Sign in to use this feature.

Years

Between: -

Subjects

remove_circle_outline
remove_circle_outline
remove_circle_outline
remove_circle_outline
remove_circle_outline
remove_circle_outline
remove_circle_outline
remove_circle_outline
remove_circle_outline

Journals

remove_circle_outline
remove_circle_outline
remove_circle_outline
remove_circle_outline

Article Types

Countries / Regions

remove_circle_outline
remove_circle_outline
remove_circle_outline
remove_circle_outline
remove_circle_outline
remove_circle_outline

Search Results (956)

Search Parameters:
Keywords = seismic hazard

Order results
Result details
Results per page
Select all
Export citation of selected articles as:
22 pages, 18075 KB  
Article
Geodynamic Characterization of Hydraulic Structures in Seismically Active Almaty Using Lineament Analysis
by Dinara Talgarbayeva, Andrey Vilayev, Tatyana Dedova, Oxana Kuznetsova, Larissa Balakay and Aibek Merekeyev
GeoHazards 2026, 7(1), 11; https://doi.org/10.3390/geohazards7010011 - 9 Jan 2026
Abstract
Monitoring the stability of hydraulic structures such as dams and reservoirs in seismically active regions is essential for ensuring their safety and operational reliability. This study presents a comprehensive geospatial approach combining lineament analysis and geodynamic zoning to assess the structural stability of [...] Read more.
Monitoring the stability of hydraulic structures such as dams and reservoirs in seismically active regions is essential for ensuring their safety and operational reliability. This study presents a comprehensive geospatial approach combining lineament analysis and geodynamic zoning to assess the structural stability of the Voroshilov and Priyut reservoirs located in the Almaty region, Kazakhstan. A regional lineament map was generated using ASTER GDEM data, while ALOS PALSAR data were used for detailed local analysis. Lineaments were extracted and analyzed through automated processing in PCI Geomatica. Lineament density maps and azimuthal rose diagrams were constructed to identify zones of tectonic weakness and assess regional structural patterns. Integration of lineament density, GPS velocity fields, InSAR deformation data, and probabilistic seismic hazard maps enabled the development of a detailed geodynamic zoning model. Results show that the studied sites are located within zones of low local geodynamic activity, with lineament densities of 0.8–1.2 km/km2, significantly lower than regional averages of 3–4 km/km2. GPS velocities in the area do not exceed 4 mm/year, and InSAR analysis indicates minimal surface deformation (<5 mm/year). Despite this apparent local stability, the 2024 Voroshilov Dam failure highlights the cumulative effect of regional seismic stresses (PGA up to 0.9 g) and localized filtration along fracture zones as critical risk factors. The proposed geodynamic zoning correctly identified the site as structurally stable under normal conditions but indicates that even low-activity zones are vulnerable under cumulative seismic loading. This demonstrates that an integrated approach combining remote sensing, geodetic, and seismic data can provide quantitative assessments for dam safety, predict potential high-risk zones, and support preventive monitoring in tectonically active regions. Full article
Show Figures

