Full-Scale Experimental Investigation of the Interaction between Trains and Tunnels
Abstract
Featured Application
Abstract
1. Introduction
1.1. The Overpressure in Tunnel Phenomenon
- ΔPN, the sudden and positive leap due to the entry of the train nose in the tunnel;
- ΔPFR, another increase in pressure with much lower slope due to the friction effects caused by the entry of the train body into the tunnel;
- ΔPT, the sudden and negative drop generated by the entry of the train tail in the tunnel.
1.2. The Importance of Full-Scale Experimental Tests
- The limits for the pressure signature ΔPs [1];
- A health criterion to prevent ear damage for weaker people (young babies, ill people, specific disease) [3];
- Basic criteria for pressure comfort on-board during tunnel crossings [7];
- Structural dimensioning for interoperability [2].
2. Trackside Tests
2.1. Speed Influence
2.2. Initial Conditions Influence
“The tunnel should have constant cross section, no airshafts and no residual pressures waves. Ideally there should be no initial air flow in the tunnel. However, if there is, its influence on the measurements should be checked.”
2.3. Track Side Influence
3. On-Board Tests
3.1. Experimental Setup
3.1.1. Sealed Train
3.1.2. Unsealed Train
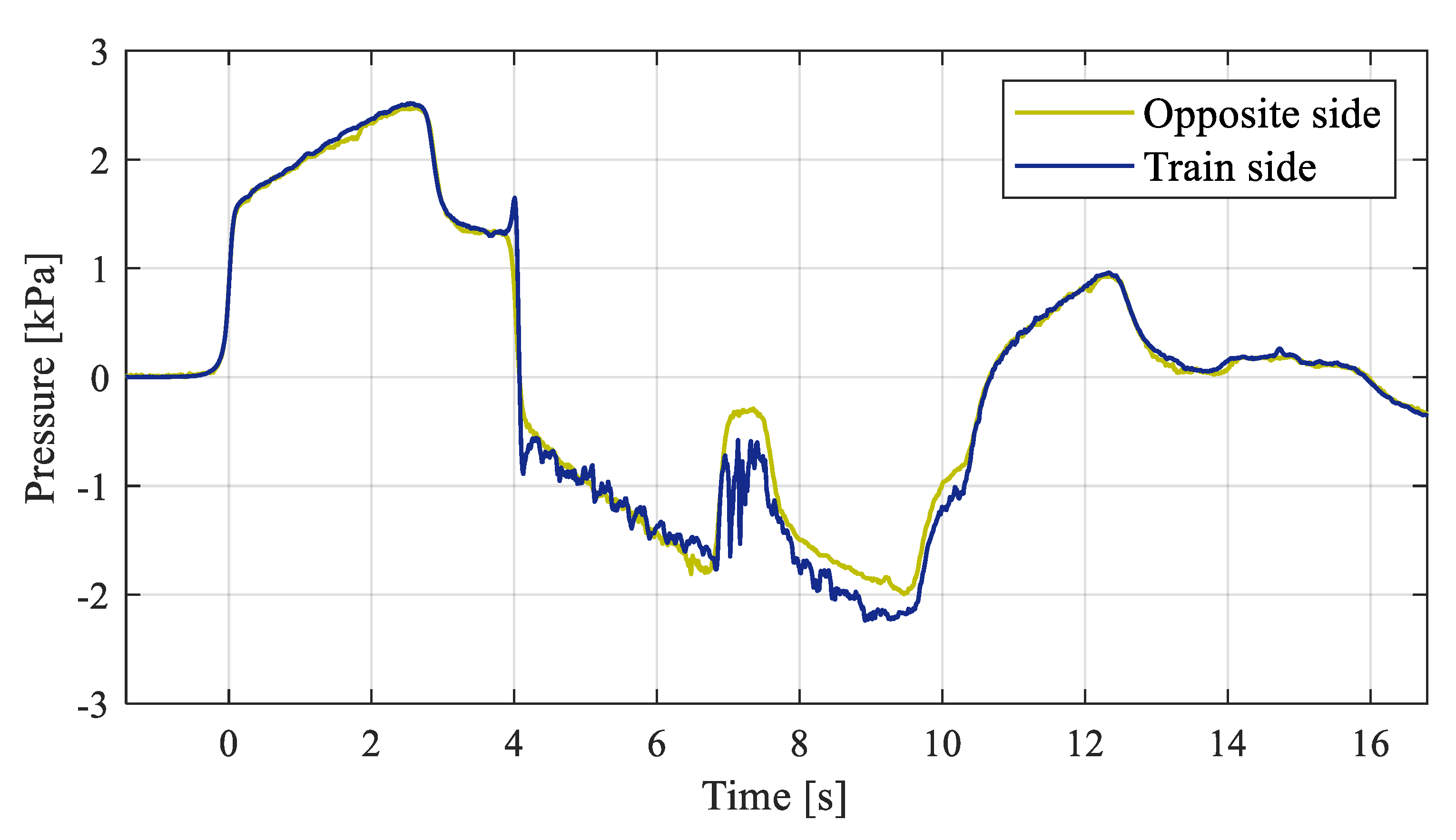
3.2. External Pressure
3.2.1. Single Train Case
3.2.2. Crossing of Two Trains
3.3. Inner Pressure
Pressurized Trains
4. Conclusions
- The initial conditions within the tunnel highly modifies the pressure signature;
- The position of the sensors is fundamental to properly estimate the pressure loads.
