Location and Capacity Selection Method for Electric Thermal Storage Heating Equipment Connected to Distribution Network Considering Load Characteristics and Power Quality Management
Abstract
1. Introduction
- First, the minimum intra-class distance is used as the objective function to perform fuzzy clustering on the heat load. Second, on the basis of conventional forecasts, the influence weight of the meteorological factors on the outdoor temperature of the day is calculated to correct the outdoor temperature, improve the linear fitting goodness with heating heat load, and provide initial classified heat load data for the optimal configuration of ETSHE.
- The sensitivity coefficient is calculated based on the sensitivity radar chart and sensitivity calculation formula. The sensitivity discrimination of each node in the distribution network can effectively eliminate the nodes that do not meet the sensitivity and prevents the solution from falling into the wrong node, which can improve the efficiency and accuracy of the solution.
- Establish a location and capacity planning model for ETSHE and multi-objective functions including harmonic distortion, voltage deviation, voltage fluctuation, and energy storage equipment costs.
- In the planning stage, data envelopment analysis (DEA) is used to evaluate the power quality of access schemes with multiple indicators and single indicators, and an effective and unified method for distribution network planning and power quality assessment is proposed.
2. Load Characteristic Portrait
2.1. Clustering with Warm Behavior Patterns
- Initialization: Set the number of clustering and membership factor m, randomly initialize the membership matrix , is a matrix made up of , the center of the cluster.
- Parameter update: According to Equation (2), calculate the clustering center of each label of thermal users; according to Equation (3), calculate the membership matrix of all thermal user labels and each clustering center , classify thermal users into the clustering center with the highest membership.
- Convergence judgment: If the change of the objective function is less than the preset threshold, then output the clustering result, otherwise return to Step 2.
- End of clustering: Save and display the clustering results.
2.2. Load Portrait
3. Optimal Configuration Model of Electric Thermal Storage Heating Equipment
3.1. Objective Function
3.1.1. Total Current Harmonic Distortion
3.1.2. Voltage Deviation
3.1.3. Voltage Fluctuation
3.1.4. Total Cost of Energy Storage System
Equipment Cost of Electric Boiler
Equipment Cost of Heat Storage Body
Equipment Cost of Heat Storage Pump
Equipment Cost of Control Device
3.2. Restrictions
3.2.1. Equality Restrictions
3.2.2. Inequality Constraint
4. Node Sensitivity Analysis and Calculation Method
- The network topology, switch state, node voltage range, distributed photovoltaic, wind parameters, and parameters of ETSHE in the distribution network system are initialized. The sensitivity coefficients of each node are calculated and sorted separately. The top 40% of the sorted nodes are selected to form a candidate set of installation nodes.
- The parameters such as the size of the particle swarm, the maximum number of iterations of the algorithm, the acceleration factor, the value range of the adaptive inertia weight, and the speed range of the particles are set in the improved particle swarm optimization.
- The particles in the candidate set are evaluated, and the fitness function value of each particle is calculated. After ranking, the individual optimal value and the global optimal value of the particles are determined and updated.
- Update the particle′s velocity and displacement, calculate the value of the adaptive inertia parameter.
- Check if the maximum number of iterations is exceeded. If it is exceeded, stop iteration and output the calculation result, otherwise skip to Step 3 to continue the iterative calculation.