Figure 1

21 pages, 4706 KB  
Article
Near-Real-Time Integration of Multi-Source Seismic Data
by José Melgarejo-Hernández, Paula García-Tapia-Mateo, Juan Morales-García and Jose-Norberto Mazón
Sensors 2026, 26(2), 451; https://doi.org/10.3390/s26020451 - 9 Jan 2026
Abstract
The reliable and continuous acquisition of seismic data from multiple open sources is essential for real-time monitoring, hazard assessment, and early-warning systems. However, the heterogeneity among existing data providers such as the United States Geological Survey, the European-Mediterranean Seismological Centre, and the Spanish [...] Read more.
The reliable and continuous acquisition of seismic data from multiple open sources is essential for real-time monitoring, hazard assessment, and early-warning systems. However, the heterogeneity among existing data providers such as the United States Geological Survey, the European-Mediterranean Seismological Centre, and the Spanish National Geographic Institute creates significant challenges due to differences in formats, update frequencies, and access methods. To overcome these limitations, this paper presents a modular and automated framework for the scheduled near-real-time ingestion of global seismic data using open APIs and semi-structured web data. The system, implemented using a Docker-based architecture, automatically retrieves, harmonizes, and stores seismic information from heterogeneous sources at regular intervals using a cron-based scheduler. Data are standardized into a unified schema, validated to remove duplicates, and persisted in a relational database for downstream analytics and visualization. The proposed framework adheres to the FAIR data principles by ensuring that all seismic events are uniquely identifiable, source-traceable, and stored in interoperable formats. Its lightweight and containerized design enables deployment as a microservice within emerging data spaces and open environmental data infrastructures. Experimental validation was conducted using a two-phase evaluation. This evaluation consisted of a high-frequency 24 h stress test and a subsequent seven-day continuous deployment under steady-state conditions. The system maintained stable operation with 100% availability across all sources, successfully integrating 4533 newly published seismic events during the seven-day period and identifying 595 duplicated detections across providers. These results demonstrate that the framework provides a robust foundation for the automated integration of multi-source seismic catalogs. This integration supports the construction of more comprehensive and globally accessible earthquake datasets for research and near-real-time applications. By enabling automated and interoperable integration of seismic information from diverse providers, this approach supports the construction of more comprehensive and globally accessible earthquake catalogs, strengthening data-driven research and situational awareness across regions and institutions worldwide. Full article
(This article belongs to the Special Issue Advances in Seismic Sensing and Monitoring)
Show Figures

Figure 1

21 pages, 12613 KB  
Article
The Evolution and Impact of Glacier and Ice-Rock Avalanches in the Tibetan Plateau with Sentinel-2 Time-Series Images
by Duo Chu, Linshan Liu and Zhaofeng Wang
GeoHazards 2026, 7(1), 10; https://doi.org/10.3390/geohazards7010010 - 9 Jan 2026
Abstract
Catastrophic mass flows originating from the high mountain cryosphere often cause cascading hazards. With increasing human activities in the alpine region and the sensitivity of the cryosphere to climate warming, cryospheric hazards are becoming more frequent in the mountain regions. Monitoring the evolution [...] Read more.
Catastrophic mass flows originating from the high mountain cryosphere often cause cascading hazards. With increasing human activities in the alpine region and the sensitivity of the cryosphere to climate warming, cryospheric hazards are becoming more frequent in the mountain regions. Monitoring the evolution and impact of the glaciers and ice-rock avalanches and hazard consequences in the mountain regions is crucial to understand nature and drivers of mass flow process in order to prevent and mitigate potential hazard risks. In this study, the glacier and ice-rock avalanches that occurred in the Tibetan Plateau (TP) were investigated based on the Sentinel-2 satellite data and in situ observations, and the main driving forces and impacts on the regional environment, landscape, and geomorphological conditions were also analyzed. The results showed that the avalanche deposit of Arutso glacier No. 53 completely melted away in 2 years, while the deposit of Arutso glacier No. 50 melted in 7 years. Four large-scale ice-rock avalanches in the Sedongpu basin not only had significant impacts on the river flow, landscape, and geomorphologic shape in the basin, but also caused serious disasters in the region and beyond. These glacier and ice-rock avalanches were caused by temperature anomaly, heavy precipitation, climate warming, and seismic activity, etc., which act on the specific glacier properties in the high mountain regions. The study highlights scientific advances should support and benefit the remote and vulnerable mountain communities to make mountain regions safer. Full article
Show Figures

