Probabilistic Seismic Hazard Assessment for United Arab Emirates, Qatar and Bahrain
Abstract
1. Introduction
2. Review of Previous Assessments and Building Regulations
3. The Earthquake Catalog
4. The Considered Seismic Source Models
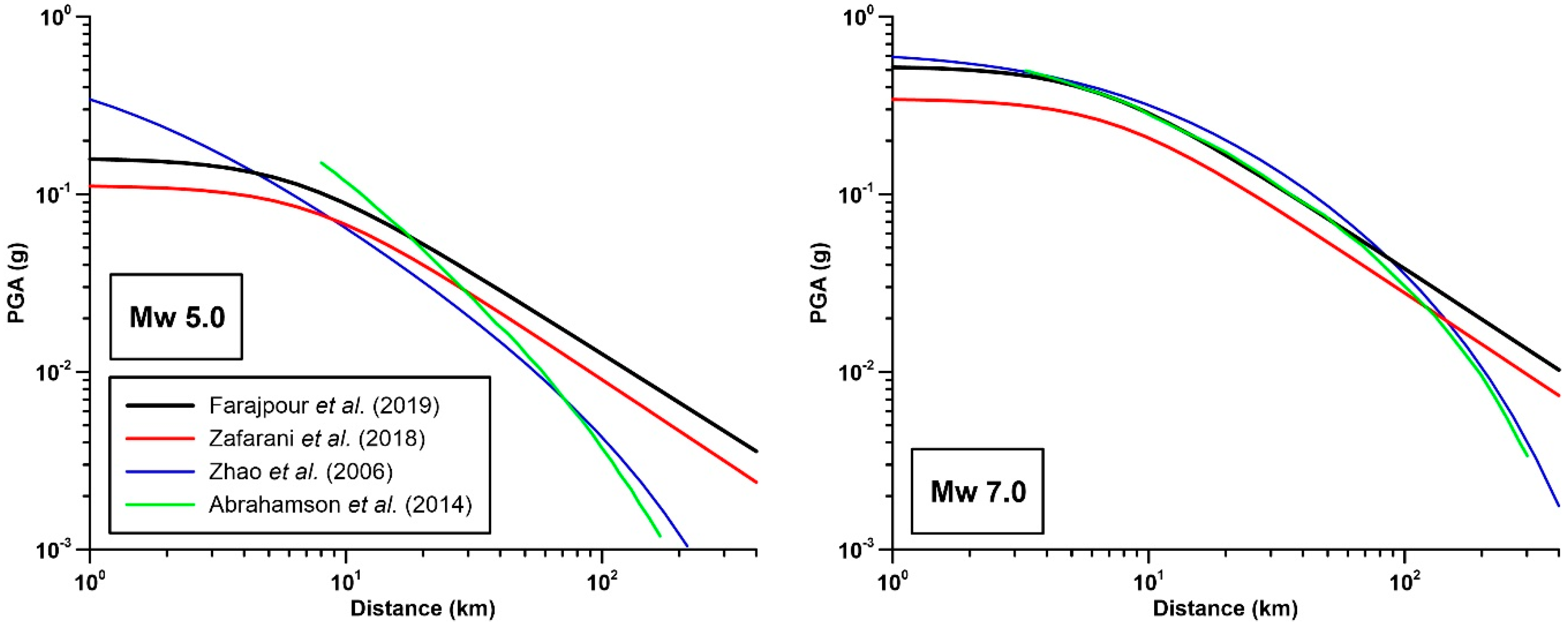
5. Selected Ground-Motion Attenuation Models
6. Logic Tree Framework and Seismic Hazard Computations
7. Results and Discussion
8. Summary and Conclusions
Author Contributions
Funding
Acknowledgments
Conflicts of Interest
References
- Johnson, P. Tectonic Map of Saudi Arabia and Adjacent Areas; Technical Report USGS-TR-98-3 (IR 948); United States Geological Survey: Reston, VA, USA, 1998.
- Sawires, R.; Peláez, J.A.; AlHamaydeh, M.; Henares, J. A state-of-the-art seismic source model for the United Arab Emirates. J. Asian Earth Sci. 2019, 186, 104063. [Google Scholar] [CrossRef]
- Jackson, J.; McKenzie, D. Active tectonics of the Alpine-Himalayan Belt between western Turkey and Pakistan. Geophys. J. R. Astron. Soc. 1984, 77, 185–264. [Google Scholar] [CrossRef]
- Bayer, R.; Chery, J.; Tatar, M.; Vernant, P.; Abbassi, M.; Masson, F.; Nilforoushan, F.; Doerflinger, E.; Regard, V.; Bellier, O. Active deformation in Zagros-Makran transition zone inferred from GPS measurements. Geophys. J. Int. 2006, 165, 373–381. [Google Scholar] [CrossRef]
- Fournier, M.; Chamot-Rooke, N.; Petit, C.; Fabbri, O.; Huchon, P.; Maillot, B.; Lepvrier, C. In situ evidence for dextral active motion at the Arabia-India plate boundary. Nat. Geosci. 2008, 1, 94–98. [Google Scholar] [CrossRef]
- Sawires, R.; Peláez, J.A.; AlHamaydeh, M.; Henares, J. Up-to-date earthquake and focal mechanism solutions datasets for the assessment of seismic hazard in the vicinity of the United Arab Emirates. Data Br. 2020, 28. [Google Scholar] [CrossRef]
- Department of Municipal Affairs. The Code Handbook: Abu Dhabi International Building Code; Department of Municipal Affairs: Adu Dhabi, UAE, 2011. [Google Scholar]
- Qatar General Organization for Standards and Meterology. Qatar National Construction Standards; QGOSM: Doha, Qatar, 2014. [Google Scholar]
- Qatar General Organization for Standards and Meterology. Qatar National Construction Standards; QGOSM: Doha, Qatar, 2010. [Google Scholar]
- Al-Haddad, M.; Siddiqi, G.H.; Al-Zaid, R.; Arafah, A.; Necioglu, A.; Turkelli, N. A Basis for Evaluation of Seismic Hazard and Design Criteria for Saudi Arabia. Earthq. Spectra 1994, 10, 231–258. [Google Scholar] [CrossRef]
- Grünthal, G.; Bosse, C.; Sellami, S.; Mayer-Rosa, D.; Giardini, D. Compilation of the GSHAP regional seismic hazard for Europe, Africa and the Middle East. Ann. Geofis. 1999, 42, 1215–1223. [Google Scholar] [CrossRef]
- Abdalla, J.A.; Al-Homoud, A. Earthquake Hazard Zonation of Eastern Arabia. In Proceedings of the 13th World Conference on Earthquake Engineering, Vancouver, BC, Canada, 1–6 August 2004; p. 9. [Google Scholar]
- Sigbjornsson, R.; Elnashai, A.S. Hazard assessment of Dubai, United Arab Emirates, for close and distant earthquakes. J. Earthq. Eng. 2006, 10, 749–773. [Google Scholar] [CrossRef]
- Peiris, N.; Free, M.; Lubkowski, Z.; Hussein, A.T. Seismic hazard and seismic design requirements for the Arabian Gulf region. In Proceedings of the First European Conference on Earthquake Engineering and Seismology, Geneva, Switzerland, 3–8 September 2006; 10p. [Google Scholar]
- Musson, R.; Northmore, K.; Sargeant, S.; Phillips, E.; Boon, D.; Long, D.; McCue, K.; Ambraseys, N.N. The Geology and Geophysics of the United Arab Emirates; Ministry of Energy: Abu Dhabi, UAE, 2006.