5. Simulation Analysis
5.1. Load Portrait Result
5.2. Simulation Scenario Setting
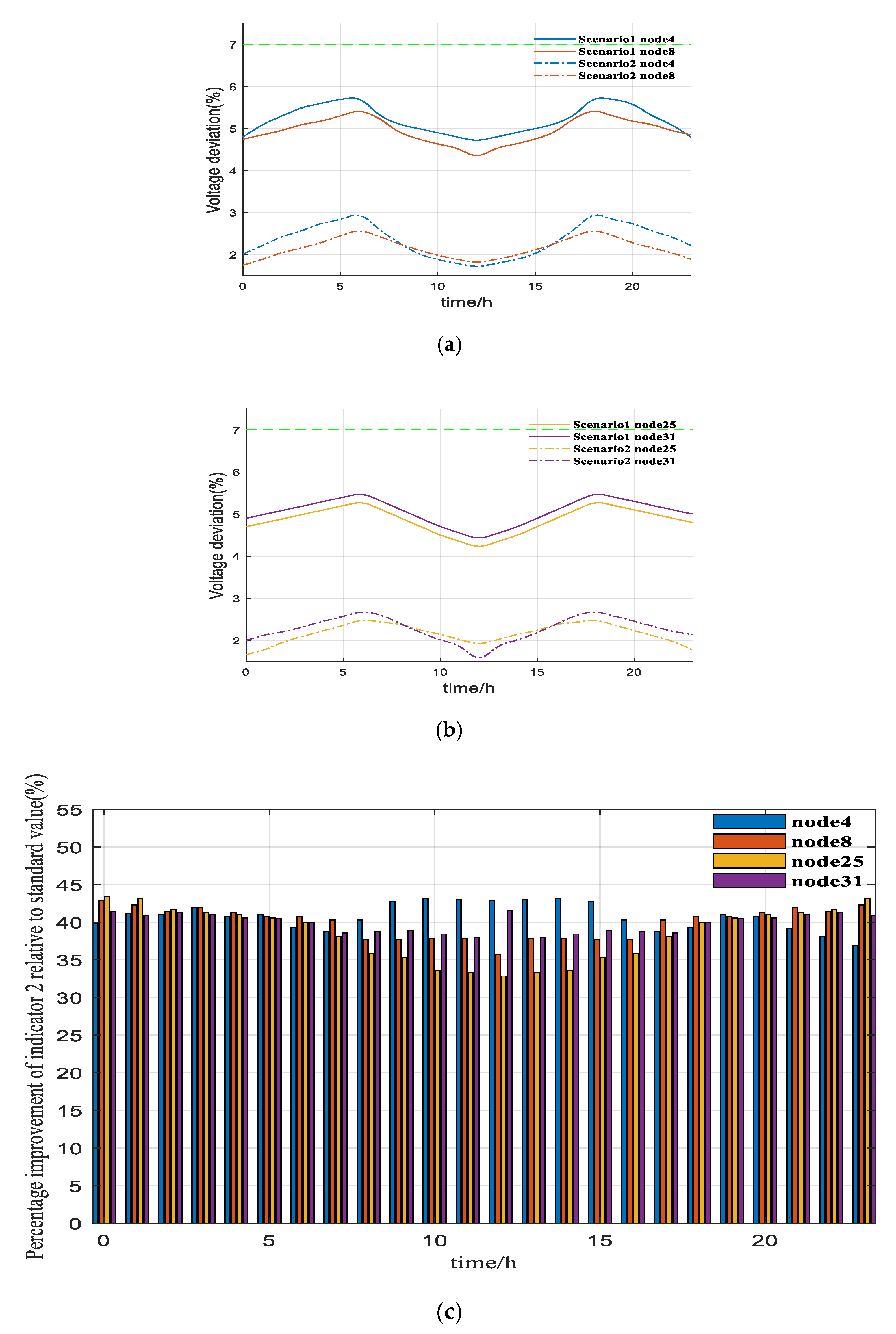
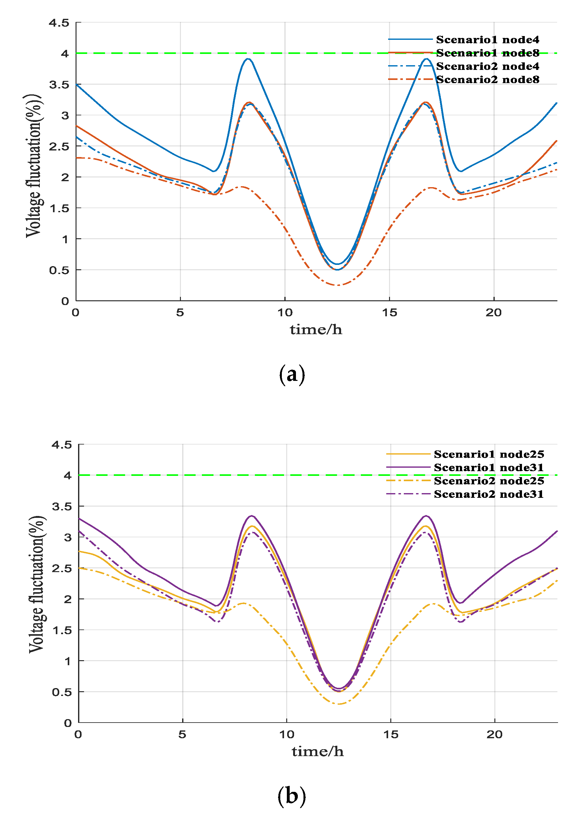
5.3. IEEE-33 System Simulation Analysis
5.4. IEEE-118 System Simulation Analysis
6. Conclusions
Author Contributions
Funding
Conflicts of Interest
Abbreviations
| ETSHE | Electric Thermal Storage Heating Equipment |
| DEA | Data Envelopment Analysis |
| FCM | Fuzzy C-means |
| J | Value function of FCM |
| m | Membership factor |
| K | Number of clustering |
| U | Membership matrix |
| C | Cluster center |
| External wind speed value [m/s] | |
| Equivalent temperature of wind speed cooling [°C] | |
| Wind speed correction coefficients | |
| External light value | |
| Light conversion coefficient [] | |
| Total current harmonic distortion | |
| Root mean square value of the fundamental current [A] | |
| Root mean square value of the -th harmonic current [A] | |
| Voltage of node at time [V] | |
| System standard voltage [V] | |
| Current change caused by the output power change [A] | |
| Equivalent impedance of the two-port network distribution network [Ω] | |
| Unit price corresponding to the unit heat supply of the electric boiler [¥/kWh] | |
| Rated heat supply of the electric boiler [kWh] | |
| Unit price of the heat regenerator [¥] | |
| Volume of the heat accumulator [m3] | |
| The increased equipment investment for each additional unit of the rated flow [¥] | |
| Safety factor when calculating the rated flow | |
| Conversion constant of kilowatt hours and joules | |
| Specific heat of the heat medium [J/(kg°C)] | |
| Density of the heat medium [kg/m3] | |
| Difference in heat storage temperature [°C] | |
| The investment cost of the control device for each additional 1kW of the rated heating capacity of the electric boiler [¥] | |
| Equipment installation cost coefficient | |
| Normalized weight coefficient | |
| Active power of node [kW] | |
| Reactive power of node [KVar] | |
| Voltage amplitudes of node [V] | |
| Voltage amplitudes of node [V] | |
| Conductance of branch [S] | |
| Susceptance of branch [S] | |
| Voltage phase angle difference between -th and -th node | |
| Heat provided by the heat storage body to the user during time [kWh] | |
| Maximum design daily heat load [kW] | |
| The ratio of heat load to maximum value in period t of design day | |
| Heat stored in the heat storage body at the beginning of time t [kWh] | |
| Sensitivity coefficient | |
| Relative production efficiency | |
| Weight of the -th power quality indicator | |
| Weight of the -th quality level | |