Figure 1

28 pages, 15948 KB  
Article
Impact of Ground Improvement on Soil Dynamic Properties and Design Spectrum
by Zeynep Kayışoğlu, Sami Oğuzhan Akbaş and İlker Kalkan
Buildings 2026, 16(2), 270; https://doi.org/10.3390/buildings16020270 - 8 Jan 2026
Viewed by 21
Abstract
Turkey is located on an active seismic belt, making the accurate determination of soil properties and earthquake effects essential for safe and reliable structural design. This study investigates the influence of ground improvement on the dynamic behavior of the soil at the construction [...] Read more.
Turkey is located on an active seismic belt, making the accurate determination of soil properties and earthquake effects essential for safe and reliable structural design. This study investigates the influence of ground improvement on the dynamic behavior of the soil at the construction site of the 950-bed Aydın City Hospital. Evaluations were carried out in terms of the dominant period, local site class and spectral characteristics to assess the effectiveness of the improvement applications. For this purpose, field tests conducted before the improvement were repeated afterward and the obtained data were compared. Local site classes were determined for both unimproved and improved soil conditions based on the relevant seismic code provisions. Furthermore, using site-specific data, nonlinear time-history analyses were performed and site-specific response spectra were obtained for 11 earthquake records at DD-1 and DD-2 seismic hazard levels (return periods of 475 and 2475 years). These spectra were then compared with the corresponding design spectra. The analyses revealed that ground improvement significantly affects not only the bearing capacity and liquefaction potential but also the dynamic behavior, dominant period and local site class of the soil. Full article
(This article belongs to the Section Building Structures)
18 pages, 16226 KB  
Article
Liquefaction Hazard Assessment and Mapping Across the Korean Peninsula Using Amplified Liquefaction Potential Index
by Woo-Hyun Baek and Jae-Soon Choi
Appl. Sci. 2026, 16(2), 612; https://doi.org/10.3390/app16020612 - 7 Jan 2026
Viewed by 57
Abstract
Liquefaction is a critical mechanism amplifying earthquake-induced damage, necessitating systematic hazard assessment through spatially distributed mapping. This study presents a nationwide liquefaction hazard assessment framework for South Korea, integrating site classification, liquefaction potential index (LPI) computation, and probabilistic damage evaluation. Sites across the [...] Read more.
Liquefaction is a critical mechanism amplifying earthquake-induced damage, necessitating systematic hazard assessment through spatially distributed mapping. This study presents a nationwide liquefaction hazard assessment framework for South Korea, integrating site classification, liquefaction potential index (LPI) computation, and probabilistic damage evaluation. Sites across the Korean Peninsula were stratified into five geotechnical categories (S1–S5) based on soil characteristics. LPI values were computed incorporating site-specific amplification coefficients for nine bedrock acceleration levels corresponding to seismic recurrence intervals of 500, 1000, 2400, and 4800 years per Korean seismic design specifications. Subsurface characterization utilized standard penetration test (SPT) data from 121,821 boreholes, with an R-based analytical program enabling statistical processing and spatial visualization. Damage probability assessment employed Iwasaki’s LPI severity classification across site categories. Results indicate that at 0.10 g peak ground acceleration (500-year event), four regions exhibit severe liquefaction susceptibility. This geographic footprint expands to seven regions at 0.14 g (1000-year event) and eight regions at 0.18 g. For the 2400-year design basis earthquake (0.22 g), all eight identified high-risk zones reach critical thresholds simultaneously. Site-specific analysis reveals stark contrasts in vulnerability: S2 sites demonstrate 99% very low to low damage probability, whereas S3, S4, and S5 sites face 33%, 51%, and 99% severe damage risk, respectively. This study establishes a scalable, evidence-based framework enabling efficient large-scale liquefaction hazard assessment for governmental risk management applications. Full article
(This article belongs to the Special Issue Soil Dynamics and Earthquake Engineering)
Show Figures