- Malkawi, A.I.H.; Barakat, S.A.; Shanableh, A.; Al Bdour, W.M.; Omar, M.; Altoubat, S. Seismic Hazard Assessment and Mitigation of Earthquake Risk in United Arab Emirates; Jordan University of Science and Technology: Ar-Ramtha, Jordan; University of Sharjah: Sharjah, UAE, 2007. [Google Scholar]
- Aldama-Bustos, G.; Bommer, J.J.; Fenton, C.H.; Stafford, P.J. Probabilistic seismic hazard analysis for rock sites in the cities of Abu Dhabi, Dubai and Ra’s Al Khaymah, United Arab Emirates. Georisk 2009, 3, 1–29. [Google Scholar] [CrossRef]
- Shama, A.A. Site specific probabilistic seismic hazard analysis at Dubai Creek on the west coast of UAE. Earthq. Eng. Eng. Vib. 2011, 10, 143–152. [Google Scholar] [CrossRef]
- El-Hussain, I.; Deif, A.; Al-Jabri, K.; Toksoz, N.; El-Hady, S.; Al-Hashmi, S.; Al-Toubi, K.; Al-Shijbi, Y.; Al-Saifi, M.; Kuleli, S. Probabilistic seismic hazard maps for the sultanate of Oman. Nat. Hazards 2012, 64, 173–210. [Google Scholar] [CrossRef]
- Khan, Z.; El-Emam, M.; Irfan, M.; Abdalla, J. Probabilistic seismic hazard analysis and spectral accelerations for United Arab Emirates. Nat. Hazards 2013, 67, 569–589. [Google Scholar] [CrossRef]
- Al-Shijbi, Y.; El-Hussain, I.; Deif, A.; Al-Kalbani, A.; Mohamed, A.M.E. Probabilistic Seismic Hazard Assessment for the Arabian Peninsula. Pure Appl. Geophys. 2018, 176, 1503–1530. [Google Scholar] [CrossRef]
- Ambraseys, N.N.; Simpson, K.A.; Bommer, J.J. Prediction of horizontal response spectra in Europe. Earthq. Eng. Struct. Dyn. 1996, 25, 371–400. [Google Scholar] [CrossRef]
- Ambraseys, N.N.; Douglas, J.; Sarma, S.K.; Smit, P.M. Equations for the estimation of strong ground motions from shallow crustal earthquakes using data from Europe and the middle east: Horizontal peak ground acceleration and spectral acceleration. Bull. Earthq. Eng. 2005, 3, 1–53. [Google Scholar] [CrossRef]
- Abrahamson, N.A.; Silva, W.J. Empirical response spectral attenuation relations for shallow crustal earthquakes. Seismol. Res. Lett. 1997, 68, 94–109. [Google Scholar] [CrossRef]
- Campbell, K.W.; Bozorgnia, Y. Updated near-source ground-motion (attenuation) relations for the horizontal and vertical components of peak ground acceleration and acceleration response spectra. Bull. Seismol. Soc. Am. 2003, 93, 314–331. [Google Scholar] [CrossRef]
- Akkar, S.; Bommer, J.J. Empirical equations for the prediction of PGA, PGV, and spectral accelerations in Europe, the mediterranean region, and the Middle East. Seismol. Res. Lett. 2010, 81, 195–206. [Google Scholar] [CrossRef]
- Akkar, S.; Bommer, J.J. Empirical prediction equations for peak ground velocity derived from strong-motion records from Europe and the Middle East. Bull. Seismol. Soc. Am. 2007, 97, 511–530. [Google Scholar] [CrossRef]
- Boore, D.M.; Atkinson, G.M. Ground-Motion Prediction Equations for the Average Horizontal Component of PGA, PGV, and 5%-Damped PSA at Spectral Periods between 0.01 s and 10.0 s. Earthq. Spectra 2008, 24, 99–138. [Google Scholar] [CrossRef]
- Chiou, B.S.J.; Youngs, R.R. An NGA Model for the Average Horizontal Component of Peak Ground Motion and Response Spectra. Earthq. Spectra 2008, 24, 173–215. [Google Scholar] [CrossRef]
- Youngs, R.R.; Chiou, S.-J.; Silva, W.J.; Humphrey, J.R. Strong Ground Motion Attenuation Relationships for Subduction Zone Earthquakes. Seismol. Res. Lett. 1997, 68, 58–73. [Google Scholar] [CrossRef]
- Atkinson, G.M.; Boore, D.M. Empirical Ground-Motion Relations for Subduction-Zone Earthquakes and Their Application to Cascadia and Other Regions. Bull. Seismol. Soc. Am. 2003, 93, 1703–1729. [Google Scholar] [CrossRef]
- Zhao, J.X.; Zhang, J.; Asano, A.; Ohno, Y.; Oouchi, T.; Takahashi, T.; Ogawa, H.; Irikura, K.; Thio, H.K.; Somerville, P.G.; et al. Attenuation relations of strong ground motion in Japan using site classification based on predominant period. Bull. Seismol. Soc. Am. 2006, 96, 898–913. [Google Scholar] [CrossRef]
- Atkinson, G.M.; Boore, D.M. Some comparisons between recent ground-motion relations. Seismol. Res. Lett. 1997, 68, 24–38. [Google Scholar] [CrossRef]
- Atkinson, G.M.; Boore, D.M. Erratum: Earthquake ground-motion prediction equations for eastern North America. Bull. Seismol. Soc. Am. 2007, 97, 1032. [Google Scholar] [CrossRef]
- Campbell, K.W. Prediction of Strong Ground Motion Using the Hybrid Empirical Method and Its Use in the Development of Ground-Motion (Attenuation) Relations in Eastern North America. Bull. Seismol. Soc. Am. 2003, 93, 1012–1033. [Google Scholar] [CrossRef]
- Zare, M. Attenuation Relation and Coefficients of Movement in Iran; International Institute of Earthquake Engineering and Seismology: Tehran, Iran, 2002. [Google Scholar]
- McGuire, R.K. FORTRAN Computer Program for Seismic Risk Analysis; United States Geological Survey: Reston, VA, USA, 1976.
