Preliminary Investigation of the Antibacterial Activity of Antitumor Drug 3-Amino-1,2,4-Benzotriazine-1,4-Dioxide (Tirapazamine) and its Derivatives
Abstract
1. Introduction
2. Materials and Methods
2.1. Reagents and Instrumentation
2.2. General Procedures for Synthesis of TPZs
2.3. Computational Details of TPZs
2.4. Bacterial Strains
2.5. Antibacterial Tests
2.6. Drug Combination Assay
3. Results and Discussion
3.1. Antibacterial Activity and QSAR Studies
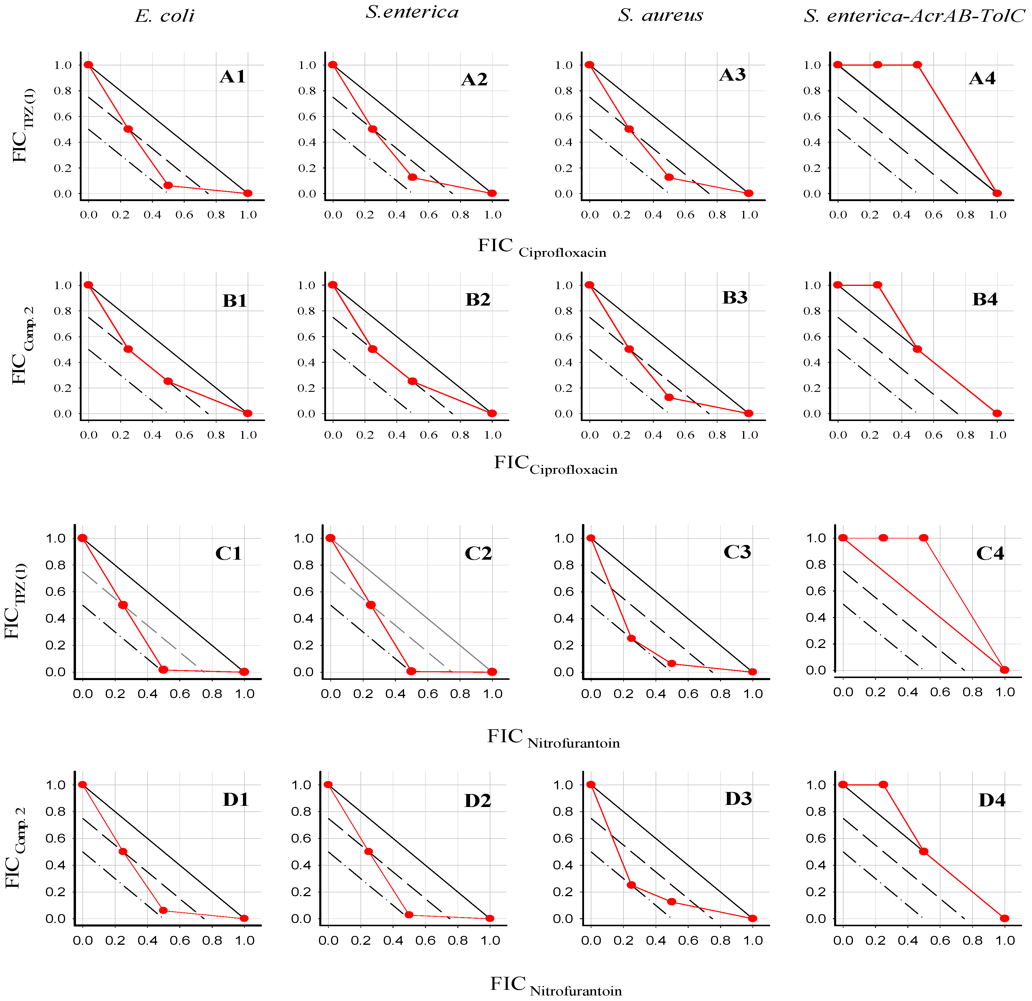
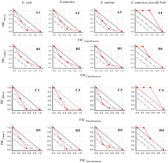
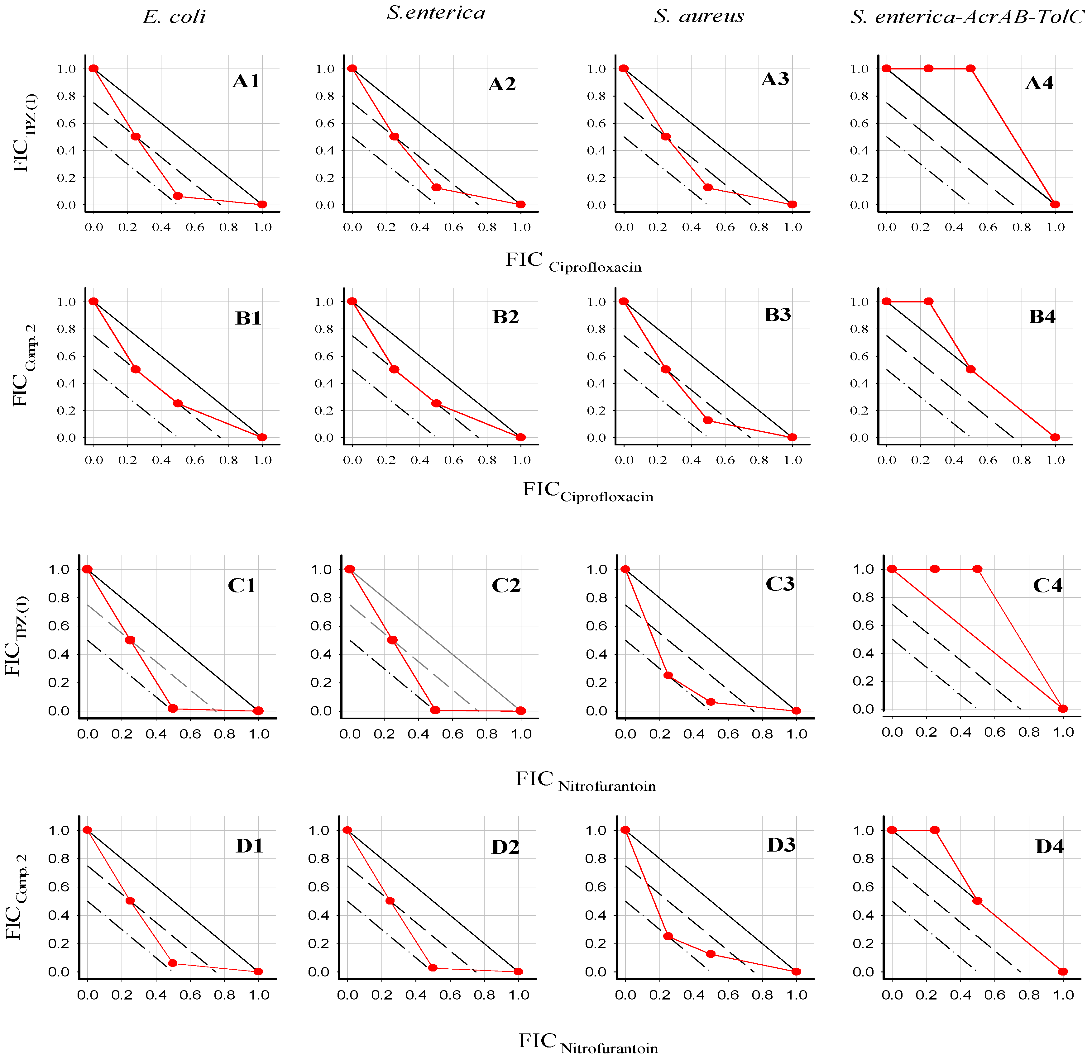
3.2. Combinations of TPZs with Conventional Antibiotics
4. Conclusions
Author Contributions
Funding
Acknowledgments
Conflicts of Interest
References
- Fair, R.J.; Tor, Y. Antibiotics and bacterial resistance in the 21st century. Perspect. Medicin. Chem. 2014, 6, 25–61. [Google Scholar] [CrossRef] [PubMed]
- Rangel-Vega, A.; Bernstein, L.R.; Mandujano-Tinoco, E.A.; Garcia-Contreras, S.J.; Garcia-Contreras, R. Drug repurposing as an alternative for the treatment of recalcintrant bacterial infections. Front. Microbiol. 2015, 6, 282. [Google Scholar] [CrossRef]
- Soo, V.W.; Kwan, B.W.; Quezada, H.; Castillo-Juarez, I.; Perez-Eretza, B.; Garsia-Contreras, S.J.; Martinez-Vazquez, M.; Wood, T.K.; Garcia-Contreras, R. Repurposing of anticancer drugs for the treatment of antibacterial infections. Curr. Top. Med. Chem. 2017, 17, 1157–1176. [Google Scholar] [CrossRef] [PubMed]
- Shah, Z.; Mahbuba, R.; Turcotte, B. The anticancer drug tirapazamine has antibacterial activity against E. coli, Stapylococcusaureus and Clostridium difficile. FEMS Microbiol. Lett. 2013, 347, 61–69. [Google Scholar] [CrossRef] [PubMed]
- Domalaon, R.; Ammeter, D.; Brizuela, M.; Gorityala, B.K.; Zhanel, G.G.; Schweizer, F. Repurposed antimicrobial combination therapy: Tetramycin-ciprofloxacin hybrid augments activity of the anticancer drug mitomycin C against multidrug-resistant Gram-negative bacteria. Front. Microbiol. 2019, 10, 1556. [Google Scholar] [CrossRef] [PubMed]
- Waters, C.M.; Bassler, B.L. Quorum sensing: Cell-to-cell communication in bacteria. Annu. Rev. Cell Dev. Biol. 2005, 21, 319–346. [Google Scholar] [CrossRef] [PubMed]
- Bhattacharya, B.; Mukherjee, S. Cancer therapy using antibiotics. J. Cancer Ther. 2015, 6, 849–858. [Google Scholar] [CrossRef]
