Next Article in Journal
A Systematic Review of Microplastic Contamination in Commercially Important Bony Fish and Its Implications for Health
Previous Article in Journal
From Waste to Resource: Evaluating Biomass Residues as Ozone-Catalyst Precursors for the Removal of Recalcitrant Water Pollutants
 
 
Font Type:
Arial Georgia Verdana
Font Size:
Aa Aa Aa
Line Spacing:
Column Width:
Background:
Article

Effects of Land-Use Intensity on Functional Community Composition and Nutrient Dynamics in Grassland

by
Julia Walter
1,†,‡,
Ulrich Thumm
2 and
Carsten M. Buchmann
1,*,‡
1
Landscape and Plant Ecology, University of Hohenheim, Ottilie-Zeller-Weg 2, 70599 Stuttgart, Germany
2
Biobased Resources in the Bioeconomy, University of Hohenheim, Fruwirthstr. 23, 70599 Stuttgart, Germany
*
Author to whom correspondence should be addressed.
Current address: Landwirtschaftliches Technologiezentrum Augustenberg, Kutschenweg 20, 76287 Rheinstetten, Germany.
These authors contributed equally to this work.
Environments 2024, 11(8), 173; https://doi.org/10.3390/environments11080173
Submission received: 15 July 2024 / Revised: 8 August 2024 / Accepted: 9 August 2024 / Published: 13 August 2024

Abstract

Land-use intensity drives productivity and ecosystem functions in grassland. The effects of long-term land-use intensification on plant functional community composition and its direct and indirect linkages to processes of nutrient cycling are largely unknown. We manipulated mowing frequency and nitrogen inputs in an experiment in temperate grassland over ten years. We assessed changes in species composition and calculated functional diversity (FDis) and community weighted mean (CWM) traits of specific leaf area (SLA), leaf dry matter content (LDMC) and leaf and root nitrogen of the plant community, using species-specific trait values derived from databases. We assessed above- and belowground decomposition and soil respiration. Plant diversity strongly decreased with increasing land-use intensity. CWM leaf nitrogen and SLA decreased, while CWM LDMC increased with land-use intensification, which could be linked to an increased proportion of graminoid species. Belowground processes were largely unaffected by land-use intensity. Land use affected aboveground litter composition directly and indirectly via community composition. Mowing frequency, and not a land-use index combining mowing frequency and fertilization, explained most of the variation in litter decomposition. Our results show that land-use intensification not only reduces plant diversity, but that these changes also affect nutrient dynamics.

1. Introduction

Among global change drivers, land-use intensification in grassland is the main factor affecting ecosystem functions, both above and belowground [1]. While management of agriculturally used grassland is often targeted at maximising aboveground biomass production, this often reduces other ecosystem services and functions, e.g., by causing nitrate leaching or by reducing plant diversity.
Reduced grassland diversity was found to bring adverse consequences for multiple ecosystem functions and services and the stability and resilience of these ecosystems [2,3,4]. Productivity and invasion resistance are positively related to species- and functional-group richness even in intensively managed grassland [5]. Soil processes and functions, like microbial activity, are often negatively affected by land-use intensification [6,7,8].
Grasslands are not only important for agricultural production but also for climate regulation [9], as they store about one-third of terrestrial soil carbon [10,11,12]. The effects of management intensity on soil carbon storage are controversial. Increased fertilization and mowing frequency can increase soil carbon sequestration, mostly through higher productivity [13], while intense grazing reduces soil carbon storage [14].

1.1. Grassland-Use Intensity and Consequences for Plant Functional Community Structure and Aboveground Decomposition

Land-use intensity affects the functional structure of plant communities because species with their unique trait setups react differently to cutting and nitrogen inputs. This results in shifts in the plant community’s composition, consequently changing the presence and abundance of plant traits in the community. High land-use intensity in grassland (e.g., higher nitrogen inputs and more frequent cutting) often leads to a dominance of fast-growing, exploitative species with high specific leaf area (SLA) and leaf nutrients [6,15,16], and can reduce functional diversity [17]. High nitrogen inputs lead to a decrease in leguminous species [18]. Such changes in the plant community composition can strongly affect ecosystem functioning and services, for example, nectar and pollen provisioning for pollinators [19]. The influence of plant community composition on aboveground litter decomposition via changes in litter quality is well documented [15,20,21]. When plant communities shift towards exploitative species with high SLA and leaf nitrogen, decomposition is usually accelerated. Decreases in functional diversity, however, can counteract such effects [21,22]. Furthermore, litter decomposition can be accelerated directly by nitrogen addition, via increased litter nitrogen concentration [23,24,25], but effects also depend on ambient nitrogen deposition levels and other aspects of litter quality [26]. Mowing frequency and timing determine quality and protein concentration in temperate grassland more than nitrogen inputs [18]. Due to increased litter nitrogen concentration and lower fibre concentration induced by higher mowing frequency, litter decomposition is accelerated by more frequent mowing when water is not limited [27].

1.2. Grassland-Use Intensity and Consequences for Soil Processes

Land-use intensity not only determines plant community structure but also directly impacts numerous belowground processes and functions. Nitrogen inputs decrease microbial biomass [28,29,30], change the bacterial community composition [28,30], enhance bacterial dominance over fungi [29,31] and reduce soil diversity [30,32], which can affect various belowground processes. For instance, nitrogen fertilisation is often accompanied by short-term increases in soil respiration, at least when water is not limited [33,34,35]. This may also lead to decreases in soil carbon storage [36].
High mowing frequencies in grassland reduce soil diversity and fungal abundance [37], but the effects on soil respiration are less clear. Often, no effects of intensified grazing or mowing on soil respiration are found [33], but reductions in soil respiration and decreases in microbial biomass have been reported [38,39]. Tang et al. [40] report reductions in belowground decomposition and stabilisation by grazing.
The mechanisms underlying these belowground changes under intensified land use in grassland are relatively unclear. Generally, belowground communities are impacted by land-use intensity via two different pathways (Figure 1): First, abiotic conditions (e.g., nutrient inputs) affect microbial communities and activity directly. Second, it is now widely acknowledged that the plant functional community structure is tightly linked to belowground processes, e.g., by litter inputs or root exudates. Such indirect effects via plant functional traits can be even more important than direct effects of land-use intensification; Boeddinghaus et al. [41] show that plant functional traits better explain soil microbial function and biomass than land-use intensity across a gradient of grasslands subjected to different land-use intensities.
Most studies connecting land-use intensity and soil processes rely on observational data across multiple study sites and often encompass different land-use types (e.g., arable vs. grassland [32]), while experimental, manipulative long-term studies are rare. It has been argued that long-term experiments with neighbouring plots, that have comparable climatic and soil conditions, are urgently needed to understand the impacts of management practice on soil quality [42]. Here, we present results from a long-term (10-year) grassland experiment manipulating nitrogen inputs and mowing frequency. We ask how plant community composition, aboveground litter decomposition, belowground decomposition rate and stabilisation as well as soil respiration are affected by land-use intensity and whether these changes are driven directly by land-use intensity or indirectly via shifts in the plant community.
This is not only important because soil processes and functions are a prerequisite for agricultural production, but also because these findings allow conclusions to be drawn on how to sustainably manage agricultural systems.
We hypothesize the following:
  • Plant diversity declines with increasing land-use intensity and plant communities shift towards exploitative, fast-growing species with high leaf nitrogen and SLA and low leaf dry matter content (LDMC).
  • Soil respiration, and with it belowground decomposition, is directly increased by increased land-use intensity (Figure 1).
  • Aboveground decomposition will be accelerated by increased land-use intensity (Figure 1).
  • Most of the variation in above-ground decomposition derives from shifts in the plant community composition and belowground processes compared to land-use intensity and mowing directly (Figure 1).