- Simpson, K. Attenuation of Strong Ground-Motion Incorporating Near-Surface Foundation Conditions; London University: London, UK, 1996. [Google Scholar]
- Dahle, A.; Bungum, H.; Kvamme, L.B. Attenuation models inferred from intraplate earthquake recordings. Earthq. Eng. Struct. Dyn. 1990, 19, 1125–1141. [Google Scholar] [CrossRef]
- Sadigh, K.; Chang, C.-Y.; Egan, J.A.; Makdisi, F.; Youngs, R.R. Attenuation Relationships for Shallow Crustal Earthquakes Based on California Strong Motion Data. Seismol. Res. Lett. 1997, 68, 180–189. [Google Scholar] [CrossRef]
- Ambraseys, N.N. The prediction of earthquake peak ground acceleration in europe. Earthq. Eng. Struct. Dyn. 1995, 24, 467–490. [Google Scholar] [CrossRef]
- Ordaz, M.; Aguilar, A.; Arboleda, J. CRISIS2007. Program for Computing Seismic Hazard; UNAM Institute of Engineering: Mexico City, Mexico, 2007. [Google Scholar]
- Gregor, N.J.; Silva, W.J.; Wong, I.G.; Youngs, R.R. Ground-motion attenuation relationships for Cascadia subduction zone megathrust earthquakes based on a stochastic finite-fault model. Bull. Seismol. Soc. Am. 2002, 92, 1923–1932. [Google Scholar] [CrossRef]
- EZ-FRISK-7.26 A Program for Earthquake Ground Motion Estimation; Risk Engineering Inc.: Boulder, CO, USA, 2008.
- Boore, D.M.; Joyner, W.B.; Fumal, T.E. Equations for estimating horizontal response spectra and peak acceleration from western North American earthquakes: A summary of recent work. Seismol. Res. Lett. 1997, 68, 128–153. [Google Scholar] [CrossRef]
- Abrahamson, N.; Silva, W. Summary of the Abrahamson & Silva NGA ground-motion relations. Earthq. Spectra 2008, 24, 67–97. [Google Scholar] [CrossRef]
- Campbell, K.W.; Bozorgnia, Y. NGA ground motion model for the geometric mean horizontal component of PGA, PGV, PGD and 5% damped linear elastic response spectra for periods ranging from 0.01 to 10 s. Earthq. Spectra 2008, 24, 139–171. [Google Scholar] [CrossRef]
- International Code Council. IBC: International Building Code; International Code Council: Washington, DC, USA, 2009; ISBN 978-1-58001-725-1. [Google Scholar]
- International Conference of Building Officials. Uniform Building Code, Volume 2: Structural Engineering Design Provisions; ICBO: Whittier, CA, USA, 1997. [Google Scholar]
- Pascucci, V.; Free, M.W.; Lubkowski, Z.A. Seismic Hazard and Seismic Design Requirements for the Arabian Peninsula Region. In Proceedings of the 14th World Conference on Earthquake Engineering, Beijing, China, 12–17 October 2008; 8p. [Google Scholar]
- Avci, O.; Al Nouss, M. Seismic Assessment of Existing Lowrise and Midrise Reinforced Concrete Buildings Using the 2014 Qatar Construction Specification. J. Archit. Eng. 2018, 24, 04018028. [Google Scholar] [CrossRef]
- Shahvar, M.P.; Zare, M.; Castellaro, S. A unified seismic catalog for the Iranian plateau (1900–2011). Seismol. Res. Lett. 2013, 84, 233–249. [Google Scholar] [CrossRef]
- Deif, A.; Al-Shijbi, Y.; El-Hussain, I.; Ezzelarab, M.; Mohamed, A.M.E. Compiling an earthquake catalogue for the Arabian Plate, Western Asia. J. Asian Earth Sci. 2017, 147, 345–357. [Google Scholar] [CrossRef]
- Ambraseys, N.N.; Melville, C.P. A History of Persian Earthquakes; Cambridge University Press: Cambridge, UK, 1982. [Google Scholar]
- Ambraseys, N.N.; Melville, C.P.; Adams, R.D. The Seismicity of Egypt, Arabia and the Red Sea: A Historical Review; Cambridge University Press: New York, NY, USA, 1994. [Google Scholar]
- International Seismological Centre On-Line Bulletin. Available online: https://doi.org/10.31905/D808B830 (accessed on 25 May 2019).
- Di Giacomo, D.; Engdahl, E.R.; Storchak, D.A. The ISC-GEM Earthquake Catalogue (1904–2014): Status after the Extension Project. Earth Syst. Sci. Data 2018, 10, 1877–1899. [Google Scholar] [CrossRef]
- Engdahl, E.R.; Van Der Hilst, R.; Buland, R. Global teleseismic earthquake relocation with improved travel times and procedures for depth determination. Bull. Seismol. Soc. Am. 1998, 88, 722–743. [Google Scholar]
- Karimiparidari, S.; Zaré, M.; Memarian, H.; Kijko, A. Iranian earthquakes, a uniform catalog with moment magnitudes. J. Seismol. 2013, 17, 897–911. [Google Scholar] [CrossRef]
- Şeşetyan, K.; Danciu, L.; Demircioğlu Tümsa, M.B.; Giardini, D.; Erdik, M.; Akkar, S.; Gülen, L.; Zare, M.; Adamia, S.; Ansari, A.; et al. The 2014 seismic hazard model of the Middle East: Overview and results. Bull. Earthq. Eng. 2018, 16, 3535–3566. [Google Scholar] [CrossRef]
- Danciu, L.; Şeşetyan, K.; Demircioglu, M.; Gülen, L.; Zare, M.; Basili, R.; Elias, A.; Adamia, S.; Tsereteli, N.; Yalçın, H.; et al. The 2014 Earthquake Model of the Middle East: Seismogenic sources. Bull. Earthq. Eng. 2018, 16, 3465–3496. [Google Scholar] [CrossRef]
- NEIC-USGS. National Earthquake Information Center. Available online: http://neic.cr.usgs.gov/ (accessed on 25 May 2019).