- A limit value on the flow speed or a corrective formula that also takes into account environmental data, e.g., pressure, temperature, and density, should be defined;
- Since the 10 kPa health criterion could be exceeded for a few tenths of seconds due to fluctuations in the wake region, deeper specifications on this topic are needed;
- To properly estimate the aerodynamic loads, the measurement of the external pressure on both sides and the internal pressure in at least one point per car should be specified.
Author Contributions
Funding
Conflicts of Interest
References
- Baker, C.J.; Sterling, M. Current and Recent International Work on Railway Aerodynamics. Available online: https://www.yumpu.com/en/document/view/25887515/current-international-work-on-railway-aerodynamics-rssb (accessed on 15 October 2020).
- Baker, C. The flow around high speed trains. J. Wind. Eng. Ind. Aerodyn. 2010, 98, 277–298. [Google Scholar] [CrossRef]
- Baker, C.; Johnson, T.; Flynn, D.; Hemida, H.; Quinn, A.; Soper, D.; Sterling, M. Train Aerodynamics: Fundamentals and Applications; Butterworth-Heinemann: Oxford, UK, 2019. [Google Scholar] [CrossRef]
- Rocchi, D.; Tomasini, G.; Schito, P.; Somaschini, C. Wind effects induced by high speed train pass-by in open air. J. Wind. Eng. Ind. Aerodyn. 2018, 173, 279–288. [Google Scholar] [CrossRef]
- Somaschini, C.; Argentini, T.; Rocchi, D.; Schito, P.; Tomasini, G. A new methodology for the assessment of the running resistance of trains without knowing the characteristics of the track: Application to full-scale experimental data. J. Rail Rapid Transit 2018, 232, 1814–1827. [Google Scholar] [CrossRef]
- TSI; HS; RST. Technical specification for interoperability relating to the ‘rolling stock’ sub-system of the trans-European high-speed rail system. Off. J. Eur. Union 2008, L84, 132–392. [Google Scholar]
- TSI; RST; LOC; PAS. Technical specification for interoperability relating to the ‘rolling stock-locomotives and passenger rolling stock’ subsystem of the rail system in the entire European Union. Off. J. Eur. Union 2014, L356, 228–393. [Google Scholar]
- TSI; HS; INF. Technical specification for interoperability relating to the ‘infrastructure’ subsystem of the rail system in the European Union. Off. J. Eur. Union 2014, L356, 1–109. [Google Scholar]
- EN14067–2. Railway Applications—Aerodynamics—Part 2: Aerodynamics on Open Track; European Committee for Standardization (CEN): Brussels, Belgium, 2003. [Google Scholar]
- EN14067–3. Railway Applications—Aerodynamics—Part 3: Aerodynamics in Tunnels; European Committee for Standardization (CEN): Brussels, Belgium, 2003. [Google Scholar]
- EN14067–4. Railway Applications—Aerodynamics—Part 4: Requirements and Test Procedures for Aerodynamics on Open Track; European Committee for Standardization (CEN): Brussels, Belgium, 2013. [Google Scholar]
- EN14067–5. Railway Applications—Aerodynamics—Part 5: Requirements and Test Procedures for Aerodynamics in Tunnels; European Committee for Standardization (CEN): Brussels, Belgium, 2006. [Google Scholar]
- Bionda, S.; Cazzulani, G.; Di Gialleonardo, E.; Braghin, F. Homologation Tests of ETR1000-V300ZEFIRO train up to 350 km/h. In Proceedings of the 15th Conference on Vehicle System Dynamics, Identification and Anomailes, Budapest, Hungary, 7–9 November 2016. [Google Scholar]
- Somaschini, C.; Matsuoka, K.; Collina, A. Experimental analysis of a composite bridge under high-speed train passages. Procedia Eng. 2017, 199, 3071–3076. [Google Scholar] [CrossRef]