| -th power quality input indicator in the -th DMU | |
| -th quality level output in the -th DMU indicator |
Appendix A
- Comprehensive evaluation method of power quality based on data envelope analysis
- Power quality evaluation of the ETSHE planning scheme
| Evaluation Level | Evaluation Indicators | ||
|---|---|---|---|
| X1 | X2 | X3 | |
| Q1 | [0,0.55%] | [0,1.75%] | [0,1%] |
| Q2 | [0.55%,1.1%] | [1.75%,3.5%] | [1%,2%] |
| Q3 | [1.1%,1.65%] | [3.5%,5.25%] | [2%,3%] |
| Q4 | [1.65%,2.2%] | [5.25%,7%] | [3%,4%] |
| Q5 | [2.2%,30%] | [7%,30%] | [4%,30%] |
| DMU | Input Indicator | Output Indicators | ||
|---|---|---|---|---|
| X1 | X2 | X3 | Q | |
| DMU1 | 0.275% | 0.875% | 0.5% | 1 |
| DMU2 | 0.825% | 2.625% | 1.5% | 2 |
| DMU3 | 1.375% | 4.375% | 2.5% | 3 |
| DMU4 | 1.825% | 6.125% | 3.5% | 4 |
| DMU5 | 16.1% | 18.5% | 4.5% | 5 |
| Access Point | Power Quality Index | ||
|---|---|---|---|
| X1 | X2 | X3 | |
| 4 | 3.340% | 2.075% | 0.118% |
| 8 | 4.008% | 4.753% | 0.198% |
| 13 | 4.359% | 5.191% | 0.215% |
| 25 | 5.200% | 2.054% | 0.208% |
| 31 | 5.391% | 2.258% | 0.247% |
| Access Point | Evaluation Level | |||||
|---|---|---|---|---|---|---|
| 4 | −0.581 | −0.248 | −0.181 | −0.152 | 0.183 | 4 |
| 8 | −0.462 | −0.129 | −0.062 | −0.033 | 0.302 | 4 |
| 13 | −0.258 | 0.075 | 0.142 | 0.171 | 0.506 | 2 |
| 25 | −0.05 | 0.283 | 0.35 | 0.379 | 0.714 | 1 |
| 31 | 0 | 0.333 | 0.4 | 0.429 | 0.794 | 1 |
References
- Bracco, S.; Delfino, F.; Pampararo, F.; Robba, M.; Rossi, M. A dynamic optimization-based architecture for polygeneration microgrids with trigeneration, renewables, storage systems and electrical vehicles. Energy Convers. Manag. 2015, 96, 511–520. [Google Scholar] [CrossRef]
- Chathurangi, D.; Jayatunga, U.; Rathnayake, M. Potential power quality impacts on LV distribution networks with high penetration levels of solar PV. In Proceedings of the International Conference on Harmonics and Quality of Power (ICHQP), Ljubljana, Slovenia, 13–16 May 2018; Volume 8, pp. 1–6. [Google Scholar]
- Chai, Y.; Li, G.; Wang, C. Network partition and voltage coordination control for distribution networks with high penetration of distributed PV units. IEEE Trans. Power Syst. 2018, 33, 3396–3407. [Google Scholar] [CrossRef]
- Jin, M.; Feng, W.; Liu, P.; Marnay, C.; Spanos, C. MOD-DR: Microgrid optimal dispatch with demand response. Appl. Energy 2017, 187, 758–776. [Google Scholar] [CrossRef]
- Mokgonyana, L.; Zhang, J.; Li, H. Optimal location and capacity planning for distributed generation with independent power production and self-generation. Appl Energy 2017, 188, 140–150. [Google Scholar] [CrossRef]