- Gardner, J.K.; Knopoff, L. Is the sequence of earthquakes in Southern California, with aftershocks removed, Poissonian? Bull. Seismol. Soc. Am. 1974, 64, 1363–1367. [Google Scholar]
- Sawires, R.; Peláez, J.A.; Ibrahim, H.A.; Fat-Helbary, R.E.; Henares, J.; Hamdache, M. Delineation and characterization of a new seismic source model for seismic hazard studies in Egypt. Nat. Hazards 2016, 80, 1823–1864. [Google Scholar] [CrossRef]
- El-Hussain, I.; Al-Shijbi, Y.; Deif, A.; Mohamed, A.M.E.; Ezzelarab, M. Developing a seismic source model for the Arabian Plate. Arab. J. Geosci. 2018, 11, 11–435. [Google Scholar] [CrossRef]
- Taghizadeh-Farahmand, F.; Afsari, N.; Sodoudi, F. Crustal Thickness of Iran Inferred from Converted Waves. Pure Appl. Geophys. 2015, 172, 309–331. [Google Scholar] [CrossRef]
- Afsari, N.; Sodoudi, F.; Taghizadeh Farahmand, F.; Ghassemi, M.R. Crustal structure of Northwest Zagros (Kermanshah) and Central Iran (Yazd and Isfahan) using teleseismic Ps converted phases. J. Seismol. 2011, 15, 341–353. [Google Scholar] [CrossRef]
- Frankel, A. Mapping seismic hazard in the central and eastern United States. Seismol. Res. Lett. 1995, 66, 8–21. [Google Scholar] [CrossRef]
- Peláez, J.A.; López Casado, C. Seismic hazard estimate at the Iberian Peninsula. Pure Appl. Geophys. 2002, 159, 2699–2713. [Google Scholar] [CrossRef]
- Peláez, J.A.; Hamdache, M.; Casado, C.L. Seismic hazard in Northern Algeria using spatially smoothed seismicity. Results for peak ground acceleration. Tectonophysics 2003, 372, 105–119. [Google Scholar] [CrossRef]
- Peláez, J.A.; Delgado, J.; López Casado, C. A preliminary probabilistic seismic hazard assessment in terms of Arias intensity in southeastern Spain. Eng. Geol. 2005, 77, 139–151. [Google Scholar] [CrossRef]
- Chen, Y.-S.; Weatherill, G.; Pagani, M.; Cotton, F. A transparent and data-driven global tectonic regionalization model for seismic hazard assessment. Geophys. J. Int. 2018, 213, 1263–1280. [Google Scholar] [CrossRef]
- Farhadi, A.; Farajpour, Z.; Pezeshk, S. Assessing predictive capability of ground-motion models for probabilistic seismic hazard in Iran. Bull. Seismol. Soc. Am. 2019, 109, 2073–2087. [Google Scholar] [CrossRef]
- Boore, D.M.; Stewart, J.P.; Seyhan, E.; Atkinson, G.M. NGA-West2 Equations for Predicting PGA, PGV, and 5% Damped PSA for Shallow Crustal Earthquakes. Earthq. Spectra 2014, 30, 1057–1085. [Google Scholar] [CrossRef]
- Abrahamson, N.A.; Silva, W.J.; Kamai, R. Summary of the ASK14 ground motion relation for active crustal regions. Earthq. Spectra 2014, 30, 1025–1055. [Google Scholar] [CrossRef]
- Chiou, B.S.-J.; Youngs, R.R. Update of the Chiou and Youngs NGA Model for the Average Horizontal Component of Peak Ground Motion and Response Spectra. Earthq. Spectra 2014, 30, 1117–1153. [Google Scholar] [CrossRef]
- Campbell, K.W.; Bozorgnia, Y. NGA-West2 Ground Motion Model for the Average Horizontal Components of PGA, PGV, and 5% Damped Linear Acceleration Response Spectra. Earthq. Spectra 2014, 30, 1087–1115. [Google Scholar] [CrossRef]
- Ghasemi, H.; Zare, M.; Fukushima, Y.; Koketsu, K. An empirical spectral ground-motion model for Iran. J. Seismol. 2009, 13, 499–515. [Google Scholar] [CrossRef]
- Sedaghati, F.; Pezeshk, S. Partially nonergodic empirical ground-motion models for predicting horizontal and vertical PGV, PGA, and 5% damped linear acceleration response spectra using data from the Iranian plateau. Bull. Seismol. Soc. Am. 2017, 107, 934–948. [Google Scholar] [CrossRef]
- Shahidzadeh, M.S.; Yazdani, A. A Bayesian Updating Applied to Earthquake Ground-Motion Prediction Equations for Iran. J. Earthq. Eng. 2017, 21, 290–324. [Google Scholar] [CrossRef]
- Zafarani, H.; Luzi, L.; Lanzano, G.; Soghrat, M.R. Empirical equations for the prediction of PGA and pseudo spectral accelerations using Iranian strong-motion data. J. Seismol. 2018, 22, 263–285. [Google Scholar] [CrossRef]
- Farajpour, Z.; Pezeshk, S.; Zare, M. A new empirical ground-motion model for Iran. Bull. Seismol. Soc. Am. 2019, 109, 732–744. [Google Scholar] [CrossRef]
- Akkar, S.; Cagnan, Z. A Local Ground-Motion Predictive Model for Turkey, and Its Comparison with Other Regional and Global Ground-Motion Models. Bull. Seismol. Soc. Am. 2010, 100, 2978–2995. [Google Scholar] [CrossRef]
- Kalkan, E.; Gülkan, P. Site-Dependent Spectra Derived from Ground Motion Records in Turkey. Earthq. Spectra 2004, 20, 1111–1138. [Google Scholar] [CrossRef]
- Kanno, T.; Narita, A.; Morikawa, N.; Fujiwara, H.; Fukushima, Y. A New Attenuation Relation for Strong Ground Motion in Japan Based on Recorded Data. Bull. Seismol. Soc. Am. 2006, 96, 879–897. [Google Scholar] [CrossRef]
- Akkar, S.; Sandıkkaya, M.A.; Bommer, J.J. Empirical ground-motion models for point- and extended-source crustal earthquake scenarios in Europe and the Middle East. Bull. Earthq. Eng. 2014, 12, 359–387. [Google Scholar] [CrossRef]