- Bucca, G.; Carnevale, M.; Comolli, L.; Facchinetti, A.; Cavaliere, F.; Pancari, G.; Brughera, F.; Noviello, G. Assessment of current collection quality of ETR1000-V300 Zefiro pantograph: An innovative measurement set-up and test results. In Proceedings of the 11th World Congress on Railway Research, Milan, Italy, 29 May–2 June 2016. [Google Scholar]
- Rocchi, D.; Schito, P.; Somaschini, C.; Tomasini, G.; Argentini, T.; Barbone, L.; Sima, M.; Bocciolini, L.; Galeazzo, G. Measurement of the aerodynamic features of the ETR1000-V300Zefiro high-speed train. In Proceedings of the 11th World Congress on Railway Research, Milan, Italy, 29 May–2 June 2016. [Google Scholar]
- Matsuoka, K.; Collina, A.; Somaschini, C.; Sogabe, M. Influence of local deck vibrations on the evaluation of the maximum acceleration of a steel-concrete composite bridge for a high-speed railway. Eng. Struct. 2019, 200, 109736. [Google Scholar] [CrossRef]
- Liu, T.-H.; Tian, H.-Q.; Liang, X.-F. Aerodynamic Effects Caused by Trains Entering Tunnels. J. Transp. Eng. 2010, 136, 846–853. [Google Scholar] [CrossRef]
- Mancini, G.; Malfatti, A. Full Scale Measurements on High Speed Train ETR 500 Passing in Open Air and in Tunnels of Italian High-Speed Line. In TRANSAERO—A European Initiative on Transient Aerodynamics for Railway System Optimisation; Springer: Berlin/Heidelberg, Germany, 2002; pp. 101–122. [Google Scholar]
- Quinn, A.D.; Baker, C.J.; Hemida, H.; Gallagher, M.; Morden, J.; Soper, D. The Measurement of Train Aerodynamic Parameters in Operational On-Vehicle Measurements. In Proceedings of the Aerovehicles2, Second International Conference in Numerical and Experimental Aerodynamics of Road Vehicles and Trains, Goteborg, Sweden, 21–23 June 2016. [Google Scholar]
- Sakuma, Y.; Suzuki, M. Measurement of Velocity and Pressure Fluctuations around High-Speed Train Running in Tunnel. In Proceedings of the 9th World Congress on Railway Research, Lille, France, 22–26 May 2011. [Google Scholar]
- Somaschini, C.; Rocchi, D.; Schito, P.; Tomasini, G. Numerical and Experimental Analysis of the Pressure Signature for different High-Speed Trains. Civ. Comp. Proc. 2015, 108. [Google Scholar] [CrossRef]
- Yun, S.-H.; Kwak, M.-H.; Lee, D.H.; Kwon, H.-B.; Ko, T.-H. Passive reduction of large pressure variation for a high-speed express train in a narrow tunnel using an extra dummy tunnel duct. J. Mech. Sci. Technol. 2010, 24, 1433–1440. [Google Scholar] [CrossRef]
- Xiong, X.; Zhu, L.; Zhang, J.; Li, A.; Li, X.; Tang, M. Field measurements of the interior and exterior aerodynamic pressure induced by a metro train passing through a tunnel. Sustain. Cities Soc. 2020, 53, 101928. [Google Scholar] [CrossRef]
- Liu, T.-H.; Chen, X.-D.; Li, W.-H.; Xie, T.-Z.; Chen, Z.-W. Field study on the interior pressure variations in high-speed trains passing through tunnels of different lengths. J. Wind. Eng. Ind. Aerodyn. 2017, 169, 54–66. [Google Scholar] [CrossRef]
- Liu, T.; Jiang, Z.; Chen, X.; Zhang, J.; Liang, X. Wave effects in a realistic tunnel induced by the passage of high-speed trains. Tunn. Undergr. Space Technol. 2019, 86, 224–235. [Google Scholar] [CrossRef]
- Howe, M.; Cox, E. Reflection and transmission of a compression wave at a tunnel portal. J. Fluids Struct. 2005, 20, 1043–1056. [Google Scholar] [CrossRef]
- Baron, A.; Molteni, P.; Vigevano, L. High-speed trains: Prediction of micro-pressure wave radiation from tunnel portals. J. Sound Vib. 2006, 296, 59–72. [Google Scholar] [CrossRef]
