Efficient On-Off Keying Underwater Acoustic Communication for Seafloor Observation Networks
Abstract
1. Introduction
1.1. Underwater Acoustic Communications for SONs
1.2. Noncoherent UACs
- It is difficult determine an appropriate decision threshold for demapping [16], especially over the channel near the seafloor. Due to the severe fading and additive noise, the energy of each received symbol is no longer a deterministic value or zero;
- The conventional regular recursive systematic convolutional (RSC) codes have been widely employed as channel coding schemes in UACs. The signal-to-noise (SNR) threshold required for reliable decoding is generally high, which is unsatisfactory for SON applications.
1.3. Contributions
- An accumulator (ACC) is introduced before a conventional memoryless OOK constellation mapping, leading to an OOK modulation with memory. It enables on the receiver a turbo iteration between the soft ACC-OOK demapper and the soft decoder and reduces the decoding error floor;
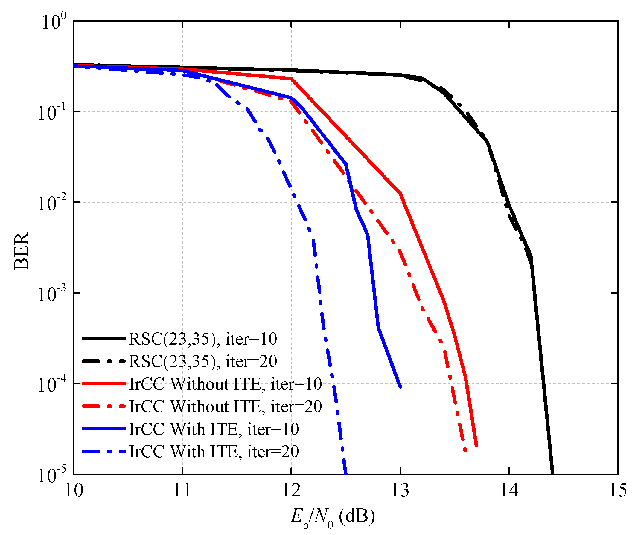
- An iterative threshold estimation (ITE) algorithm is proposed to seek an appropriate decision threshold for soft demapping and thus improve the iterative decoding performance;
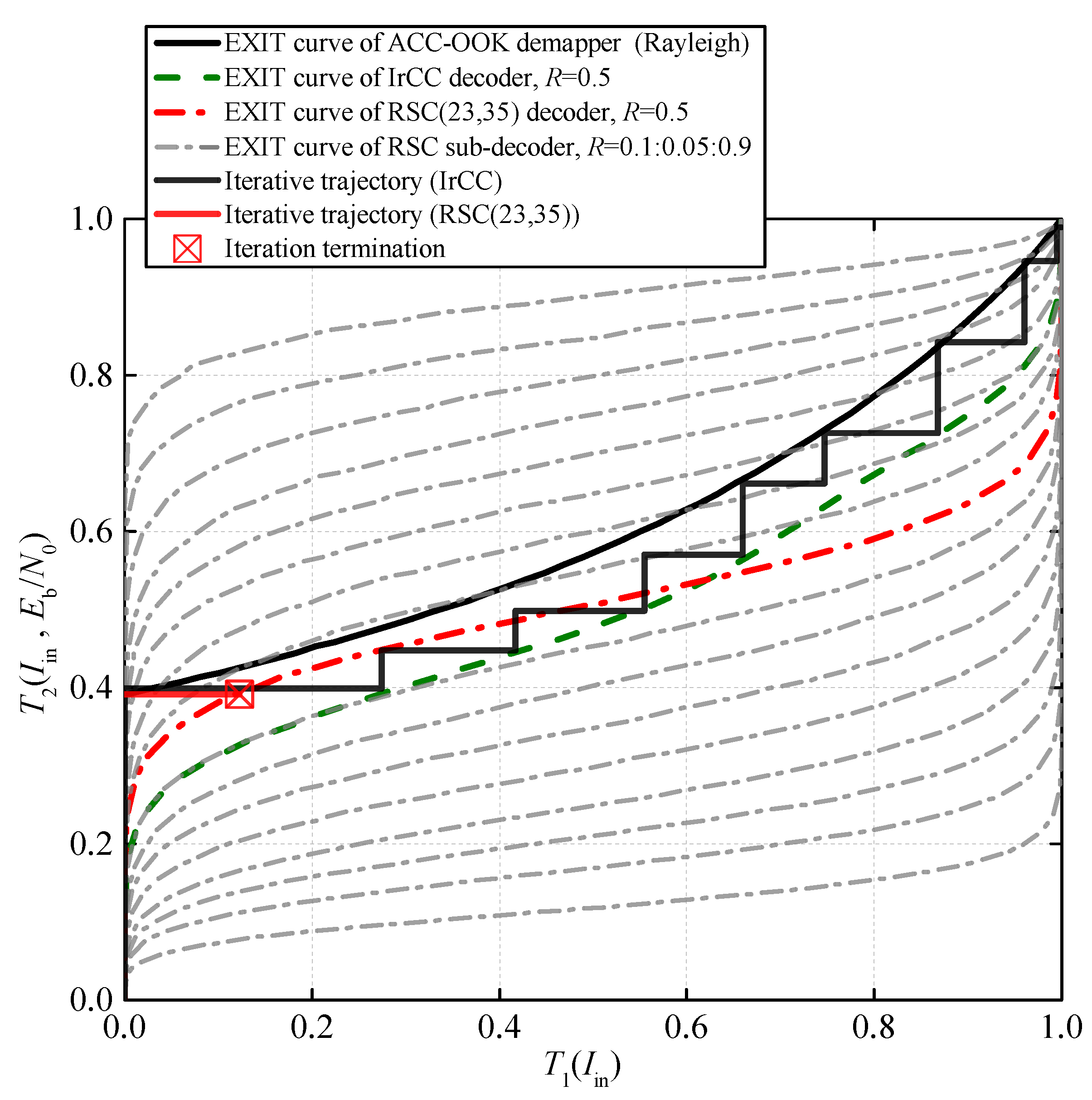
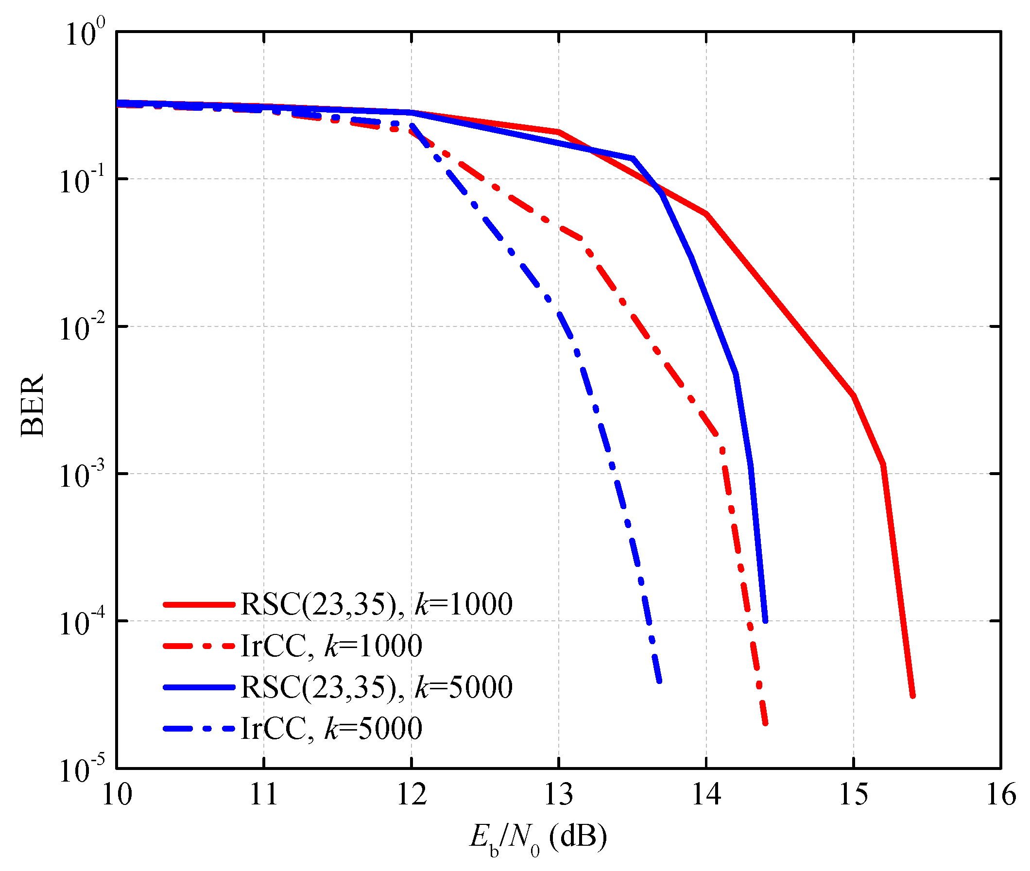