Figure 1

18 pages, 5333 KB  
Article
Application of Various Geophysical Methods in the Characterization of the Xiannüshan Fault Zone
by Jingan Luo, Song Lin, Wenxiu Ding, Cong Jin, Miao Cheng, Xiaohu Deng, Yanlin Fu and Hongwei Zhou
Appl. Sci. 2026, 16(2), 594; https://doi.org/10.3390/app16020594 - 6 Jan 2026
Viewed by 224
Abstract
The Xiannüshan Fault Zone, located in the southwestern part of the Huangling Anticline within the Three Gorges Reservoir area of Hubei Province, is one of the largest and most complex faults in the region. The geological structures of its different segments vary significantly. [...] Read more.
The Xiannüshan Fault Zone, located in the southwestern part of the Huangling Anticline within the Three Gorges Reservoir area of Hubei Province, is one of the largest and most complex faults in the region. The geological structures of its different segments vary significantly. Previous studies have primarily focused on the northern segment and often relied on single geophysical methods, which are insufficient for detailed characterization of the entire fault zone. Based on existing geological data, field reconnaissance results, and the geological characteristics of different segments of the fault zone, we employed multiple geophysical methods for a varied investigation: shallow seismic reflection in the northern segment; a combination of waterborne seismic exploration and microtremor survey in the middle segment; and high-density resistivity in the southern segment. The integrated approach revealed the spatial extent, fault geometry, and activity characteristics of each segment, confirming that the Xiannüshan Fault Zone is a pre-Quaternary structure dominated by thrusting. The findings provide a critical scientific basis for regional seismic hazard assessment and disaster mitigation planning, while also establishing a technical framework with significant practical application value for detailed fault characterization in geologically complex environments. Full article
(This article belongs to the Special Issue State-of-the-Art Earth Sciences and Geography in China)
Show Figures

Figure 1

21 pages, 20951 KB  
Article
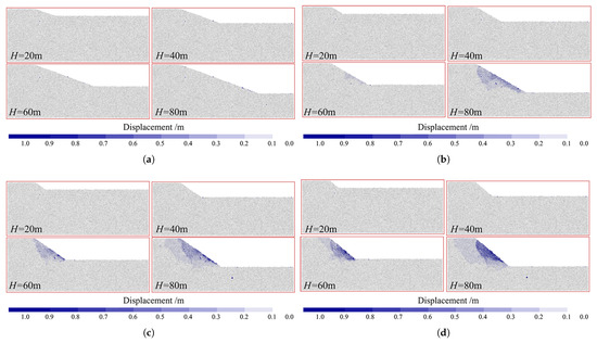
Study of the Mining Depth of Tailings Considering the Stability of Existing Open-Pit Slopes
by Haiyu Ji, Chong Li, Xinfeng Yang, Yanchang Li, Shaodong Li and Shuzhao Feng
Appl. Sci. 2026, 16(2), 577; https://doi.org/10.3390/app16020577 - 6 Jan 2026
Viewed by 151
Abstract
The recovery and comprehensive utilization of tailings resources can effectively mitigate or eliminate safety hazards in the upper zones of open-pit mines. To ensure the safe recovery of accumulated tailings and enhance resource utilization efficiency, this study establishes a two-dimensional model based on [...] Read more.
The recovery and comprehensive utilization of tailings resources can effectively mitigate or eliminate safety hazards in the upper zones of open-pit mines. To ensure the safe recovery of accumulated tailings and enhance resource utilization efficiency, this study establishes a two-dimensional model based on the Discrete Element Method (DEM) for the overall stability of tailings recovery, which is integrated with the existing slope and ore pillar models of the open-pit mine. Leveraging the mechanical parameters of tailings and waste rock obtained from laboratory tests, this study systematically investigates the effects of tailings recovery on the stability of existing slopes. Results show that due to differences in fracture characteristics and tailings reserves, complete tailings extraction causes no landslides in some sections, but large-scale or varying landslides occur on southern/northern flank slopes in specific sections at certain excavation depths or after full extraction. Targeted recovery recommendations are proposed: “segmented excavation with bench reservation” prevents overall landslides on southern flank slopes of landslide-prone sections; 35° slope cutting ensures stability of northern flank slopes in all sections. Further field verification considering rainfall and seismic loading factors is required for practical applications. Full article
Show Figures