- Barrow, H.; Pope, C. A simple analysis of flow and heat transfer in railway tunnels. Int. J. Heat Fluid Flow 1987, 8, 119–123. [Google Scholar] [CrossRef]
- Vardy, A.; Brown, J. An Overview of Wave Propagation in Tunnels. In TRANSAERO—A European Initiative on Transient Aerodynamics for Railway System Optimisation; Springer: Berlin/Heidelberg, Germany, 2002; pp. 249–266. [Google Scholar]
- Bourquin, V.; Beguin, C.; Monkewitz, P.A. Aerodynamic Effects in Railway Tunnels as Speed is Increased. In The Aerodynamics of Heavy Vehicles: Trucks, Buses, and Trains; Springer: Berlin/Heidelberg, Germany, 2004; Volume 19, pp. 431–441. [Google Scholar] [CrossRef]
- Howe, M. Influence of train Mach number on the compression wave generated in a tunnel-entrance hood. J. Eng. Math. 2003, 46, 147–163. [Google Scholar] [CrossRef]
- Howe, M.S. Review of the theory of the compression wave generated when a high-speed train enters a tunnel. Proc. Inst. Mech. Eng. Part F J. Rail Rapid Transit 1999, 213, 89–104. [Google Scholar] [CrossRef]
- Saito, S.; Fukuda, T. Design of a tunnel entrance hood for high-speed trains. J. Wind. Eng. Ind. Aerodyn. 2020, 206, 104375. [Google Scholar] [CrossRef]
- Knorzer, D. Technology Acquisition through the Research Framework Programmes of the European Union. In TRANSAERO—A European Initiative on Transient Aerodynamics for Railway System Optimisation; Springer: Berlin/Heidelberg, Germany, 2002; pp. 3–10. [Google Scholar]
- Schulte-Werning, B. The TRANSAERO Project—Joint European Railway Research on Transient Aerodynamics. In TRANSAERO—A European Initiative on Transient Aerodynamics for Railway System Optimisation; Springer: Berlin/Heidelberg, Germany, 2002; pp. 11–24. [Google Scholar]
- Faramehr, S.; Hemida, H. Aerodynamics of Trains in Tunnels. Civ. Comp. Proc. 2016, 110. [Google Scholar] [CrossRef]
- Pahlke, K. Application of the Standard Aeronautical CFD Method FLOWer to ETR 500 Tunnel Entry. In TRANSAERO—A European Initiative on Transient Aerodynamics for Railway System Optimisation; Springer: Berlin/Heidelberg, Germany, 2002. [Google Scholar]
- Wang, Y.; Yang, G.; Huang, C.; Wang, W. Influence of tunnel length on the pressure wave generated by high-speed trains passing each other. Sci. China Technol. Sci. 2011, 55, 255–263. [Google Scholar] [CrossRef]
- Nam, S.-W. Numerical simulation on wind pressure transients in high speed train tunnels. WIT Trans. Built Environ. 2014, 135, 905–913. [Google Scholar] [CrossRef]
- Wagner, S.; Ehrenfried, K.; Schröder, A. A Simplified Model of the Wave Generation Due to Train-Tunnel Entry. Lect. Notes Appl. Comput. Mech. 2016, 79, 161–173. [Google Scholar] [CrossRef]
- William-Louis, M.J.-P.; Gregoire, R. I-d Calculations of Pressure Fluctuations Outside and Inside a Pressure Sealed High-Speed Trainset Travelling Through Tunnels. In TRANSAERO—A European Initiative on Transient Aerodynamics for Railway System Optimisation; Springer: Berlin/Heidelberg, Germany, 2002; pp. 342–357. [Google Scholar]
- Wormstall, H.; Reitschuster, J. I-d Calculations of Pressure Change due to Passage of an ETR 500 through the Terranuova LeVille Tunnel. In TRANSAERO—A European Initiative on Transient Aerodynamics for Railway System Optimisation; Springer: Berlin/Heidelberg, Germany, 2002; pp. 358–366. [Google Scholar]