2. Material and Methods

2.1. Experimental Design and Study Site

The field experiment was established at the University of Hohenheim (48.72° N and 9.21° E; 407 m a.s.l.) in 2008. Mean annual precipitation from 1981 to 2010 was 718 mm and mean annual temperature was 9.4 °C [43]. The loamy soil can be characterised as chromic luvisol. Different mowing frequencies (two to four per year) and fertilisation levels (0, 30, and 60 kg N ha per cut) were applied in a two-factorial split-plot design, with fertilisation level nested within the mowing frequency. Fertilisation plots were 2 m × 10 m in size and grouped in blocks in which mowing frequencies were applied (8 × 10 m). Each combination of fertilisation and mowing was replicated five times, thus including 45 plots and 15 blocks, arranged in 5 rows. Distance between rows was 6 m and between blocks 2 m (see Figure S1, Supplementary Materials, for a sketch of the experimental design). Mowing and fertilisation levels were combined to calculate a land-use intensity index (LUI) for each plot according to Blüthgen et al. [44], for which these two components are standardized according to their mean and then summed:
LUI = Fi/FR + Mi/MR,
where Fi is the fertilization level (kg nitrogen ha−1 year−1) and Mi is the frequency of mowing per year in plot i and FR and MR their respective mean within the whole experiment (Table 1).
According to agricultural practice, when adjusting nitrogen inputs to nitrogen removal, nitrogen inputs are applied at different amounts for each mowing frequency (i.e., nitrogen was applied per cut and not per year). As a consequence, every mowing frequency level has different amounts of nitrogen inputs. E.g., for plots mown twice, we have annual nitrogen inputs of 0, 60, and 120 kg/ha, but not 180 kg/ha or 240 kg/ha). Therefore, we cannot test the two factors and their interaction independently.
In 2008, the establishment year of the experiment, the field was ploughed and sown with a seed mixture with several grassland species. The seed mixture consisted of 10 grass varieties (overall 26 kg seeds per ha), four leguminous forbs (3.1. kg seeds per ha), and 13 non-leguminous forbs (3.2 kg seeds per ha) (see Table S1, Supplementary Materials, for a species list and their respective contribution). In 2018, the year of the study, all plots were last mown and fertilised on 25 September. All soil-related measurements took place after this last experimental manipulation to avoid disturbance and confounding of responses with plant height.

2.2. Plant Community Composition and Functional Trait Structure

Species-specific yield proportions were estimated visually for each plot and treatment combination as a percentage of dry matter yield in April and May 2018 according to the method by Klapp and Stählin described in Voigtländer and Voss [45]. If a species’ proportion was below 1% it was analysed as contributing to the overall proportion with 0.5%. These cover data were used to calculate community-weighted mean (CWM) traits and functional dispersion FDis, which is a measure of functional diversity ([46], see below). Trait data were derived from the LEDA and TRY databases and complemented by the literature for species information missing in these databases (Table 2). We used data for leaf dry matter content (LDMC), specific leaf area (SLA), leaf nitrogen concentration (leaf N) and root nitrogen concentration (root N), because these traits have previously been shown to be sensitive towards land-use intensity [15,20]. CWM traits for each community were calculated by weighing species-level trait values by the yield proportion of each species. Because trait data were incomplete for leaf and root N for some species, some adjustments were necessary. Species with less than 3% cover in a plot were neglected. Further, one plot with 9% Leucanthemum vulgare was completely excluded from the analyses, because nitrogen data for L. vulgare were not available. Leaf N for Festuca pratensis was assumed to be the average between F. arundinacea and F. rubra, and was close to the overall grass average of leaf N (Table 2). For root N, the overall root N content of grasses of the plots for which data were available was used for A. elatius, F. pratensis, F. arundinacea and T. flavescens. For functional dispersion, we also included trait values for seed mass and vegetative plant height from the LEDA database, because including these can mirror the functional diversity of plant communities better, although they are not directly related to decomposition dynamics. Functional dispersion based on all traits (including nitrogen data and thus excluding one plot and some species in some plots) was strongly correlated with functional dispersion solely based on LDMC and SLA, seed mass and height (Pearson’s correlation coefficient: 0.97). We thus use the functional dispersion index based on the latter only, as data were more complete. Functional diversity was quantified with the functional dispersion metric FDis. FDis is the mean distance of species to the centroid in multivariate trait space, where both distances and centroid are weighted by the abundance of species. The R-package FD was used to calculate CWM and FDis, using lingoes correction [47].

2.3. Belowground Decomposition

Belowground decomposition dynamics were studied using the tea-bag approach as described in Keuskamp et al. [48]. In short, we buried four tea bags (two rooibos and two green tea bags) per plot at 8 cm depth and with at least 15 cm distance between single tea bags. The type and brand of tea were chosen according to the standardized protocol by Keuskamp et al. [48] to make results comparable between different “tea-bag-studies”. One bag of each type was placed under a grass-dominated patch, and the other under an herb-dominated patch, respectively. They remained buried from 10 November 2018 until 7 March 2019. The decomposed fractions of green and rooibos tea were used to calculate stabilisation (S, degree to which recalcitrant material is stabilised in soil/not mineralised) and the decomposition constant (k, degree and rate with which labile fraction of plant material is decomposed) using the formulas provided on http://www.teatime4science.org/researchers/, accessed on 10 October 2019.
Table 2. Plant species occurring in grassland plots and their respective trait values. SLA and LDMC were derived from the LEDA database, using actual measurements with leaf rehydration (except C. fontanum) of adult plants. Seed mass and vegetative plant height were also taken from the LEDA database. Leaf N data were derived from the TRY database, except for D. glomerata, F. rubra, L. vulgare, L. corniculatus [49] and for P. pratensis [50]. Root N concentration was derived from the TRY database, except for A. elatius, D. glomerata, F. rubra, P. pratensis, and T. flavescens [51]. * indicates that the average between other Festuca species was used here and ** indicates that the average of all grasses was used for these traits and species.
Table 2. Plant species occurring in grassland plots and their respective trait values. SLA and LDMC were derived from the LEDA database, using actual measurements with leaf rehydration (except C. fontanum) of adult plants. Seed mass and vegetative plant height were also taken from the LEDA database. Leaf N data were derived from the TRY database, except for D. glomerata, F. rubra, L. vulgare, L. corniculatus [49] and for P. pratensis [50]. Root N concentration was derived from the TRY database, except for A. elatius, D. glomerata, F. rubra, P. pratensis, and T. flavescens [51]. * indicates that the average between other Festuca species was used here and ** indicates that the average of all grasses was used for these traits and species.
SpeciesLDMC [mg g−1]SLA [mm2g−1]Root N [%]Leaf N [%]Height [m]Seedmass [mg]
Achillea millefolium184.1021.351.212.370.3960.124
Agrostis stolonifera273.2832.630.623.010.7550.041
Alopecurus pratensis259.3326.040.951.860.4500.663
Anthoxanthum odoratum273.1726.690.922.000.1650.629
Arrhenatherum elatius288.5130.100.86 **4.501.2753.079
Bellis perennis113.5027.080.912.890.0550.160
Cerastium fontanum174.8036.04NANA0.1500.096
Crepis biennis132.5031.231.021.780.5751.347
Cynosurus cristatus248.2524.330.882.290.5470.548
Dactylis glomerata243.3325.830.713.830.4540.736
Festuca arundinacea234.0018.400.86 **2.250.6001.664
Festuca pratensis273.7124.150.86 **2.85 *0.5501.948
Festuca rubra267.0022.300.803.450.4830.878
Galium mollugo167.9823.981.192.370.5000.737
Geranium pratense237.5021.181.152.000.4087.613
Holcus lanatus241.1537.480.812.260.3250.398
Knautia arvensis183.6718.520.912.140.4333.564
Leucanthemum vulgare129.6718.970.69NA0.3640.369
Lolium multiflorum265.0025.75NANA0.3252.909
Lolium perenne221.2225.280.862.750.1252.023
Lotus corniculatus166.6723.812.063.720.4291.403
Phleum pratense264.7526.930.802.730.3710.588
Plantago lanceolata140.1521.971.052.040.1611.617
Poa pratensis308.2722.161.003.450.3000.273
Poa trivialis175.0033.141.063.250.1530.165
Ranunculus acris192.2022.741.192.510.2581.713
Ranunculus repens177.8127.481.002.180.2421.870
Rumex acetosa98.5033.100.923.170.5050.929
Trifolium pratense218.1823.012.293.810.2831.581
Trifolium repens186.1333.252.684.160.3500.613
Trisetum flavescens307.6720.530.86 **4.250.5500.303
Vicia sepium186.0039.732.734.390.4723.38

2.4. Soil Respiration

Soil CO2 efflux was measured on 19 October, 2 November and 20 November, using a LI-8100A coupled to a soil respiration survey chamber of 0.1 m diameter (LI-COR Biosciences, Lincoln, RI, USA). The chamber was placed on permanently installed PVC collars of 10 cm height in each plot, the sparse vegetation within these collars was clipped 24 h prior to measurements (N = 45), but roots remained in the intact soil. CO2 concentration was measured for 90 s, starting 30 s after the chamber closed. Soil CO2 efflux was calculated based on the exponential model implemented in LI-8100A.

