Improving the Technological and Nutritive Properties of Gluten-Free Bread by Fresh Curd Cheese Enrichment
Abstract
1. Introduction
2. Materials and Methods
2.1. Raw Materials
2.2. Gluten-Free Bread Dough Preparation
2.3. MicrodoughLab Measurements
Mixing Curves
2.4. Dough Rheology Characterization
2.4.1. Steady-Shear Dough Behavior
2.4.2. Dynamic-Shear Dough Behavior
2.5. After-Baking Quality Parameters of the GFB
2.5.1. Bread Texture and Staling Kinetics
2.5.2. Breadmaking Properties
2.6. Nutritional Value of the GFB
2.7. Statistical Analysis
3. Results and Discussion
3.1. MicrodoughLab Mixing Curves
3.2. Dough Rheology Characterization
3.2.1. Gluten-Free Dough Flow Behavior
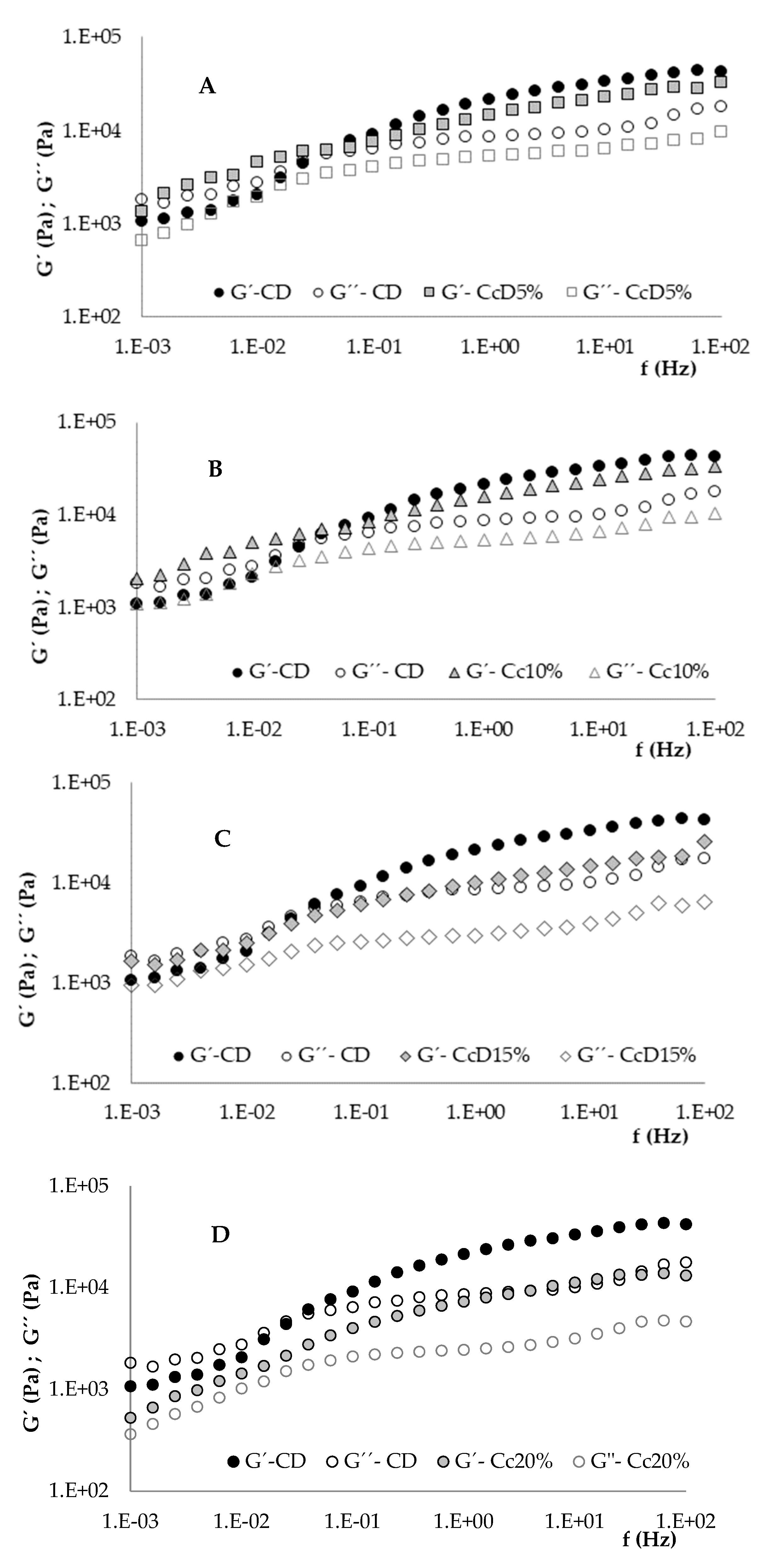
3.2.2. Gluten-Free Dough Viscoelastic Behavior
3.3. Quality Characterization of the Gluten-Free Bread
3.3.1. Bread Crumb Texture and Hardening Kinetics
3.3.2. After-Baking Parameters of the Gluten-Free Bread
3.4. The Relationship between Bread Quality and Dough Rheology Features
3.5. Nutritional Value of the Gluten-Free Bread
4. Conclusions
Author Contributions
Funding
Acknowledgments
Conflicts of Interest
References
- Pico, J.; Reguilon, M.P.; Bernal, L.; Gomez, M. Effect of rice, pea, egg white and whey proteins on crust quality of rice flour corn starch-based gluten-free breads. J. Cereal Sci. 2019, 86, 92–101. [Google Scholar] [CrossRef]
- Shin, M.; Gang, D.O.; Song, J.Y. Effects of protein and transglutaminase on the preparation of gluten-free bread. Food Sci. Biotechnol. 2010, 19, 951–956. [Google Scholar] [CrossRef]
- Kittisuban, P.; Ritthiruangdej, P.; Suphantharika, M. Optimization of hydroxyl propyl methylcellulose, yeast, b-glucan, and whey protein levels based on physical properties of gluten-free rice bread using response surface methodology. LWT-Food Sci. Technol. 2014, 57, 738–748. [Google Scholar] [CrossRef]
- Segura, M.E.M.; Rosell, C.M. Chemical composition and starch digestibility of different gluten-free breads. Plant Foods Hum. Nutr. 2011, 66, 224–230. [Google Scholar] [CrossRef] [PubMed]
- Martins, R.B.; Nunes, M.C.; Ferreira, M.M.L.; Peres, J.A.; Barros, A.I.R.N.A.; Raymundo, A. Impact of a corn flour on gluten-free dough rheology properties. Foods 2020, 9, 560. [Google Scholar] [CrossRef] [PubMed]