- William-Louis, M.; Tournier, C. A wave signature based method for the prediction of pressure transients in railway tunnels. J. Wind. Eng. Ind. Aerodyn. 2005, 93, 521–531. [Google Scholar] [CrossRef]
- Aoki, T.; Vardy, A.; Brown, J. Passive alleviation of micro-pressure waves from tunnel portals. J. Sound Vib. 1999, 220, 921–940. [Google Scholar] [CrossRef]
- Heine, D.; Ehrenfried, K. Experimental Study of the Pressure Rise due to Tunnel Entry of a High-Speed Train. In Notes on Numerical Fluid Mechanics and Multidisciplinary Design; Springer: Berlin/Heidelberg, Germany, 2014; Volume 124, pp. 335–342. [Google Scholar] [CrossRef]
- Howe, M.; Iida, M.; Fukuda, T.; Maeda, T. Theoretical and experimental investigation of the compression wave generated by a train entering a tunnel with a flared portal. J. Fluid Mech. 2000, 425, 111–132. [Google Scholar] [CrossRef]
- Iida, M.; Howe, M. Compression Wave Generated by a High-Speed Train Entering a Tunnel Fitted with a Hood with a Long Slit Window. J. Low Freq. Noise, Vib. Act. Control. 2007, 26, 227–247. [Google Scholar] [CrossRef]
- Uystepruyst, D.; William-Louis, M.; Creusé, E.; Nicaise, S.; Monnoyer, F. Efficient 3D numerical prediction of the pressure wave generated by high-speed trains entering tunnels by high-speed trains entering tunnels. Comput. Fluids 2011, 47, 165–177. [Google Scholar] [CrossRef]
- Heine, D.; Ehrenfried, K.; Heine, G.; Huntgeburth, S. Experimental and theoretical study of the pressure wave generation in railway tunnels with vented tunnel portals. J. Wind. Eng. Ind. Aerodyn. 2018, 176, 290–300. [Google Scholar] [CrossRef]
- Zonglin, J.; Matsuoka, K.; Sasoh, A.; Takayama, K. Numerical and experimental investigation of wave dynamic processes in high-speed train/tunnels. Acta Mech. Sin. 2002, 18, 209–226. [Google Scholar] [CrossRef][Green Version]
- Heine, D.; Ehrenfried, K.; ühnelt, H.; Lachinger, S.; Rudolph, M.; Vorwagner, A.; Saliger, F. Influence of the shape and size of cavities on pressure waves inside high-speed railway tunnels. J. Wind. Eng. Ind. Aerodyn. 2019, 189, 258–265. [Google Scholar] [CrossRef]
- Lu, Y.; Wang, T.; Yang, M.; Qian, B. The influence of reduced cross-section on pressure transients from high-speed trains intersecting in a tunnel. J. Wind. Eng. Ind. Aerodyn. 2020, 201, 104161. [Google Scholar] [CrossRef]
- Bourquin, V.; Monkewitz, M.; Monkewitz, P. Reduced-Scale Experiments for Railway Applications. In TRANSAERO—A European Initiative on Transient Aerodynamics for Railway System Optimisation; Springer: Berlin/Heidelberg, Germany, 2002. [Google Scholar]
- Bellenoue, M.; Kageyama, T. Reduced Scale Simulation of the Compression Wave Generated by the Entry of a High-Speed Train into a Tunnel. In TRANSAERO—A European Initiative on Transient Aerodynamics for Railway System Optimisation; Springer: Berlin/Heidelberg, Germany, 2002; pp. 206–216. [Google Scholar]
- Bellenoue, M.; Morinière, V.; Kageyama, T. Experimental 3-d simulation of the compression wave, due to train–tunnel entry. J. Fluids Struct. 2002, 16, 581–595. [Google Scholar] [CrossRef]
- Doi, T.; Ogawa, T.; Masubuchi, T.; Kaku, J. Development of an experimental facility for measuring pressure waves generated by high-speed trains. J. Wind. Eng. Ind. Aerodyn. 2010, 98, 55–61. [Google Scholar] [CrossRef]
- Johnson, T.; Dalley, S. 1/25 Scale Moving Model Tests for the TRANSAERO Project. In TRANSAERO—A European Initiative on Transient Aerodynamics for Railway System Optimisation; Springer: Berlin/Heidelberg, Germany, 2002; pp. 123–135. [Google Scholar]