2.5. Supply Rates of Micro- and Macronutrients

Nutrient supply rates were assessed using PRS® probes (Western Ag Innovations, Saskatoon, SK, Canada), which are plastic-supported ion-exchange resin membranes of 1.6 × 5.5 cm. In each plot, two anion probes and two cation probes were inserted vertically into the soil to assess nutrient supply rates of micro- and macronutrients from 27 September until 19 October 2018 (see https://www.westernag.ca/innovations/customer/use, accessed on 24 September 2018, for detailed instructions). After retrieval, probes were shipped back to Wester AG and NO -N and NH -N were determined colourimetrically using an automated flow injection analysis system (FIAlyzer, FIAlab Inc., Seattle, WA, USA). Other nutrients (PO43−, SO42−, K+, Mg2+, Ca2+, Fe2+, Mn2+) were measured using inductively-coupled plasma spectrometry (IPC-OES, Optima ICP-OES 8300 analyser (PerkinElmer Inc., Waltham, MA, USA) (see https://www.westernag.ca/innovations/technology/analysis_units, accessed on 24 September 2018, for details about the analysis). The anion and cation probes from one plot were pooled, respectively, and were analysed together, resulting in N = 45 for each nutrient.

2.6. Aboveground Decomposition

The litter used for the study was collected from each plot on 25 September, the day of the last mowing in 2018. We collected both “brown” litter (dead senesced plant material from the ground or residues from mowing) and “green” litter (cut from the standing vegetation shortly before mowing) and dried it for three days at 60 °C. We constructed decomposition microcosms to investigate litter mass loss using PVC cylinders (10 cm diameter, 8 cm height) that were covered with mesh on top and bottom and had 10 holes (diameter 1 cm) in their sides that were also mesh-covered. These microcosms prevent litter compaction and thus mimic natural situations [52]. Cylinders were either closed with very fine polyamide mesh (50 µm), only allowing access to microorganisms and microfauna, or coarse mesh (5 mm), allowing access to the whole decomposer community. Thus, on each plot, we placed four microcosms on bare or sparsely vegetated soil, resulting in an overall 180 microcosms. They were filled with approximately 5 g of litter. Coarse-meshed tubes were filled in the field after placing PVC tubes on the ground to avoid litter loss. Litter was placed back on its plot of origin. Microcosms remained in the field from 8 November 2018 until 5 March 2019. Litter was removed from tubes, and dried at 60° for three days and the remaining litter weight was determined to calculate the percentage of litter weight loss as a proxy for aboveground decomposition.

2.7. Data Analysis

Statistical relationships were analysed with R 3.6.3 [53]. Linear mixed-effects models with random intercepts were fitted (packages lme4 [54]; lmerTest [55] and MuMIn [56] for model selection and evaluation). For one variable (percentage of legumes), a generalized linear mixed-effects model with binomial errors was fitted, to account for inhomogeneity of residuals. Random effects were specified according to the experimental setup: block for nutrient analyses (NO3, Ca2+, Mg2+, K+, PO43−, SO42−) and community measures (number of species, functional diversity and CWM traits), for which only one data point per plot existed, and plot nested within block for decomposition (S, k, percentage loss) and soil respiration, for which we had multiple data points per plot (temporal or spatial pseudo-replicates). Random effects were not excluded during model simplification and marginal (only fixed effects) as well as conditional (fixed and random effects) R2 values were calculated. Minimal adequate models were visually inspected for normality of residuals; in one case the response variable was subsequently log-transformed (soil respiration). To make direct and indirect effects more comparable, we further used structural equation models (SEM), using the R-packages lavaan [57] and semPlot [58]. We included the factors, land-use intensity and cutting frequency, acting either directly on aboveground decomposition or via community shifts (functional diversity, species richness, community-weighted mean traits).

3. Results

3.1. Plant Community Composition

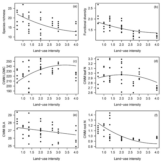
Plant diversity declined with land-use intensification, both in terms of species richness and functional diversity (Table 3). Both showed a quadratic relationship with land-use intensity, nevertheless, with the highest diversity under the lowest land-use intensity (Figure 2a,b).
CWM LDMC and CWM leaf N were quadratically related to land-use intensity (Figure 2c,d). While CWM LDMC increased up to a land-use intensity of approximately three and then decreased slightly, CWM leaf N was highest at intermediate levels of land-use intensity at approximately two. CWM root N and CWM SLA decreased with increasing land-use intensity, the latter linearly (Figure 2e,f). The proportion of herbaceous species declined sharply with increasing LUI, especially the proportion of herbaceous legumes (see Figure S2, Supplementary Materials).

3.2. Influence of Land-Use Intensity on Soil Nutrients, Respiration and Belowground Decomposition

Soil NO3 was positively quadratically related to land-use intensity, sharply increasing up from a land-use intensity above 2.5. SO42− and Mg2+ were linearly decreasing with land-use intensity, while PO43−, K+ and Ca2+ were unaffected (see Figure S3 and Table S2, Supplementary Materials). Stabilisation S was not affected by land-use intensity but by the interaction between the kind of vegetation and land-use intensity (Figure 3a; Table 4). While stabilisation decreased with land-use intensity when buried beneath herbaceous vegetation, it increased with land-use intensity when buried beneath grass. Neither the belowground decomposition constant k (Figure 3b; Table 4) nor soil respiration (Figure 3c; Table 4) were affected by land-use intensity. The decomposition constant was also not affected by the kind of vegetation it was buried beneath, and nor were any interaction terms found to be significant.

3.3. Influence of Land-Use Intensity and Community Patterns on Decomposition

Aboveground litter decomposition of plant material was significantly affected by land-use intensity, by mesh size (5 mm or 50 µm) and by litter type (green or brown), but not by their interaction (Figure 4a; Table 5): Aboveground litter decomposition increased with land-use intensity irrespective of litter type or mesh size. The effects of micro- and macrofauna cannot be entirely disentangled, because the treatments with coarse mesh allowed access of both groups. Still, green litter decomposed generally faster than brown litter, and all litter decomposed faster when macrofauna and microfauna (and not only microfauna) were allowed access (5 mm mesh size) (marginal R2 = 0.29).
Functional diversity was negatively related to aboveground decomposition, showing the higher litter loss of communities with low functional diversity, while species richness was positively related, showing the higher litter losses of communities with high species richness (Figure 4b,c). All two-way interactions and the main effects for CWM traits were not retained in the most parsimonious model.
Besides litter type and mesh size, aboveground decomposition was best explained by plant community diversity (both species richness and functional diversity including litter type and mesh size, marginal R2 = 0.37; Table 4). These indirect effects via plant community composition explained more than land-use intensity directly (model including mesh size and litter type). The model including cutting frequency, however, explained most variations in aboveground decomposition (marginal R2 = 0.50; Table 4). SEM analyses confirm that indirect effects explain more than land-use intensity directly, but that the direct effect of cutting frequency alone explains more of the variations in the data than indirect effects. (Figure S4, Table S4, Supplementary Materials).
We could not test the effects of nitrogen addition separately, because high levels of nitrogen fertilisation were always associated with high levels of cutting frequency (as nitrogen fertilisation was given after each cut according to agricultural practice; i.e., the highest nitrogen inputs of 240 and 180 kg/ha/year were only given to plots mown 4 or 3 times). High cutting frequency, on the other hand, was not consistently related to high fertilisation levels, because all cutting frequencies were also not fertilised.
Stabilisation (the degree to which organic matter stays in the soil as recalcitrant material) was significantly negatively affected by CWM LDMC, with lower stabilisation when CWM LDMC of the aboveground plant community was higher. CWM LDMC had higher explanatory power (marginal R2 = 0.16) for S compared to land-use intensity (marginal R2 = 0.04). For further details on models of decomposition patterns (S and k) explained by community patterns, see Table S3, Supplementary Materials.

4. Discussion

Expectedly, and in accordance with other studies, both species richness and functional diversity decreased with increasing land-use intensity. Contrasting to our expectations and existing theory and studies, the plant community did not shift towards more exploitative, fast-growing species with high leaf N, SLA and low LDMC, but rather to graminoid species with lower leaf N, SLA and higher LDMC. This might be because graminoid species tolerate frequent cutting, in contrast to most herbaceous species. Furthermore, bred cultivars of agriculturally used graminoid species are especially bred to be fast-growing and competitive, which also might explain this shift. Importantly, plant community parameters were not the best predictors for the decomposition of aboveground plant material, but rather mowing frequency. The often-documented positive relationship between the functional diversity of plant communities and their litter decomposition seems to hold for woody plant communities and equally for managed grasslands under different global change drivers [22,59]. In our study, comparing grasslands under different land-use regimes, however, the role of mowing frequency and thus age of plant material seemed to be the most important driver. As a consequence, intra-specific variation in litter quality, rather than species mean traits and interspecific variation, might be the most important factor for nutrient dynamics in grassland.

