Age-Related Differences in Muscle Synergy Organization during Step Ascent at Different Heights and Directions
Abstract
1. Introduction
2. Materials and Methods
2.1. Participants
2.2. Experimental Protocol
2.3. Kinematics
2.4. Electromyography
2.5. Synergy Extraction and Data Analyses
2.6. Statistical Analyses
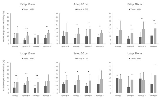
3. Results
4. Discussion
5. Conclusions
Author Contributions
Funding
Acknowledgments
Conflicts of Interest
References
- Erim, Z.; Beg, M.F.; Burke, D.T.; de Luca, C.J. Effects of aging on motor-unit control properties. J. Neurophysiol. 1999, 82, 2081–2091. [Google Scholar] [CrossRef]
- Vernooij, C.A.; Rao, G.; Berton, E.; Retornaz, F.; Temprado, J.J. The effect of aging on muscular dynamics underlying movement patterns changes. Front. Aging Neurosci. 2016, 8, 1–12. [Google Scholar] [CrossRef]
- Pijnappels, M.; van der Burg, P.J.C.E.; Reeves, N.D.; van Dieën, J.H. Identification of elderly fallers by muscle strength measures. Eur. J. Appl. Physiol. 2008, 102, 585–592. [Google Scholar] [CrossRef]
- Hakkinen, K.; Kraemer, W.J.; Kallinen, M.; Linnamo, V.; Pastinen, U.-M.; Newton, R.U. Bilateral and unilateral neuromuscular function and muscle cross-sectional area in middle-aged and elderly men and women. J. Gerontol. Ser. A Biol. Sci. Med. Sci. 1996, 51, 21–29. [Google Scholar] [CrossRef]
- Montero, N.; Serra, J.A. Role of sarcopenia in elderly. Eur. J. Phys. Rehabil. Med. 2013, 49, 131–143. [Google Scholar]
- Allen, J.L.; Franz, J.R. The motor repertoire of older adult fallers may constrain their response to balance perturbations. J. Neurophysiol. 2018, 120, 2368–2378. [Google Scholar] [CrossRef] [PubMed]
- Routson, R.L.; Kautz, S.A.; Neptune, R.R. Modular organization across changing task demands in healthy and poststroke gait. Physiol. Rep. 2014, 2, 1–14. [Google Scholar] [CrossRef] [PubMed]
- Monaco, V.; Ghionzoli, A.; Micera, S. Age-Related modifications of muscle synergies and spinal cord activity during locomotion. J. Neurophysiol. 2010, 104, 2092–2102. [Google Scholar] [CrossRef] [PubMed]
- Artoni, F.; Monaco, V.; Micera, S. Selecting the best number of synergies in gait: Preliminary results on young and elderly people. IEEE Int. Conf. Rehabil. Robot. 2013, 1–4. [Google Scholar] [CrossRef]
- Baggen, R.J.; Van Roie, E.; van Dieën, J.H.; Verschueren, S.M.; Delecluse, C. Weight bearing exercise can elicit similar peak muscle activation as medium–high intensity resistance exercise in elderly women. Eur. J. Appl. Physiol. 2018, 118, 531–541. [Google Scholar] [CrossRef]
- Baggen, R.J.; Van Roie, E.; Verschueren, S.M.; Van Driessche, S.; Coudyzer, W.; van Dieën, J.H.; Delecluse, C. Bench stepping with incremental heights improves muscle volume, strength and functional performance in older women. Exp. Gerontol. 2019, 120, 6–14. [Google Scholar] [CrossRef] [PubMed]
- Reeves, N.D.; Spanjaard, M.; Mohagheghi, A.A.; Baltzopoulos, V.; Maganaris, C.N. Older adults employ alternative strategies to operate within their maximum capabilities when ascending stairs. J. Electromyogr. Kinesiol. 2009, 19, e57–e68. [Google Scholar] [CrossRef] [PubMed]
- Hortobágyi, T.; Mizelle, C.; Beam, S.; DeVita, P. Old adults perform activities of daily living near their maximal capabilities. J. Gerontol. A Biol. Sci. Med. Sci. 2003, 58, M453–M460. [Google Scholar] [CrossRef]
- Di Nardo, F.; Mengarelli, A.; Maranesi, E.; Burattini, L.; Fioretti, S. Assessment of the ankle muscle co-contraction during normal gait: A surface electromyography study. J. Electromyogr. Kinesiol. 2015, 25, 347–354. [Google Scholar] [CrossRef] [PubMed]