Figure 1

22 pages, 5307 KB  
Article
Proposed Application of a Tree-Based Model for a Priority Scenario Restoration Plan for a Water Distribution Network
by Samantha Louise N. Jarder and Lessandro Estelito O. Garciano
Water 2026, 18(1), 131; https://doi.org/10.3390/w18010131 - 5 Jan 2026
Viewed by 254
Abstract
Hazard impacts are increasing in complexity as the world population grows. No universal strategies are available to minimize or eliminate the impacts of all scenarios. In this paper, a priority scenario-based strategy methodology is proposed using a Decision Tree (DT) machine learning tool. [...] Read more.
Hazard impacts are increasing in complexity as the world population grows. No universal strategies are available to minimize or eliminate the impacts of all scenarios. In this paper, a priority scenario-based strategy methodology is proposed using a Decision Tree (DT) machine learning tool. This approach identifies the parameters and combinations that contribute to high impact and loss from a hazard event conditioned on a priority scenario. The method is applied to a local water distribution network under seismic hazards. The priority scenarios in this study are vulnerability (VPS), damage (DPS), and cost (CPS). Each priority scenario identifies different affected areas. Some areas were repeatedly affected in different priority scenarios, showing an overlap of effects and making them a high crucial priority. Based on the analysis, a priority-based map was generated, highlighting areas that should be given priority for restoration or protection. The DTs were compared with other ML tools and Tree-based models to ascertain the best tool that determines the affected parameters. Competition tests compared the results from the ML tools and showed acceptable predictions; however, the DT was demonstrated to be the most ideal tool for this proposed method, showing an r2 of 0.6745, 0.9259, and 0.7343 for VPS, DPS, and CPS, respectively. Full article
(This article belongs to the Topic Geospatial AI: Systems, Model, Methods, and Applications)
Show Figures

Figure 1

26 pages, 10873 KB  
Article
Prediction of Coseismic Landslides by Explainable Machine Learning Methods
by Tulasi Ram Bhattarai, Netra Prakash Bhandary and Kalpana Pandit
GeoHazards 2026, 7(1), 7; https://doi.org/10.3390/geohazards7010007 - 2 Jan 2026
Viewed by 281
Abstract
The MJMA 7.6 (Mw 7.5) Noto Peninsula Earthquake of 1 January 2024 in Japan triggered widespread slope failures across northern Noto region, but their spatial controls and susceptibility patterns remain poorly quantified. Most previous studies have focused mainly on fault rupture, ground [...] Read more.
The MJMA 7.6 (Mw 7.5) Noto Peninsula Earthquake of 1 January 2024 in Japan triggered widespread slope failures across northern Noto region, but their spatial controls and susceptibility patterns remain poorly quantified. Most previous studies have focused mainly on fault rupture, ground deformation, and tsunami impacts, leaving a clear gap in machine learning based assessment of earthquake-induced slope failures. This study integrates 2323 mapped landslides with eleven conditioning factors to develop the first data-driven susceptibility framework for the 2024 event. Spatial analysis shows that 75% of the landslides are smaller than 3220 m2 and nearly half occurred within about 23 km of the epicenter, reflecting concentrated ground shaking beyond the rupture zone. Terrain variables such as slope (mean 31.8°), southwest-facing aspects, and elevations of 100–300 m influenced the failure patterns, along with peak ground acceleration values of 0.8–1.1 g and proximity to roads and rivers. Six supervised machine learning models were trained, with Random Forest and Gradient Boosting achieving the highest accuracies (AUC = 0.95 and 0.94, respectively). Explainable AI using SHapley Additive exPlanations (SHAP) identified slope, epicentral distance, and peak ground acceleration as the dominant predictors. The resulting susceptibility maps align well with observed failures and provide an interpretable foundation for post-earthquake hazard assessment and regional risk reduction. Further work should integrate post-seismic rainfall, multi-temporal inventories, and InSAR deformation to support dynamic hazard assessment and improved early warning. Full article
(This article belongs to the Special Issue Landslide Research: State of the Art and Innovations)
Show Figures

