Abstract
Recently, there has been increasing interest in organic carbon (OC) certification of soil as an incentive for farmers to adopt sustainable agricultural practices. In this context, this pilot project combines geochemical and geophysical methods to map the distribution of OC contents in agricultural fields, allowing us to detect variations in time and space. Here we demonstrated a relationship between soil OC contents estimated in the laboratory and the apparent electrical conductivity (ECa) measured in the field. Specifically, geochemical elemental analyses were used to evaluate the OC content and relative isotopic signature in collected soil samples from a hazelnut orchard in the Emilia–Romagna region of Northeastern Italy, while the geophysical Electromagnetic Induction (EMI) method enabled the in situ mapping of the ECa distribution in the same soil field. According to the results, geochemical and geophysical data were found to be reciprocally related, as both the organic matter and soil moisture were mainly incorporated into the fine sediments (i.e., clay) of the soil. Therefore, such a relation was used to create a map of the OC content distribution in the investigated field, which could be used to monitor the soil C sequestration on small-scale farmland and eventually develop precision agricultural services. In the future, this method could be used by farmers and regional and/or national policymakers to periodically certify the farm’s soil conditions and verify the effectiveness of carbon sequestration. These measures would enable farmers to pursue Common Agricultural Policy (CAP) incentives for the reduction of CO2 emissions.
1. Introduction
Soil is a vital component of the Earth’s critical zone, serving as a dynamic interface that supports life by regulating water flow, nutrient cycling, and carbon storage, while also acting as a foundation for ecosystems and human agriculture. However, nowadays, soils are threatened by degradation due to land use and land-use cover change (LULCC), such as agricultural expansion and intensification, deforestation and forest degradation, wetland drainage, and overgrazing by livestock []. Consequently, one of the priorities of the Sustainable Development Goals (SDGs) is the protection of soils, as the worst-case scenario projects a mean soil degradation increase of 20% to 100% in Europe by 2050 [], with the loss of the most superficial soil layers (0–50 cm) hosting organic matter. Today, the local application of conventional agricultural management (e.g., plow tillage and the use of pesticides and/or synthetic fertilizers) causes a decline in soil organic matter (SOM) []. To combat these trends, the European Union integrated the Common Agricultural Policy (CAP), promoting sustainable best practices in agriculture (e.g., no or minimum tillage, the use of agroforestry and cover crops, banning pesticides and/or synthetic fertilizers) to preserve SOM and related organic carbon (OC). Globally, SOM is known to contain 1500 Pg of carbon (C) in the first meter of soil, which represents two and three times the quantity of C stored in the atmosphere and vegetation, respectively []. However, soil is an open system that can behave as a source or sink of C. When the mineralization of the SOM due to microbial activity is greater than its transformation into stable organic forms, soil releases C into the atmosphere as greenhouse gases (GHGs; e.g., CO2) with negative effects on climate [,,]. This process is accelerated by unsustainable agricultural practices such as plow tillage, which exposes the organic matter to the air, triggering C oxidation. On the other hand, if SOM is well managed through the application of sustainable agricultural practices such as agroforestry and no or minimum tillage, C is sequestered into the soils, thereby providing benefits for both the environment and human life. Considering the delicate equilibrium of C in the pedosphere–atmosphere–biosphere system, regular monitoring of soil health should be adopted in each farm to verify the soil quality and determine whether OC is sequestered or released. In this context, different tentative methods have been proposed in the literature to provide the most reliable soil OC maps for small-scale farmland. It is well known that the soil type, including the amount of total and OC, depends on parent materials, vegetation climatic and topographic factors, and time []. Therefore, for example, Qin et al. [] observed the relationships between organic carbon and slope, which are less effective on flat agricultural fields. Guo et al. [] used an unmanned aircraft system to map soil OC in a controlled field, linking vegetative growth to soil fertility; however, this method is difficult to apply in a non-controlled field, where fertilizers are also used. Salani et al. [] used satellite data and in situ measurements to map soil OC but encountered challenges in large areas due to soil variability and issues with satellite data accuracy. Clearly, new methods for creating reliable soil OC maps should be explored. Such methods would also benefit farmers, especially those seeking to achieve more sustainable management. Against this background, farmers should evaluate the current OC