- Mair, J.L.; Laudani, L.; Vannozzi, G.; De Vito, G.; Boreham, C.; Macaluso, A. Neuromechanics of repeated stepping with external loading in young and older women. Eur. J. Appl. Physiol. 2014, 114, 983–994. [Google Scholar] [CrossRef] [PubMed]
- Hortobágyi, T.; Solnik, S.; Gruber, A.; Rider, P.; Steinweg, K.; Helseth, J.; DeVita, P. Interaction between age and gait velocity in the amplitude and timing of antagonist muscle coactivation. Gait Posture 2009, 29, 558–564. [Google Scholar] [CrossRef] [PubMed]
- Wang, Y.; Watanabe, K.; Asaka, T. Aging effect on muscle synergies in stepping forth during a forward perturbation. Eur. J. Appl. Physiol. 2017, 117, 201–211. [Google Scholar] [CrossRef]
- Oliveira, A.S.; Silva, P.B.; Lund, M.E.; Gizzi, L.; Farina, D.; Kersting, U.G. Effects of perturbations to balance on neuromechanics of fast changes in direction during locomotion. PLoS ONE 2013, 8, e59029. [Google Scholar] [CrossRef]
- Torres-Oviedo, G.; Macpherson, J.M.; Ting, L.H. Muscle synergy organization is robust across a variety of postural perturbations. J. Neurophysiol. 2006, 96, 1530–1546. [Google Scholar] [CrossRef]
- Torres-Oviedo, G.; Ting, L.H. Subject-Specific muscle synergies in human balance control are consistent across different biomechanical contexts. J. Neurophysiol. 2010, 103, 3084–3098. [Google Scholar] [CrossRef]
- Cheung, V.C.K.; D’Avella, A.; Tresch, M.C.; Bizzi, E. Central and sensory contributions to the activation and organization of muscle synergies during natural motor behaviors. J. Neurosci. 2005, 25, 6419–6434. [Google Scholar] [CrossRef] [PubMed]
- Ivanenko, Y.P.; Cappellini, G.; Dominici, N.; Poppele, R.E.; Lacquaniti, F. Coordination of locomotion with voluntary movements in humans. J. Neurosci. 2005, 25, 7238–7253. [Google Scholar] [CrossRef] [PubMed]
- De Groote, F.; Jonkers, I.; Duysens, J. Task constraints and minimization of muscle effort result in a small number of muscle synergies during gait. Front. Comput. Neurosci. 2014, 8, 1–11. [Google Scholar] [CrossRef] [PubMed]
- Saito, A.; Tomita, A.; Ando, R.; Watanabe, K.; Akima, H. Similarity of muscle synergies extracted from the lower limb including the deep muscles between level and uphill treadmill walking. Gait Posture 2018, 59, 134–139. [Google Scholar] [CrossRef] [PubMed]
- MacLellan, M.J. Modular organization of muscle activity patterns in the leading and trailing limbs during obstacle clearance in healthy adults. Exp. Brain Res. 2017, 235, 2011–2026. [Google Scholar] [CrossRef] [PubMed]
- Hart, C.B.; Giszter, S.F. A neural basis for motor primitives in the spinal cord. J. Neurosci. 2010, 30, 1322–1326. [Google Scholar] [CrossRef] [PubMed]
- Safavynia, S.A.; Torres-Oviedo, G.; Ting, L.H. Muscle synergies: Implications for clinical evaluation and rehabilitation of movement. Top. Spinal Cord Inj. Rehabil. 2011, 17, 16–24. [Google Scholar] [CrossRef]
- Torres-Oviedo, G. Muscle synergies characterizing human postural responses. J. Neurophysiol. 2007, 2144–2156. [Google Scholar] [CrossRef]
- Steele, K.M.; Rozumalski, A.; Schwartz, M.H. Muscle synergies and complexity of neuromuscular control during gait in cerebral palsy. Dev. Med. Child Neurol. 2015, 57, 1176–1182. [Google Scholar] [CrossRef]
- Torricelli, D.; Barroso, F.; Coscia, M.; Alessandro, C.; Lunardini, F.; Esteban, E.B.; d’Avella, A. Muscle synergies in clinical practice: Theoretical and practical implications. Emerg. Ther. Neurorehabil. II 2016, 10, 251–272. [Google Scholar] [CrossRef]