- Bindi, D.; Massa, M.; Luzi, L.; Ameri, G.; Pacor, F.; Puglia, R.; Augliera, P. Pan-European ground-motion prediction equations for the average horizontal component of PGA, PGV, and 5 %-damped PSA at spectral periods up to 3.0 s using the RESORCE dataset. Bull. Earthq. Eng. 2014, 12, 391–430. [Google Scholar] [CrossRef]
- Kotha, S.R.; Bindi, D.; Cotton, F. Partially non-ergodic region specific GMPE for Europe and Middle-East. Bull. Earthq. Eng. 2016, 14, 1245–1263. [Google Scholar] [CrossRef]
- European Committee for Standardization. EC-8, (Eurocode 8) Design of Structures for Earthquake Resistance. Part 1: General Rules, Seismic Actions and Rules for Buildings; EN-1998-1; CEN: Brussels, Belgium, 2003. [Google Scholar]
- Ancheta, T.D.; Darragh, R.B.; Stewart, J.P.; Seyhan, E.; Silva, W.J.; Chiou, B.S.J.; Wooddell, K.E.; Graves, R.; Kottke, A.R.; Boore, D.M.; et al. PEER NGA-West2 Database; Pacific Earthquake Engineering Research Center Report 2013/03; PEER: Berkeley, CA, USA, 2013. [Google Scholar]
- Khan, M.M.; Kumar, G.K. Site-specific probabilistic seismic hazard assessment for proposed smart city, Warangal. J. Earth Syst. Sci. 2020, 129, 147. [Google Scholar] [CrossRef]
- Abdalzaher, M.S.; El-Hadidy, M.; Gaber, H.; Badawy, A. Seismic hazard maps of Egypt based on spatially smoothed seismicity model and recent seismotectonic models. J. African Earth Sci. 2020, 170, 103894. [Google Scholar] [CrossRef]
- Du, W.; Pan, T.C. Probabilistic seismic hazard assessment for Singapore. Nat. Hazards 2020, 103, 2883–2903. [Google Scholar] [CrossRef]
- Ordaz, M.; Martinelli, F.; Aguilar, A.; Arboleda, J.; Meletti, C.; D’Amico, V. R-CRISIS. Program and Platform for Computing Seismic Hazard; UNAM Institute of Engineering: Mexico City, Mexico, 2017. [Google Scholar]
- Wells, D.L.; Coppersmith, K.J. New empirical relationships among magnitude, rupture length, rupture width, rupture area, and surface displacement. Bull. Seismol. Soc. Am. 1994, 84, 974–1002. [Google Scholar]
- Deif, A.; El-Hussain, I.; Alshijbi, Y.; Mohamed, A.M.E.S. Updating a probabilistic seismic hazard model for Sultanate of Oman. Arab. J. Geosci. 2020, 13. [Google Scholar] [CrossRef]
- Sawires, R.; Peláez, J.A.; Fat-Helbary, R.E.; Ibrahim, H.A. Updated Probabilistic Seismic-Hazard Values for Egypt. Bull. Seismol. Soc. Am. 2016, 106, 1788–1801. [Google Scholar] [CrossRef]
- Kolathayar, S.; Sitharam, T.G. Comprehensive Probabilistic Seismic Hazard Analysis of the Andaman-Nicobar Regions. Bull. Seismol. Soc. Am. 2012, 102, 2063–2076. [Google Scholar] [CrossRef]
- Sokolov, V.; Zahran, H.M.; Youssef, S.E.-H.; El-Hadidy, M.; Alraddadi, W.W. Probabilistic seismic hazard assessment for Saudi Arabia using spatially smoothed seismicity and analysis of hazard uncertainty. Bull. Earthq. Eng. 2017, 15, 2695–2735. [Google Scholar] [CrossRef]
- Sawires, R.; Peláez, J.A.; Fat-Helbary, R.E.; Panzera, F.; Ibrahim, H.A.; Hamdache, M. Probabilistic Seismic Hazard Deaggregation for Selected Egyptian Cities. Pure Appl. Geophys. 2017, 174, 1581–1600. [Google Scholar] [CrossRef]
- Cornell, C.A. Engineering seismic risk analysis. Bull. Seismol. Soc. Am. 1986, 58, 1583–1606. [Google Scholar]
- Field, E.H.; Jordan, T.H.; Cornell, C.A. OpenSHA: A developing community-modeling environment for seismic hazard analysis. Seismol. Res. Lett. 2003, 74, 406–419. [Google Scholar] [CrossRef]
- Pagani, M.; Monelli, D.; Weatherill, G.; Danciu, L.; Crowley, H.; Silva, V.; Henshaw, P.; Butler, L.; Nastasi, M.; Panzeri, L.; et al. Openquake engine: An open hazard (and risk) software for the global earthquake model. Seismol. Res. Lett. 2014, 85, 692–702. [Google Scholar] [CrossRef]
- Assatourians, K.; Atkinson, G.M. EqHaz: An open-source probabilistic seismic-hazard code based on the Monte Carlo simulation approach. Seismol. Res. Lett. 2013, 84, 516–524. [Google Scholar] [CrossRef]
- McCann, M.W.; Reed, J.W. Lower bound earthquake magnitude for probabilistic seismic hazard evaluation. Nucl. Eng. Des. 1990, 123, 143–153. [Google Scholar] [CrossRef]
- Malhotra, P.K. Return period of design ground motions. Seismol. Res. Lett. 2005, 76, 693–699. [Google Scholar] [CrossRef]
- Newmark, N.M.; Hall, W.J. Earthquake Spectra and Design; Earthquake Engineering Research Institute: Oackland, CA, USA, 1982. [Google Scholar]
- Bazzurro, P.; Cornell, C.A. Disaggregation of seismic hazard. Bull. Seismol. Soc. Am. 1999, 89, 501–520. [Google Scholar]
- Harmsen, S.; Perkins, D.M.; Frankel, A. Deaggregation of probabilistic ground motions in the central and eastern United States. Bull. Seismol. Soc. Am. 1999, 89, 1–13. [Google Scholar]
- McGuire, R.K. Probabilistic seismic hazard analysis and design earthquakes: Closing the loop. Bull. Seismol. Soc. Am. 1995, 85, 1275–1284. [Google Scholar]
- Bernreuter, D.L. Determining the Controlling Earthquake from Probabilistic Hazards for the Proposed Appendix B; Lawrence Livermore National Laboratory, Report UCRL-JC-111964, Livermore, EE.UU.; U.S. Nuclear Regulatory Commission: Washington, DC, USA, 1992.