- Xiao, J.; Zhang, Z.; Liang, H. Optimization method for location and capacity of public energy storage in distribution network. Autom. Electr. Power Syst. 2015, 19, 60–66 + 73. [Google Scholar]
- Cui, Y.; Liu, W.; Tang, Y. Optimal capacity allocation method for energy storage batteries to improve the voltage level of photovoltaic high-permeability distribution networks. J. Solar Energy 2017, 38, 1157–1165. [Google Scholar]
- Bracco, S. An optimization model for polygeneration microgrids with renewables, electrical and thermal storage: Application to the savona campus. In Proceedings of the 2018 IEEE International Conference on Environment and Electrical Engineering and 2018 IEEE Industrial and Commercial Power Systems Europe (EEEIC/I&CPS Europe), Palermo, Italy, 12–15 June 2018; Volume 5, pp. 1–6. [Google Scholar]
- Brignone, M.; Federico, D.; Francesco, D.; Fossa, M.; Pampararo, F. Modelling and simulating a thermal storage system for the Savona campus smart polygeneration micro grid. Model. Meas. Control C 2018, 79, 83–89. [Google Scholar] [CrossRef]
- Delfino, F. Identification and optimal control of an electrical storage system for microgrids with renewables. Sustain. Energy Grids Netw. 2019, 17, 100183. [Google Scholar] [CrossRef]
- Ghofrani, M.; Arabali, A.; Etezadi-Amoli, M.; Fadali, M.S. A Framework for Optimal Placement of Energy Storage Units within a Power System with High Wind Penetration. IEEE Trans. Sustain. Energy 2013, 4, 434–442. [Google Scholar] [CrossRef]
- Xie, X.; Wang, K.; Liu, Q. A method for location and capacity planning of distributed power sources considering harmonics. J. Wuhan Univ. 2019, 52, 1671–8844. [Google Scholar]
- Chen, C.; Jin, Y.; Cai, Z. Node sensitivity analysis method for power quality management of high-density distributed photovoltaic access distribution network. Power Capacit. React. Compens. 2019, 3, 137–142. [Google Scholar]
- Rahman, S.; Hazim, O. A generalized knowledge-based short-term load-forecasting technique. IEEE Trans. Power Syst. 1993, 8, 508–514. [Google Scholar] [CrossRef]
- Krinidis, S.; Chatzis, V. A robust fuzzy local information c-means clustering algorithm. IEEE Trans. Image Process. 2010, 19, 1328–1337. [Google Scholar] [CrossRef] [PubMed]
- Qin, L.; Zhao, N.; Sun, D.F. Analysis of measured results of heating energy consumption of residential buildings in severe cold areas. J. Northeast Dianli Univ. 2016, 36, 36–40. [Google Scholar]
- Cai, Q. Study on the relationship between meteorological factors and heating load. Dist. Heat. 2016, 4, 27–32. [Google Scholar]