- Buresova, I.; Tokar, M.; Marecek, J.; Hivna, L.; Famera, O.; Sottníkova, V. The comparison of the effect of added amaranth, buckwheat, chickpea, corn, millet and quinoa flour on rice dough rheological characteristics, textural and sensory quality of bread. J. Cereal Sci. 2017, 75, 158–164. [Google Scholar] [CrossRef]
- Hager, A.-S.; Arendt, E. Influence of hydroxy-propyl-methylcellulose (HPMC), xanthan gum and their combination on loaf specific volume, crumb hardness and crumb grain characteristics of gluten-free breads based on rice, maize, teff and buckwheat. Food Hydrocol. 2013, 32, 195–203. [Google Scholar] [CrossRef]
- Masure, H.G.; Fierens, E.; Delcour, J.A. Current and forward-looking experimental approaches in gluten-free bread making research. J. Cereal Sci. 2016, 67, 92–111. [Google Scholar] [CrossRef]
- Schoenlechner, R.; Mandala, I.; Kiskini, A.; Kostaropoulos, A.; Berghofer, E. Effect of water, albumen, and fat on the quality of gluten-free bread containing amaranth. Int. J. Food Sci. Technol. 2010, 45, 661–669. [Google Scholar] [CrossRef]
- Purlis, E.; Salvadori, V.O. Modelling the browning of bread during baking. Food Res. Int. 2009, 42, 865–870. [Google Scholar] [CrossRef]
- Kumar, C.T.M.; Sabikhi, L.; Singh, A.K.; Raju, P.N.; Kumar, R.; Sharma, R. Effect of incorporation of sodium caseinate, whey protein concentrates and transglutaminase on the properties of depigmented pearl millet-based gluten free pasta. LWT-Food Sci. Technol. 2019, 103, 19–26. [Google Scholar] [CrossRef]
- Graça, C.; Raymundo, A.; Sousa, I. Wheat Bread with Dairy Products -Technology, Nutritional, and Sensory Properties. Appl. Sci. 2019, 9, 4101. [Google Scholar] [CrossRef]
- Gallagher, E.; Kundel, A.; Gormley, T.R.; Arendt, E.K. The effect of dairy and rice powder addition on loaf and crumb characteristics, and on shelf life (intermediate and long-term) of gluten-free breads in a modified atmosphere. Eur. Food Res. Technol. 2003, 218, 44–48. [Google Scholar] [CrossRef]
- Taylor, J.R.N.; Taylor, J.; Campanella, O.H.; Hamaker, B.R. Functionality of the storage proteins in gluten-free cereals and pseudocereals in dough systems. J. Cereal Sci. 2016, 67, 22–34. [Google Scholar] [CrossRef]
- Morens, C.; Bos, C.; Pueyo, M.E.; Benamouzig, R.; Gausseres, N.; Luengo, C. Increasing habitual protein intake accentuates difference in postprandial dietary nitrogen utilization between protein sources in humans. J. Nutr. 2003, 133, 2733–2740. [Google Scholar] [CrossRef] [PubMed]