- An irregular recursive convolutional code (IrCC) is designed by matching the extrinsic information transfer (EXIT) curve of the soft ACC-OOK demapper, so as to lower the SNR threshold of the turbo iteration;
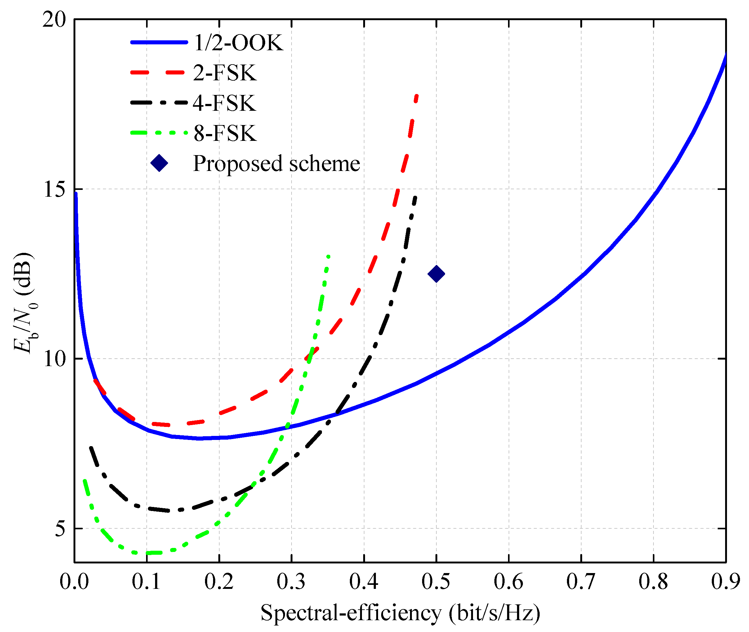
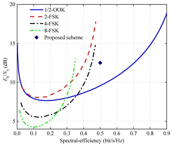
- The proposed noncoherent UAC scheme is verified by both simulations and undersea experiments. It achieves a gain of 1.8 dB compared with a conventional scheme, and is only 3 dB to the channel capacity. In that sea trial at a communication distance of 2500 m, reliable transmission is achieved at a data rate of 1400 bit/s with a frequency band 6–10 kHz, i.e., the spectral efficiency is about 0.35 bit/s/Hz.