contents at their farms and monitor any changes in OC over a long period of time to quickly improve C sequestration and ultimately achieve C neutrality. The certification of soil conditions and C sequestration will also allow farmers to access CAP incentives for the reduction of CO2 emissions []. For this work, we tested a new approach that involved both geochemical and geophysical analyses to map the OC contents in the field of a sustainable farm. The first method measured the OC contents and relative isotopic ratio (13C/12C) of soil samples collected in the field. The second method measured the distribution of the apparent soil electrical conductivity (ECa) of the subsoil up to 100 cm in depth. We are aware that human activities generally impact soil conductivity in different ways. For example, the use of synthetic fertilizers and pesticides can increase soil conductivity by raising the concentration of ions like nitrates, phosphates, and potassium, which enhance the soil’s ability to conduct electricity [,]. In contrast, the use of heavy machinery can decrease soil conductivity by compacting the soil, reducing pore space, and limiting water and ion retention in the root zone []. In this study, samples were taken three years after the selected field transitioned to sustainable practices, with no fertilizers, pesticides, or heavy machinery used. In this context, the effects of conventional practices on soil conductivity were found to be negligible. Therefore, we chose to use the frequency domain electromagnetic induction (EMI) for the geophysical measurements in order to obtain the ECa distribution in the field. Recently, EMI methods for soil characterization, including soil water estimation, have increased in popularity [,,,]. This is partly due to the ease with which soil water content in relatively large areas can be monitored using these techniques compared to more expensive methods such as gravimetric soil sampling, time domain reflectometry, and capacitance sensors []. EMI techniques are also advantageous because they provide non-invasive, rapid, and detailed ECa measurement, which has been associated with soil properties such as bulk density, soil structure, ionic composition, Cation Exchange Capacity (CEC), pH, and soil OC and nutrient contents. These features enable the effective mapping of moisture, salinity, and other critical factors that influence soil health and function. In this way, EMI represents rapid and efficient data collection over large agricultural fields. Therefore, the used flow chart for the integration between the soil sample parameters and EMI data (ECa) starts from the collection of soil samples and geophysical data in the field. The next step was to define the geochemical analysis in the laboratory and the elaboration of the geophysical data in order to find the possible correlations between the direct and indirect data sets. Therefore, from the large geophysical data set, appropriate values were extracted and correlated with the geochemical analysis. Overall, the aims of this framework were to (1) find relationships between OC contents, the isotopic ratio (13C/12C), and the ECa and (2) combine the geochemical and geophysical data to create a map of the estimated farm’s soil OC content distribution. The resulting map will help investigate, in detail, the situation of single farms seeking to resolve specific issues and/or become more environmentally conscious, with the aim of achieving carbon neutrality.
2. Materials and Methods
2.1. Study Area and Sampling
The experimental field is located in Malborghetto di Boara (MB; 44°51′18.8″ N 11°39′25.2″ E), a rural locality of the Po Plain near the city of Ferrara, situated ~4 m above sea level (a.s.l.) (Northeast Italy; Figure 1a). Since 2020, this field has been a sustainably managed hazelnut orchard (3 ha) employing minimum tillage and cover crops as environmentally friendly agricultural practices (Figure 1b). This study area is crossed by a minor paleochannel of the Po River (Figure 1c), natural levees, and minor proximal crevasse splays. The paleochannel is characterized by sandy deposits in the levee, whereas interfluvial deposits are composed of silty clays that are occasionally associated with abundant organic matter. This is the typical morphology that can be found in the Po Plain, whose soils of the Po Plain are characterized by young (Holocene) alluvial deposits, fluvial reworking, and extensive agricultural activities (plowing). In 2021, the mean annual air temperature was 13.9 °C, and the mean annual precipitation was 359 mm [].

Figure 1.
(a) Location of the sampling area (MB), in the Northeast sector of the municipality of Ferrara in the Emilia–Romagna region (Northeastern Italy); (b) the hazel orchard–grassland field before the geochemical and geophysical investigation of 19 October 2021; (c) soil sampling locations represented by light blue dots; (d) at each location, a sample was collected and mixed with five aliquots of soil per square probed at a depth of 0–30 cm; (e) geophysical measurements were indicated with red dots and georeferenced with an internal GPR; and (f) a Profiler EMP-400 (GSSI) was used to acquire the Hp and Hs electromagnetic fields at different positions.