- Yang, Q.-S.; Song, J.-H.; Yang, G.-W. A moving model rig with a scale ratio of 1/8 for high speed train aerodynamics. J. Wind. Eng. Ind. Aerodyn. 2016, 152, 50–58. [Google Scholar] [CrossRef]
- Deeg, P.; Eisenlauer, M.; Tielkes, T. Overview of aerodynamics studies and tests performed for new high speed line Erfurt—Leipzig/Halle. In Proceedings of the 13th International Conference & Exhibition, Edinburgh, UK, 30 June–1 July 2015. [Google Scholar]
- Hieke, M.; Gerbig, C.; Van Diepen, G.; Tielkes, T.; Miyachi, T. Field measurements of Micro-pressure wave mitigations of German new high-speed line Erfurt-Halle/Leipzig. In Proceedings of the 11th World Congress on Railway Research, Milan, Italy, 29 May–2 June 2016. [Google Scholar]
- Johnson, T. Measurements of the effect on pressures of a porous tunnel entrance using a moving model rig. In Proceedings of the World Congress on Railway Research, Kologn, Germany, 25–29 November 2001. [Google Scholar]
- Martínez, A.; Vega, E.; Gaite, J.; Meseguer, J. Pressure measurements on real high-speed trains travelling through tunnels. In Proceedings of the BBAA VI International Colloquium on Bluff Bodies Aerodynamics & Applications, Milano, Italy, 20–24 July 2008. [Google Scholar]
- Matschke, G.; Heine, C. Full Scale Tests on Pressure Wave Effects in Tunnels. In TRANSAERO—A European Initiative on Transient Aerodynamics for Railway System Optimisation; Springer: Berlin/Heidelberg, Germany, 2002; pp. 187–195. [Google Scholar]
- Li, X.-H.; Deng, J.; Chen, D.-W.; Xie, F.-F.; Zheng, Y. Unsteady simulation for a high-speed train entering a tunnel. J. Zhejiang Univ. A 2011, 12, 957–963. [Google Scholar] [CrossRef]
- Sima, M.; Barbone, L.; Galeazzo, G.; Gölz, P. Dynamic Pressure Tightness of Very High Speed Train ETR1000/V300ZEFIRO. In Proceedings of the 11th World Congress on Railway Research, Milan, Italy, 29 May–2 June 2016. [Google Scholar]

















| TIME | TRAIN | DIRECTION |
|---|---|---|
| 15:06:51 | ETR500 | Rm-Fi |
| 15:09:58 | Train (a) | Fi-Rm |
| 17:32:13 | ETR500 | Fi-Rm |
| 17:36:21 | Train (b) | Fi-Rm |
Publisher’s Note: MDPI stays neutral with regard to jurisdictional claims in published maps and institutional affiliations. |
© 2020 by the authors. Licensee MDPI, Basel, Switzerland. This article is an open access article distributed under the terms and conditions of the Creative Commons Attribution (CC BY) license (http://creativecommons.org/licenses/by/4.0/).
Share and Cite
Somaschini, C.; Argentini, T.; Brambilla, E.; Rocchi, D.; Schito, P.; Tomasini, G. Full-Scale Experimental Investigation of the Interaction between Trains and Tunnels. Appl. Sci. 2020, 10, 7189. https://doi.org/10.3390/app10207189
Somaschini C, Argentini T, Brambilla E, Rocchi D, Schito P, Tomasini G. Full-Scale Experimental Investigation of the Interaction between Trains and Tunnels. Applied Sciences. 2020; 10(20):7189. https://doi.org/10.3390/app10207189
Chicago/Turabian StyleSomaschini, Claudio, Tommaso Argentini, Elia Brambilla, Daniele Rocchi, Paolo Schito, and Gisella Tomasini. 2020. "Full-Scale Experimental Investigation of the Interaction between Trains and Tunnels" Applied Sciences 10, no. 20: 7189. https://doi.org/10.3390/app10207189
APA StyleSomaschini, C., Argentini, T., Brambilla, E., Rocchi, D., Schito, P., & Tomasini, G. (2020). Full-Scale Experimental Investigation of the Interaction between Trains and Tunnels. Applied Sciences, 10(20), 7189. https://doi.org/10.3390/app10207189

