schedule management based on the IFC standard. J. Ind. Eng. Manag. 2015, 8, 615–635. [Google Scholar] [CrossRef]
- Lee, G.; Borrmann, A. BIM policy and management. Constr. Manag. Econ. 2020, 3, 413–419. [Google Scholar] [CrossRef]
- Mahamadu, A.M.; Mahdjoubi, L.; Booth, C.A. Critical BIM qualification criteria for construction pre-qualification and selection. Archit. Eng. Des. Manag. 2017, 13, 326–343. [Google Scholar] [CrossRef]
- Arayici, Y.; Kiviniemi, A.; Coates, S.; Koskela, L.; Kagioglou, M.; Usher, C.; O’Reilly, K. BIM implementation and adoption process for an architectural practice. Struct. Surv. 2011, 29, 7–25. [Google Scholar] [CrossRef]
- Alwisy, A.; Mohamed, A.H.; Jibouri, S. BIM Approach for Automated Drafting and Design for Modular Construction Manufacturing. In Proceedings of the ASCE International Conference on Computing in Civil Engineering, Clerawater Beach, FL, USA, 17–20 June 2012. [Google Scholar] [CrossRef]
- Song, J.; Migliaccio, G.; Wang, G.; Lu, H. Exploring the Influence of System Quality, Information Quality, and External Service on BIM User Satisfaction. J. Manag. Eng. 2017, 33, 4017036. [Google Scholar] [CrossRef]
- Liu, H.L.; Song, J.L.; Wang, G.B. User satisfaction of building information modeling (BIM) and its influencing factors in AEC industry. J. China Civ. Eng. 2019, 52, 118–128. [Google Scholar]
- Orlikowski, W. Using Technology and Constituting Structures: A Practice Lens for Studying Technology in Organizations. Organ. Sci. 2000, 11, 404–428. [Google Scholar] [CrossRef]
- Elmualim, A.; Gilder, J. BIM: Innovation in design management, influence and challenges of implementation. Archit. Eng. Des. Manag. 2014, 10, 183–199. [Google Scholar] [CrossRef]
- Hore, A.; McAuley, B.; West, R. Building Information Modelling in Ireland 2017. In Lean and Computing in Construction Congress (LC3): Volume I Ð Proceedings of the Joint Conference on Computing in Construction (JC3), Heraklion, Greece, 4–7 July 2017; BIM Innovation Capability Programme, Cita Ltd.: Dublin, Ireland, 2017; pp. 759–766. [Google Scholar]
- Ismail, N.A.A.; Chiozzi, M.; Drogemuller, R. An overview of BIM uptake in Asian developing countries. AIP Conf. Proc. 2017, 1903, 080008. [Google Scholar] [CrossRef]
- Hosseini, M.R.; Banihashemi, S.; Chileshe, N.; Oraee, M.; Udeaja, C.; Rameezdeen, R.; McCuen, T. BIM adoption within Australian small and medium-sized enterprises (SMEs): An innovation diffusion model. Constr. Econ. Build. 2016, 16, 71–86. [Google Scholar] [CrossRef]
- Harrison, C.; Thurnell, D. BIM implementation in a New Zealand consulting quantity surveying practice. Int. J. Constr. Supply Chain. Manag. 2015, 5, 1–15. [Google Scholar] [CrossRef]
- Broquetas, M.; Bryde, D.; Volm, J. The project benefits of Building Information Modelling (BIM). Int. J. Proj. Manag. 2013, 31, 971–980. [Google Scholar] [CrossRef]
- Lall, S. Learning to Industrialize: The Acquisition of Technological Capability by India; Macmillan Press: London, UK, 1987. [Google Scholar]
- Bell, M. Learning and the Accumulation of Industrial Technological Capacity in Developing Countries. In Technological Capacity in the Third World; King, K., Fransman, M., Eds.; Macmillan: London, UK, 1984; pp. 187–209. [Google Scholar]