For soil sampling, we collected 15 composite samples (as “MB” followed by a sequential number from 0 to 15) from grasslands within the hazel rows, and each sample site was georeferenced with a differential GPS and plotted on a GIS map (Figure 1c). Samples were collected using a gouge auger (Eijkelkamp®, Giesbeek, The Netherlands) and included 5 mixed aliquots in a 0–30 cm layer within a square 3 × 3 m2 in area (Figure 1d). At the same field site, Electromagnetic Induction (EMI) acquisition was carried out using a Profiler EMP-400 (GSSI company, Nashua, NH, USA). The EMI survey setting extended along several parallel lines featuring a line spacing of about 5 m (Figure 1e) with continuous time acquisition (0.5 s per sample). Then, three different frequencies (16, 14, and 10 kHz) were used at each sampling site. Figure 1f depicts a sketch of EMI where a transmitter coil (Tx) produces a transient primary magnetic field (Hp-blue line) that induces Eddy currents (black dotted lines) in the ground. Such currents generate a secondary electromagnetic field (Hs-red line), which is collected with Hp by the receiver coil (Rx).
2.2. Geochemical Methods
The soil samples were air-dried, sieved at <2 mm, and powdered using an agate mortar to perform the following geochemical analyses.
2.2.1. Thermo–Gravimetric Analyses
Sequential loss on ignition (LOI) was performed by heating the soil samples in a muffle furnace at different temperatures []. The soil hygroscopic water content (LOI105) was estimated after heating the soil samples at 105 °C for 12 h using the following calculations:
where WS is the air-dried weight and DW105 is the dry weight after heating at 105 °C.
LOI105 (wt%) = (WS − DW105)/WS × 100
After evaluating the LOI105, the same soil samples were heated at 550 °C to determine the soil organic matter (LOI550) content as follows:
where DW105 is the dry weight after heating at 105 °C, and DW550 is the weight of the exsolved SOM. Finally, the same soil samples were heated at 1000 °C to calculate the soil inorganic fraction (LOI1000) as follows:
where DW550 is the dry weight after heating at 550 °C, and DW1000 is the weight of the destabilized inorganic fraction (carbonates).
LOI550 (wt%) = (DW105 − DW550)/DW105 × 100
LOI1000 (wt%) = (DW550 − DW1000)/DW550 × 100
2.2.2. Carbon Speciation
The C fraction contents were measured in the powdered soil samples (ca. 30 mg) using an elemental analyzer Soli TOC Cube (Elementar, Langenselbold, Germany), at the CREA (Council for Agricultural Research and Economics, Gorizia, Italy). The analysis was carried out using the smart combustion method, enabling us to determine the total (TC), organic (OC), and inorganic (IC) C contents (wt%) []. Following this method, samples were heated to 600 °C under oxygen-rich conditions to measure OC contents, after which further heating was performed under anoxic conditions until reaching 900 °C to measure IC contents. A standard of calcium carbonate (CaCO3, Calciumcarbonat, Elementar) and a soil standard (Bodenstandard, Elementar) were analyzed before, during, and after each run. The analytical precision and accuracy of the instrument were better than 5% of the absolute measured value [].
2.2.3. Carbon Isotopic Analysis
Carbon isotope ratios (13C/12C) were determined for the total carbon (δ13CTC, by burning the sample at 950 °C) and organic carbon (δ13COC, by burning the sample at 500 °C) with a Vario Micro Cube (Elementar, Langenselbold, Germany) elemental analyzer (EA) coupled with an Isoprime 100 (Isoprime, Manchester, UK) isotope ratio mass spectrometer (IRMS) at the Department of Physics and Earth Science of the University of Ferrara (Italy), following the procedure described by Natali and Bianchini [].
The isotope ratio is expressed using the isotope signature δ notation (in ‰):
where Rsample is the isotopic ratio 13C/12C of the sample, and Rstandard is the isotopic ratio 13C/12C of the Vienna Pee Dee Belemnite (V-PDB) international standard [].
δ = (Rsample − Rstandard) − 1 × 1000
The inorganic carbon isotope signature (δ13CIC) was calculated by modifying the expression proposed by Natali and Bianchini []:
where TC, OC, and IC are the contents determined by the carbon speciation analysis.
δ13CIC = (δ13CTC × TC − δ13COC × OC)/IC
The instrument was calibrated using several standards: limestone JLs-1 [], Carrara Marble [], peach leaves NIST SRM1547 [], and caffeine IAEA-600. The analytical precision and accuracy were better than 0.1‰.