4.1. Land-Use Intensification Decreases Diversity

Our findings of decreased functional and species diversity under high land-use intensity are consistent with other studies showing decreases in grassland plant diversity with increasing land-use intensity [4,60]. We expected that community-weighted mean traits would indicate a shift towards fast-growing, exploitative species that show low LDMC, high SLA and leaf N, according to the plant economics spectrum [16,61]. Our contrary finding can be explained by a shift towards graminoid and non-leguminous species under high land-use intensity, which might be largely driven by high nitrogen inputs [18]. Herbaceous, and especially leguminous, species have usually lower leaf LDMC (average 172) and higher leaf N (2.9) and SLA (26), compared with graminoid species (235, 2.8, 23.6). Leguminous species occurred at more than 5% cover only in land-use intensities below two. The finding of decreasing CWM root N under increasing land-use intensity might also be explained by a loss of leguminous species under high land-use intensity. Other studies also showed inconsistent effects of nitrogen fertilisation on community-weighted mean leaf traits, like SLA and LDMC [62].

4.2. Belowground Processes Are Relatively Stable towards Land-Use Intensity

Contrasting to our hypotheses and other studies, we did not find large effects of land-use intensity on belowground processes, despite markedly changed soil nutrient levels. Yin et al. [63] did not find any effects of grassland management intensity on the decomposition of uniform standard litter, suggesting no effects on decomposer activity. Also, Komainda et al. [64] found no effects of stocking intensity or patch height on soil organic carbon or belowground biomass. Du et al. [65] found that nitrogen addition decreased soil respiration, while mowing increased soil respiration. It might be that in our case, these two factors might have cancelled out, because high nitrogen levels were applied to frequently mown plots. Unfortunately, mowing frequency and nitrogen inputs cannot be completely disentangled from the experimental design of our study which was based on agricultural practice. Only stabilisation reacted slightly to land-use intensity, but this reaction depended on whether the tea bags were buried below grassy or herbaceous vegetation. Similarly, Du et al. [65] found that soil respiration differed between forb- and grass-dominated patches and was lower under grass patches. We cannot explain, however, the differences in stabilisation in response to land-use intensity under these different patches. It might be related to different nutrient exploitation strategies between grasses and forbs, leading to differing N availability under these different patches. In sum, the stability of soil processes is surprising, given that many studies show strong effects of land-use intensity on microbial communities and processes [41]. More research is needed to investigate not only the effects of land-use intensity on soil microbial communities, but also on associated biogeochemical processes.

4.3. High Land-Use Intensity Accelerates Aboveground Litter Decomposition, Driven Mostly by Frequent Cutting

According to our hypothesis, we found that aboveground decomposition was accelerated by land-use intensification. Unexpectedly, however, this was not primarily linked to changes in community-weighted mean leaf traits. When only considering community-related parameters, species and functional diversity explain a large share of the variation. A negative association between functional diversity and decomposition in this statistical model seems to contradict other studies [21,22,59,66], finding faster decomposition under higher functional diversity. Still, this pattern in our data could be explained by the fact that community-mediated effects were likely masked by cutting frequency, which explained most variation in aboveground decomposition. Cutting frequency determines the age of the stand and therewith the energy and mineral content of the litter [18]. Although plant communities shifted towards species with lower mean leaf N under higher land-use intensity, it is possible that within species, plants had higher leaf N levels under the high cutting frequencies, counteracting between-species effects. While species-level mean traits from trait databases are useful for inferring aboveground decomposition under, e.g., changed hydrological regimes [21], they may not be as useful for predicting the effects of nitrogen inputs and cutting.
Further, the positive relation between species richness and litter decomposition seems to contradict the faster decomposition under higher land-use intensity, because species richness was lowered by intensive land-use. Also, positive richness effects on decomposition might be overruled by frequent cutting under high land-use intensity. Our result of stable belowground processes also indicates that the quality of aboveground material led to our findings of faster decomposition under intensive grassland management, and not the changed activity of the decomposers. The effect of land-use intensity on aboveground decomposition is therefore likely to be indirect via litter quality; it might not be primarily governed by species’ abundance shifts, but more by intraspecific changes to leaf quality.
We found generally faster decomposition of green litter when macrofauna had access, but without any interactions between these factors and land-use or plant community composition. This implies that the decomposition of green, living litter is governed by the same factors as the decomposition of senesced, brown material in grassland [61,67]. Further, soil macrofauna reacts in a similar way to litter quality and land-use intensity as microfauna. Similarly, Yin et al. [63] found that grassland management intensity did not affect soil faunal contribution to litter decomposition.

5. Conclusions

Land-use intensification had clear negative effects on plant diversity. The plant community shifted towards graminoid species, with lower SLA and leaf N, and higher LDMC. The aboveground decomposition of plant material was accelerated by intensive land use, mostly linked to higher cutting frequencies. On the other hand, belowground processes were almost unchanged under land-use intensification. Aboveground decomposition seems to be rooted in intra-specific changes in leaf quality under high cutting frequencies and nitrogen inputs, which overrules the effects of species’ abundance shifts and their effects on the functional community composition. This shows that mowing frequency, and not only nitrogen fertilisation, has a large impact on nutrient dynamics in grassland. Furthermore, while general (functional) diversity-ecosystem functioning relationships might hold in relatively undisturbed systems, they might be overcome in extremely modified and intensively used agro-ecosystems.

Supplementary Materials

The following supporting information can be downloaded at: https://www.mdpi.com/article/10.3390/environments11080173/s1, Figure S1: Experimental design; Table S1: Study species; Figure S2: Effects of land-use intensity on herbs; Table S2: LMER results for soil nutrients; Figure S3: Effects of land-use intensity on soil nutrients; Table S3: LMER results for stabilisation S and belowground decomposition constant k; Figure S4: Structural equation models; Table S4: Effect sizes and explained variance for response variables in the structural equation models.

Author Contributions

J.W.: Conceptualization (equal), supervision (equal); writing—original draft (lead); methodology (equal); data curation (supporting); formal analysis (supporting). U.T.: Conceptualization (equal); supervision (equal); methodology (equal); writing—editing and review (supporting). C.M.B.: writing—original draft (supporting); data curation (lead); formal analysis (lead); data visualisation (lead); writing—editing and review (equal). All authors have read and agreed to the published version of the manuscript.

Funding

This research did not receive any specific grant from funding agencies in the public, commercial, or not-for-profit sectors.

Data Availability Statement

The data presented in this study are available on request from the corresponding author due to privacy.

Acknowledgments

We want to thank Paula Akemi Alves Ito and Teju Vaddu for their help in preparing the litter tubes and conducting the soil respiration measurements.

Conflicts of Interest

The authors declare no conflicts of interest.