- Goudriaan, M.; Shuman, B.R.; Steele, K.M.; Van den Hauwe, M.; Goemans, N.; Molenaers, G.; Desloovere, K. Non-Neural muscle weakness has limited influence on complexity of motor control during gait. Front. Hum. Neurosci. 2018, 12, 1–11. [Google Scholar] [CrossRef] [PubMed]
- Yu, Y.; Chen, X.; Cao, S.; Wu, D.; Zhang, X.; Chen, X. Gait synergetic neuromuscular control in children with cerebral palsy at different gross motor function classification system levels. J. Neurophysiol. 2019, 121, 1680–1691. [Google Scholar] [CrossRef] [PubMed]
- Singh, T.; Latash, M.L. Effects of muscle fatigue on multi-muscle synergies. Exp. Brain Res. 2011, 214, 335–350. [Google Scholar] [CrossRef] [PubMed]
- Wang, M.-Y.; Flanagan, S.; Song, J.-E.; Greendale, G.A.; Salem, G.J. Lower-Extremity biomechanics during forward and lateral stepping activities in older adults. Clin. Biomech. 2003, 18, 214–221. [Google Scholar] [CrossRef]
- Startzell, J.K.; Owens, D.A.; Mulfinger, L.M.; Cavanagh, P.R. Stair negotiation in older people: A review. J. Am. Geriatr. Soc. 2000, 48, 567–580. [Google Scholar] [CrossRef] [PubMed]
- Arvin, M.; Van Dieën, J.H.; Faber, G.S.; Pijnappels, M.; Hoozemans, M.J.M.; Verschueren, S.M.P. Hip abductor neuromuscular capacity: A limiting factor in mediolateral balance control in older adults? Clin. Biomech. 2016, 37, 27–33. [Google Scholar] [CrossRef]
- Hermens, H.J.; Freriks, B.; Disselhorst-Klug, C.; Rau, G. Development of recommendations for SEMG sensors and sensor placement procedures. J. Electromyogr. Kinesiol. 2000, 10, 361–374. [Google Scholar] [CrossRef]
- De Luca, C.J.; Donald Gilmore, L.; Kuznetsov, M.; Roy, S.H. Filtering the surface EMG signal: Movement artifact and baseline noise contamination. J. Biomech. 2010, 43, 1573–1579. [Google Scholar] [CrossRef]
- Banks, C.L.; Pai, M.M.; McGuirk, T.E.; Fregly, B.J.; Patten, C. Methodological choices in muscle synergy analysis impact differentiation of physiological characteristics following stroke. Front. Comput. Neurosci. 2017, 11, 1–12. [Google Scholar] [CrossRef]
- Oliveira, A.S.; Gizzi, L.; Farina, D.; Kersting, U.G. Motor modules of human locomotion: Influence of EMG averaging, concatenation, and number of step cycles. Front. Hum. Neurosci. 2014, 8, 1–9. [Google Scholar] [CrossRef]
- Ting, L.H.; Chvatal, S.A. Decomposing muscle activity in motor tasks: Methods and interpretation. Mot. Control Theor. Exp. Appl. 2011, 102–138. [Google Scholar] [CrossRef]
- Chvatal, S.A.; Ting, L.H. Voluntary and reactive recruitment of locomotor muscle synergies during perturbed walking. J. Neurosci. 2012, 32, 12237–12250. [Google Scholar] [CrossRef] [PubMed]
- Essers, J.M.N.; Peters, A.; Meijer, K.; Peters, K.; Murgia, A. Superficial shoulder muscle synergy analysis in facioscapulohumeral dystrophy during humeral elevation tasks. IEEE Trans. Neural Syst. Rehabil. Eng. 2019, 99, 1–10. [Google Scholar] [CrossRef] [PubMed]
- Nazifi, M.M.; Yoon, H.U.; Beschorner, K.; Hur, P. Shared and task-specific muscle synergies during normal walking and slipping. Front. Hum. Neurosci. 2017, 11, 1–14. [Google Scholar] [CrossRef] [PubMed]
- Ting, L.H.; Chiel, H.J.; Trumbower, R.D.; Allen, J.L.; McKay, J.L.; Hackney, M.E.; Kesar, T.M. Neuromechanical principles underlying movement modularity and their implications for rehabilitation. Neuron 2015, 86, 38–54. [Google Scholar] [CrossRef]
- Bice, M.R.; Hanson, N.; Eldridge, J.; Reneau, P.; Powell, D.W. Neuromuscular adaptations in elderly adults are task-specific during stepping and obstacle clearance tasks. Int. J. Exerc. Sci. 2011, 4, 77–85. [Google Scholar]