- Chapman, M.C. A probabilistic approach to ground-motion selection for engineering design. Bull. Seismol. Soc. Am. 1995, 85, 937–942. [Google Scholar]
- Barani, S.; Spallarossa, D.; Bazzurro, P. Disaggregation of probabilistic ground-motion Hazard in Italy. Bull. Seismol. Soc. Am. 2009, 99, 2638–2661. [Google Scholar] [CrossRef]
- Hamdache, M.; Peláez, J.A.; Talbi, A.; Mobarki, M.; Casado, C.L. Ground-motion hazard values for northern Algeria. Pure Appl. Geophys. 2012, 169, 711–723. [Google Scholar] [CrossRef]









| The Study | Study Region | Attenuation Relationships | Software Code | Results |
|---|---|---|---|---|
| Abdalla and Al-Homoud [12] | The UAE and its surroundings | Zare [36] model that was derived for the Zagros region. | EQRISK [37] | PGA map for a return period of 475 years |
| Sigbjornsson and Elnashai [13] | Dubai, UAE | Models by Ambraseys et al. [22] and Simpson [38] were applied to all defined seismic sources. | Not provided | Hazard curves, UHS, and PGA values for return periods of 475, 975 and 2475 years. |
| Peiris et al. [14] | The Arabian Gulf including Dubai and Abu Dhabi | Models by Dahle et al. [39] and Atkinson and Boore [33] were applied for the Arabian stable craton, while those by Ambraseys et al. [22] and Sadigh et al. [40] were considered for the Zagros and Makran regions. | Not provided | Hazard curves for the selected cities, UHS, and PGA values for return periods of 475 and 2475 years. |
| Musson et al. [15] | The UAE | Model by Ambraseys et al. [22] was used for the estimation of SA values, while the Ambraseys [41] model was applied for the prediction of the PGA values. | Not provided | PGA and SA values for a return period of 475 years. |
| Malkawi et al. [16] | Fifteen major cities in the UAE | The model by Atkinson and Boore [33] was applied for the defined source. | Haz_ph.exe (FORTRAN Execution File) | Hazard curves, UHS, and PGA maps for a return period of 475 years. |
| Aldama-Bustos et al. [17] | Dubai, Abu Dhabi, and Ras-Al Khaimah (UAE) | Models by Youngs et al. [30] and Atkinson and Boore [31] were used for the Makran subduction zone. Models by Abrahamson and Silva [24], Ambraseys et al. [23], Boore and Atkinson [28], and Akkar and Bommer [27] were applied for the shallow crustal sources. The Atkinson and Boore [34] model was applied to earthquakes within the stable craton. | CRISIS 2007 [42] | Hazard curves, UHS for return periods of 500, 1000, 2500, 5000, 10000 years, and hazard deaggregation for PGA, SA 0.2, 1.0, 3.0 s for the studied three cities. |
| Shama [18] | Dubai (UAE) | Models by Atkinson and Boore [33], Gregor et al. [43], Youngs et al. [30] were applied to the “intraslab” western segment of the Makran subduction zone. Models by Abrahamson and Silva [24], Campbell and Bozorgnia [25], and Ambraseys et al. [22] were used for the western segment of the Zendan-Minab-Palami Fault. Finally, models by Abrahamson and Silva [24], Ambraseys et al. [22], and Campbell and Bozorgnia [25] were applied for the Dibba Fault. All these combinations were used within logic-trees. | EZ-FRISK-7.26 [44] | Hazard curves, and UHS and PGA for return periods of 475 and 2475 years. |
| El-Hussain et al. [19] | Sultanate of Oman, and the UAE | Models by Ambraseys et al. [22], Abrahamson and Silva [24], and Boore et al. [45] were applied for earthquakes occurring within the defined active shallow crustal sources. Models by Youngs et al. [30] and Atkinson and Boore [31] were applied for the Makran subduction zone. Additionally, for the Arabian stable craton, the model of Atkinson and Boore [34] was also used. | CRISIS 2007 [42] | Mean and 84th percentile PGA, and SA (0.1, 0.2, 1.0, and 2.0 s) maps for return periods of 475 and 2475 years. UHS for Dubai, for the previously mentioned return periods were also included. |
| Khan et al. [20] | The UAE | Models by Boore and Atkinson [28], Abrahamson and Silva [24,46], and Campbell and Bozorgnia [47] were assigned to sources covering the Zagros region and Oman Mountains. Models by Atkinson and Boore [31] and Youngs et al. [30] were used for the Makran subduction zone. Atkinson and Boore [34] model was used for earthquakes within the Arabian Craton. | EZ-FRISK V. 7.3 (Risk Engineering Inc.) | Hazard curves for the main cities in the UAE; UHS for different proposed regions for return periods of 475 and 2475 years; PGA and SA (0.2, 1.0, 2.0, 3.0, 4.0 s) maps for the UAE for a return period of 2475 years; and hazard deaggregation (for PGA and SA 1.0 s) for the city of Abu Dhabi for a return period of 2475 years. |