Figure 1

31 pages, 3447 KB  
Article
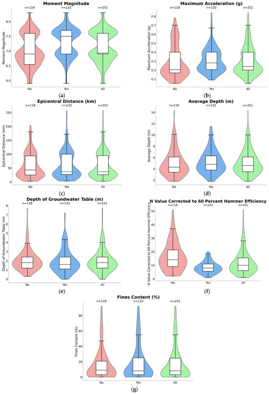
Interpretable AI for Site-Adaptive Soil Liquefaction Assessment
by Emerzon Torres and Jonathan Dungca
Geosciences 2026, 16(1), 25; https://doi.org/10.3390/geosciences16010025 - 2 Jan 2026
Viewed by 288
Abstract
Soil liquefaction remains a critical geotechnical hazard during earthquakes, posing significant risks to infrastructure and urban resilience. Traditional empirical methods, while practical, often fall short in capturing complex parameter interactions and providing interpretable outputs. This study presents an interpretable machine learning (IML) framework [...] Read more.
Soil liquefaction remains a critical geotechnical hazard during earthquakes, posing significant risks to infrastructure and urban resilience. Traditional empirical methods, while practical, often fall short in capturing complex parameter interactions and providing interpretable outputs. This study presents an interpretable machine learning (IML) framework for soil liquefaction assessment using Rough Set Theory (RST) to generate a transparent, rule-based predictive model. Leveraging a standardized SPT-based case history database, the model induces IF–THEN rules that relate seismic and geotechnical parameters to liquefaction occurrence. The resulting 25-rule set demonstrated an accuracy of 86.2% and strong alignment (93.8%) with the widely used stress-based semi-empirical model. Beyond predictive performance, the model introduces scenario maps and parameter interaction diagrams that elucidate key thresholds and interdependencies, enhancing its utility for engineers, planners, and policymakers. Notably, the model reveals that soils with high fines content can still be susceptible to liquefaction under strong shaking, and that epicentral distance plays a more direct role than previously emphasized. By balancing interpretability and predictive strength, this rule-based approach advances site-adaptive, explainable, and technically grounded liquefaction assessment—bridging the gap between traditional methods and intelligent decision support in geotechnical engineering. Full article
Show Figures

Figure 1

19 pages, 1041 KB  
Article
Smart Prediction of Rockburst Risks Using Microseismic Data and K-Nearest Neighbor Classification
by Mahmood Ahmad, Zia Ullah, Sabahat Hussan, Abdullah Alzlfawi, Rohayu Che Omar, Shay Haq, Feezan Ahmad and Muhammad Naveed Khalil
GeoHazards 2026, 7(1), 5; https://doi.org/10.3390/geohazards7010005 - 1 Jan 2026
Viewed by 128
Abstract
Effective mitigation of geotechnical risk and safety management of underground mine requires accurate estimation of rockburst damage potential. The inherent complexity of the rockburst phenomena due to nonlinear, high dimensional, and interdependent nature of the geological factors involved, however, makes predictive modeling a [...] Read more.
Effective mitigation of geotechnical risk and safety management of underground mine requires accurate estimation of rockburst damage potential. The inherent complexity of the rockburst phenomena due to nonlinear, high dimensional, and interdependent nature of the geological factors involved, however, makes predictive modeling a difficult task. The proposed research is based on the use of the K-Nearest Neighbor (KNN) algorithm to predict the risk of rockbursts with the use of microseismic monitoring data. Several key features like the ratio of total maximum principal stress to uniaxial compressive strength, energy capacity of support system, excavation span, geology factor, Richter magnitude of seismic event, distance between rockburst location and microseismic event, and rock density were applied as input parameters to extract critical rockburst precursor activities. In the test stage, the proposed KNN model recorded an accuracy of 75.50%, a precision of 0.913, a recall value of 0.509, and F1 Score of 0.576. The model is reliable with a significant performance indicating its efficacy in practice. The KNN model showed better classification results as compared to recently available models in literature and provided better generalization and interpretability. The model exhibited high prediction in classified low-risk incidents and had strong indicative capabilities towards high-risk situations, attributed to being a useful tool in rockburst hazard measurement. Full article
Show Figures