References

  1. Thébault, A.; Mariotte, P.; Lortie, C.J.; MacDougall, A.S. Land Management Trumps the Effects of Climate Change and Elevated CO 2 on Grassland Functioning. J. Ecol. 2014, 102, 896–904. [Google Scholar] [CrossRef]
  2. Allan, E.; Manning, P.; Alt, F.; Binkenstein, J.; Blaser, S.; Blüthgen, N.; Böhm, S.; Grassein, F.; Hölzel, N.; Klaus, V.H.; et al. Land Use Intensification Alters Ecosystem Multifunctionality via Loss of Biodiversity and Changes to Functional Composition. Ecol. Lett. 2015, 18, 834–843. [Google Scholar] [CrossRef]
  3. Isbell, F.; Calcagno, V.; Hector, A.; Connolly, J.; Harpole, W.S.; Reich, P.B.; Scherer-Lorenzen, M.; Schmid, B.; Tilman, D.; Van Ruijven, J.; et al. High Plant Diversity Is Needed to Maintain Ecosystem Services. Nature 2011, 477, 199–202. [Google Scholar] [CrossRef]
  4. Isbell, F.; Reich, P.B.; Tilman, D.; Hobbie, S.E.; Polasky, S.; Binder, S. Nutrient Enrichment, Biodiversity Loss, and Consequent Declines in Ecosystem Productivity. Proc. Natl. Acad. Sci. USA 2013, 110, 11911–11916. [Google Scholar] [CrossRef]
  5. Argens, L.; Brophy, C.; Weisser, W.W.; Meyer, S. Functional Group Richness Increases Multifunctionality in Intensively Managed Grasslands. Grassl. Res. 2023, 2, 225–240. [Google Scholar] [CrossRef]
  6. Manning, P.; Newington, J.E.; Robson, H.R.; Saunders, M.; Eggers, T.; Bradford, M.A.; Bardgett, R.D.; Bonkowski, M.; Ellis, R.J.; Gange, A.C.; et al. Decoupling the Direct and Indirect Effects of Nitrogen Deposition on Ecosystem Function. Ecol. Lett. 2006, 9, 1015–1024. [Google Scholar] [CrossRef] [PubMed]
  7. Tischer, A.; Sehl, L.; Meyer, U.-N.; Kleinebecker, T.; Klaus, V.; Hamer, U. Land-Use Intensity Shapes Kinetics of Extracellular Enzymes in Rhizosphere Soil of Agricultural Grassland Plant Species. Plant Soil 2019, 437, 215–239. [Google Scholar] [CrossRef]
  8. Van Leeuwen, J.P.; Djukic, I.; Bloem, J.; Lehtinen, T.; Hemerik, L.; De Ruiter, P.C.; Lair, G.J. Effects of Land Use on Soil Microbial Biomass, Activity and Community Structure at Different Soil Depths in the Danube Floodplain. Eur. J. Soil Biol. 2017, 79, 14–20. [Google Scholar] [CrossRef]
  9. Liu, H.; Hou, L.; Kang, N.; Nan, Z.; Huang, J. The Economic Value of Grassland Ecosystem Services: A Global Meta-Analysis. Grassl. Res. 2022, 1, 63–74. [Google Scholar] [CrossRef]
  10. Risch, A.C.; Jurgensen, M.F.; Frank, D.A. Effects of Grazing and Soil Micro-Climate on Decomposition Rates in a Spatio-Temporally Heterogeneous Grassland. Plant Soil 2007, 298, 191–201. [Google Scholar] [CrossRef]
  11. De Deyn, G.B.; Cornelissen, J.H.C.; Bardgett, R.D. Plant Functional Traits and Soil Carbon Sequestration in Contrasting Biomes. Ecol. Lett. 2008, 11, 516–531. [Google Scholar] [CrossRef] [PubMed]
  12. Bai, Y.; Cotrufo, M.F. Grassland Soil Carbon Sequestration: Current Understanding, Challenges, and Solutions. Science 2022, 377, 603–608. [Google Scholar] [CrossRef] [PubMed]
  13. Poeplau, C. Grassland Soil Organic Carbon Stocks along Management Intensity and Warming Gradients. Grass Forage Sci. 2021, 76, 186–195. [Google Scholar] [CrossRef]
  14. Hao, X.; Yang, J.; Dong, S.; He, F.; Zhang, Y. The Influence of Grazing Intensity on Soil Organic Carbon Storage in Grassland of China: A Meta-Analysis. Sci. Total Environ. 2024, 924, 171439. [Google Scholar] [CrossRef] [PubMed]
  15. Garnier, E.; Cortez, J.; Billès, G.; Navas, M.-L.; Roumet, C.; Debussche, M.; Laurent, G.; Blanchard, A.; Aubry, D.; Bellmann, A.; et al. Plant Functional Markers Capture Ecosystem Properties during Secondary Succession. Ecology 2004, 85, 2630–2637. [Google Scholar] [CrossRef]
  16. Stampfli, A.; Bloor, J.M.G.; Fischer, M.; Zeiter, M. High Land-Use Intensity Exacerbates Shifts in Grassland Vegetation Composition after Severe Experimental Drought. Glob. Chang. Biol. 2018, 24, 2021–2034. [Google Scholar] [CrossRef] [PubMed]
  17. Laliberté, E.; Wells, J.A.; DeClerck, F.; Metcalfe, D.J.; Catterall, C.P.; Queiroz, C.; Aubin, I.; Bonser, S.P.; Ding, Y.; Fraterrigo, J.M.; et al. Land-Use Intensification Reduces Functional Redundancy and Response Diversity in Plant Communities. Ecol. Lett. 2010, 13, 76–86. [Google Scholar] [CrossRef] [PubMed]
  18. Diepolder, M.; Rieder, J.; Hartmann, S.; Gehring, K.; Zellner, M.; Demmel, M. Dauergrünland. In Pflanzliche Erzeugung, 12th ed.; Munzert, M., Frahm, J., Eds.; Landwirtschaftsverlag & BLV Buchverlag, Münster-Hiltrup: Münster, Germany, 2005; pp. 760–864. [Google Scholar]
  19. Walter, J. Dryness, Wetness and Temporary Flooding Reduce Floral Resources of Plant Communities with Adverse Consequences for Pollinator Attraction. J. Ecol. 2020, 108, 1453–1464. [Google Scholar] [CrossRef]
  20. Fortunel, C.; Garnier, E.; Joffre, R.; Kazakou, E.; Quested, H.; Grigulis, K.; Lavorel, S.; Ansquer, P.; Castro, H.; Cruz, P.; et al. Leaf Traits Capture the Effects of Land Use Changes and Climate on Litter Decomposability of Grasslands across Europe. Ecology 2009, 90, 598–611. [Google Scholar] [CrossRef]
  21. Walter, J.; Buchmann, C.M.; Schurr, F.M. Shifts in Plant Functional Community Composition under Hydrological Stress Strongly Decelerate Litter Decomposition. Ecol. Evol. 2020, 10, 5712–5724. [Google Scholar] [CrossRef]
  22. García-Palacios, P.; Shaw, E.A.; Wall, D.H.; Hättenschwiler, S. Contrasting Mass-Ratio vs. Niche Complementarity Effects on Litter C and N Loss during Decomposition along a Regional Climatic Gradient. J. Ecol. 2017, 105, 968–978. [Google Scholar] [CrossRef]
  23. Gong, S.; Guo, R.; Zhang, T.; Guo, J. Warming and Nitrogen Addition Increase Litter Decomposition in a Temperate Meadow Ecosystem. PLoS ONE 2015, 10, e0116013. [Google Scholar] [CrossRef] [PubMed]
  24. Hernández, E.; Questad, E.J.; Meyer, W.M.; Suding, K.N. The Effects of Nitrogen Deposition and Invasion on Litter Fuel Quality and Decomposition in a Stipa Pulchra Grassland. J. Arid. Environ. 2019, 162, 35–44. [Google Scholar] [CrossRef]
  25. Yang, L.-L.; Gong, J.-R.; Liu, M.; Yang, B.; Zhang, Z.-H.; Luo, Q.-P.; Zhai, Z.-W.; Pan, Y. Advances in the effect of nitrogen deposition on grassland litter decomposition. Chin. J. Plant Ecol. 2017, 41, 894–913. [Google Scholar] [CrossRef]
  26. Knorr, M.; Frey, S.D.; Curtis, P.S. Nitrogen Additions and Litter Decomposition: A Meta-Analysis. Ecology 2005, 86, 3252–3257. [Google Scholar] [CrossRef]
  27. Walter, J.; Hein, R.; Beierkuhnlein, C.; Hammerl, V.; Jentsch, A.; Schädler, M.; Schuerings, J.; Kreyling, J. Combined Effects of Multifactor Climate Change and Land-Use on Decomposition in Temperate Grassland. Soil Biol. Biochem. 2013, 60, 10–18. [Google Scholar] [CrossRef]
  28. Ramirez, K.S.; Craine, J.M.; Fierer, N. Consistent Effects of Nitrogen Amendments on Soil Microbial Communities and Processes across Biomes. Glob. Chang. Biol. 2012, 18, 1918–1927. [Google Scholar] [CrossRef]
  29. Treseder, K.K. Nitrogen Additions and Microbial Biomass: A Meta-Analysis of Ecosystem Studies. Ecol. Lett. 2008, 11, 1111–1120. [Google Scholar] [CrossRef] [PubMed]