- Seyed, M.S. Electric load forecasting using an artificial neural network. IEEE Trans. Power Syst. 2013, 6, 442–449. [Google Scholar]
- Amjady, N. Short-term hourly load forecasting using time-series modeling with peak load estimation capability. IEEE Trans. Power Syst. 2016, 4, 798–805. [Google Scholar]
- Xu, X.; Zhang, Q.; Mou, Y. Server load prediction algorithm based on CM-MC for cloud systems. J. Syst. Eng. Electron. 2018, 29, 1069–1078. [Google Scholar]
- National Standard of the People’s Republic of China. GBT 24337-2009, Power Harmonics among Public Power Grids; Jointly Issued by General Administration of Quality Supervision, Inspection and Quarantine (GAQSIQ) and Standardization Administration (SAC) of the People’s Republic of China: Beijing, China, 2009.
- Wang, Y.; Wen, W.; Wang, C. Adaptive Voltage Droop Method of Multiterminal VSC-HVDC Systems for DC Voltage Deviation and Power Sharing. IEEE Trans. Power Deliv. 2019, 34, 169–176. [Google Scholar]
- National Standard of the People’s Republic of China. GBT 12326-2008, Voltage Fluctuations and Flickers; Jointly Issued by General Administration of Quality Supervision, Inspection and Quarantine (GAQSIQ) and Standardization Administration (SAC) of the People’s Republic of China: Beijing, China, 2008.
- Cui, Q.; Bai, X.; Dong, W. Collaborative planning of distributed wind power generation and distribution network with large-scale heat pumps. CSEE J. Power Energy Syst. 2019, 5, 335–347. [Google Scholar]
- Barrett, E.; Eustis, C.; Bass, R.B. A Dual-Heat-Pump Residential Heating System for Shaping Electric Utility Load. IEEE Power Energy Technol. Syst. J. 2018, 5, 56–64. [Google Scholar] [CrossRef]
- Zhang, W. Application examples of water heat storage technology for electric boilers. HVAC 2008, 94–97. [Google Scholar]
- Dong, X. Power Flow Analysis Considering Automatic Generation Control for Multi-Area Interconnection Power Networks. IEEE Trans. Ind. Appl. 2017, 53, 5200–5208. [Google Scholar] [CrossRef]
- Christakou, K.; LeBoudec, J.; Paolone, M.; Tomozei, D. Efficient Computation of Sensitivity Coefficients of Node Voltages and Line Currents in Unbalanced Radial Electrical Distribution Networks. IEEE Trans. Smart Grid 2013, 4, 741–750. [Google Scholar] [CrossRef]
- National Standard of the People’s Republic of China. GBT 15543-2008, Power Quality Three-Phase Voltage Unbalance; Jointly Issued by General Administration of Quality Supervision, Inspection and Quarantine (GAQSIQ) and Standardization Administration (SAC) of the People’s Republic of China: Beijing, China, 2008.