2.3. Geophysical Methods
The EMI survey was carried out at the MB test site along 42 parallel lines with a line spacing of about 5 m (Figure 1e). Each data point was georeferenced with a horizontal accuracy of less than 0.5 m, with two readings per second. The Profile AMP-400 (Figure 1f) permits to acquisition of three different selected frequencies (16 kHz, 14 kHz, and 10 kHz) in order to obtain a maximum investigation depth of about 1 m. Soil ECa was estimated according to the Biot–Savart law [], in which a uniform electrical current (I) defines a magnetic field (B) in a vacuum:
where r is the radius vector between the current line and the measurement point, is the magnetic permeability of the vacuum (4π10-7 NA-2), and dl is the unit vector along the current line. In frequency domain EM instruments, the alternating current induces an alternating magnetic field, which subsequently induces the electromotive force (e.m.f.) according to Faraday’s law.
The instrument (Profiler EMP400) can simultaneously collect both in-phase and quadrature-phase component data at one to three frequencies. The Profiler has an intercoil spacing of 1.22 m and operates at frequencies of 1 to 16 kHz. The Profiler also has an integrated GPS receiver to collect all data with the corresponding global position. Software was used to calculate the ECa based on the electromagnetic components:
where ω is angular frequency (2πf); μ is the permeability of the vacuum; s is the intercoil spacing; and Hs and Hp are, respectively, the quadrature and in-phase components.
The investigation depth of the EMI method can vary depending on several factors, including the specific instrument used, the frequency of the electromagnetic signals, and the electrical conductivity of the subsurface materials. In general, the higher the instrument frequency and the greater the electrical conductivity of the subsurface materials, the shallower the investigation depth []. The depth of investigation for electromagnetic induction (EMI) instruments can be estimated using the skin depth (δ) formula, which is derived from the principles of electromagnetic wave propagation in conductive media. The skin depth (δ) represents the depth at which the amplitude of the electromagnetic field decreases to 1/e (about 37%) of its value at the surface. The formula for skin depth in a conductive medium is as follows:
This formula highlights the dependence of the investigation depth on the frequency (ω = 2πf) of the instrument and the electrical properties () of the subsurface materials. The skin depth δ provides a theoretical measurement of how deep electromagnetic fields can penetrate. However, the actual depth of investigation is also influenced by the coil separation, among other factors. The practical depth of investigation is often a fraction of the theoretical skin depth, adjusted for coil separation. At our test site, the frequency reached a maximum investigation depth of approximately 1 m.
2.4. Statistical and Geospatial Analyses
The statistical analyses and geostatistical modeling were executed using R software version 4.0.3 []. For the statistical analyses, samples were divided into three groups (Class I, Class II, Class III) based on their aspect in the the field and OC/IC determined in the laboratory. One-way analysis of variance (ANOVA) and Tukey post hoc tests were applied to observe the variability of TC, OC, IC, and δ13CTC among these groups. Principal component analysis (PCA) was used to observe the differences among TC, OC, IC, δ13CTC, and ECa at 10 kHz.
Interpolated raster data were obtained to represent spatial variation at a resolution of 1 m for the physicochemical parameters investigated along the site using ordinary kriging and cokriging []. Similar to the approach used by Box and Cox, we adopted a Gaussian semivariogram model with power-transformed data []. The maps of the OC concentration (interpolated with kriging and cokriging) and ECa were edited using Q-GIS 3.16.13 [].
3. Results
The thermogravimetric results for the 15 sites are reported in Table S1.
The soil hygroscopic water contents evaluated from the LOI at 105 °C varied between 1.24 wt% (MB14) and 2.87 wt% (MB01), except for one value (4.01 wt%, MB13). The average was 1.87 wt%, with a standard deviation of 0.51 wt%. The soil organic matter represented by the LOI at 550 °C varied between 3.83 wt% (MB06) and 5.84 wt% (MB12), with an average of 4.70 wt% and a standard deviation of 0.56 wt%. The LOI measured at 1000 °C varied between 3.95 wt% (MB01) and 6.28 wt% (MB15), with an average of 5.25 wt% and a standard deviation of 0.82 wt%.

Figure 2.
Elemental and isotopic composition of the total carbon (TC), organic carbon (OC), and inorganic carbon (IC) fractions of the soil samples.
In the dataset, the TC varied between 1.89 wt% (MB01) and 2.40 wt% (MB15), with an average of 2.19 wt%. The isotopic δ13CTC yielded values varying from −15.3‰ (MB01) to −7.8‰ (MB14), with an average of −11.2‰. The OC varied between 0.79 wt% (MB14) and 1.22 wt% (MB12), with an average of 1.05 wt%. The δ13COC provided values from −22.4‰ (MB02) to −19.7‰ (MB14), with an average of −21.4‰, indicating the predominance of organic matter, which typically has negative isotopic C values, as it reflects the photosynthetic pathways of the source vegetation []. The IC varied between 0.68 wt% (MB01) and 1.46 wt% (MB15), with an average of 1.14 wt%. The calculated δ13CIC yielded values varying from −2.7‰ (MB01) to −0.7‰ (MB06), with an average of −1.6‰, indicating the predominance of inorganic C, with an isotopic signature similar to that of the international standard.