Figure 1

21 pages, 45399 KB  
Article
Co-Seismic Landslide Detection Combining Multiple Classifiers Based on Weighted Voting: A Case Study of the Jiuzhaigou Earthquake in 2017
by Yaohui Liu, Xinkai Wang, Jie Zhou and Zhengguang Zhao
GeoHazards 2026, 7(1), 3; https://doi.org/10.3390/geohazards7010003 - 1 Jan 2026
Viewed by 220
Abstract
Co-seismic landslides are major secondary hazards in earthquakes, and their rapid detection is essential for emergency response, disaster assessment, and post-earthquake reconstruction. However, single classifiers often fail to meet practical detection requirements. This study proposes WPU, a weighted-voting-based multi-classifier method that assigns category-specific [...] Read more.
Co-seismic landslides are major secondary hazards in earthquakes, and their rapid detection is essential for emergency response, disaster assessment, and post-earthquake reconstruction. However, single classifiers often fail to meet practical detection requirements. This study proposes WPU, a weighted-voting-based multi-classifier method that assigns category-specific weights using the producer’s accuracy and user’s accuracy. A case study was conducted in Jiuzhaigou County, Sichuan Province, China, affected by the Ms 7.0 earthquake on 8 August 2017. A dataset of 193 co-seismic landslides was built through manual interpretation, and six commonly used remote-sensing-based detection methods were employed. The WPU method fused the outputs of all classifiers using PA- and UA-based weights. Results show that WPU achieved an overall accuracy of 0.9755 and a Kappa coefficient of 0.7848, demonstrating substantial improvement over individual classifiers while maintaining efficiency and timeliness. The proposed approach supports rapid emergency assessment and enhances the effectiveness of co-seismic landslide detection, providing a valuable reference for future post-earthquake hazard evaluations and enabling governments to respond more quickly to landslide disasters. Full article
(This article belongs to the Special Issue Landslide Research: State of the Art and Innovations)
Show Figures

Figure 1

33 pages, 26156 KB  
Article
Multi-Hazard Risk Assessment in Historic City Centers at the District and Building Levels: An Open-Source GIS Workflow
by Teresa Fortunato, Mariella De Fino and Fabio Fatiguso
Appl. Sci. 2026, 16(1), 351; https://doi.org/10.3390/app16010351 - 29 Dec 2025
Viewed by 357
Abstract
Historic city centers are characterized by dense and heterogeneous built environments, making them particularly vulnerable to the compound effects of seismic, flood, and landslide hazards. In this context, information required for vulnerability and risk assessment is often fragmented, limiting the effectiveness of preventive [...] Read more.
Historic city centers are characterized by dense and heterogeneous built environments, making them particularly vulnerable to the compound effects of seismic, flood, and landslide hazards. In this context, information required for vulnerability and risk assessment is often fragmented, limiting the effectiveness of preventive planning and mitigation strategies. This reveals an operational gap in current practice; therefore, this work aims to support decision-oriented, multi-level assessment in historic centers through a replicable approach, even in low-resource contexts. A GIS workflow integrates territorial multi-hazard screening with building-scale overlay mapping of literature-based vulnerability, exposure, and risk classes. Applied to Montalbano Jonico (Italy), the screening analyzed 15 census sections and identified three hotspot areas within the historic center for detailed assessment. Within these critical areas, building-scale mapping yields intervention priorities: 42.8% of building aggregates show High–Very High seismic vulnerability (44.4% in Very High–Maximum Priority risk classes) and 50% show Very High landslide vulnerability (63.2% in Very High–Maximum Priority risk classes), mostly affecting masonry and residential buildings. Overall, the framework provides a practical decision tool to support municipal administrations, technical offices, civil protection agencies, and built heritage management institutions, and is designed for GIS–BIM interoperability. Full article
(This article belongs to the Section Civil Engineering)
Show Figures