- Scott, K.D.; Bell, M. Technological Capacity and Technical Change: Case Studies, Report on a Study of Technology Transfer in Manufacturing Industry in Thailand; Working Paper; Science Policy Research Unit, University of Sussex: Brighton, UK, 1985. [Google Scholar]
- Yilmaz, G.; Akcamete, A.; Demirors, O. A reference model for BIM capability assessments. Autom. Constr. 2019, 101, 245–263. [Google Scholar] [CrossRef]
- Koutamanis, A. Dimensionality in BIM: Why BIM cannot have more than four dimensions? Autom. Constr. 2020, 114, 103153. [Google Scholar] [CrossRef]
- Mayouf, M.; Gerges, M.; Cox, S. 5D BIM: An investigation into the integration of quantity surveyors within the BIM process. J. Eng. Des. 2019, 17, 537–553. [Google Scholar] [CrossRef]
- Mesároš, P.; Smetanková, J.; Mandičák, T. The Fifth Dimension of BIM–Implementation Survey. In Proceedings of the IOP Conference Series: Earth and Environmental Science 222, Brno, Czech Republic, 17–19 October 2018. [Google Scholar] [CrossRef]
- Oti, A.; Kurul, E.; Cheung, F.; Tah, J. The utilization of BMS in BIM for facility management. In Proceedings of the CIB World Building Congress, Tampere, Finland, 30 May–3 June 2016. [Google Scholar] [CrossRef]
- Ghaffarianhoseini, A.; Tookey, J.; Ghaffarianhoseini, A.; Naismith, N.; Azhar, S.; Efimova, O.; Raahemifar, K. Building Information Modelling (BIM) uptake: Clear benefits, understanding its implementation, risks and challenges. Renew. Sustain. Energy Rev. 2016, 75, 1046–1053. [Google Scholar] [CrossRef]
- Kamardeen, I. 8D BIM modelling tool for accident prevention through design. In Proceedings of the 26th Annual Association of Researchers in Construction Management (ARCOM) Conference, Leeds, UK, 6–8 September 2010; pp. 281–289. [Google Scholar]
- Ragu-Nathan, B.S.; Apigian, C.H.; Ragu-Nathan, T.S.; Tu, Q. A path analytic study of the effect of top management support for information systems performance. Omega 2004, 32, 459–471. [Google Scholar] [CrossRef]
- Mahoney, M.L. An Examination of the Determinants of Top Management Support of Information Technology Projects. Ph.D. Thesis, ProQuest LLC, Ann Arbor, MI, USA, 2011. [Google Scholar]
- Cao, D.; Wang, G.; Li, H.; Skitmore, M.; Huang, T.; Zhang, W. Practices and effectiveness of building information modelling in construction projects in China. Autom. Constr. 2015, 49, 113–122. [Google Scholar] [CrossRef]
- Sharma, R.; Yetton, P. The contingent effects of management support and task interdependence on successful information systems implementation. MIS Q. 2003, 27, 533–555. [Google Scholar] [CrossRef]
- Young, R.; Jordan, E. Top management support: Mantra or necessity? Int. J. Proj. Manag. 2009, 26, 713–725. [Google Scholar] [CrossRef]
- Khan, K.A.; Turner, J.R.; Maqsood, D. Factors that influence the success of public sector projects in Pakistan. In Proceedings of the IRNOP XI 2013 Conference, Oslo, Norway, 17–19 June 2013. [Google Scholar]
- Rosenberg, N. On Technological Expectations. Econ. J. 1976, 86, 523–535. [Google Scholar] [CrossRef]
- Scott, K.D.; Bell, M. Technological Dynamism and Technological Content of Collaboration: Are Indian Firms Missing Opportunities? Econ. Political Wkly. 1985, 20, 1991–2004. Available online: http://www.jstor.org/stable/4375021 (accessed on 5 June 2020).
