The Distribution and Seasonality of Per- and Polyfluoroalkyl Substances (PFAS) in the Vertical Water Column of a Stratified Eutrophic Freshwater Lake
Abstract
1. Introduction
2. Materials and Methods
2.1. Sampling Bottle
2.2. Cleaning and Field Testing the Go-Flow Sampling Bottle
2.3. Field Sampling
2.4. Sample Analyses
3. Results
3.1. Vertical Variation in PFAS Concentrations During Stratification in 2022
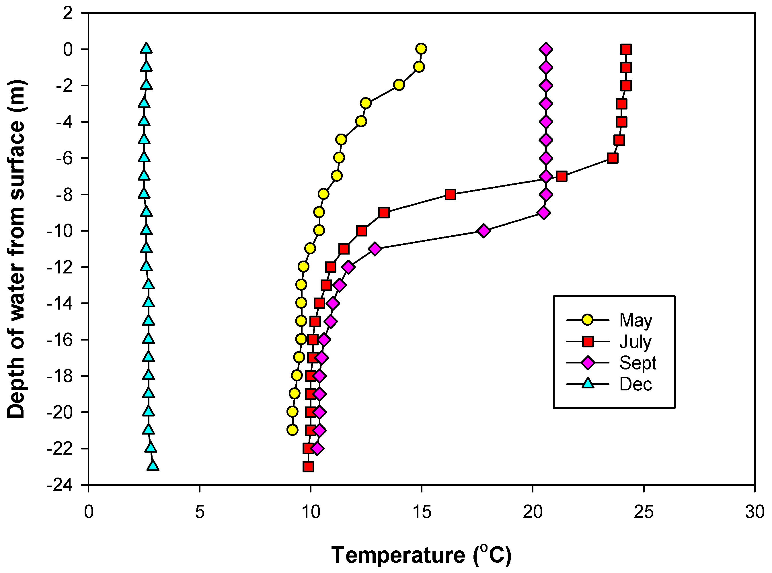
3.2. Seasonal Variation in PFAS Concentrations During 2023
4. Discussion
Supplementary Materials
Funding
Data Availability Statement
Acknowledgments
Conflicts of Interest
Appendix A
| Analyte | Abbreviation | CAS No. | Mass Labeled Compound Acronym | Water MDL (ng/L) | Water MRL (ng/L) |
|---|---|---|---|---|---|
| Perfluoro-n-butanoic acid | PFBA | 375-22-4 | 13C4-PFBA | 0.346 | 1.00 |
| Perfluoro-n-pentanoic acid | PFPeA | 2706-90-3 | 13C5-PFPeA | 0.150 | 1.00 |
| Perfluoro-1-butanesulfonic acid | PFBS | 375-73-5 | 13C3-PFBS | 0.231 | 1.00 |
| 1H,1H,2H,2H-Perfluorohexane sulphonic acid | 4:2FTSA | 757124-72-4 | 13C2-4:2 FTSA | 0.190 | 1.00 |
| Perfluoro-n-hexanoic acid | PFHxA | 307-24-4 | 13C5-PFHxA | 0.204 | 1.00 |
| Perfluoro-1-pentanesulfonic acid | PFPeS | 2706-91-4 | 13C3-PFHxS | 0.136 | 1.00 |
| 2,3,3,3-Tetrafluoro-2-(1,1,2,2,3,3-heptafluoropropoxy)-propanoic acid | HFPO-DA | 13252-13-6 | 13C3-HFPO-DA | 0.192 | 1.00 |
| Perfluoro-n-heptanoic acid | PFHpA | 375-85-9 | 13C4-PFHpA | 0.150 | 1.00 |
| Perfluoro-1-hexanesulfonic acid | PFHxS | 355-46-4 | 13C3-PFHxS | 0.142 | 1.00 |
| Dodecafluoro-3H-4,8-dioxanoanoic acid | DONA | 919005-14-4 | 13C4-PFHpA | 0.128 | 1.00 |
| 1H,1H,2H,2H-Tridecafluorooctane-1-sulphonic acid | 6:2FTSA | 27619-97-2 | 13C2-6:2 FTSA | 0.272 | 1.00 |
| Perfluoro-n-octanoic acid | PFOA | 335-67-1 | 13C8-PFOA | 0.108 | 1.00 |
| Perfluoro-1-heptanesulfonic acid | PFHpS | 375-92-8 | 13C8-PFOS | 0.190 | 1.00 |
| Perfluoro-1-octanesulfonic acid | PFOS | 1763-23-1 | 13C8-PFOS | 0.143 | 1.00 |
| Perfluoro-n-nonanoic acid | PFNA | 375-95-1 | 13C9-PFNA | 0.148 | 1.00 |
| 9-chlorohexadecafluoro-3-oxanonane-1-sulfonic acid | 9Cl-PF3ONS | 756426-58-1 | 13C8-PFOS | 0.182 | 1.00 |
| 1H,1H,2H,2H-Perfluorodecanesulphonic acid | 8:2FTSA | 39108-34-4 | 13C2-8:2 FTSA | 0.262 | 1.00 |
| Perfluoro-n-decanoic acid | PFDA | 335-76-2 | 13C6-PFDA | 0.163 | 1.00 |
| Perfluoro-1-nonanesulfonic acid | PFNS | 68259-12-1 | 13C8-PFOS | 0.182 | 1.00 |
| N-methyl perfluorooctanesulfonamidoacetic acid | N-MeFOSAA | 2355-31-9 | d3-N-MeFOSAA | 0.219 | 1.00 |
| N-ethyl perfluorooctanesulfonamidoacetic acid | N-EtFOSAA | 2991-50-6 | d5-N-EtFOSAA | 0.212 | 1.00 |
| Perfluorooctanesulphonamide | FOSA | 754-91-6 | 13C8-FOSA | 0.155 | 1.00 |
| Perfluoro-n-undecanoic acid | PFUnA, PFIdA | 2058-94-8 | 13C7-PFUdA | 0.222 | 1.00 |