Figure 1

31 pages, 4459 KB  
Article
A Study on the Increase in Measured Methane Concentration Values During the 2024 Noto Peninsula Earthquake
by Ryosaku Kaji
Atmosphere 2026, 17(1), 39; https://doi.org/10.3390/atmos17010039 - 27 Dec 2025
Viewed by 190
Abstract
This study aims to demonstrate the presence of a pronounced coseismic increase in atmospheric methane concentrations during the 2024 Noto Peninsula Earthquake and to examine whether this increase may have originated from underground natural gas release. By analyzing hourly CH4 data from [...] Read more.
This study aims to demonstrate the presence of a pronounced coseismic increase in atmospheric methane concentrations during the 2024 Noto Peninsula Earthquake and to examine whether this increase may have originated from underground natural gas release. By analyzing hourly CH4 data from the Ministry of the Environment’s monitoring network, this study shows that significant methane increases occurred only in areas with seismic intensity of 6– or greater, and that an exceptional anomaly—reaching 29 times the standard deviation of the past year—was recorded at the Nanao station. The validity of this anomaly was confirmed through consultation with local atmospheric officer, and high-time-resolution data (6 min values) were provided, verifying continuous instrument operation. Detailed analysis further shows that two major methane peaks occurred, each rising not immediately after the main shock but synchronously with two large aftershocks approximately 8 and 44 min later. Geological and hydrogeological information indicates the presence of water-soluble gas and unsaturated hydrocarbons beneath the Nanao region, suggesting that seismic shaking may have ruptured clay layers and released accumulated gas. Analyses of public reports and interviews with local officials show that alternative explanations—such as fire smoke, pipeline rupture, instrument malfunction, and gas-cylinder damage—were unlikely. These findings indicate that the observed methane anomaly was most likely caused by earthquake-synchronous underground gas release, suggesting that methane-release risk should be considered in post-earthquake fire-hazard assessments. Full article
Show Figures

Figure 1

30 pages, 6017 KB  
Review
A Review of Inter-Modular Connections for Volumetric Cross-Laminated Timber Modular Buildings
by Juan S. Zambrano-Jaramillo and Erica C. Fischer
Buildings 2026, 16(1), 78; https://doi.org/10.3390/buildings16010078 - 24 Dec 2025
Viewed by 322
Abstract
The application of volumetric modular construction using Cross-Laminated Timber (CLT) has emerged as a sustainable and efficient alternative to traditional building methods, especially in residential and mid-rise structures. However, the widespread adoption of this technology remains limited due to the lack of standardized [...] Read more.
The application of volumetric modular construction using Cross-Laminated Timber (CLT) has emerged as a sustainable and efficient alternative to traditional building methods, especially in residential and mid-rise structures. However, the widespread adoption of this technology remains limited due to the lack of standardized inter-modular connection systems. This paper presents a comprehensive state-of-the-art review of inter-modular connections used in volumetric CLT modular buildings. This review aims to evaluate the inter-modular connections by developing performance objectives and identifying gaps in knowledge of volumetric CLT inter-modular connections. It begins with an overview of global CLT modular construction trends, highlighting geographic distribution, structural demands, and environmental hazards such as seismic and wind exposure. Seven representative connection systems were identified from the literature and assessed using a multi-criteria framework comprising structural performance, manufacturing feasibility, on-site construction efficiency, and experimental and numerical evaluation. Each connection was scored according to defined evaluation metrics, and the results were provided to identify key strengths and limitations. The top-performing systems demonstrated superior resilience, modular adaptability, and validation through experimental testing and simulation. The paper identified critical research gaps, including limited performance data available for seismic applications, challenges in disassembly and reuse specifications, and the need for adaptable, damage-tolerant systems to enhance building structural performance. These findings provide a reference evaluation methodology for future development of inter-modular connections, to expand the applicability of volumetric CLT modular construction in moderate and high seismic and wind hazard regions. Full article
(This article belongs to the Section Building Structures)
Show Figures

Figure 1

Back to TopTop