- Sato, M.; Fukuyama, Y.; Iizaka, T.; Matsui, T. Total Optimization of Energy Networks in a Smart City by Multi-Swarm Differential Evolutionary Particle Swarm Optimization. IEEE Trans. Sustain. Energy 2019, 10, 2186–2200. [Google Scholar] [CrossRef]
- Duan, H.; Li, P.; Yu, Y. A predator-prey particle swarm optimization approach to multiple UCAV air combat modeled by dynamic game theory. IEEE/CAA J. Autom. Sin. 2015, 2, 11–18. [Google Scholar]
- National Standard of the People’s Republic of China. GBT 29319-2012, Technical Regulations for Access to Distribution Networks of Photovoltaic Power Generation Systems; Jointly Issued by General Administration of Quality Supervision, Inspection and Quarantine (GAQSIQ) and Standardization Administration (SAC) of the People’s Republic of China: Beijing, China, 2012.
- National Standard of the People’s Republic of China. GBT 12325-2008, Power Quality Voltage Deviation; Jointly Issued by General Administration of Quality Supervision, Inspection and Quarantine (GAQSIQ) and Standardization Administration (SAC) of the People’s Republic of China: Beijing, China, 2008.
- Nourizadeh, S.; Karimi, M.J.; Ranjbar, A.M. Power system stability assessment during restoration based on a wide area measurement system. Gener. Trans. Distrib. 2012, 6, 1171–1179. [Google Scholar] [CrossRef]
- Matin, R.K.; Ghahfarokhi, M.I. A two-phase modified slack-based measure approach for efficiency measurement and target setting in data envelopment analysis with negative data. IMA J. Manag. Math. 2015, 26, 83–98. [Google Scholar] [CrossRef]
















| No. | Labels | Description |
|---|---|---|
| 1 | Type of heating | According to the characteristics of load timing sequence, it is divided into residents, education, commerce, and industry. |
| 2 | Seasonal characteristics | According to users sensitivity to different seasons, it can be divided into summer sensitivity, winter sensitivity, summer–winter sensitivity and non-sensitivity. |
| 3 | Temperature sensitivity: | According to the load changing trend of users at different temperatures, it is divided into low temperature sensitivity, high temperature sensitivity, high–low temperature sensitivity and non-sensitivity. |
| 4 | Growth rate of heating | According to the heating growth of users, it can be divided into rising, falling, and flat. |
| 5 | Peak and valley characteristics | According to the users sensitivity to the peak–valley electricity price system, it can be divided into peak–valley equilibrium, valley preference, and peak preference. |
| 6 | Weekly rest characteristics | According to the characteristics of the users week, can be divided into five days, six days, seven days. |
| Season | Temperature Sensitivity | Heating Growth Rate | Peak and Valley Preferences | Weekly Rest Characteristics | |
|---|---|---|---|---|---|
| Residents | Sensitive in summer and winter | Low temperature sensitivity | Rise | Peak-valley equilibrium | Seven-day work |
| Education | Winter sensitive | Low temperature sensitivity | Flat | Valley preference | Seven-day work |
| Business | Winter sensitive | High and low temperature sensitive | Flat | Peak-valley equilibrium | Six-day work |
| Industry | Summer and winter sensitive | High and low temperature sensitive | Rise | Valley preference | Seven-day work |
| Period | Total Load | Wind Power | Photovoltaic Power | Period | Total Load | Wind Power | Photovoltaic Power |
|---|---|---|---|---|---|---|---|
| 1 | 4.8 | 0.42 | 0.00 | 13 | 5.3 | 0.38 | 0.50 |
| 2 | 4.8 | 0.40 | 0.00 | 14 | 5.4 | 0.30 | 0.44 |
| 3 | 4.8 | 0.48 | 0.00 | 15 | 5.4 | 0.34 | 0.45 |
| 4 | 4.8 | 0.49 | 0.00 | 16 | 5.4 | 0.38 | 0.28 |
| 5 | 4.8 | 0.32 | 0.00 | 17 | 5.6 | 0.33 | 0.24 |
| 6 | 4.8 | 0.28 | 0.04 | 18 | 6.2 | 0.33 | 0.02 |
| 7 | 5.3 | 0.20 | 0.21 | 19 | 6.3 | 0.13 | 0.00 |
| 8 | 5.3 | 0.36 | 0.31 | 20 | 6.7 | 0.36 | 0.00 |
| 9 | 5.5 | 0.42 | 0.41 | 21 | 5.8 | 0.45 | 0.00 |
| 10 | 5.6 | 0.38 | 0.35 | 22 | 5.3 | 0.41 | 0.00 |
| 11 | 5.6 | 0.33 | 0.43 | 23 | 5.3 | 0.43 | 0.00 |
| 12 | 5.5 | 0.34 | 0.45 | 24 | 4.8 | 0.40 | 0.00 |
| Node Number | |
|---|---|
| 4 (Resident load) | 0.3 |
| 8 (Business load) | 1.0 |
| 13 (Resident load) | 0.3 |
| 25 (Industrial load) | 1.1 |
| 31 (Education load) | 0.16 |
| Optimal Planning Model of ETSHE | Before Analysis | After Analysis | Effectiveness Enhancement |
|---|---|---|---|
| Calculation time/s | 153.6 | 121.5 | 60% |
| Node Number | |
|---|---|
| 3 (Resident load) | 0.32 |
| 6 (Resident load) | 0.35 |
| 10 (Resident load) | 0.33 |
| 35 (Business load) | 1.2 |
| 38 (Business load) | 1.3 |
| 44 (Industrial load) | 1.5 |
| 47 (Industrial load) | 1.6 |
| 48 (Industrial load) | 2.1 |
| 61 (Resident load) | 0.41 |
| 66 (Resident load) | 0.35 |
| 77 (Resident load) | 0.43 |
| 78 (Business load) | 1.1 |
| 79 (Business load) | 0.9 |
| 91 (Resident load) | 0.45 |
| 92 (Resident load) | 0.32 |
| 93 (Resident load) | 0.5 |
| 114 (Education load) | 0.41 |
| 115 (Education load) | 0.35 |
| 117 (Education load) | 0.28 |
| Optimal Planning Model of ETSHE | Before Analysis | After Analysis | Effectiveness Enhancement |
|---|---|---|---|
| Calculation time/s | 267.3 | 165.9 | 73.7% |
© 2020 by the authors. Licensee MDPI, Basel, Switzerland. This article is an open access article distributed under the terms and conditions of the Creative Commons Attribution (CC BY) license (http://creativecommons.org/licenses/by/4.0/).
Share and Cite
Liu, X.-R.; Zhang, F.-J.; Sun, Q.-Y.; Jin, P. Location and Capacity Selection Method for Electric Thermal Storage Heating Equipment Connected to Distribution Network Considering Load Characteristics and Power Quality Management. Appl. Sci. 2020, 10, 2666. https://doi.org/10.3390/app10082666
Liu X-R, Zhang F-J, Sun Q-Y, Jin P. Location and Capacity Selection Method for Electric Thermal Storage Heating Equipment Connected to Distribution Network Considering Load Characteristics and Power Quality Management. Applied Sciences. 2020; 10(8):2666. https://doi.org/10.3390/app10082666
Chicago/Turabian StyleLiu, Xin-Rui, Fu-Jia Zhang, Qiu-Ye Sun, and Peng Jin. 2020. "Location and Capacity Selection Method for Electric Thermal Storage Heating Equipment Connected to Distribution Network Considering Load Characteristics and Power Quality Management" Applied Sciences 10, no. 8: 2666. https://doi.org/10.3390/app10082666
APA StyleLiu, X.-R., Zhang, F.-J., Sun, Q.-Y., & Jin, P. (2020). Location and Capacity Selection Method for Electric Thermal Storage Heating Equipment Connected to Distribution Network Considering Load Characteristics and Power Quality Management. Applied Sciences, 10(8), 2666. https://doi.org/10.3390/app10082666