1.4. Relation to Existing Works
2. System Model
2.1. System Description
2.2. Channel Model and Capacity
3. Receiver Design Adapted to Channel
3.1. Iterative Threshold Estimation (ITE) Algorithm
| Algorithm 1 Search Algorithm of ITE |
| Input:; ; , are initialized as all 0 vectors of length ; is the l-th element of the vector ; represents the decision operation. Output:
|
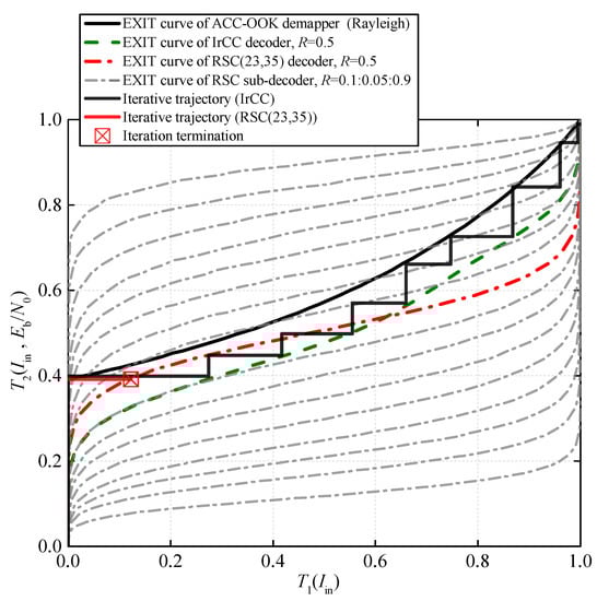
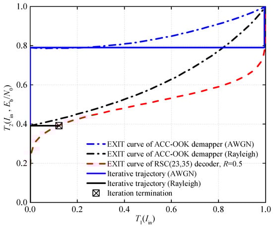
3.2. IrCC Design under Rayleigh Fading Channel
4. Undersea Application and Experimental Results
4.1. Sound Rays Propagation and Placement of Communication Nodes
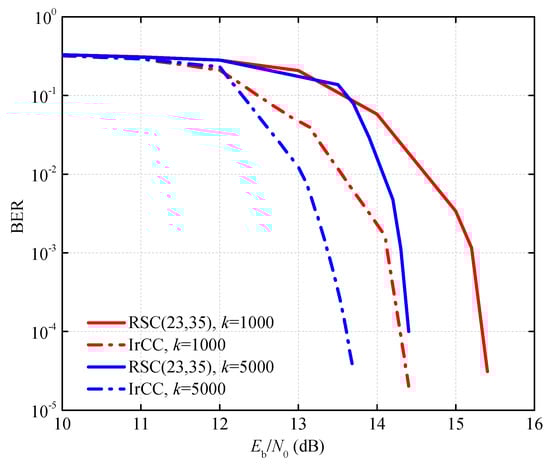
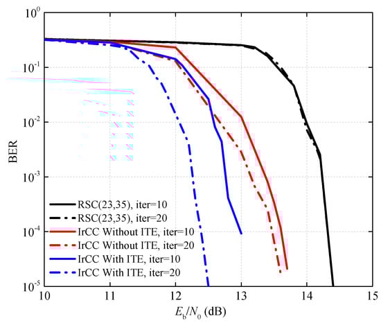
4.2. Experimental Results
5. Conclusions
Author Contributions
Funding
Conflicts of Interest
References
- Butler, R.; Chave, A.D.; Duennebier, F.K.; Yoerger, D.R.; Petitt, R.; Harris, D.; Wooding, F.B.; Bowen, A.D.; Bailey, J.; Jolly, J.; et al. Hawaii-2 observatory pioneers opportunities for remote instrumentation in ocean studies. Eos Trans. Am. Geophys. Union 2000, 81, 157, 162–163. [Google Scholar] [CrossRef]
- Freitag, L.; Stojanovicy, M.; Grund, M.; Singh, S. Acoustic Communications for Regional Undersea Observatories. In Proceedings of the 2002 Oceanology International, London, UK, 5–8 March 2002; pp. 1–10. [Google Scholar]
- Sparnocchia, S.; Beranzoli, L.; Borghini, M.; Durante, S.; Favali, P.; Giovanetti, G.; Italiano, F.; Marinaro, G.; Meccia, V.; Papaleo, R.; et al. Development from the seafloor to the sea surface of the cabled NEMO-SN1 observatory in the Western Ionian Sea. In Proceedings of the European Geosciences Union General Assembly 2015, Vienna, Austria, 12–17 April 2015; pp. 12–17. [Google Scholar]
- Williams, S.; Brant, B.; McLean, S. A comparison of seafloor network topologies. In Proceedings of the OCEANS 2016, Shanghai, China, 10–13 April 2016; pp. 1–4. [Google Scholar]
- Freitag, L.; Ball, K.; Koski, P.; Partan, J.; Singh, S.; Giaya, D. Acoustic Communications for Bottom-to Bottom Ocean Sensor Net- works. In Proceedings of the OCEANS 2018 MTS/IEEE, Charleston, SC, USA, 22–25 October 2018; pp. 1–5. [Google Scholar]
- Send, U.; Regier, L.; Jones, B. Use of Underwater Gliders for Acoustic Data Retrieval from Subsurface Oceanographic Instrumentation and Bidirectional Communication in the Deep Ocean. J. Atmos. Ocean. Technol. 2013, 30, 5. [Google Scholar] [CrossRef]
- Freitag, L.; Ball, K.; Koski, P.; Singh, S.; Gallimore, E. Acoustic communications for deep-ocean observatories: Results of initial testing at the MBARI MARS node. In Proceedings of the OCEANS 2010 IEEE, Sydney, Australia, 20–23 September 2010; pp. 1–6. [Google Scholar]