- Graça, C.; Raymundo, A.; Sousa, I. Yogurt as an Alternative Ingredient to Improve the Functional and Nutritional Properties of Gluten-Free Breads. Foods 2020, 9, 111. [Google Scholar] [CrossRef]
- Franco, J.M.; Raymundo, A.; Sousa, I.; Gallegos, C. Influence of processing variables on the rheological and textural properties of lupin protein-stabilized emulsions. J. Agric. Food Chem. 1998, 46, 3109–3115. [Google Scholar] [CrossRef]
- Graça, C.; Fradinho, P.; Sousa, I.; Raymundo, A. Impact of Chlorella vulgaris on the rheology of wheat flour dough and bread texture. LWT-Food Sci. Technol. 2019, 89, 466–474. [Google Scholar] [CrossRef]
- Liu, R.; Sun, W.; Zhang, Y.; Huang, Z.; Hu, H.; Zhao, M.; Li, W. Development of a novel model dough based on mechanically activated cassava starch and gluten protein: Application in bread. Food Chem. 2019, 300, 125196. [Google Scholar] [CrossRef]
- Demirkesen, I.; Mert, B.; Sumnu, G.; Sahin, S. Rheological properties of gluten-free bread formulations. J. Food Eng. 2010, 96, 295–303. [Google Scholar] [CrossRef]
- Gerrard, J.A. Protein–protein crosslinking in food: Methods, consequences, applications. Trends Food Sci. Technol. 2002, 13, 391–399. [Google Scholar] [CrossRef]
- Marchetti, L.; Andrés, S.; Cerruti, P.; Califano, A. Effect of bacterial nanocellulose addition on the rheological properties of gluten-free muffin batters. Food Hydrocoll. 2020, 98, 105315. [Google Scholar] [CrossRef]
- Ronda, F.; Oliete, B.; Gómez, M.; Caballero, P.A.; Pando, V. Rheological study of layer cake batters made with soybean protein isolate and different starch sources. J. Food Eng. 2011, 102, 272–277. [Google Scholar] [CrossRef]
- Hundschell, C.S.; Wagemans, A.M. Rheology of common uncharged exopolysaccharides for food applications. Cur. Opin. Food Sci. 2019, 27, 1–7. [Google Scholar] [CrossRef]
- Picout, D.; Ross-Murphy, S.B. Rheology of Biopolymer Solutions and Gels. Sci. World J. 2003, 3, 105–121. [Google Scholar] [CrossRef]
- Razmkhah, S.; Razavi, S.; Mohammadifar, M. Dilute solution, flow behavior, thixotropy and viscoelastic characterization of cress seed (Lepidium sativum) gum fractions. Food Hydrocoll. 2017, 63, 404–413. [Google Scholar] [CrossRef]
- Sahagún, M.; Gómez, M. Influence of protein source on characteristics and quality of gluten-free cookies. J. Food Sci. Technol. 2018, 55, 4131–4138. [Google Scholar] [CrossRef]