  30. Wu, J.; Liu, W.; Zhang, W.; Shao, Y.; Duan, H.; Chen, B.; Wei, X.; Fan, H. Long-Term Nitrogen Addition Changes Soil Microbial Community and Litter Decomposition Rate in a Subtropical Forest. Appl. Soil Ecol. 2019, 142, 43–51. [Google Scholar] [CrossRef]
  31. De Vries, F.T.; Bloem, J.; Quirk, H.; Stevens, C.J.; Bol, R.; Bardgett, R.D. Extensive Management Promotes Plant and Microbial Nitrogen Retention in Temperate Grassland. PLoS ONE 2012, 7, e51201. [Google Scholar] [CrossRef]
  32. Tsiafouli, M.A.; Thébault, E.; Sgardelis, S.P.; De Ruiter, P.C.; Van Der Putten, W.H.; Birkhofer, K.; Hemerik, L.; De Vries, F.T.; Bardgett, R.D.; Brady, M.V.; et al. Intensive Agriculture Reduces Soil Biodiversity across Europe. Glob. Chang. Biol. 2015, 21, 973–985. [Google Scholar] [CrossRef]
  33. Han, Y.; Zhang, Z.; Wang, C.; Jiang, F.; Xia, J. Effects of Mowing and Nitrogen Addition on Soil Respiration in Three Patches in an Oldfield Grassland in Inner Mongolia. J. Plant Ecol. 2012, 5, 219–228. [Google Scholar] [CrossRef]
  34. Singh, H.; Mishra, S.; Afreen, T. Effect of Precipitation and Nitrogen Input on Soil Respiration in Grasslands. IJPE 2018, 4, 23–33. [Google Scholar] [CrossRef]
  35. Wang, Y.; Wang, D.; Shi, B.; Sun, W. Differential Effects of Grazing, Water, and Nitrogen Addition on Soil Respiration and Its Components in a Meadow Steppe. Plant Soil 2020, 447, 581–598. [Google Scholar] [CrossRef]
  36. Chen, S.; Wang, W.; Xu, W.; Wang, Y.; Wan, H.; Chen, D.; Tang, Z.; Tang, X.; Zhou, G.; Xie, Z.; et al. Plant Diversity Enhances Productivity and Soil Carbon Storage. Proc. Natl. Acad. Sci. USA 2018, 115, 4027–4032. [Google Scholar] [CrossRef]
  37. Li, J.; Zhang, Q.; Li, Y.; Liu, J.; Pan, H.; Guan, X.; Xu, X.; Xu, J.; Di, H. Impact of Mowing Management on Nitrogen Mineralization Rate and Fungal and Bacterial Communities in a Semiarid Grassland Ecosystem. J. Soils Sediments 2017, 17, 1715–1726. [Google Scholar] [CrossRef]
  38. Francioni, M.; Trozzo, L.; Toderi, M.; Baldoni, N.; Allegrezza, M.; Tesei, G.; Kishimoto-Mo, A.W.; Foresi, L.; Santilocchi, R.; D’Ottavio, P. Soil Respiration Dynamics in Bromus Erectus-Dominated Grasslands under Different Management Intensities. Agriculture 2020, 10, 9. [Google Scholar] [CrossRef]
  39. Zhao, F.; Ren, C.; Shelton, S.; Wang, Z.; Pang, G.; Chen, J.; Wang, J. Grazing Intensity Influence Soil Microbial Communities and Their Implications for Soil Respiration. Agric. Ecosyst. Environ. 2017, 249, 50–56. [Google Scholar] [CrossRef]
  40. Tang, H.; Nolte, S.; Jensen, K.; Yang, Z.; Wu, J.; Mueller, P. Grazing Mediates Soil Microbial Activity and Litter Decomposition in Salt Marshes. Sci. Total Environ. 2020, 720, 137559. [Google Scholar] [CrossRef] [PubMed]
  41. Boeddinghaus, R.S.; Marhan, S.; Berner, D.; Boch, S.; Fischer, M.; Hölzel, N.; Kattge, J.; Klaus, V.H.; Kleinebecker, T.; Oelmann, Y.; et al. Plant Functional Trait Shifts Explain Concurrent Changes in the Structure and Function of Grassland Soil Microbial Communities. J. Ecol. 2019, 107, 2197–2210. [Google Scholar] [CrossRef]
  42. Bai, Z.; Caspari, T.; Gonzalez, M.R.; Batjes, N.H.; Mäder, P.; Bünemann, E.K.; De Goede, R.; Brussaard, L.; Xu, M.; Ferreira, C.S.S.; et al. Effects of Agricultural Management Practices on Soil Quality: A Review of Long-Term Experiments for Europe and China. Agric. Ecosyst. Environ. 2018, 265, 1–7. [Google Scholar] [CrossRef]
  43. Wetter-BW.de. 2019. Available online: https://www.wetter-bw.de/Agrarmeteorologie-BW/Wetterdaten/Stationskarte (accessed on 8 January 2020).
  44. Blüthgen, N.; Dormann, C.F.; Prati, D.; Klaus, V.H.; Kleinebecker, T.; Hölzel, N.; Alt, F.; Boch, S.; Gockel, S.; Hemp, A.; et al. A Quantitative Index of Land-Use Intensity in Grasslands: Integrating Mowing, Grazing and Fertilization. Basic Appl. Ecol. 2012, 13, 207–220. [Google Scholar] [CrossRef]
  45. Voigtländer, N.; Voss, G. Methoden der Grünlanduntersuchung und-bewertung. Grünland, Feldfutter, Rasen; Ulmer Stuttgart: Stuttgart, Germany, 1979. [Google Scholar]
  46. Laliberté, E.; Legendre, P. A Distance-Based Framework for Measuring Functional Diversity from Multiple Traits. Ecology 2010, 91, 299–305. [Google Scholar] [CrossRef]
  47. Laliberté, E.; Legendre, P.; Shipley, B. FD: Measuring Functional Diversity from Multiple Traits, and Other Tools for Functional Ecology (R Package Version 1.0-12). 2014. Available online: https://cran.r-project.org/web/packages/FD/FD.pdf (accessed on 8 January 2020).
  48. Keuskamp, J.A.; Dingemans, B.J.J.; Lehtinen, T.; Sarneel, J.M.; Hefting, M.M. Tea Bag Index: A Novel Approach to Collect Uniform Decomposition Data across Ecosystems. Methods Ecol. Evol. 2013, 4, 1070–1075. [Google Scholar] [CrossRef]
  49. De Long, J.R.; Jackson, B.G.; Wilkinson, A.; Pritchard, W.J.; Oakley, S.; Mason, K.E.; Stephan, J.G.; Ostle, N.J.; Johnson, D.; Baggs, E.M.; et al. Relationships between Plant Traits, Soil Properties and Carbon Fluxes Differ between Monocultures and Mixed Communities in Temperate Grassland. J. Ecol. 2019, 107, 1704–1719. [Google Scholar] [CrossRef]
  50. Tjoelker, M.G.; Craine, J.M.; Wedin, D.; Reich, P.B.; Tilman, D. Linking Leaf and Root Trait Syndromes among 39 Grassland and Savannah Species. New Phytol. 2005, 167, 493–508. [Google Scholar] [CrossRef]
  51. Pontes, L.D.S.; Soussana, J.-F.; Louault, F.; Andueza, D.; Carrère, P. Leaf Traits Affect the Above-Ground Productivity and Quality of Pasture Grasses. Funct. Ecol. 2007, 21, 844–853. [Google Scholar] [CrossRef]
  52. Makkonen, M.; Berg, M.P.; Handa, I.T.; Hättenschwiler, S.; Van Ruijven, J.; Van Bodegom, P.M.; Aerts, R. Highly Consistent Effects of Plant Litter Identity and Functional Traits on Decomposition across a Latitudinal Gradient. Ecol. Lett. 2012, 15, 1033–1041. [Google Scholar] [CrossRef]
  53. R Core Team. R: A Language and Environment for Statistical Computing; R Core Team: Vienna, Austria, 2020; Available online: https://www.R-project.org/ (accessed on 10 October 2019).
  54. Bates, D.; Maechler, M.; Bolker, B.; Walker, S. Fitting Linear Mixed-Effects Models Using {lme4} (R Package). J. Stat. Soft. 2015, 67, 1–48. [Google Scholar] [CrossRef]
  55. Kuznetsova, A.; Brockhoff, P.B.; Christensen, R.H.B. lmerTest Package: Tests in Linear Mixed Effects Models (R Package). J. Stat. Soft. 2017, 86, 1–26. [Google Scholar] [CrossRef]
  56. Barton, K. MuMIn: Multi-Model Inference (R Package Version 1.43.17). 2019. Available online: https://cran.r-project.org/web/packages/MuMIn/index.html (accessed on 8 January 2020).
  57. Rosseel, Y. Lavaan: An R Package for structuraleEquation Modeling (R Package). J. Stat. Soft. 2012, 48, 1–36. [Google Scholar] [CrossRef]
  58. Epskamp, S. semPlot: Path Diagrams and Visual Analysis of Various SEM Packages’ Output (R Package Version 1.1.2). 2019. Available online: https://cran.r-project.org/web/packages/semPlot/index.html (accessed on 8 January 2020).
  59. Scherer-Lorenzen, M. Functional Diversity Affects Decomposition Processes in Experimental Grasslands. Funct. Ecol. 2008, 22, 547–555. [Google Scholar] [CrossRef]
  60. Busch, V.; Klaus, V.H.; Schäfer, D.; Prati, D.; Boch, S.; Müller, J.; Chisté, M.; Mody, K.; Blüthgen, N.; Fischer, M.; et al. Will I Stay or Will I Go? Plant Species-Specific Response and Tolerance to High Land-Use Intensity in Temperate Grassland Ecosystems. J. Veg. Sci. 2019, 30, 674–686. [Google Scholar] [CrossRef]
  61. Freschet, G.T.; Aerts, R.; Cornelissen, J.H.C. A Plant Economics Spectrum of Litter Decomposability. Funct. Ecol. 2012, 26, 56–65. [Google Scholar] [CrossRef]
  62. Zhou, X.; Guo, Z.; Zhang, P.; Du, G. Shift in Community Functional Composition Following Nitrogen Fertilization in an Alpine Meadow through Intraspecific Trait Variation and Community Composition Change. Plant Soil 2018, 431, 289–302. [Google Scholar] [CrossRef]
  63. Yin, R.; Eisenhauer, N.; Auge, H.; Purahong, W.; Schmidt, A.; Schädler, M. Additive Effects of Experimental Climate Change and Land Use on Faunal Contribution to Litter Decomposition. Soil Biol. Biochem. 2019, 131, 141–148. [Google Scholar] [CrossRef]
  64. Komainda, M.; Mohn, E.; Kajzrová, K.; Obermeyer, K.; Titěra, J.; Pavlů, V.; Isselstein, J. Soil Organic Carbon Stocks and Belowground Biomass in Patches in Heterogeneous Grassland. Grassl. Res. 2023, 2, 279–288. [Google Scholar] [CrossRef]
  65. Du, Y.; Han, H.; Wang, Y.; Zhong, M.; Hui, D.; Niu, S.; Wan, S. Plant Functional Groups Regulate Soil Respiration Responses to Nitrogen Addition and Mowing over a Decade. Funct. Ecol. 2018, 32, 1117–1127. [Google Scholar] [CrossRef]
  66. Hättenschwiler, S.; Tiunov, A.V.; Scheu, S. Biodiversity and Litter Decomposition in Terrestrial Ecosystems. Annu. Rev. Ecol. Evol. Syst. 2005, 36, 191–218. [Google Scholar] [CrossRef]
  67. Bakker, M.A.; Carreño-Rocabado, G.; Poorter, L. Leaf Economics Traits Predict Litter Decomposition of Tropical Plants and Differ among Land Use Types: Leaf Economics Traits and Decomposition. Funct. Ecol. 2011, 25, 473–483. [Google Scholar] [CrossRef]
Figure 1. Litter decomposition, both above- and belowground, is directly influenced by changes in decomposer activity, caused by land-use intensification (left panel, hypothesis 2). We argue, however, that changes in the functional plant community composition (right panel) under land-use intensification are even more important in explaining changes in decomposition (hypotheses 1, 2, 3).
Figure 1. Litter decomposition, both above- and belowground, is directly influenced by changes in decomposer activity, caused by land-use intensification (left panel, hypothesis 2). We argue, however, that changes in the functional plant community composition (right panel) under land-use intensification are even more important in explaining changes in decomposition (hypotheses 1, 2, 3).
Environments 11 00173 g001
Figure 2. Effects of land-use intensity on plant diversity ((a) species richness, (b) functional diversity, measured as FDis) and community weighted mean traits (CWM) for leaf dry matter content ((c), LDMC), leaf nitrogen ((d), leaf N), specific leaf area ((e), SLA) and root nitrogen ((f), root N).
Figure 2. Effects of land-use intensity on plant diversity ((a) species richness, (b) functional diversity, measured as FDis) and community weighted mean traits (CWM) for leaf dry matter content ((c), LDMC), leaf nitrogen ((d), leaf N), specific leaf area ((e), SLA) and root nitrogen ((f), root N).
Environments 11 00173 g002
Figure 3. Effects of land-use intensity on belowground processes. Stabilisation S (a) and the decomposition constant k were assessed using the tea-bag method, with tea bags buried under grassy patches (grey squares and lines) or herbaceous patches (black stars and lines) Soil carbon dioxide efflux (µmol m−2s−1) (c) was assessed using a LICOR and data were log-transformed to improve residual distribution (no significant effects found in (b,c)). In (c) dots represent all measurements (i.e., comprise herbs and grasses).
Figure 3. Effects of land-use intensity on belowground processes. Stabilisation S (a) and the decomposition constant k were assessed using the tea-bag method, with tea bags buried under grassy patches (grey squares and lines) or herbaceous patches (black stars and lines) Soil carbon dioxide efflux (µmol m−2s−1) (c) was assessed using a LICOR and data were log-transformed to improve residual distribution (no significant effects found in (b,c)). In (c) dots represent all measurements (i.e., comprise herbs and grasses).
Environments 11 00173 g003
Figure 4. Drivers of aboveground decomposition (percentage of litter dry weight loss). Direct effects of land-use intensity (a) and indirect effects of functional diversity (b) and species richness (c) of the plant community of the plots, from which litter was taken and where it decomposed. Litter stemmed either from living, green plants (grey stars or squares) or from senesced, brown plant material lying on the ground (black stars and squares) and decomposed in litter tubes closed with 5 mm mesh (squares and solid lines) or 50 µm mesh (stars and dashed lines), the latter preventing access of macrofauna.
Figure 4. Drivers of aboveground decomposition (percentage of litter dry weight loss). Direct effects of land-use intensity (a) and indirect effects of functional diversity (b) and species richness (c) of the plant community of the plots, from which litter was taken and where it decomposed. Litter stemmed either from living, green plants (grey stars or squares) or from senesced, brown plant material lying on the ground (black stars and squares) and decomposed in litter tubes closed with 5 mm mesh (squares and solid lines) or 50 µm mesh (stars and dashed lines), the latter preventing access of macrofauna.
Environments 11 00173 g004
Table 1. Land-use intensity (LUI) for the cutting frequencies and nitrogen fertilisation levels occurring in the experiment.
Table 1. Land-use intensity (LUI) for the cutting frequencies and nitrogen fertilisation levels occurring in the experiment.
Cut Year−1N kg ha−1 Year−1LUI
200.67
301.00
401.33
2601.33
3902.00
41202.67
21202.00
31803.00
42404.00
Table 3. Results of linear mixed-effects models. Parameter estimates are given for the terms that were retained in the model after model simplification (F-test). R2 values are given for marginal R2 (only fixed effects) and conditional R2 (incl. fixed and random effects). Note that for the percentage of legumes and herbs, a GLMER was used (binomial errors, Chi-squared test for model comparison). **, *** illustrate significance codes, namely p < 0.01 and p < 0.001, respectively.
Table 3. Results of linear mixed-effects models. Parameter estimates are given for the terms that were retained in the model after model simplification (F-test). R2 values are given for marginal R2 (only fixed effects) and conditional R2 (incl. fixed and random effects). Note that for the percentage of legumes and herbs, a GLMER was used (binomial errors, Chi-squared test for model comparison). **, *** illustrate significance codes, namely p < 0.01 and p < 0.001, respectively.
EstimateS.E.F/Chi-sq. (d.f.)p
Species richness (R2: 0.35/0.78)
Intercept25.4551.306--
LUI−5.5931.00031.27 (1, 106)1.778 × 10−7 ***
LUI20.6060.2157.94 (1, 105)0.0058 **
Functional diversity (R2: 0.30/0.85)
Intercept2.0570.074--
LUI−0.3220.04944.00 (1, 105)1.465 × 10−9 ***