| Perfluoro-1-decanesulfonic acid | PFDS | 335-77-3 | 13C8-PFOS | 0.257 | 1.00 |
| Potassium 11-chloroeicosafluoro-3-oxaundecane-1-sulfonic acid | 11Cl-PF3OUdS | 763051-92-9 | 13C8-PFOS | 0.149 | 1.00 |
| Perfluoro-n-dodecanoic acid | PFDoA | 307-55-1 | 13C2-PFDoA | 0.271 | 1.00 |
| Perfluoro-1-dodecanesulfonic acid | PFDoS | 79780-39-5 | 13C2-PFTeDA | 0.398 | 1.00 |
| Perfluoro-n-tridecanoic acid | PFTrDA | 72629-94-8 | 13C2-PFDoA | 0.193 | 1.00 |
| N-Methyl Perfluorooctanesulfonamide | N-MeFOSA | 31506-32-8 | d3-N-MeFOSAA | 1.000 | 2.00 |
| 2-(N-methylperfluoro-1-octanesulfonamido)-ethanol | N-MeFOSE | 24448-09-7 | d7-N-MeFOSE | 0.281 | 1.00 |
| N-Ethyl Perfluorooctanesulfonamide | N-EtFOSA | 4151-50-2 | d5-N-EtFOSA | 0.694 | 2.00 |
| 2-(N-ethylperfluoro-1-octanesulfonamido)-ethanol | N-EtFOSE | 1691-99-2 | d9-N-ETFOSE | 0.212 | 1.00 |
| Perfluoro-n-tetradecanoic acid | PFTeDA | 376-06-7 | 13C2-PFTeDA | 0.175 | 1.00 |
References
- Lewis, A.J.; Yun, X.; Spooner, D.E.; Kurz, M.J.; McKenzie, E.R.; Sales, C.M. Exposure pathways and bioaccumulation of per- and polyfluoroalkyl substances in freshwater aquatic ecosystems: Key considerations. Sci. Total Environ. 2022, 822, 153561. [Google Scholar] [CrossRef]
- Fair, P.A.; Wolf, B.; White, N.D.; Arnott, S.A.; Kannan, K.; Karthikraj, R.; Vena, J.E. Perfluoroalkyl substances (PFASs) in edible fish species from Charleston Harbor and tributaries, South Carolina, United States: Exposure and risk assessment. Environ. Res. 2019, 171, 266–277. [Google Scholar] [CrossRef] [PubMed]
- Boehrer, B.; Schultze, M. Stratification of lakes. Rev. Geophys. 2008, 46, 1–27. [Google Scholar] [CrossRef]
- Zhao, S.; Hermans, M.; Niemistö, J.; Vesterinen, J.; Jilbert, T. Stratification controls the magnitude of in-lake phosphorus cycling: Insights from a morphologically complex eutrophic lake. Hydrobiologia 2025, 852, 359–376. [Google Scholar] [CrossRef]
- Herrin, R.T.; Lathrop, R.C.; Gorski, P.R.; Andren, A.W. Hypolimnetic methylmercury and its uptake by plankton during fall destratification: A key entry point of mercury into lake food chains? Limnol. Oceanogr. 1998, 43, 1476–1486. [Google Scholar] [CrossRef]
- Bloom, N.S.; Watras, C.J.; Hurley, J.P. Impact of acidification on the methylmercury cycle of remote seepage lakes. Water Air Soil Pollut. 1991, 56, 477–491. [Google Scholar] [CrossRef]
- MacInnis, J.J.; Lehnherr, I.; Muir, D.C.G.; St. Pierre, K.A.; St. Louis, V.L.; Spencer, C.; De Silva, A.O. Fate and Transport of Perfluoroalkyl Substances from Snowpacks into a Lake in the High Arctic of Canada. Environ. Sci. Technol. 2019, 53, 10753–10762. [Google Scholar] [CrossRef]
- St. Pierre, K.A.; St. Louis, V.L.; Lehnherr, I.; Schiff, S.L.; Muir, D.C.G.; Poulain, A.J.; Smol, J.P.; Talbot, C.; Ma, M.; Findlay, D.L.; et al. Contemporary limnology of the rapidly changing glacierized watershed of the world’s largest High Arctic lake. Sci. Rep. 2019, 9, 4447. [Google Scholar] [CrossRef] [PubMed]