- Bell, M.; Pavitt, K. The Development of Techological Capabilities. In Trade, Technology and International Competitiveness; Haque, I.U., Ed.; The World Bank: Washington, DC, USA, 1995; Volume 22, pp. 69–101. [Google Scholar]
- Kim, L. The Dinamics of Sansung’s Technological Learning in Semiconductors. CA Manag. Rev. 1997, 39, 86–100. [Google Scholar]
- Succar, B Building information modelling framework: A research and delivery foundation for industry stakeholders. Autom. Constr. 2009, 18, 357–375. [CrossRef]
- Sacks, R.; Eastman, C.; Lee, G.; Teicholz, P. BIM Handbook: A Guide to Building Information Modelling for Owner, Managers, Designers, Engineers, Contractors and Facility Managers; John Wiley and Sons, Inc.: Hoboken, NJ, USA, 2018. [Google Scholar]
- Figueiredo, P.N. Technological Learning and Competitive Performance; Edward Elgar Publishing: Cheltenham, UK; Northampton, UK, 30 December 2001. [Google Scholar]
- Baiden, B.K.; Price, A.; Dainty, A. The extent of team integration within construction projects. Int. J. Proj. Manag. 2006, 24, 13–23. [Google Scholar] [CrossRef]
- Dietrich, P.; Eskerod, P.; Dalcher, D.; Sandhawalia, B. The Role of Project Collaboration Quality and Knowledge: Integration Capability in Multi-Partner Projects. Presented at PMI® Research Conference: Defining the Future of Project Management, Washington, DC, USA, 14 July 2010; Project Management Institute: Newtown Square, PA, USA; pp. 1–38. [Google Scholar]
- Chan, A.P.; Scott, D.; Chan, A.P. Factors affecting the success of a construction project. J. Constr. Eng. Manag. 2004, 130, 153–155. [Google Scholar] [CrossRef]
- Weippert, A.; Kajewski, S. AEC Industry Culture: A Need for Change. In CIB World Building Congress 2004: Building for the Future; Elmahdy, H., Ed.; CIB (International Council for Research and Innovation Building and Construction): Toronto, ON, Canada, May 2004; pp. 1–10. [Google Scholar]
- Creswell, J.; Clark, V.P. Designing and Conducting Mixed Methods Research; Sage: Thousand Oaks, CA, USA, 2007. [Google Scholar]
- Roldán, J.L.; Sánchez, F.M.J. Variance-based structural equation modeling: Guidelines for using partial least squares in information systems research. In Research Methodologies, Innovations and Philosophies in Software Systems Engineering and Information Systems; Mora, M., Gelman, O., Steenkamp, A., Raisinghani, M., Eds.; Information Science Reference: Hershey, PA, USA, 2012; pp. 193–221. [Google Scholar]
- Lévy, J.; Varela, J. Modelación con Estructuras de Covarianzas en Ciencias Sociales; Editores Netbiblo: Madrid, Spain, 2006. [Google Scholar]
- Cassel, C.; Hackl, P.; Westlund, A. Robustness of Partial Least-Squares Method for Estimating Latent Variable Quality Structures. J. Appl. Stat. 1999, 26, 435–446. [Google Scholar] [CrossRef]
- Chin, W. How to write up and report PLS analyses. In Handbook of Partial Least squares: Concepts, Methods and Applications; Vinzi, E., Chin, W., Henseler, J., Wang, H., Eds.; Springer: Berlín, Germany, 2010; pp. 655–690. [Google Scholar]
- Hair, J.; Ringle, C.; Sarstedt, M. Partial Least Squares Structural Equation Modeling: Rigorous Applications, Better Results and Higher Acceptance. Long Range Plan. 2013, 46, 1–12. [Google Scholar] [CrossRef]
- Hair, J.; Risher, J.; Sarstedt, M.; Ringle, C.M. When to use and how to report the results of PLS-SEM. Eur. Bus. Rev. 2018, 31, 1–24. [Google Scholar] [CrossRef]
- Henseler, J.; Hubona, G.; Ray, P. Using PLS path modeling new technology research: Updated guidelines. Ind. Manag. Data Syst. 2016, 116, 2–20. [Google Scholar] [CrossRef]
- Podsakoff, P.; MacKenzie, S.; Lee, J.Y.; Podsakoff, N.P. Common Method Biases in Behavioral Research: A Critical Review of the Literature and Recommended Remedies. J. Appl. Psychol. 2003, 88, 879–903. [Google Scholar] [CrossRef]
- Meade, A.W.; Watson, A.M.; Kroustalis, C.M. Assessing Common Methods Bias in Organizational Research. In Proceedings of the 22nd Annual Meeting of the Society for Industrial and Organizational Psychology, New York, NY, USA, 15–17 April 2007. [Google Scholar]
- Reinartz, W.; Haenlein, M.; Henseler, J. An empirical comparison of the efficacy of covariance-based and variance-based SEM. Int. J. Res. Mark. 2009, 26, 332–344. [Google Scholar] [CrossRef]
- Marcoulides, G.; Saunders, C. PLS: A silver bullet? Manag. Inf. Syst. Q. 2006, 30, 3–9. [Google Scholar] [CrossRef]
- Ringle, C.M.; Wende, S.; Becker, J.M. SmartPLS 3. Boenningstedt: SmartPLS GmbH. Available online: http://www.smartpls.com (accessed on 21 April 2020).