- Rice, J.; Green, D. Underwater Acoustic Communications and Networks for the US Navy’s Seaweb Program. In Proceedings of the Second International Conference on Sensor Technologies and Applications, Cap Esterel, France, 25–31 August 2008; pp. 715–722. [Google Scholar]
- Gendron, P.J.; Yang, T.C. Environmental and motion effects on orthogonal frequency division multiplexed on-off keying. In High Fre-quency Ocean Acoustics: High Frequency Ocean Acoustics Conference; American Institute of Physics: College Park, MD, USA, 2004; pp. 98–105. [Google Scholar]
- Wu, Y.B.; Zhu, M.; Liang, T.; Wang, W.; Yang, B.; Zhang, L.Y.; Li, X.G.; Liu, Y.Y. Shipborne underwater acoustic communication system and sea trials with submersible Shenhai Yongshi. China Ocean Eng. 2018, 32, 746–754. [Google Scholar] [CrossRef]
- Proakis, J.G.; Sozer, E.M.; Rice, J.A.; Stojanovic, M. Shallow Water Acoustic Networks. IEEE Commun. Mag. 2001, 39, 114–119. [Google Scholar] [CrossRef]
- Kilfoyle, D.B.; Baggeroer, A.B. The State of the Art In Underwater Acoustic Telemetry. IEEE J. Ocean. Eng. 2000, 25, 4–27. [Google Scholar] [CrossRef]
- Gallimore, E.; Partan, J.; Vaughn, I.; Singh, S.; Shusta, J.; Freitag, L. The WHOI Micromodem-2: A Scalable System for Acoustic Communications and Networking. In Proceedings of the OCEANS 2010, Seattle, WA, USA, 20–23 September 2010; pp. 1–7. [Google Scholar]
- Otis, B.; Rabaey, J. Ultra-Low Power Wireless Technologies for Sensor Networks; Springer: Berlin, Germany, 2007. [Google Scholar]
- Vidojkovic, M.; Huang, X.; Harpe, P.; Rampu, S.; Zhou, C.; Huang, L.; van de Molengraft, J.; Imamura, K.; Busze, B.; Bouwens, F.; et al. A 2.4 GHz ULP OOK single-chip transceiver for healthcare applications. IEEE Trans. Biomed. Circuits Syst. 2011, 5, 523–534. [Google Scholar] [CrossRef] [PubMed]
- Zhang, P.; Willems, F.M.J.; Huang, L. Capacity investigation of on-off keying in noncoherent channel settings at low SNR. Trans. Emerg. Telecommun. Technol. 2015, 26, 1235–1250. [Google Scholar] [CrossRef]
- Yao, Y.; Wu, Y.; Zhu, M.; Li, D.; Tao, J. High Spectral-Efficiency Noncoherent Underwater Acoustic Communication for Seafloor Observation Network. In Proceedings of the OCEANS 2019, Marseille, France, 17–20 June 2019; pp. 1–6. [Google Scholar]
- Tüchler, M. Design of serially concatenated systems depending on the block length. IEEE Trans. Commun. 2004, 52, 209–218. [Google Scholar] [CrossRef]
- Li, D.; Wu, Y.B.; Tao, J.; Zhu, M. Performance Analysis and Improvement for VAMP Soft Frequency-Domain Equalizers. IEEE Access 2019, 7, 42495–42506. [Google Scholar] [CrossRef]
- Simon, M.K.; Annavajjala, R. On the optimality of bit detection of certain digital modulations. IEEE Trans. Commun. 2005, 53, 299–307. [Google Scholar] [CrossRef]