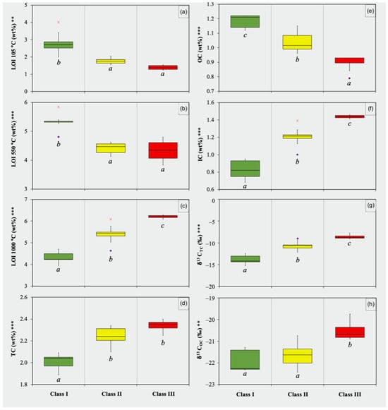
As shown in Figure 3, we investigated the variability of the physicochemical parameters of the soils with OC content. To observe any correlations between the predominance of the OC fraction and the physicochemical parameters, the soil samples were clustered based on their aspect in the field and OC/IC. “Class I” is composed of clayey dark (10 YR 4/2) sediments, and the OC/IC is greater than the 75th percentile (OC/IC > 1.20; MB01, MB07, MB08, MB12, and MB13); “Class II” is composed of yellow-brownish (10 YR 6/4) silty sediments, and the OC/IC is between the 25th and 75th percentiles (0.68 < OC/IC < 1.20; MB02, MB03, MB04, MB09, and MB10); and “Class III” is composed of light-colored (10 YR 6/3) sandy sediments, and the OC/IC is lower than the 25th percentile (OC/IC < 0.68; MB05, MB06, MB11, MB14, and MB15). The one-way ANOVA and the Tukey post hoc results of the three classes are also reported. The statistical tests show that for several variables (LOI1000, OC, IC, δ13CTOC), each class is distinct from the others due to the different amounts of organic and inorganic fractions, whereas for LOI105 and LOI550, only Class I is significantly different from the other two due to the predominance of OC, which is correlated with the presence of water (LOI105) and the organic matter (LOI550).

Figure 3.
Boxplots of the (a) LOI 105 °C, (b) LOI 550 °C, (c) LOI 1000 °C, (d) TC, (e) OC, (f) IC, (g) δ13CTC, and (h) δ¹³COC of the samples divided into three classes based on their aspect in the field and OC/IC ratio (see the text for details). In each box plot, the black line represents the median. Letters below the box plots represent the results of the Tukey post hoc test. Different letters denote significant differences between classes. The one-way ANOVA results are also reported (** p < 0.001; *** p < 0.0001).
Figure 4 shows the ECa values measured for each operating frequency collected by the Profile EMP400 across the field site catchment. The measured ECa values ranged from 20 to 60 mS/m. The distribution of ECa values presented a median of 39, 35, and 30 mS/m, respectively, for data collection at 16, 14, and 10 kHz. The three ECa maps show the conductivity trend from NW to SW, with some peculiar local variations. The observed trend showed a decrease in apparent electrical conductivity (ECa) with the depth of investigation (1 m), likely suggesting an increase in true electrical conductivity with depth. This trend provides valuable information on the subsurface characteristics, allowing us to better understand the soil structure, hydrology, and potential environmental or geochemical features.

Figure 4.
Spatial variability and distribution of the ECa values obtained from the EMI acquisition field survey using three different frequencies: (a) 16, (b) 14, and (c) 10 kHz.
4. Discussion
4.1. Soil Carbon Elemental and Isotopic Speciation
The results of TC versus δ13CTC for MB are comparable to the datasets described by Natali et al. [] and Salani et al. [], which analyzed soils in the Ferrara province near paleochannels, as in this study. Natali et al. [] found that soil samples with low TC and less negative δ13CTC values were typical of levee sediments characterized by coarser textures (e.g., sand and silt). In contrast, samples collected from interfluvial areas in the Ferrara province by Salani et al. [] exhibited finer textures (e.g., clay) and showed higher TC and more negative δ13CTC values compared to those from levees. Accordingly, in Figure 5, the less negative values of δ13CTC are typical of Class III samples (MB05, MB06, MB11, MB14, and MB15) collected within the levees of the paleochannel, similar to the levee sediments collected by Natali et al. []. On the other hand, the most negative isotopic values are typical of Class I samples collected from the interfluvial lowland located in the northwesternmost part of the field (MB01, MB07, MB08, MB12, and MB13) and within the ancient bed of the paleochannel (MB04), where sediments are characterized by the finest granulometry (i.e., clay) similar to those investigated by Salani et al. []. The presence of clay can explain the accumulation of OC in these areas rather than in the areas with levee sediments. Due to their high adsorption capacity, clay minerals are able to protect the SOM and corresponding OC from microbial degradation more efficiently than soils with coarse granulometry [,,,,,]. Therefore, the studied sites with primarily coarse granulometry yielded relatively low OC contents and less negative δ13CTC signatures, indicating soil with poor SOM. Conversely, the samples composed mainly of the clay fraction presented higher OC contents and more negative δ13CTC signatures, indicating SOM conservation. Therefore, there is a clear relationship between the physicochemical characteristics of the soils and OC contents. This insight may be crucial for mitigating climate change, as it could encourage farmers to adopt sustainable practices in clay-dominant areas to reduce greenhouse gas emissions and enhance carbon sequestration.