- Dinnos, G.P.; Athanassopoulos, C.M.; Missiri, D.A.; Giannopoulou, P.C.; Vlachogiannis, I.A.; Papadopolous, G.E.; Papaioannou, D.; Kalpaxis, D.L. Chloramphenicol derivatives as antibacterial and anticancer agents: Historic problems and current solutions. Antibiotics 2016, 5, 20. [Google Scholar] [CrossRef]
- Hu, Y.; Xia, Q.; Shangguan, S.; Liu, X.; Hu, X.; Sheng, R. Synthesis and biological evaluation of 3-aryl-quinoxaline-2-carbonitrile 1,4-di-N-oxide derivatives as hypoxic selective antitumor agents. Molecules 2012, 17, 9683–9696. [Google Scholar] [CrossRef]
- Chopra, S.; Koolpe, G.A.; Tambo-ong, A.A.; Matsuyama, K.N.; Ryan, K.J.; Tran, T.B.; Doppalapudi, R.S.; Riccio, E.S.; Iyer, L.V.; Green, C.E.; et al. Discovery and optimization of benzotriazine di-N-oxides targeting replicating and non-replicating Mycobacterium tuberculosis. J. Med. Chem. 2012, 55, 6047–6060. [Google Scholar] [CrossRef]
- Mfuh, A.M.; Larionov, O.L. Heterocyclic N-oxides—An emerging class of therapeutic agents. Curr. Med. Chem. 2015, 22, 2819–2857. [Google Scholar] [CrossRef] [PubMed]
- Cheng, G.; Li, B.; Wang, C.; Zhang, H.; Liang, G.; Weng, Z.; Hao, H.; Wang, X.; Liu, Z.; Dai, M.; et al. Systematic and molecular basis of the antibacterial action of quinoxaline 1,4-di-N-oxides against Escherichia coli. PLoS ONE 2015, 10, e0136450. [Google Scholar]
- Cheng, G.; Sa, W.; Cao, C.; Guo, L.; Hao, H.; Liu, Z.; Wang, X.; Yuan, Z. Quinoxaline 1,4-di-N-oxides: Biological activities and mechanisms of actions. Front. Pharmacol. 2016, 7, 64–83. [Google Scholar] [CrossRef]
- Zhao, Y.; Cheng, G.; Hao, H.; Pan, Y.; Liu, Z.; Dai, M.; Yan, Z. In vitro antibacterial activities of animal-used quinoxaline 1,4-di-N-oxides against mycobacteria, mycoplasma and fungi. BMC Vet. Res. 2016, 12, 186–198. [Google Scholar] [CrossRef] [PubMed]
- Vieira, M.; Pinheiro, C.; Fernandes, R.; Noronha, J.P.; Prudencio, C. Antimicrobial activity of quinoxaline 1,4-dioxide with 2- and 3-substituted derivatives. Microbiol. Res. 2014, 169, 287–293. [Google Scholar] [CrossRef] [PubMed]
- Xu, F.; Cheng, G.; Hao, H.; Wang, Y.; Wang, X.; Chen, D.; Peng, D.; Liu, Z.; Yuan, Z.; Dai, M. Mechanisms of antibacterials action of quinoxaline 1,4-di-N-oxides against Clostridium perfingens and Brachyspirahyodysenteriae. Front. Microbiol. 2016, 7, 1948. [Google Scholar] [CrossRef] [PubMed]
- Reddy, S.B.; Williamson, S.K. Tirapazamine: A novel agent targeting tumor cells. Expert. Opin. Investig. Drugs 2009, 18, 77–87. [Google Scholar] [CrossRef]