LUI20.0370.01012.58 (1, 105)0.0005 ***
CWM LDMC (R2: 0.30/0.86)
Intercept189.5965.230--
LUI31.2403.36586.21 (1, 105)2.441 × 10−15 ***
LUI2−4.6070.72340.58 (1, 105)5.098 × 10−9 ***
CWM SLA (R2: 0.08/0.57)
Intercept27.5780.236--
LUI−0.2850.07016.66 (1, 112)8.428 × 10−5 ***
LUI2--0.59 (1, 106)0.4447
CWM Leaf N (R2: 0.06/0.70)
Intercept2.8170.060--
LUI0.1540.04511.64 (1, 102)0.0009264 ***
LUI2−0.0390.01015.87 (1, 102)0.0001 ***
CWM Root N (R2: 0.54/0.84)
Intercept1.4140.039--
LUI−0.2770.03082.83 (1, 102)7.779 × 10−15 ***
LUI20.0340.00727.21 (1, 102)9.585 × 10−7 ***
Percentage legumes (GLMER, Chi-sq. test) (R2: 0.49, 0.61)
Intercept0.3050.320--
LUI−2.01490.145396.29 (1)2.2 × 10−16 ***
LUI2--1.867 (1)0.1718
Percentage herbs (GLMER, Chi-sq. test) (R2: 0.09, 0.28)
Intercept1.2880.287--
LUI−1.3120.154238.38 (1)2.2 × 10−16 ***
LUI20.1560.03223.38 (1)1.332 × 10−6 ***
Table 4. LMER results for stabilisation S and belowground decomposition constant k. Parameter estimates and test statistics are only given for the terms that were retained in the model after model simplification (F-test, backward step-wise model selection). R2 values are given for marginal R2 (only fixed effects) and conditional R2 (incl. fixed and random effects). Note that for S, patch and land-use intensity (LUI) were retained in the final model due to their significant role in the interaction term. They were therefore not tested individually for significance. *** illustrates the significance level, namely p < 0.001.
Table 4. LMER results for stabilisation S and belowground decomposition constant k. Parameter estimates and test statistics are only given for the terms that were retained in the model after model simplification (F-test, backward step-wise model selection). R2 values are given for marginal R2 (only fixed effects) and conditional R2 (incl. fixed and random effects). Note that for S, patch and land-use intensity (LUI) were retained in the final model due to their significant role in the interaction term. They were therefore not tested individually for significance. *** illustrates the significance level, namely p < 0.001.
EstimateS.E.F (d.f.)p
S (R2: 0.04/0.69)
Intercept0.4310.007--
LUI--0.41 (1, 32)0.5254
LUI20.0010.001--
Patch (herb) 0.0180.005--
LUI: Patch (herb)--0.02 (1, 93)0.8958
LUI2: Patch (herb)−0.0030.00113.10 (1, 93)0.0005 ***
k (R2: 0/0.33)
Intercept1.123 × 10−24.376 × 10−4--
LUI--1.96 (1, 33)0.1704
LUI2--0.01 (1, 32)0.9221
Patch (herb) --0.01 (1, 29)0.9087
LUI: Patch (herb)--2.32 (1, 28)0.1392
LUI2: Patch (herb)--0.02 (1, 26)0.8903
Soil respiration (log-transformed) (R2: 0/0.08)
Intercept0.842480.08723--
LUI--0.01 (1, 117)0.9255
LUI2--0.11 (1, 113)0.7454
Table 5. LMER results for aboveground decomposition, namely percentage loss. One model was fit to determine the influence of land-use intensity, in accordance with all previous analyses. A second model was fit to investigate the role of community measures in explaining decomposition. Parameter estimates and test statistics are only given for the terms that were retained in the model after model simplification (F-test, backward step-wise model selection). R2 values are given for marginal R2 (only fixed effects) and conditional R2 (incl. fixed and random effects). *, **, *** illustrate significance codes, namely p < 0.05, p < 0.01 and p < 0.001, respectively.
Table 5. LMER results for aboveground decomposition, namely percentage loss. One model was fit to determine the influence of land-use intensity, in accordance with all previous analyses. A second model was fit to investigate the role of community measures in explaining decomposition. Parameter estimates and test statistics are only given for the terms that were retained in the model after model simplification (F-test, backward step-wise model selection). R2 values are given for marginal R2 (only fixed effects) and conditional R2 (incl. fixed and random effects). *, **, *** illustrate significance codes, namely p < 0.05, p < 0.01 and p < 0.001, respectively.
EstimateS.E.F (d.f.)p
Percentage loss (R2: 0.29/0.50)
Intercept37.4823.171--
LUI--0.00 (1, 27)0.9963
LUI20.8910.3227.68 (1, 39)0.0086 **
Mesh (5 mm)12.9152.24633.05 (1, 90)1.201 × 10−7 ***
Litter type (green)10.1502.28719.70 (1, 97)2.385 × 10−5 ***
LUI: Mesh--0.18 (1, 93)0.6734
LUI: Litter type--0.11 (1, 97)0.7361
LUI2: Mesh--0.33 (1, 95)0.5658
LUI2: Litter type--0.09 (1, 100)0.7635
Percentage loss (R2: 0.50/0.54)
Intercept−53.49922.973--
Cut57.76816.43312.34 (1, 40)0.0011 **
Cut2−8.0312.7378.61 (1, 41)0.0055 **
Mesh (5 mm)12.7932.21833.26 (1, 94)1.028 × 10−7 ***
Litter type (green)9.9252.24119.61 (1, 102)2.387 × 10−5 ***
Cut: Mesh--0.92 (1, 93)0.3409
Cut: Litter type--0.21 (1, 106)0.6454
Cut2: Mesh--1.38 (1, 94)0.2423
Cut2: Litter type--0.37 (1, 101)0.5455
Percentage loss (R2: 0.37/0.52)
Intercept48.75410.398--
Species richness0.9780.3986.04 (1, 36)0.0190 *
Funct. div. (FDisLEDA)−14.8544.9309.08 (1, 24)0.0060 **
Mesh (5 mm)13.0582.26733.19 (1, 88)1.197 × 10−7 ***
Litter type (green)10.0622.31118.96 (1, 96)3.350 × 10−5 ***
CWM Leaf N--0.36 (1, 35)0.5522
CWM Root N--0.88 (1, 36)0.3545
CWM LDMC--0.04 (1, 30)0.8411
CWM SLA--2.45 (1, 37)0.1263
Species numb.: Mesh--0.01 (1, 91)0.9336
Species numb.: Litter type--2.11 (1, 89)0.1496
Funct. div.: Mesh--0.19 (1, 92)0.6637
Funct. div.: Litter type--0.52 (1, 92)0.4725
CWM Leaf N: Mesh--0.20 (1, 88)0.6565
CWM Leaf N: Litter type--0.09 (1, 99)0.7634
CWM Root N: Mesh--1.52 (1, 91)0.2201
CWM Root N: Litter type--0.02 (1, 94)0.8889
CWM LDMC: Mesh--2.44 (1, 85)0.1218
CWM LDMC: Litter type--0.22 (1, 90)0.6384
CWM SLA: Mesh--2.08 (1, 89)0.1532
CWM SLA: Litter type--0.67 (1, 91)0.4153
Disclaimer/Publisher’s Note: The statements, opinions and data contained in all publications are solely those of the individual author(s) and contributor(s) and not of MDPI and/or the editor(s). MDPI and/or the editor(s) disclaim responsibility for any injury to people or property resulting from any ideas, methods, instructions or products referred to in the content.

Share and Cite

MDPI and ACS Style

Walter, J.; Thumm, U.; Buchmann, C.M. Effects of Land-Use Intensity on Functional Community Composition and Nutrient Dynamics in Grassland. Environments 2024, 11, 173. https://doi.org/10.3390/environments11080173

AMA Style

Walter J, Thumm U, Buchmann CM. Effects of Land-Use Intensity on Functional Community Composition and Nutrient Dynamics in Grassland. Environments. 2024; 11(8):173. https://doi.org/10.3390/environments11080173

Chicago/Turabian Style

Walter, Julia, Ulrich Thumm, and Carsten M. Buchmann. 2024. "Effects of Land-Use Intensity on Functional Community Composition and Nutrient Dynamics in Grassland" Environments 11, no. 8: 173. https://doi.org/10.3390/environments11080173

APA Style

Walter, J., Thumm, U., & Buchmann, C. M. (2024). Effects of Land-Use Intensity on Functional Community Composition and Nutrient Dynamics in Grassland. Environments, 11(8), 173. https://doi.org/10.3390/environments11080173

Note that from the first issue of 2016, this journal uses article numbers instead of page numbers. See further details here.

Article Metrics

Back to TopTop