- Chin, W.; Marcolin, B.; Newsted, P. A Partial Least Squares Latent Variable Modeling Approach for Measuring Interaction Effects: Results from a Monte Carlo Simulation Study and an Electronic-Mail Emotion/Adoption Study. Inf. Syst. Res. 2003, 14, 189–217. [Google Scholar] [CrossRef]
- Podsakoff, N.; Shen, W.; Podsakoff, P. The Role of Formative Measurement Models in Strategic Management Research: Review, Critique, and Implications for Future Research. Res. Methodol. Strategy Manag. 2006, 3, 197–252. [Google Scholar] [CrossRef]
- Hair, J.F.; Sarstedt, M.; Ringle, C.M. Rethinking some of the rethinking of partial least squares. Eur. J. Mark. 2019, 53, 566–584. [Google Scholar] [CrossRef]
- Chin, W. The Partial Least Square Approach to Structural Equation Modelling; Marcoulides, E.G., Ed.; Modern Methods for Business Research, Lawrence Erlbaum: Mahawah, NJ, USA, 1998; pp. 295–369. [Google Scholar]
- Hair, J.; Hult, G.; Ringle, C.; Sarstedt, M. A Primer on Partial Least Square Structural Equation Modeling (PLS-SEM); Sage: Thousand Oaks, CA, USA, 2017. [Google Scholar]
- Hair, J.; Sarstedt, M.H.; Hopkins, L.; Kuppelwieser, V.G. Partial Least Squares Structural Equation Modeling (PLS-SEM): An Emerging Tool for Business Research. Eur. Bus. Rev. 2014, 26, 106–121. [Google Scholar] [CrossRef]



| Senior Management Support | Supporting Contributions: [52,53,57]. |
|---|---|
| SMS1: Project team members are rewarded for learning new skills. SMS2: BIM effectiveness has promoted innovate mindsets and risk-talking. SMS3: New ideas originated in project design by clients/promoter/contractor/are easy to implement. SMS4: Meetings where problems and alternative solutions are raised are frequently held. SMS5: Show the approximate percentage of success in problems raised by the project team. | |
| Technological Learning | Supporting Contributions: [26,60]. |
| TL1: The project team has gained knowledge in BIM technology by attending external training courses. TL2: Thanks to internally hiring experts, the project team gains knowledge in BIM technology. TL3: Any knowledge gained from BIM technology is applied to all stages of the building or infrastructure life cycle (design, construction, and operation). TL4: Indicate the number of years using BIM technology when carrying out projects. | |
| Collaborative Culture | Supporting Contributions: [65,66,67,68]. |
| CCU1: The project team supports and helps each other during the development of the project. CCU2: There is a willingness to share responsibilities in the event of failure. CCU3: The relationships between the different project agents have improved with the BIM methodology. CCU4: The company tries to expand mutual collaboration with other design companies. CCU5: Professional social networks (LinkedIn, etc.) are normally used to collaborate with other companies in carrying out projects. | |
| BIM Effectiveness | Supporting Contributions: [46,47,48,49]. |
| BIME1: The project team knows the functionality of BIM applications regarding 3D modeling and design. BIME2: The project team knows the functionality of BIM 4D applications to carry out time planning. BIME3: The project team knows the functionality of BIM 5D applications for cost and budget studies. BIME4: The project team knows the functionality of BIM 6D applications for the study of energy efficiency and sustainability (energy savings). BIME5: Tools are used to detect interferences between services and project facilities. BIME 6: Indicate which dimensions of BIM you are using in the company. BIME7: Indicate the approximate percentage of the project completion with BIM tools. | |
| Type of BIM Company | Percentage | Number of Years Using BIM | Percentage |
|---|---|---|---|
| Architecture | 48.9% | Under 1 | 9.7% |
| Engineering facilities | 30.4% | 1–2 | 16.1% |
| Civil engineering Architecture | 20.7% | 2–3 | 10.8% |
| Company Size | Percentage | Over 3 | 63.4% |