- Phillips, R. Targeting hypoxia fraction of tumours using hypoxia-activated prodrugs. Cancer Chemother. Pharmacol. 2016, 77, 441–457. [Google Scholar] [CrossRef]
- Evans, J.W.; Yudah, K.; Delaoussaye, Y.M.; Brown, J.M. Tirapazamine is metabolized to its DNR-damaging radical by intra-nuclear enzymes. Cancer Res. 1998, 58, 2098–2101. [Google Scholar]
- Garner, A.P.; Paine, M.I.J.; Rodriguez-Crespo, I.; Chinje, E.C.; Ortiz de Montellano, P.; Stratford, I.J.; Tew, T.G.; Wolf, C.R. Nitric oxide synthases catalyze the activation of redox cycling and bioreductive anticancer agents. Cancer Res. 1999, 59, 1929–1934. [Google Scholar]
- Shinde, S.S.; Maroz, A.; Hay, M.P.; Denny, W.A.; Anderson, R.E. Characterization of radicals formed following enzymatic reduction of 3-substituted analogues of the hypoxia-selective cytotoxic 3-amine-1,2,4-benzotriazine 1,4-dioxide (tirapazamine). J. Am. Chem. Soc. 2010, 132, 2591–2599. [Google Scholar] [CrossRef] [PubMed]
- Nemeikaitė-Čėnienė, A.; Šarlauskas, J.; Janušienė, V.; Marozienė, A.; Misevičienė, L.; Yantsevich, A.V.; Čėnas, N. Kinetics of flavoenzyme-catalyzed reduction of tirapazamine derivatives: Implications for their prooxidant cytotoxicity. Int. J. Mol. Sci. 2019, 20, 4602. [Google Scholar] [CrossRef] [PubMed]
- Parr, R.G.; Szentpaly, L.; Liu, S. Electrophilicity index. J. Am. Chem. Soc. 1999, 121, 1922–1924. [Google Scholar] [CrossRef]
- Pearson, R.G. Absolute electronegativity and hardness correlated with molecular orbital theory. Proc. Natl. Acad. Sci. USA 1986, 83, 8440–8441. [Google Scholar] [CrossRef] [PubMed]
- Geerlings, P.; de Proft, F.; Langenaeker, W. Conceptual density theory. Chem. Rev. 2003, 103, 1793–1873. [Google Scholar] [CrossRef]
- Campadonico, P.R.; Aizman, A.; Contreras, R. Electrophilicity of quinones and its relationship with affinity. Chem. Phys. Lett. 2009, 471, 168–173. [Google Scholar] [CrossRef]
- Ghose, A.K.; Pritchett, A.; Crippen, G.M. Atomic physicochemical parameters for three dimentional structure directed quantitative structure-activity relationships III. Modeling hydrophobic interactions. J. Comput. Chem. 1988, 9, 80–90. [Google Scholar] [CrossRef]
- Cheng, T.; Zhao, Y.; Li, X.; Lin, F.; Xu, Y.; Zhang, X.; Li, Y.; Wang, R.; Lai, L. Computation of octanol-water partition coefficients by guiding an additive model with knowledge. J. Chem. Inf. Model. 2007, 47, 2140–2148. [Google Scholar] [CrossRef]