- Lazaridou, A.; Duta, D.; Papageorgiou, M.; Belc, N.; Biliaderis, C.G. Effects of hydrocolloids on dough rheology and bread quality parameters in gluten-free formulations. J. Food Eng. 2007, 79, 1033–1047. [Google Scholar] [CrossRef]
- Matos, M.E.; Sanz, T.; Rosell, C.M. Establishing the function of proteins on the rheological and quality properties of rice-based gluten free muffins. Food Hydrocol. 2014, 35, 150–158. [Google Scholar] [CrossRef]
- Blasia, P.; D’ Souza, S.S.; Selmin, F.; DeLuca, P.P. Plasticizing effect of water on poly (lactide-co-glycolide). J. Control. Release 2005, 108, 1–9. [Google Scholar] [CrossRef]
- Aguilar, N.; Albanell, E.; Minarro, B.; Capellas, M. Chickpea and tiger nut flours as alternatives to emulsifier and shortening in gluten-free bread. LWT-Food Sci. Technol. 2015, 62, 225–232. [Google Scholar] [CrossRef]
- Graça, C.; Raymundo, A.; Sousa, I. Yoghurt and curd cheese addition to wheat bread dough: Impact on in vitro starch digestibility and estimated glycemic index. Food Chem. 2021, 339, 127887. [Google Scholar] [CrossRef] [PubMed]
- Regulation (EC) Nº 1924/2006 of the European Parliament and of the Council of 20 December 2006 on Nutrition and Health Claims Made on Foods. Available online: http://data.europa.eu/eli/reg/2006/1924/oj (accessed on 1 August 2020).
- Commission Regulation (EU) No 432/2012 of 16 May 2012 Establishing a List of Permitted Health Claims Made on Foods, Other than Those Referring to the Reduction of Disease Risk and to Children’s Development and Health. Available online: http://data.europa.eu/eli/reg/2012/432/oj (accessed on 1 August 2020).
- Wild, D.; Robins, G.G.; Burley, V.J.; Howdle, P.D. Evidence of high sugar intake, and low fibre and mineral intake, in the gluten-free diet. Aliment. Pharmacol. Ther. 2010, 32, 573–581. [Google Scholar] [CrossRef] [PubMed]
- Gambuś, H.; Gambuś, F.; Wrona, P.; Pastuszka, D.; Ziobro, R.; Nowotna, A.; Kopeć, A.; Sikora, M. Enrichment of gluten-free rolls with amaranth and flaxseed increases the concentration of calcium and phosphorus in the bones of rats. Pol. J. Food Nutr. Sci. 2009, 59, 349–355. [Google Scholar]
- Litwinek, D.; Ziobro, R.; Gambuś, H.; Sikora, M. Gluten Free Bread in a Diet of Celiacs. Int. J. Celiac Dis. 2014, 2, 11–16. [Google Scholar] [CrossRef]





| Ingredients (% w/w) | CB | CcB5% | CcB10% | CcB15% | CcB20% |
|---|---|---|---|---|---|
| Buckwheat | 16.6 | 14.6 | 12.6 | 10.6 | 9.6 |
| Rice | 25.0 | 22.0 | 20.0 | 16.6 | 13.0 |
| Potato starch | 14.0 | 12.0 | 11.0 | 10.4 | 8.0 |
| Curd cheese | 0.0 | 5.0 | 10.0 | 15.0 | 20.0 |
| Water added ** | 37.0 | 35 | 32.0 | 31.0 | 30.0 |
| Curd cheese water *** | 0.0 | 4.0 | 7.0 | 9.0 | 12.0 |
| Total water absorption **** | 37.0 | 39.0 | 39.0 | 40.0 | 42.0 |
| Samples | WA (%) | DDT (min) | DST (min) | DSF (mNm) |
|---|---|---|---|---|
| CD | 66.30 ± 0.60 a | 0.80 ± 0.10 a | 0.80 ± 0.10 a | 3.30 ± 0.61 a |
| CcD5% | 66.70 ± 0.60 a | 0.70 ± 0.10 a | 0.60 ± 0.20 a | 3.00 ± 0.12 a |
| CcD10% | 67.70 ± 0.50 a | 0.70 ± 0.20 a | 0.60 ± 0.10 a | 3.00 ± 0.63 a |
| CcD15% | 69.30 ± 0.50 ab | 0.90 ± 0.50 ab | 0.60 ± 0.15 a | 5.30 ± 0.60 b |
| CcD20% | 70.30 ± 0.60 b | 1.00 ± 0.10 b | 0.60 ± 0.10 a | 6.00 ± 0.30 b |
| η0 (k Pa s) | γ.c (s−1) | s (Slope) | R2 | |
|---|---|---|---|---|
| CD | 390.2 ± 8.7 a | 3.3 × 10−3 ± 1.3 × 10−4 a | 0.27 ± 0.06 a | 0.987 |
| CcD5% | 166.4 ± 5.0 b | 3.1 × 10−3 ± 4.0 × 10−4 a | 0.26 ± 0.03 a | 0.987 |
| CcD10% | 178.0 ± 6.6 b | 3.2 × 10−3 ± 2.3 × 10−4 a | 0.23 ± 0.03 ab | 0.980 |
| CcD15% | 101.5 ± 1.7 c | 3.6 × 10−3 ± 4.8 × 10−4 a | 0.21 ± 0.04 b | 0.996 |
| CcD20% | 37.3 ± 4.0 d | 3.6 × 10−3 ± 2.3 × 10−4 a | 0.18 ± 0.09 b | 0.975 |
| Cc Levels | Staling Rate (N/h) | Firmness (N) | R2 |
|---|---|---|---|
| CB | 0.040 ± 0.001 a | 2.70 ± 0.23 a | 0.996 |
| CcB5% | 0.032 ± 0.002 ab | 2.21 ± 0.40 ab | 0.998 |
| CcB10% | 0.022 ± 0.001 c | 1.90 ± 0.30 b | 0.981 |
| CcB15% | 0.020 ± 0.003 c | 1.57 ± 0.09 c | 0.979 |
| CcB20% | 0.012 ± 0.002 d | 1.12 ± 0.15 d | 0.972 |
| CB | CcB5% | CcB10% | CcB15% | CcB20% | |
|---|---|---|---|---|---|
| Moisture (%) | 42.85 ± 0.33 a | 43.02 ± 0.60 a | 45.50 ± 0.43 b | 47.80 ± 0.93 c | 51.00 ± 0.13 d |
| aw | 0.960 ± 0.006 a | 0.951 ± 0.004 ab | 0.943 ± 0.003 b | 0.913 ± 0.005 c | 0.892 ± 0.002 c |
| BL (%) | 12.00 ± 0.40 a | 11.00 ± 0.04 ab | 10.22 ± 1.10 b | 9.60 ± 0.80 b | 9.00 ± 0.30 b |
| SBV (cm3/g) | 1.50 ± 0.11 a | 1.90 ± 0.08 a | 2.10 ± 0.11 b | 2.30 ± 0.15 bc | 2.50 ± 0.06 c |
| Crust color | |||||
| L* | 59.60 ± 2.90 a | 58.60 ± 1.64 a | 51.80 ± 2.30 b | 46.44 ± 3.13 c | 36.80 ± 2.50 d |
| a* | 8.40 ± 1.00 a | 9.40 ± 0.51 a | 10.10 ± 0.94 b | 11.80 ± 0.80 bc | 12.80 ± 0.30 c |
| b* | 29.10 ± 1.43 a | 29.10 ± 1.20 a | 29.30 ± 1.10 a | 21.20 ± 2.53 b | 21.10 ± 2.40 b |
| ΔE | 1.41 ± 0.90 a | 8.00 ± 1.02 b | 15.70 ± 1.80 c | 24.60 ± 1.30 d | |
| Crumb color | |||||
| L* | 60.52 ± 2.90 a | 63.81 ± 2.32 a | 67.36 ± 1.90 b | 69.59 ± 0.62 b | 70.90 ± 1.91 b |
| a* | 3.49 ± 1.05 a | 5.49 ± 0.75 a | 6.63 ± 0.89 b | 7.83 ± 0.20 c | 1.81 ± 0.23 d |
| b* | 11.40 ± 0.20 a | 11.10 ± 0.64 a | 12.15 ± 1.30 a | 18.53 ± 1.50 b | 23.40 ± 1.10 c |
| ΔE | 3.90 ± 0.95 a | 7.60 ± 1.10 b | 12.30 ± 1.20 c | 16.00 ± 1.23 c | |
| Nutrients (g/100 g) | CB | CcB10% | CcB20% | |
|---|---|---|---|---|
| Proteins | 5.34 ± 0.21 a | 7.60 ± 0.12 b | 9.40 ± 0.10 c | |
| Lipids | 4.30 ± 0.29 a | 5.30 ± 0.61 b | 5.80 ± 0.20 c | |
| Ash | 1.40 ± 0.03 a | 2.03 ± 0.11 b | 2.90 ± 0.07 c | |
| Carbohydrates | 45.90 ± 0.95 a | 39.60 ± 1.50 b | 31.50 ± 1.20 c | |
| Kcal | 245.80 ± 1.80 a | 236.20 ± 1.10 a | 213.40 ± 2.10 b | |
| Minerals (mg/100 g) | 15% RDV * (mg/100 g) | |||
| Na (g/100 g) | 0.41 ± 0.03 a | 0.35 ± 0.01 a | 0.36 ± 0.02 b | - |
| K | 412.0 ± 8.02 a | 315.35 ± 5.92 b | 290.35 ± 10.40 b | 300.0 |
| P | 131.80 ± 5.40 a | 177.00 ± 0.90 a | 197.40 ± 2.00 b | 120.0 |
| Mg | 50.24 ± 1.02 a | 50.60 ± 0.56 a | 53.20 ± 0.82 b | 45.0 |
| Ca | 35.93 ± 2.06 a | 151.00 ± 0.81 b | 165.38 ± 2.60 c | 120.0 |
| Fe | 6.94 ± 0.12 a | 3.68 ± 0.67 b | 3.50 ± 0.05 c | 2.1 |
| Cu | 0.23 ± 0.01 a | 0.10 ± 0.02 b | 0.07 ± 0.03 c | 0.2 |
| Mn | 0.51 ± 0.01 a | 0.40 ± 0.02 a | 0.32 ± 0.03 b | 0.3 |
| Zn | 1.12 ± 0.01 a | 0.70 ± 0.08 b | 0.65 ± 0.01 b | 2.3 |
© 2020 by the authors. Licensee MDPI, Basel, Switzerland. This article is an open access article distributed under the terms and conditions of the Creative Commons Attribution (CC BY) license (http://creativecommons.org/licenses/by/4.0/).
Share and Cite
Graça, C.; Raymundo, A.; Sousa, I. Improving the Technological and Nutritive Properties of Gluten-Free Bread by Fresh Curd Cheese Enrichment. Appl. Sci. 2020, 10, 6868. https://doi.org/10.3390/app10196868
Graça C, Raymundo A, Sousa I. Improving the Technological and Nutritive Properties of Gluten-Free Bread by Fresh Curd Cheese Enrichment. Applied Sciences. 2020; 10(19):6868. https://doi.org/10.3390/app10196868
Chicago/Turabian StyleGraça, Carla, Anabela Raymundo, and Isabel Sousa. 2020. "Improving the Technological and Nutritive Properties of Gluten-Free Bread by Fresh Curd Cheese Enrichment" Applied Sciences 10, no. 19: 6868. https://doi.org/10.3390/app10196868
APA StyleGraça, C., Raymundo, A., & Sousa, I. (2020). Improving the Technological and Nutritive Properties of Gluten-Free Bread by Fresh Curd Cheese Enrichment. Applied Sciences, 10(19), 6868. https://doi.org/10.3390/app10196868