- Wu, Y.B.; Zhu, M. On approaching noncoherent channel capacity using nonbinary IRA code and multi-tone FSK. In Proceedings of the OCEANS 2017, Anchorage, AK, USA, 18–21 September 2017; pp. 1–6. [Google Scholar]
- Proakis, J.G.; Salehi, M. Digital Communications, 5th ed.; McGraw-Hill Higher Education: New York, NY, USA, 2008. [Google Scholar]
- Clark, G.C., Jr.; Cain, J.B. Error-Correction Coding for Digital Communications; Springer Science & Business Media: Berlin, Germany, 2013. [Google Scholar]
- Behgam, M.; Zheng, Y.R.; Liu, Z.Q. Coding for Short Messages in Multipath Underwater Acoustic Communication Channels. In Proceedings of the OCEANS 2018 MTS/IEEE, Charleston, SC, USA, 22–25 October 2018; pp. 1–5. [Google Scholar]
- El-Hajjar, M.; Hanzo, L. EXIT charts for system design and Analysis. IEEE Commun. Surv. Tutor. 2014, 16, 127–153. [Google Scholar] [CrossRef]












| Application | Modulation | Distance | Bandwidth | Bit Rate | Number of Received Hydrophones |
|---|---|---|---|---|---|
| WHOI Experiment (2010) [2] | QPSK | 2 km | 22–27 kHz | 5300 bit/s | 4 |
| WHOI Experiment (2018) [5] | QPSK | 30 km | 3–4 kHz | 350 bit/s | 4 |
| The DART system (2013) [6] | MFSK | ⩽7 km | 9–14 kHz | 600 bit/s | 1 |
| Battery Types | Battery Capacity (kWh) | Working Mode | Power Consumption (W) |
|---|---|---|---|
| 3.3 V battery | 0.2 | Power control and acoustic | 0.01 |
| wake-up detection | |||
| 48 V battery | 2.3 | Transmitting mode | 80 |
| Receive processing mode | 2 |
© 2020 by the authors. Licensee MDPI, Basel, Switzerland. This article is an open access article distributed under the terms and conditions of the Creative Commons Attribution (CC BY) license (http://creativecommons.org/licenses/by/4.0/).
Share and Cite
Yao, Y.; Wu, Y.; Zhu, M.; Li, D.; Tao, J. Efficient On-Off Keying Underwater Acoustic Communication for Seafloor Observation Networks. Appl. Sci. 2020, 10, 1986. https://doi.org/10.3390/app10061986
Yao Y, Wu Y, Zhu M, Li D, Tao J. Efficient On-Off Keying Underwater Acoustic Communication for Seafloor Observation Networks. Applied Sciences. 2020; 10(6):1986. https://doi.org/10.3390/app10061986
Chicago/Turabian StyleYao, Yan, Yanbo Wu, Min Zhu, Dong Li, and Jun Tao. 2020. "Efficient On-Off Keying Underwater Acoustic Communication for Seafloor Observation Networks" Applied Sciences 10, no. 6: 1986. https://doi.org/10.3390/app10061986
APA StyleYao, Y., Wu, Y., Zhu, M., Li, D., & Tao, J. (2020). Efficient On-Off Keying Underwater Acoustic Communication for Seafloor Observation Networks. Applied Sciences, 10(6), 1986. https://doi.org/10.3390/app10061986