| Micro companies (under 10) | 68.1% | Project Fulfillment with BIM Tools | Percentage |
| Small companies (11–50) | 22.3% | Under 20% | 8.5% |
| Medium companies (51–250) | 8.5% | 20–40% | 12.8% |
| Big companies (over 250) | 1.1% | 40–60% | 21.3% |
| Annual Turnover € Million (Euros) | Percentage | 60–80% | 17% |
| Under 2 | 80.4% | Over 80% | 40.4% |
| 2–10 | 15.2% | ||
| 10–50 | 3.9% | ||
| Over 50 | 0.5% |
| Senior Management Support | Weight | T-Value | VIF | Technological Learning | Weight | T-Value | VIF |
|---|---|---|---|---|---|---|---|
| SMS1 | 0.224 * | 1.646 | 1.658 | TL1 | 0.104 NS | 0.904 | 1.126 |
| SMS2 | 0.591 *** | 3.882 | 1.660 | TT2 | - | - | - |
| SMS3 | - | - | - | TT3 | 0.720 *** | 5.798 | 1.062 |
| SMS4 | 0.362 ** | 2.554 | 1.614 | TT4 | 0.623 *** | 4.828 | 1.148 |
| SMS5 | - | - | - | ||||
| Collaborative Culture | Weight | T-Value | VIF | BIM Effectiveness | Weight | T-Value | VIF |
| CCU1 | 0.530 *** | 4.192 | 1.204 | BIME1 | 0.255 * | 1.754 | 1.812 |
| CCU2 | - | - | - | BIME2 | - | - | - |
| CCU3 | 0.613 *** | 5.423 | 1.233 | BIME3 | - | - | - |
| CCU4 | - | - | - | BIME4 | 0.307 * | 2.239 | 1.421 |
| CCU5 | 0.211 * | 2.154 | 1.033 | BIME5 | 0.186 NS | 1.398 | 1.570 |
| BIME6 | 0.235 * | 1.943 | 1.205 | ||||
| BIME7 | 0.427 *** | 3.464 | 1.523 |
| Direct Effects Model | Path Coefficient “β” (T-Value) |
|---|---|
| VIF (SMS → BIME) = 2.1263 | C = 0.698 *** (14.959) |
| BIM Effectiveness | R2 = 0.487 |
| Mediated effects model | Coefficient Path “β” (T-valor) |
| VIF (SMS → TL) = 1.0000 VIF (TL → BIME) = 1.6145 VIF (SMS → CCU) = 1.0000 VIF (CCU → BIME) = 1.9113 VIF (SMS → BIME) = 2.1263 | A = 0.672 *** (11.325) B = 0.310 ** (2.090) a’ = 0.592 *** (10.512) b’ = 0.418 *** (4.254) c’ = 0.213 NS (1.560) |
| Technological learning | R2 = 0.350 |
| Collaborative culture | R2 = 0.451 |
| BIM effectiveness | R2 = 0.648 |
| H2(+): SMS → TL → BIME | |||
|---|---|---|---|
| β (SMS → TL) p = 0.0000 | Percentile 95% confidence interval | β (AT → BIME) p = 0.0000 | 95% confidence interval |
| 0.672 *** | (0.4533–0.6545) | 0.310 ** | (0.2399–0.5547) |
| H3(+): SMS → CCU → BIME | |||
| β (SMS → BIME) p = 0.0000 | Percentile 95% confidence interval | β (CCU → BIME) p = 0.0178 | 95% confidence interval |
| 0.592 *** | (0.5280–0.7442) | 0.418 *** | (0.0208–0.5076) |
| VAF = (Indirect effect/Total effect) × 100 = 68.15% Indirect effect = (a × b) + (a’ × b’) Total effect = direct effect + indirect effect = c’+ (a × b) + (a’ × b’) | |||
Publisher’s Note: MDPI stays neutral with regard to jurisdictional claims in published maps and institutional affiliations. |
© 2020 by the authors. Licensee MDPI, Basel, Switzerland. This article is an open access article distributed under the terms and conditions of the Creative Commons Attribution (CC BY) license (http://creativecommons.org/licenses/by/4.0/).
Share and Cite
Villena-Manzanares, F.; García-Segura, T.; Pellicer, E. Organizational Factors That Drive to BIM Effectiveness: Technological Learning, Collaborative Culture, and Senior Management Support. Appl. Sci. 2021, 11, 199. https://doi.org/10.3390/app11010199
Villena-Manzanares F, García-Segura T, Pellicer E. Organizational Factors That Drive to BIM Effectiveness: Technological Learning, Collaborative Culture, and Senior Management Support. Applied Sciences. 2021; 11(1):199. https://doi.org/10.3390/app11010199
Chicago/Turabian StyleVillena-Manzanares, Francisco, Tatiana García-Segura, and Eugenio Pellicer. 2021. "Organizational Factors That Drive to BIM Effectiveness: Technological Learning, Collaborative Culture, and Senior Management Support" Applied Sciences 11, no. 1: 199. https://doi.org/10.3390/app11010199
APA StyleVillena-Manzanares, F., García-Segura, T., & Pellicer, E. (2021). Organizational Factors That Drive to BIM Effectiveness: Technological Learning, Collaborative Culture, and Senior Management Support. Applied Sciences, 11(1), 199. https://doi.org/10.3390/app11010199