Figure 5.
The elemental TC contents and δ¹³CTC of MB samples and average elemental TC contents and δ¹³CTC recognized as deposits from the paleochannel and levee of the easternmost Padanian plain soils, as studied by Natali et al. [] and Salani et al. [].
According to the one-way ANOVA results, the three classes are statistically different (p-value < 0.0001) for LOI 550 °C, LOI 1000 °C, TC, OC, IC, and δ13CTC (Figure 3b–g) and slightly less different (p-value < 0.001) for LOI 105 °C and δ13COC (Figure 3a,h). The Tukey post hoc test better explored the similarities and differences among the three classes. In detail, the two classes with low OC/IC (i.e., Class II and Class III) yielded lower LOI 105 °C, LOI 550 °C, and OC values than those of the class with high OC/IC (i.e., Class I) (Figure 3a,b,e). This result indicates a correlation between the soil hygroscopic water contents and soil organic matter. Indeed, Class I sites appear to have higher clay content based on the higher values of soil hygroscopic water and organic matter. The LOI 1000 °C and IC parameters present another correlation, indicating the presence of carbonatic minerals, especially in Class III samples. This result is also observable in Class III for δ13CTC values that become less negative with an increase in the inorganic fraction. Conversely, most negative δ13CTC values reflect the higher organic fraction in Class I. Therefore, the δ13CTC signature is influenced by the OC/IC ratio, as shown in Figure 6a, since samples characterized by the most negative δ13CTC signatures also yielded the highest OC contents. Despite the different δ13CTC signatures among the three classes, the distributions of δ13CIC and δ13COC signatures slightly varied around their averages by ~1.5‰ (Figure 6b,c). Therefore, the different δ13CTC values are influenced by the amount of organic and inorganic C contents, rather than the nature of the IC and OC. Indeed, for all samples, the δ13CIC signature was close to 0‰, which is typical of geogenic carbonates. On the other hand, the average δ13COC signature was −21.4‰, which is close to the typical values of C3 plants, like trees, that have more negative 13C/12C values (−33‰ to −24‰; []) than C4 (−16‰ to −10‰; []). However, the average value suggests a mix of the SOM derived from plants with C3 and C4, probably due to the land-use change experienced by this area, which was converted into a hazelnut (C3 plant) field. Generally, δ¹³C estimation is also useful to create a snapshot of the actual soil OC conditions and the different sources of carbon (e.g., plant-derived vs. microbial or organic inputs), which is valuable in understanding the specific contributions to soil carbon pools. In the future, coupled elemental and isotopic C monitoring should be used as a systematic method to describe the evolution of soil characteristics. In fact, examining δ13C signatures is essential for understanding soil’s role in long-term carbon sequestration. Changes in δ13C can reveal the effects of tillage and other management practices on carbon storage over time, offering insights into the sustainability of farming practices.

Figure 6.
OC/IC (in logarithmic scale) versus (a) δ13CTC shows a strong negative correlation; the insets reproduce the relationships between OC/IC, (b) δ13CIC, and (c) δ13COC.
4.2. Insights from Soil Organic Carbon and Geophysical Data
Principal component analysis (PCA) was calculated using the elemental fractions of C and the isotopic signature δ13CTC measured for each of the 15 samples and field ECa extracted from the ECa map in the same sampling positions (Figure 4; Table S2). The resulting PCA (Figure 7) explains more than 96% of the variance and accurately clusters the Class I and Class III samples, which offer, respectively, the highest and lowest OC/IC ratios. As shown in Figure 3e–g, the Class II samples show intermediate characteristics between Class I and Class III. