Effect of Chloride on Electrical Resistivity in Carbonated and Non-Carbonated Concrete
Abstract
1. Introduction
2. Experiment Program
2.1. Preperation of Samples
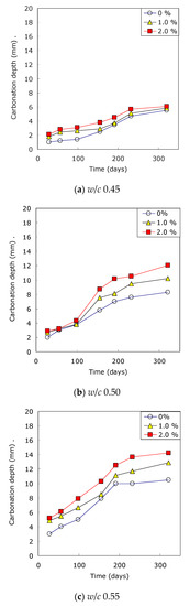
2.2. Carbonation of Concrete
2.3. Measurment of Electrical Resistivity
3. Results and Discussion
3.1. Effect of the Age of Samples
3.2. Effect of the Pore Water of Concrete
3.3. Effect of Chloride Concentration
3.4. Effect of Chloride Ions with Time
3.5. Effect of Chloride Ions on Electirical Resisitvity
4. Conclusions
- (1)
- Chloride concentration leads to reduced resistivity of the concrete. The electrical resistivity of the concrete kept rising over time and all concrete showed the value 12 KΩ·cm or more, except the specimen with 2.0% chloride ions and a w/c ratio of 0.55. As a result of viewing the electrical resistivity rate, the value of the specimen with 2% chloride ions was 65~71% of the specimen without chloride ions.
- (2)
- For the correlation between chloride ion content and electrical resistivity in the specimen without chloride ions, the correlation between chloride concentration and electrical resistivity exceeded the determination coefficient of 0.70, indicating the obvious effect of chloride ions on electrical resistivity.
- (3)
- The rate of change in the electrical resistivity of concrete with chloride was low in the early ages. However, the electrical resistivity showed a more stable trend with no change in the long-term age. These influences are generated by the adsorption of chloride ions and the micro-structure development of concrete due to on-going hydration of the cement. The micro-structure of the hardened cement paste has a greater influence on the electrical resistivity than chloride adsorption.
- (4)
- The ratio of the electrical resistivity of concrete with chloride to that of concrete without chlorides decreased as the chloride concentration increased. The electrical resistivity of the concrete was significantly influenced by chloride concentration, even when the concentration was low.
- (5)
- The electrical resistivity of concrete under combined deterioration tended to increase in proportion to the chloride concentration and carbonation depth. In the environment of a combined deterioration, the carbonation depth of 5 to 8 mm was a meaningful criterion for determining whether carbonation or chloride ions has a large effect on the electrical resistivity of concrete.
Author Contributions
Funding
Conflicts of Interest
References
- AASHTO. AASHTO Designation TP 95, Standard Method of Test for Surface Resistivity of Concrete’s Ability to Resist Chloride Ion Penetration; American Association of State Highway and Transportation Officials: Washington, DC, USA, 2011. [Google Scholar]
- Ghosh, P.; Tran, Q. Correlation Between Bulk and Surface Resistivity of Concrete. Int. J. Concr. Struct. Mater. 2015, 9, 119–132. [Google Scholar] [CrossRef]
- Tuutti, K. Corrosion of Steel in Concrete; Swedish Cement and Concrete Research Institute (CBI): Stockholm, Sweden, 1982. [Google Scholar]
- Buenfeld, N.R.; Newman, J.B.; Page, C.L. The Resistivity of Mortar Immersed in Sea Water. Cem. Concr. Res. 1986, 16, 511–524. [Google Scholar] [CrossRef]
- Hope, B.B.; Ip, A.K.; Manning, D.G. Corrosion and Electrical Impedance in Concrete. Cem. Concr. Res. 1985, 15, 525–534. [Google Scholar] [CrossRef]