- Camacho, C.G.; Antonison, A.; Oldnettle, A.; Costa, K.A.; Timshina, A.S.; Ditz, H.; Thompson, J.T.; Holden, M.M.; Sobczak, W.J.; Arnold, J.; et al. Statewide Surveillance and Mapping of PFAS in Florida Surface Water. ACS ES&T Water 2024, 4, 4343–4355. [Google Scholar] [CrossRef]
- Brusseau, M.L. Differential Sorption of Short-Chain versus Long-Chain Anionic Per- and Poly-Fluoroalkyl Substances by Soils. Environments 2023, 10, 175. [Google Scholar] [CrossRef]
- Luft, C.M.; Schutt, T.C.; Shukla, M.K. Properties and Mechanisms for PFAS Adsorption to Aqueous Clay and Humic Soil Components. Environ. Sci. Technol. 2022, 56, 10053–10061. [Google Scholar] [CrossRef] [PubMed]
- Nguyen, T.M.H.; Bräunig, J.; Thompson, K.; Thompson, J.; Kabiri, S.; Navarro, D.A.; Kookana, R.S.; Grimison, C.; Barnes, C.M.; Higgins, C.P.; et al. Influences of Chemical Properties, Soil Properties, and Solution pH on Soil–Water Partitioning Coefficients of Per- and Polyfluoroalkyl Substances (PFASs). Environ. Sci. Technol. 2020, 54, 15883–15892. [Google Scholar] [CrossRef] [PubMed]
- Remucal, C.K. Spatial and temporal variability of perfluoroalkyl substances in the Laurentian Great Lakes. Environ. Sci. Process. Impacts 2019, 21, 1816–1834. [Google Scholar] [CrossRef]
- Balgooyen, S.; Remucal, C.K. Tributary Loading and Sediment Desorption as Sources of PFAS to Receiving Waters. ACS ES&T Water 2022, 2, 436–445. [Google Scholar] [CrossRef]
- Houde, M.; Czub, G.; Small, J.M.; Backus, S.; Wang, X.; Alaee, M.; Muir, D.C.G. Fractionation and Bioaccumulation of Perfluorooctane Sulfonate (PFOS) Isomers in a Lake Ontario Food Web. Environ. Sci. Technol. 2008, 42, 9397–9403. [Google Scholar] [CrossRef]
- WDNR. BRRTS on the Web (BOTW), BRRTS No. 02-13-584369. Available online: https://apps.dnr.wi.gov/botw/GetActivityDetail.do?crumb=2&siteId=32315900&dsn=584369 (accessed on 19 November 2024).
- WDNR. Choose Wisely: A Health Guide for Eating Fish in Wisconsin. Available online: https://widnr.widen.net/s/s6mkcq6tmr/pub_fh_824_choosewisely (accessed on 18 November 2024).
- Lathrop, R.C. Perspectives on the eutrophication of the Yahara lakes. Lake Reserv. Manag. 2007, 23, 345–365. [Google Scholar] [CrossRef]
- Lathrop, R.C.; Carpenter, S.R. Water quality implications from three decades of phosphorus loads and trophic dynamics in the Yahara chain of lakes. Inland Waters 2014, 4, 1–14. [Google Scholar] [CrossRef]
- Magnuson, J.J.; Carpenter, S.R.; Stanley, E.H. North Temperate Lakes LTER: Chemical Limnology of Primary Study Lakes: Nutrients, pH and Carbon 1981–Current ver 59. Environmental Data Initiative. Available online: https://portal.edirepository.org/nis/mapbrowse?packageid=knb-lter-ntl.1.59 (accessed on 26 May 2023).