| Al-Shijbi et al. [21] | The Arabian Peninsula | They applied Akkar and Bommer [26], Chiou and Youngs [29], and Zhao et al. [32] models for the active shallow crustal seismic sources. While, Youngs et al. [30], Atkinson and Boore [31], and Zhao et al. [32] were used for the subduction zones (Makran and Cyprus). Additionally, for the Arabian stable craton, they used Atkinson and Boore [34], and Campbell [35] models in conjunction with equations by Akkar and Bommer [26], Chiou and Youngs [29], and Zhao et al. [32]. | EZ-FRISK (Risk Engineering Inc.) | PGA and SA (0.2, 0.5, 1.0, and 2.0 s) values and maps for return periods of 475, 975 and 2475 years. UHS for several cities, including Dubai and Abu Dhabi, for the previously mentioned return periods were also computed. |
| Study | Abu Dhabi | Dubai |
|---|---|---|
| Abdalla and Al-Homoud [12] | 0.12 | 0.15 |
| Sigbjornsson and Elnashai [13] | --- | 0.16 |
| Peiris et al. [14] | 0.04 | 0.06 |
| Musson et al. [15] | --- | 0.05 |
| Malkawi et al. [16] | 0.10 | 0.16 |
| Aldama-Bustos et al. [17] | 0.04 | 0.05 |
| Shama [18] | --- | 0.17 |
| El-Hussain et al. [19] | 0.04 | 0.06 |
| Khan et al. [20] | 0.035 | 0.047 |
| Al-Shijbi et al. [21] | 0.033 | 0.047 |
| Current Study | 0.05 | 0.09 |
| Source | Depth (km) | λ (≥4.0) | b-Value | Mmaxobs | Date | Mmax | Stress Regime |
|---|---|---|---|---|---|---|---|
| Sh-01 | 17.2 | 2.59 ± 0.44 | 0.87 ± 0.31 | 5.9 | 1956/03/09 | 6.00 ± 0.15 | Pure compressional |
| Sh-02 | 17.7 | 8.83 ± 0.55 | 0.86 ± 0.10 | 6.7 | 1703/–/– | 6.85 ± 0.40 | Pure compressional |
| Sh-03 | 20.0 | 8.24 ± 0.71 | 0.73 ± 0.15 | 6.8 | 1440/–/– | 6.85 ± 0.38 | Pure compressional |
| Sh-04 | 18.0 | 6.94 ± 0.87 | 1.00 ± 0.11 | 6.6 | 1990/11/06 | 6.65 ± 0.14 | Pure compressional |
| Sh-05 | 14.0 | 3.42 ± 0.34 | 0.82 ± 0.04 | 7.2 | 1981/07/28 | 7.40 ± 0.18 | Pure compressional |
| Sh-06 | 19.1 | 1.17 ± 0.28 | 0.82 ± 0.06 | 6.2 | 2013/05/11 | 6.35 ± 0.16 | Compressional strike-slip |
| Sh-07 | 17.4 | 1.93 ± 0.26 | 0.83 ± 0.15 | 6.1 | 1979/01/10 | 6.20 ± 0.15 | Compressional strike-slip |
| Sh-08 | 24.0 | 3.14 ± 0.35 | 0.76 ± 0.09 | 8.1 | 1945/11/28 | 8.10 ± 0.30 | Pure compressional |
| Sh-09 | 15.1 | 0.81 ± 0.16 | 0.84 ± 0.12 | 6.0 | 1497/–/– | 6.20 ± 0.28 | Oblique extensive |
| Sh-10 | 16.9 | 4.82 ± 0.89 | 1.11 ± 0.35 | 5.9 | 1903/01/14 1962/12/26 2008/12/25 | 5.90 ± 0.14 | Pure compressional |
| IN-01 | 46.0 | 12.00 ± 1.28 | 1.03 ± 0.09 | 6.6 | 1999/03/04 | 6.80 ± 0.18 | Strike-slip compressional |
| IN-02 | 49.4 | 2.49 ± 0.37 | 0.86 ± 0.10 | 7.7 | 2013/04/16 | 7.70 ± 0.30 | Pure extensional |
| Source | Depth (km) | λ (≥4.0) | b Value | Mmax |
|---|---|---|---|---|
| Z-01 | 24.0 | 1.822 ± 0.371 | 0.68 ± 0.06 | 8.40 ± 0.10 |
| Z-02 | 24.0 | 0.860 ± 0.198 | 0.65 ± 0.06 | 7.80 ± 0.30 |
| Z-03 | 32.0 | 0.680 ± 0.167 | 0.72 ± 0.08 | 6.20 ± 0.23 |
| Z-04 | 42.0 | 0.423 ± 0.131 | 0.68 ± 0.09 | 6.80 ± 0.82 |
| Z-05 | 34.0 | 0.465 ± 0.133 | 0.57 ± 0.09 | 6.30 ± 0.22 |
| Z-06 | 28.0 | 1.268 ± 0.271 | 0.74 ± 0.07 | 6.00 ± 0.14 |
| Z-07 | 31.0 | 2.157 ± 0.411 | 0.66 ± 0.06 | 6.80 ± 0.18 |
| Z-08 | 17.0 | 1.602 ± 0.299 | 0.73 ± 0.06 | 7.50 ± 0.34 |
| Z-09 | 17.0 | 1.821 ± 0.368 | 0.76 ± 0.07 | 6.20 ± 0.26 |
| Z-10 | 19.0 | 3.359 ± 0.520 | 0.79 ± 0.05 | 6.80 ± 0.21 |
| Z-11 | 21.0 | 8.820 ± 1.160 | 0.79 ± 0.03 | 6.90 ± 0.21 |
| Z-12 | 22.0 | 3.094 ± 0.468 | 0.76 ± 0.04 | 7.60 ± 0.24 |
| Z-13 | 20.0 | 0.686 ± 0.184 | 0.73 ± 0.08 | 6.30 ± 0.34 |
| Z-14 | 20.0 | 0.314 ± 0.104 | 0.78 ± 0.09 | 5.80 ± 0.46 |
| Z-15 | 20.0 | 1.621 ± 0.417 | 0.69 ± 0.08 | 6.00 ± 0.21 |
| Z-16 | 17.7 | 0.989 ± 0.281 | 0.70 ± 0.08 | 5.80 ± 0.22 |
| Z-17 | 25.0 | 5.340 ± 0.817 | 0.81 ± 0.04 | 6.80 ± 0.12 |
| Z-18 | 27.0 | 1.670 ± 0.263 | 0.93 ± 0.08 | 6.50 ± 0.30 |
| Z-54 | 16.9 | 0.594 ± 0.160 | 0.57 ± 0.08 | 6.80 ± 0.24 |
| Z-55 | 16.9 | 0.559 ± 0.193 | 0.50 ± 0.10 | 6.10 ± 0.25 |
| Z-56 | 15.1 | 0.243 ± 0.080 | 0.83 ± 0.09 | 6.20 ± 0.21 |
| Z-57 | 15.0 | 2.000 ± 0.342 | 0.99 ± 0.06 | 6.60 ± 0.31 |
| Country | Emirate/ City | 475 Years | 975 Years | ||||||||||
|---|---|---|---|---|---|---|---|---|---|---|---|---|---|
| Mean PGA (g) | 90th PGA (g) | SAmax (g) | Tmax (s) | SA-0.2 s (g) | SA-1.0 s (g) | Mean PGA (g) | 90th PGA (g) | SAmax (g) | Tmax (s) | SA-0.2 s (g) | SA-1.0 s (g) | ||
| United Arab Emirates | RAK | 0.13 | 0.18 | 0.31 | 0.15 | 0.30 | 0.07 | 0.16 | 0.22 | 0.44 | 0.15 | 0.42 | 0.08 |
| UAQ | 0.12 | 0.19 | 0.31 | 0.15 | 0.29 | 0.05 | 0.16 | 0.26 | 0.44 | 0.15 | 0.42 | 0.08 | |
| AJM | 0.11 | 0.17 | 0.27 | 0.15 | 0.26 | 0.06 | 0.14 | 0.21 | 0.38 | 0.15 | 0.37 | 0.07 | |
| SHJ | 0.10 | 0.16 | 0.25 | 0.15/0.20 | 0.25 | 0.05 | 0.13 | 0.19 | 0.36 | 0.15 | 0.34 | 0.07 | |
| DUB | 0.09 | 0.14 | 0.22 | 0.15/0.20 | 0.22 | 0.05 | 0.12 | 0.17 | 0.31 | 0.15/0.20 | 0.31 | 0.06 | |
| FUJ | 0.13 | 0.18 | 0.30 | 0.15 | 0.28 | 0.05 | 0.17 | 0.25 | 0.46 | 0.15 | 0.42 | 0.07 | |
| AAN | 0.07 | 0.13 | 0.15 | 0.15/0.20 | 0.15 | 0.03 | 0.10 | 0.17 | 0.22 | 0.15 | 0.21 | 0.04 | |
| ABD | 0.05 | 0.08 | 0.12 | 0.20 | 0.12 | 0.03 | 0.07 | 0.09 | 0.16 | 0.20 | 0.16 | 0.04 | |
| Qatar | DOH | 0.06 | 0.08 | 0.13 | 0.20 | 0.13 | 0.03 | 0.07 | 0.09 | 0.17 | 0.20 | 0.17 | 0.07 |
| Bahrain | MAN | 0.06 | 0.09 | 0.14 | 0.20 | 0.14 | 0.04 | 0.08 | 0.12 | 0.18 | 0.20 | 0.18 | 0.05 |
| Emirate /City * | PGA | SA (0.2 s) | SA (1.0 s) | SA (2.0 s) | ||||||||||||
|---|---|---|---|---|---|---|---|---|---|---|---|---|---|---|---|---|
| Modal | Mean | Modal | Mean | Modal | Mean | Modal | Mean | |||||||||
| Mw | D (km) | Mw | D (km) | Mw | D (km) | Mw | D (km) | Mw | D (km) | Mw | D (km) | Mw | D (km) | Mw | D (km) | |
| RAK | 5.5–6.0 | 50–75 | 5.6 | 94 | 4.5–5.0 | 50–75 | 5.3 | 88 | 6.0–6.5 | 50–75 | 6.5 | 163 | 7.0–7.5 | 200–225 | 6.8 | 189 |
| UAQ | 5.5–6.0 | 75–100 | 5.6 | 112 | 4.5–5.0 | 50–75 | 5.3 | 102 | 5.5–6.0 | 75–100 | 6.5 | 188 | 7.0–7.5 | 200–225 | 6.8 | 212 |
| AJM | 5.5–6.0 | 75–100 | 5.6 | 128 | 4.5–5.0 | 75–100 | 5.2 | 115 | 7.0–7.5 | 200–225 | 6.5 | 203 | 7.0–7.5 | 200–225 | 6.8 | 225 |
| SHJ | 5.5–6.0 | 75–100 | 5.6 | 136 | 4.5–5.0 | 75–100 | 5.2 | 121 | 7.0–7.5 | 225–250 | 6.5 | 210 | 7.0–7.5 | 225–250 | 6.8 | 232 |
| DUB | 5.5–6.0 | 75–100 | 5.6 | 149 | 4.5–5.0 | 75–100 | 5.2 | 133 | 7.0–7.5 | 225–250 | 6.5 | 221 | 7.0–7.5 | 275–300 | 6.8 | 242 |
| FUJ | 4.0–4.5 | 0–25 | 5.1 | 35 | 4.5–5.0 | 0–25 | 5.1 | 39 | 5.5–6.0 | 0–25 | 6.2 | 159 | 7.0–7.5 | 275–300 | 6.7 | 215 |
| AAN | 5.5–6.0 | 100–125 | 5.7 | 235 | 4.5–5.0 | 100–125 | 5.1 | 214 | 7.0–7.5 | 350–375 | 6.4 | 305 | 7.0–7.5 | 300–325 | 6.8 | 322 |
| ABD | 5.5–6.0 | 275–300 | 5.5 | 237 | 4.5–5.0 | 150–175 | 5.0 | 212 | 7.0–7.5 | 350–375 | 6.5 | 302 | 7.0–7.5 | 350–375 | 6.8 | 318 |
| DOH | 4.5–5.0 | 75–100 | 5.4 | 216 | 4.0–4.5 | 75–100 | 5.0 | 189 | 7.0–7.5 | 350–375 | 6.5 | 307 | 7.0–7.5 | 350–375 | 6.8 | 324 |
| MAN | 5.5–6.0 | 225–250 | 5.7 | 259 | 4.5–5.0 | 150–175 | 5.1 | 235 | 7.0–7.5 | 375–400 | 6.5 | 305 | 7.0–7.5 | 375–400 | 6.9 | 316 |
Publisher’s Note: MDPI stays neutral with regard to jurisdictional claims in published maps and institutional affiliations. |
© 2020 by the authors. Licensee MDPI, Basel, Switzerland. This article is an open access article distributed under the terms and conditions of the Creative Commons Attribution (CC BY) license (http://creativecommons.org/licenses/by/4.0/).
Share and Cite
Sawires, R.; Peláez, J.A.; Hamdache, M. Probabilistic Seismic Hazard Assessment for United Arab Emirates, Qatar and Bahrain. Appl. Sci. 2020, 10, 7901. https://doi.org/10.3390/app10217901
Sawires R, Peláez JA, Hamdache M. Probabilistic Seismic Hazard Assessment for United Arab Emirates, Qatar and Bahrain. Applied Sciences. 2020; 10(21):7901. https://doi.org/10.3390/app10217901
Chicago/Turabian StyleSawires, Rashad, José A. Peláez, and Mohamed Hamdache. 2020. "Probabilistic Seismic Hazard Assessment for United Arab Emirates, Qatar and Bahrain" Applied Sciences 10, no. 21: 7901. https://doi.org/10.3390/app10217901
APA StyleSawires, R., Peláez, J. A., & Hamdache, M. (2020). Probabilistic Seismic Hazard Assessment for United Arab Emirates, Qatar and Bahrain. Applied Sciences, 10(21), 7901. https://doi.org/10.3390/app10217901