- Simon, G.; Tamas, K.; Vass, V. The Electrical Resistivity of Concrete, Concrete Structures. In Corrosion of Steel in Concrete; Tuutti, K., Ed.; Swedish Cement and Concrete Research Institute (CBI): Stockholm, Sweden, 2012; pp. 61–65. [Google Scholar]
- Gjørv, O.E. Durability Design of Concrete Structures in Severe Environments; Taylor & Francis: New York, NY, USA, 2009. [Google Scholar]
- Altobat, S.; Maalej, M.; Shaikh, F.U.A. Laboratory Simulation of Corrosion Damage in Reinforced Concrete. Int. J. Concr. Struct. Mater. 2016, 17, 1–9. [Google Scholar] [CrossRef]
- Liu, Y.; Suarez, A.; Presuel-Moreno, F.J. Final Report: Characterization of New and Old Concrete Structures Using Surface Resistivity Measurements; Florida Department of Transportation Research Center: Brooksville, FL, USA, 2010. [Google Scholar]
- Goni, S.; Andrade, C. Synthetic Concrete Pore Solution Chemistry and Rebar Corrosion Rate in the Presence of Chlorides. Cem. Concr. Res. 1990, 20, 525–539. [Google Scholar] [CrossRef]
- Millard, S.G. Reinforced Concrete Resistivity Measurement Techniques. Proc. Civ. Eng. 1991, 91, 71–78. [Google Scholar] [CrossRef]
- Millard, S.G.; Gowers, K.R. Resistivity Assessment of In-Situ Concrete: The Influence of Conductivity and Resistivity Layers. Proc. Civ. Eng. Struct. Build. 1992, 94, 389–395. [Google Scholar] [CrossRef]
- Atkins, P.W.; De Paula, J. Physical Chemistry, 8th ed.; Oxford University Press: Oxford, UK, 2006. [Google Scholar]
- Saleem, M.; Shameem, M.; Hussain, S.E.; Maslehuddin, M. Effect of Moisture, Chloride, and Sulphate Contamination on the Electrical Resistivity of Portland Cement Concrete. Constr. Build. Mater. 1996, 16, 209–214. [Google Scholar] [CrossRef]
- Shaikhon, O. The Effect of Chloride and Sulfate Ions on the Resistivity of Concrete; McGill University: Montréal, QC, Canada, 2015. [Google Scholar]
- Bertolini, L.; Polder, R.B. Concrete Resistivity and Reinforcement Corrosion Rate as Function of Temperature and Humidity of the Environment. In TNO Report 97-BT-R0574; TNO: The Hague, The Netherlands, 1997. [Google Scholar]
- Bürchler, D.; Elsener, B.; Böhni, H. Electrical Resistivity and Dielectric Properties of Hardened Cement and Mortar; Institute of Materials Chemistry and Corrosion; Swiss Federal Institute of Technology; ETH Hönggerber: Zurich, Switzerland, 1996. [Google Scholar]
- AASHTO. AASHTO T 358-17, Standard Method of Test for Surface Resistivity Indication of Concrete’s Ability to Resist Chloride Ion Penetration; American Association of State Highway and Transportation Officials: Washington, DC, USA, 2017. [Google Scholar]
- Thomas, R.J. Properties and Performance of Alkali-Activated Concrete. Ph.D. Thesis, Department of Civil Engineering, Clarkson University, Potsdam, NY, USA, 2016. [Google Scholar]
- American Society of Testing and Materials. ASTM C1202-12, Standard Test Method for Electrical Indication of Concrete’s Ability to Resist Chloride Ion Penetration; American Society of Testing and Materials: West Conshohocken, PA, USA, 2012. [Google Scholar]
- JCI. Report: Committee on Investigation and Maintenance of Combined Deterioration of Concrete; JCI: St. Louis, MO, USA, 2001. (In Japanese) [Google Scholar]
- American Society of Testing and Materials. ASTM C1760-12, Standard Test Method for Bulk Electrical Conductivity of Hardened Concrete; American Society of Testing and Materials: West Conshohocken, PA, USA, 2012. [Google Scholar]
- Yoon, I.S. Influence of Micro-Structural Characteristics of Concrete on Electrical Resistivity. J. Korea Inst. Struct. Maint. Insp. 2013, 17, 122–129. [Google Scholar]
- Van Breugel, K. Simulation of Hydration and Formation of Structures in Hardening Cement-Based Materials. Ph.D. Thesis, Delft University of Technology, Delft, The Netherlands, 1991. [Google Scholar]
- Broomfield, J.P. Steel Corrosion in Concrete; E & FN Spon: London, UK, 1997. [Google Scholar]
- Yoon, I.S.; Saeki, T. Mechanism of Chloride Ion Adsorption in Cement Hydrates as Per the Time-Dependent Behavior. ACI Mater. J. 2020. accepted. [Google Scholar]
- Dehwah, H.A.F.; Austin, S.A.; Maslehuddin, M. Effect of Cement Alkalinity on Pore Solution Chemistry and Chloride Induced Reinforcement Corrosion. ACI Mater. J. 2002, 99, 227–233. [Google Scholar]
- Das, B.B.; Singh, D.N.; Pandey, S.P. Rapid Chloride Ion Permeability of OPC and PPC based carbonated concrete. J. Mater. Civ. Eng. 2012, 24, 606–611. [Google Scholar] [CrossRef]
- Saillio, M.; Baroghel-Bouny, V.; Barberon, F. Chloride Binding in Sound and Carbonated Cementitious Materials. Constr. Build. Mater. 2014, 68, 82–91. [Google Scholar] [CrossRef]
- Papadakis, V.G.; Vayenas, C.G.; Fardis, M.N. Fundamental Modeling and Experimental Investigation of Concrete Carbonation. ACI Mater. J. 1991, 88, 363–373. [Google Scholar]
- Saeki, T.; Ueki, S.; Shima, T. A Model for Predicting the Deterioration of Concrete Due to the Compound Influence of Salt Damage and Carbonation. Proc. JSCE 2002, 54, 269–282. [Google Scholar]















| Chloride Ion Penetrability | AASHTO TP 95 [1] | AASHTO T358-15 [18] | Thomas [19] |
|---|---|---|---|
| 100 mm × 200 mm Cylinder (KΩ·cm) | 150 mm × 300 mm Cylinder (KΩ·cm) | ||
| High | <12 | <9.5 | <5 |
| Moderate | 12~21 | 9.5~16.5 | 5~10 |
| Low | 21~37 | 16.5~29 | 10~20 |
| Very low | 37~254 | 29~199 | 20~200 |
| Negligible | >254 | >199 | >200 |
| Chloride Ion Penetrability | AASHTO TP 95 [1] (KΩ·cm) | ASTM C 1202 [20] (Coulombs) |
|---|---|---|
| High | <12 | >4000 |
| Moderate | 12~21 | 2000~4000 |
| Low | 21~37 | 1000~2000 |
| Very low | 37~254 | 100~1000 |
| Negligible | >254 | <100 |
| w/c | Unit Weight (kg/m3) | |||
|---|---|---|---|---|
| Water | Cement | Sand | Gravel | |
| 0.45 | 185 | 411 | 706 | 1001 |
| 0.50 | 185 | 370 | 720 | 1021 |
| 0.55 | 185 | 336 | 732 | 1038 |
© 2020 by the authors. Licensee MDPI, Basel, Switzerland. This article is an open access article distributed under the terms and conditions of the Creative Commons Attribution (CC BY) license (http://creativecommons.org/licenses/by/4.0/).
Share and Cite
Yoon, I.-S.; Chang, C.-H. Effect of Chloride on Electrical Resistivity in Carbonated and Non-Carbonated Concrete. Appl. Sci. 2020, 10, 6272. https://doi.org/10.3390/app10186272
Yoon I-S, Chang C-H. Effect of Chloride on Electrical Resistivity in Carbonated and Non-Carbonated Concrete. Applied Sciences. 2020; 10(18):6272. https://doi.org/10.3390/app10186272
Chicago/Turabian StyleYoon, In-Seok, and Chun-Ho Chang. 2020. "Effect of Chloride on Electrical Resistivity in Carbonated and Non-Carbonated Concrete" Applied Sciences 10, no. 18: 6272. https://doi.org/10.3390/app10186272
APA StyleYoon, I.-S., & Chang, C.-H. (2020). Effect of Chloride on Electrical Resistivity in Carbonated and Non-Carbonated Concrete. Applied Sciences, 10(18), 6272. https://doi.org/10.3390/app10186272