- Sherman-Bertinetti, S.L.; Kostelnik, E.G.; Gruber, K.J.; Balgooyen, S.; Remucal, C.K. Preferential Partitioning of Per- and Polyfluoroalkyl Substances (PFAS) and Dissolved Organic Matter in Freshwater Surface Microlayer and Natural Foam. Environ. Sci. Technol. 2024, 58, 13099–13109. [Google Scholar] [CrossRef]
- Falkowska, L. Sea surface microlayer: A field evaluation of teflon plate, glass plate and screen sampling techniques. Part 1. Thickness of microlayer samples and relation to wind speed. Oceanologia 1999, 42, 211–221. [Google Scholar]
- Vavrus, S. September 2023 Wisconsin Climate Summary. Available online: https://climatology.nelson.wisc.edu/september-2023-wisconsin-climate-summary/ (accessed on 18 November 2024).
- Wisconsin State Climatology Office. Available online: https://climatology.nelson.wisc.edu/first-order-station-climate-data/madison-climate/historical-precipitation/ (accessed on 14 November 2024).
- Guo, B.; Saleem, H.; Brusseau, M.L. Predicting Interfacial Tension and Adsorption at Fluid–Fluid Interfaces for Mixtures of PFAS and/or Hydrocarbon Surfactants. Environ. Sci. Technol. 2023, 57, 8044–8052. [Google Scholar] [CrossRef]
- Ju, X.; Jin, Y.; Sasaki, K.; Saito, N. Perfluorinated Surfactants in Surface, Subsurface Water and Microlayer from Dalian Coastal Waters in China. Environ. Sci. Technol. 2008, 42, 3538–3542. [Google Scholar] [CrossRef] [PubMed]
- McMurdo, C.J.; Ellis, D.A.; Webster, E.; Butler, J.; Christensen, R.D.; Reid, L.K. Aerosol Enrichment of the Surfactant PFO and Mediation of the Water−Air Transport of Gaseous PFOA. Environ. Sci. Technol. 2008, 42, 3969–3974. [Google Scholar] [CrossRef]
- Li, H.; Dong, Q.; Zhang, M.; Gong, T.; Zan, R.; Wang, W. Transport behavior difference and transport model of long- and short-chain per- and polyfluoroalkyl substances in underground environmental media: A review. Environ. Pollut. 2023, 327, 121579. [Google Scholar] [CrossRef] [PubMed]
- USEPA. Methods for the Determination of Organic Compounds in Drinking Water; EPA/600/4-88/039 (NTIS PB91231480); USEPA: Washington, DC, USA, 1991.
- USEPA. METHOD 537.1 Determination of Selected Perfluorinated Alkyl Acids in Drinking Water by Solid Phase Extraction and Liquid Chromatography/Tandem Mass Spectrometry (LC/MS/MS); EPA/600/R-20/006; USEPA: Washington, DC, USA, 2020.
- NELAC. Laboratory Accreditation. Available online: https://nelac-institute.org/index.php (accessed on 25 January 2025).
- USEPA. The Federal Water Pollution Control Act Amendments of 1972 as amended by the Clean Water Act of 1977. eCFR 2024, Title 40, Chapter 1, Subchapter D, Part 136, Appendix B. Available online: https://www.ecfr.gov/current/title-40/appendix-Appendix%20B%20to%20Part%20136 (accessed on 25 January 2025).






Disclaimer/Publisher’s Note: The statements, opinions and data contained in all publications are solely those of the individual author(s) and contributor(s) and not of MDPI and/or the editor(s). MDPI and/or the editor(s) disclaim responsibility for any injury to people or property resulting from any ideas, methods, instructions or products referred to in the content. |
© 2025 by the author. Licensee MDPI, Basel, Switzerland. This article is an open access article distributed under the terms and conditions of the Creative Commons Attribution (CC BY) license (https://creativecommons.org/licenses/by/4.0/).
Share and Cite
Gorski, P.R. The Distribution and Seasonality of Per- and Polyfluoroalkyl Substances (PFAS) in the Vertical Water Column of a Stratified Eutrophic Freshwater Lake. Environments 2025, 12, 48. https://doi.org/10.3390/environments12020048
Gorski PR. The Distribution and Seasonality of Per- and Polyfluoroalkyl Substances (PFAS) in the Vertical Water Column of a Stratified Eutrophic Freshwater Lake. Environments. 2025; 12(2):48. https://doi.org/10.3390/environments12020048
Chicago/Turabian StyleGorski, Patrick R. 2025. "The Distribution and Seasonality of Per- and Polyfluoroalkyl Substances (PFAS) in the Vertical Water Column of a Stratified Eutrophic Freshwater Lake" Environments 12, no. 2: 48. https://doi.org/10.3390/environments12020048
APA StyleGorski, P. R. (2025). The Distribution and Seasonality of Per- and Polyfluoroalkyl Substances (PFAS) in the Vertical Water Column of a Stratified Eutrophic Freshwater Lake. Environments, 12(2), 48. https://doi.org/10.3390/environments12020048