- Hortobágyi, T.; Devita, P. Muscle pre-and coactivity during downward stepping are associated with leg stiffness in aging. J. Electromyogr. Kinesiol. 2000, 10, 117–126. [Google Scholar] [CrossRef]
- Macaluso, A.; Nimmo, M.A.; Foster, J.E.; Cockburn, M.; McMillan, N.C.; De Vito, G. Contractile muscle volume and agonist-antagonist coactivation account for differences in torque between young and older women. Muscle Nerve 2002, 25, 858–863. [Google Scholar] [CrossRef]
- Larsen, A.H.; Puggaard, L.; Hämäläinen, U.; Aagaard, P. Comparison of ground reaction forces and antagonist muscle coactivation during stair walking with ageing. J. Electromyogr. Kinesiol. 2008, 18, 568–580. [Google Scholar] [CrossRef]
- McFadyen, B.; Winter, D. An integrated biomechanical analysis of normal stair ascent and descent. J. Biomech. 1988, 21, 733–744. [Google Scholar] [CrossRef]
- Cook, T.M.; Zimmermann, C.L.; Lux, K.M.; Neubrand, C.M.; Nicholson, T.D. EMG comparison of lateral step-up and stepping machine exercise. J. Orthop. Sport. Phys. Ther. 1992, 16, 108–113. [Google Scholar] [CrossRef] [PubMed]





| Young Women | Older Women | Young vs. Older Women | |||||||
|---|---|---|---|---|---|---|---|---|---|
| 10 cm vs. 20 cm | 20 cm vs. 30 cm | 10 cm vs. 30 cm | 10 cm vs. 20 cm | 20 cm vs. 30 cm | 10 cm vs. 30 cm | 10 cm | 20 cm | 30 cm | |
| Fstep Correlation coefficients (r) | |||||||||
| Synergy 1 | 0.64 | 0.56 | 0.87 | 0.84 | 0.76 | 0.88 | 0.61 | 0.02 | 0.69 |
| Synergy 2 | 0.95 | 0.96 | 0.87 | 0.88 | 0.84 | 0.83 | 0.59 | 0.76 | 0.73 |
| Synergy 3 | 0.44 | 0.70 | 0.89 | 0.74 | 0.43 | 0.85 | 0.88 | 0.71 | 0.85 |
| Synergy 4 | 0.96 | 0.95 | 0.89 | 0.91 | 0.78 | 0.86 | 0.89 | 0.85 | 0.74 |
| Lstep Correlation coefficients (r) | |||||||||
| Synergy 1 | 0.94 | 0.48 | 0.38 | 0.56 | 0.95 | 0.54 | 0.48 | 0.67 | 0.03 |
| Synergy 2 | 0.61 | 0.90 | 0.40 | 0.83 | 0.91 | 0.95 | 0.19 | 0.51 | 0.79 |
| Synergy 3 | 0.90 | 0.43 | 0.15 | 0.88 | 0.94 | 0.71 | 0.90 | 0.82 | 0.29 |
| Synergy 4 | 0.70 | 0.66 | 0.95 | 0.76 | 0.64 | 0.80 | 0.90 | 0.75 | 0.76 |
© 2020 by the authors. Licensee MDPI, Basel, Switzerland. This article is an open access article distributed under the terms and conditions of the Creative Commons Attribution (CC BY) license (http://creativecommons.org/licenses/by/4.0/).
Share and Cite
Baggen, R.J.; van Dieën, J.H.; Van Roie, E.; Verschueren, S.M.; Giarmatzis, G.; Delecluse, C.; Dominici, N. Age-Related Differences in Muscle Synergy Organization during Step Ascent at Different Heights and Directions. Appl. Sci. 2020, 10, 1987. https://doi.org/10.3390/app10061987
Baggen RJ, van Dieën JH, Van Roie E, Verschueren SM, Giarmatzis G, Delecluse C, Dominici N. Age-Related Differences in Muscle Synergy Organization during Step Ascent at Different Heights and Directions. Applied Sciences. 2020; 10(6):1987. https://doi.org/10.3390/app10061987
Chicago/Turabian StyleBaggen, Remco J., Jaap H. van Dieën, Evelien Van Roie, Sabine M. Verschueren, Georgios Giarmatzis, Christophe Delecluse, and Nadia Dominici. 2020. "Age-Related Differences in Muscle Synergy Organization during Step Ascent at Different Heights and Directions" Applied Sciences 10, no. 6: 1987. https://doi.org/10.3390/app10061987
APA StyleBaggen, R. J., van Dieën, J. H., Van Roie, E., Verschueren, S. M., Giarmatzis, G., Delecluse, C., & Dominici, N. (2020). Age-Related Differences in Muscle Synergy Organization during Step Ascent at Different Heights and Directions. Applied Sciences, 10(6), 1987. https://doi.org/10.3390/app10061987