- Richards, N.G.J.; Williams, P.B.; Tute, M.S. Empirical methods for computing molecular partition coefficients II. Inclusion of conformational flexibility within fragment based approaches. Int. J. Quantum. Chem. 1992, 44, 219–233. [Google Scholar] [CrossRef]
- Clinical and Laboratory Standards Institute. Methods for Dilution Antimicrobial Susceptibility Tests for Bacteria that Grow Aerobically—Eighth Edition: Approved Standard M08-A8; CLSI: Wayne, PA, USA, 2009. [Google Scholar]
- Bacon, A.E.; McGrath, S.; Fekety, R.; Holloway, W.J. In vitro synergy studies with Clostridium difficale. Antimicrob. Agents Chemother. 1991, 35, 582–583. [Google Scholar] [CrossRef]
- Orhan, G.; Bayram, A.; Zer, Y.; Balci, I. Synergy tests by E test and checkerboard methods of antimicrobial combinations against Brucellamelitensis. J. Clin. Microbiol. 2005, 43, 140–143. [Google Scholar] [CrossRef] [PubMed]
- Vitorino, G.P.; Becerra, M.C.; Barrera, G.D.; Caira, M.R.; Mazzieri, M.R. Cooperative behavior of flouroquinolone combination against Escherichia coli and Staphylococcus aureus. Biol. Pharm. Bull. 2017, 40, 758–764. [Google Scholar] [CrossRef] [PubMed]
- Druzhinin, S.V.; Balenkova, E.S.; Nenajdenko, V.G. Recent advances in the chemistry of a,b-unsaturated trifluormethylketones. Tetrahedron 2007, 63, 7753. [Google Scholar] [CrossRef]
- Crawford, P.W.; Scamehorn, R.G.; Hollstein, U.; Ryan, M.D.; Kovacic, P. Cyclic voltammetry of phenazines and quinoxalines including mono—An di-N-oxides. Relation to structure and antimicrobial activity. Chem. Biol. Interact. 1986, 60, 67–84. [Google Scholar] [CrossRef]
- Hay, M.P.; Gamage, S.A.; Kovacs, M.S.; Pruijn, F.B.; Anderson, R.F.; Patterson, A.V.; Wilson, W.R.; Brown, J.M.; Denny, W.A. Structure-activity relatioships of 1,2,4-benzotriazine N-dioxides as hypoxia selective analogues of tirapazamine. J. Med. Chem. 2003, 46, 169–182. [Google Scholar] [CrossRef]
- Anderson, R.F.; Shinde, S.S.; Hay, M.P.; Denny, W.A. Potentiation of the cytotoxicity of the anticancer agent tirapazamine by benzotriazine N-oxides: The role of redox equilibria. J. Am. Chem. Soc. 2006, 128, 245–249. [Google Scholar] [CrossRef] [PubMed]
- Moreno, E.; Perez-Silanes, S.; Gouravaram, S.; Macharam, A.; Ancizu, S.; Torres, E.; Aldana, I.; Monger, A.; Crawford, P.W. 1,4-di-N-oxide quinoxaline-2-carboxamide: Cyclic voltammetry and relationship between electrochemical behavior, structure and antituberculosis activity. Electrochem. Acta 2011, 56, 3270–3275. [Google Scholar] [CrossRef]
- Moreno, E.; Ancizu, S.; Perez-Silanes, S.; Torres, E.; Aldana, I.; Monge, A. Synthesis and antimycobacterial activity of new quinoxaline-2-carboxamide 1,4-di-N-oxide derivatives. Eur. J. Med. Chem. 2010, 45, 4418–4426. [Google Scholar] [CrossRef]
- Moreno, E.; Gabano, E.; Torres, E.; Platts, J.A.; Revera, M.; Aldana, I.; Monge, A.; Perez-Silanes, S. Studies on LogPo/w of quinoxaline di-N-oxides: A comparison of RP-HPLC experimental and predictive approaches. Molecules 2011, 16, 7893–7908. [Google Scholar] [CrossRef]
- Torres, E.; Moreno-Viguri, E.; Galiano, S.; Devarapally, G.; Crawford, P.W.; Azqueta, A.; Arbillaga, L.; Varela, J.; Birriel, E.; Di Maio, R.; et al. Novel quinoxaline 1,4-di-N-oxide derivatives as new potential antichagasic agents. Eur. J. Med. Chem. 2013, 66, 324–334. [Google Scholar] [CrossRef]
- Šarlauskas, J.; Nemeikaitė-Čėnienė, A.; Marozienė, A.; Misevičienė, L.; Lesanavičius, M.; Čėnas, N. Enzymatic single-electron reduction and aerobic cytotoxicity of tirapazamine and 1-N-oxide and nor-N-oxide metabolites. Chemija 2018, 29, 273–280. [Google Scholar] [CrossRef]
- Eschwege, K.G.; Conradie, J. Redox potentials of ligands and complexes- a DFT approach. S. Afr. J. Chem. 2011, 64, 203–209. [Google Scholar]
- About, H.I. Density functional theory calculations of nitrobenzene molecules group. Br. J. Sci. 2012, 6, 51–60. [Google Scholar]
- Beheshti, A.; Norouzi, P.; Ganjali, M.R. A simple and robust method model for predictivity of reduction potential of quinones family: Electronegativity index effect. Int. J. Electrochem. Sci. 2012, 7, 4811–4821. [Google Scholar]
- Šarlauskas, J.; Misevičienė, L.; Marozienė, A.; Karvelis, L.; Stankevičiūtė, J.; Krikštopaitis, K.; Čėnas, N.; Yantsevich, A.; Laurynėnas, A.; Anusevičius, Ž. The study of NADPH-dependent flavoenzyme-catalyzed reduction of benzo[1,2-c]1,2,5-oxadiazole N-oxides (benzofuroxans). Int. J. Mol. Sci. 2014, 15, 23307–23331. [Google Scholar] [CrossRef]
- Lipinski, C.A. Lead- and drug like compounds; the rule of five revolution. Drug Discov. Today Technol. 2004, 1, 337–341. [Google Scholar] [CrossRef] [PubMed]
- Tamma, P.D.; Cosgrove, S.E.; Maragakis, L.L. Combination therapy for treatment of infections with gram-negative bacteria. Clin. Microbiol. Rev. 2012, 25, 450–470. [Google Scholar] [CrossRef] [PubMed]
- Jounaidi, Y.; Waxman, D. Combination of bioreductive drug tirpazamine with the chemotherapeutic pro-drug cyclophosphamide for P450/P450-reductase-based cancer gene therapy. Cancer Res. 2000, 60, 3761–3769. [Google Scholar]
- Denny, W.A.; Wilson, W.R. Tirapazamine: A bioreductive anticancer drug to exploit tumor hypoxia. Exp. Opin. Investig. Drugs 2000, 9, 2889–2901. [Google Scholar] [CrossRef]
- Marcu, L.; Olver, I. Tirapazamine: From bench to clinical trial. Curr. Clin. Pharmacol. 2006, 1, 71–79. [Google Scholar] [CrossRef]
- Munoz-Davila, M.J. Role of antibiotics in the era of antibiotic resistance. Highlighted nitrofurantoin for the treatment of lowest urinary tract infections. Antibiotics 2014, 1, 39–40. [Google Scholar] [CrossRef] [PubMed]
- Olender, D.; Zwawiak, J.; Zaprutko, L. Multidirectional efficacy of biological active nitrocompounds efficacy of biological active nitrocompounds included in medicine. Parmaceutic 2018, 11, 54. [Google Scholar] [CrossRef] [PubMed]
- Sharma, P.C.; Jain, A.; Jain, S.; Pahwa, R.; Yar, M.S. Ciprofloxacin: Review on developments in synthetic, analytical, and medicinal aspects. J. Enzyme Inhib. Med. Chem. 2010, 25, 577–589. [Google Scholar] [CrossRef] [PubMed]
- Wang, Y.; Gray, J.P.; Mishin, V.; Heck, D.E.; Lashin, D.L.; Lashin, J.D. Role of cytochrome P-450 reductase in nitrofurantoin-induced redox cycling and cytotoxicity. Free Radic. Biol. Med. 2008, 44, 1169–1179. [Google Scholar] [CrossRef] [PubMed]
- Yadav, V.; Talwar, P. Repositioning of fluoroquinolones from antibiotic to anticancer agents: An underestimated truth. Biomed. Pharmacother. 2019, 111, 934–946. [Google Scholar] [CrossRef]
- Piddock, L.J.V.; White, D.G.; Gensberg, K.; Pumbwe, L.; Griggs, D.J. Evidence for an efflux pump mediating multiple antibiotic resistance in Salmonella enterica serovartyphimurium. Antimicrob. Agents Chemother. 2000, 44, 3118–3121. [Google Scholar] [CrossRef]
- Giraud, E.; Cloeckaert, A.; Kerboeuf, D.; Chaslus-Dancla, E. Evidence for active efflux as the primary mechanism of resistance to ciprofloxacin in Salmonella enterica Serovar Typhimurium. Antimicrob. Agents Chemother. 2000, 44, 1223–1228. [Google Scholar] [CrossRef]
- Chen, S.; Cui, S.; McDermott, P.F.; Zhao, S.; White, D.G.; Paulsen, I.; Meng, J. Contribution of target gene mutations and efflux to decreased susceptibility of Salmonella enterica serovar typhimurium to fluoroquinolones and other antibacterials. Antimicrob. Agents Chemother. 2007, 51, 535–542. [Google Scholar] [CrossRef]
- Goswami, M.; Mangoli, S.H.; Jawali, N. Involvement of reactive oxygen species in the action of ciprofloxacin against Escherichia coli. Antimicrob. Agents Chemother. 2006, 50, 949–954. [Google Scholar] [CrossRef] [PubMed]


| Compound | E. coli ATCC 25922 | S. enterica SL 5676 | S. aureus ATCC 25923 | ||||||
|---|---|---|---|---|---|---|---|---|---|
| MIC(μM) | MIC (μg/mL) | pMIC | MIC(μM) | MIC (μg/mL) | pMIC | MIC(μM) | MIC (μg/mL) | pMIC | |
| TPZ (1) | 44.9 | 8.0 | −1.65 | 44.9 | 8.0 | −1.65 | 89.8 | 16.0 | −1.95 |
| (2) | 1.1 | 0.25 | −0.04 | 1.1 | 0.25 | −0.04 | 2.2 | 0.5 | −0.34 |
| (3) | 8.5 | 2.0 | −0.93 | 8.5 | 2.0 | −0.93 | 4.3 | 1.0 | −0.63 |
| (4) | 4.2 | 1.0 | −0.62 | 2.1 | 0.5 | −0.32 | 2.1 | 0.5 | −0.32 |
| (5) | 16.0 | 4.0 | −1.20 | 8.0 | 2.0 | −0.90 | 8.0 | 2.0 | −0.90 |
| (6) | 32.0 | 8.0 | −1.51 | 16.0 | 4.0 | −1.20 | 4.0 | 1.0 | −0.60 |
| (7) | 58.4 | 16.0 | −1.77 | 58.4 | 16.0 | −1.77 | 116.7 | 32.0 | −2.07 |
| (8) | 412.6 | 128.0 | −2.62 | 412.6 | 128.0 | −2.62 | 103.2 | 32.0 | −2.01 |
| (9) | 249.8 | 64.0 | −2.40 | 249.8 | 64.0 | −2.40 | 249.8 | 64.0 | −2.40 |
| (10) | 114.6 | 32.0 | −2.06 | 114.6 | 32.0 | −2.06 | 114.6 | 32.0 | −2.06 |
| Chloramphenicol | 12.4 | 4.0 | 12.4 | 4.0 | 24.8 | 8.0 | |||
| Ciprofloxacin | 0.18 | 0.06 | 0.09 | 0.03 | 0.04 | 0.02 | |||
| Nitrofurantoin | 16.8 | 4.0 | 33.6 | 8.0 | 8.4 | 2.0 | |||
| Compound | ELUMO | EHOMO | χ | η | ω | log Poct | MW/MV | PSA | HBD/HBA |
|---|---|---|---|---|---|---|---|---|---|
| (eV) | (Å2) | ||||||||
| TPZ (1) | −3.05 | −5.93 | 4.49 | 2.88 | 3.50 | 0.75±0.58 | 178.2/157.2 | 72.21 | 1/6 |
| (2) | −3.43 | −6.34 | 4.89 | 2.91 | 4.10 | 0.63 ± 0.60 | 220.2/200.3 | 70.33 | 1/7 |
| (3) | −3.40 | −6.31 | 4.86 | 2.91 | 4.05 | 1.18 ± 0.62 | 234.2/216.4 | 69.74 | 1/7 |
| (4) | −3.29 | −6.25 | 4.77 | 2.96 | 3.84 | 0.83 ± 0.54 | 236.2/207.3 | 76.59 | 1/7 |
| (5) | −3.17 | −6.13 | 4.65 | 2.96 | 3.65 | 0.55 ± 0.31 | 250.2/225.9 | 75.69 | 1/8 |
| (6) | −3.21 | −6.18 | 4.70 | 2.97 | 3.71 | 1.29 ± 0.52 | 250.1/225.9 | 77.60 | 1/8 |
| (7) | −3.63 | −6.65 | 5.14 | 3.02 | 4.37 | 1.51 ± 0.56 | 274.2/212.3 | 69.17 | 1/7 |
| (8) | −3.60 | −6.64 | 5.12 | 3.04 | 4.37 | 2.81 ± 0.83 | 310.2/225.0 | 92.63 | 1/9 |
| (9) | −3.41 | −6.64 | 5.03 | 3.23 | 3.91 | 2.25 ± 0.71 | 256.2/211.0 | 94.03 | 1/9 |
| (10) | −3.51 | −6.10 | 4.81 | 2.59 | 4.46 | 1.89 ± 0.67 | 279.3/256.9 | 63.00 | 2/8 |
| Combination | E. coli ATCC 25922 | S. enterica SL 5676 | S. aureus ATCC 25923 | S. enterica AcrAB-TolC | ||||||||
|---|---|---|---|---|---|---|---|---|---|---|---|---|
| MIC (µg/mL) | FP | FICI | MIC (µg/mL) | FP | FICI | MIC (µg/mL) | FP | FICI | MIC (µg/mL) | FP | FICI | |
| TPZ(1)/Cipro(1/4 MIC) | 4.0 | 2 | 0.75 | 4.0 | 2 | 0.75 | 8.0 | 2 | 0.75 | 8.0 | 1 | 1.25 |
| TPZ(1)/Cipro(1/2 MIC) | 0.5 | 16 | 0.56 | 1.0 | 8 | 0.62 | 2.0 | 8 | 0.63 | 8.0 | 1 | 1.50 |
| TPZ (1)/NFT(1/4 MIC) | 4.0 | 2 | 0.75 | 4.0 | 2 | 0.75 | 4.0 | 4 | 0.50 | 8.0 | 1 | 1.25 |
| TPZ (1)/NFT(1/2 MIC) | 0.13 | 62 | 0.52 | 0.03 | 267 | 0.50 | 1.0 | 16 | 0.56 | 8.0 | 1 | 1.50 |
| (2)/ Cipro (1/4 MIC) | 0.13 | 2 | 0.77 | 0.13 | 2 | 0.75 | 0.25 | 2 | 0.75 | 0.25 | 1 | 1.25 |
| (2) /Cipro(1/2 MIC) | 0.06 | 4 | 0.77 | 0.06 | 4 | 0.75 | 0.06 | 8 | 0.62 | 0.13 | 2 | 1.00 |
| (2) /NFT(1/4 MIC) | 0.13 | 2 | 0.77 | 0.13 | 2 | 0.77 | 0.13 | 4 | 0.50 | 0.25 | 1 | 1.50 |
| (2) /NFT(1/2 MIC) | 0.015 | 17 | 0.56 | 0.0075 | 36 | 0.53 | 0.06 | 8 | 0.62 | 0.13 | 2 | 1.00 |
© 2020 by the authors. Licensee MDPI, Basel, Switzerland. This article is an open access article distributed under the terms and conditions of the Creative Commons Attribution (CC BY) license (http://creativecommons.org/licenses/by/4.0/).
Share and Cite
Polmickaitė-Smirnova, E.; Šarlauskas, J.; Krikštopaitis, K.; Lukšienė, Ž.; Staniulytė, Z.; Anusevičius, Ž. Preliminary Investigation of the Antibacterial Activity of Antitumor Drug 3-Amino-1,2,4-Benzotriazine-1,4-Dioxide (Tirapazamine) and its Derivatives. Appl. Sci. 2020, 10, 4062. https://doi.org/10.3390/app10124062
Polmickaitė-Smirnova E, Šarlauskas J, Krikštopaitis K, Lukšienė Ž, Staniulytė Z, Anusevičius Ž. Preliminary Investigation of the Antibacterial Activity of Antitumor Drug 3-Amino-1,2,4-Benzotriazine-1,4-Dioxide (Tirapazamine) and its Derivatives. Applied Sciences. 2020; 10(12):4062. https://doi.org/10.3390/app10124062
Chicago/Turabian StylePolmickaitė-Smirnova, Evelina, Jonas Šarlauskas, Kastis Krikštopaitis, Živilė Lukšienė, Zita Staniulytė, and Žilvinas Anusevičius. 2020. "Preliminary Investigation of the Antibacterial Activity of Antitumor Drug 3-Amino-1,2,4-Benzotriazine-1,4-Dioxide (Tirapazamine) and its Derivatives" Applied Sciences 10, no. 12: 4062. https://doi.org/10.3390/app10124062
APA StylePolmickaitė-Smirnova, E., Šarlauskas, J., Krikštopaitis, K., Lukšienė, Ž., Staniulytė, Z., & Anusevičius, Ž. (2020). Preliminary Investigation of the Antibacterial Activity of Antitumor Drug 3-Amino-1,2,4-Benzotriazine-1,4-Dioxide (Tirapazamine) and its Derivatives. Applied Sciences, 10(12), 4062. https://doi.org/10.3390/app10124062

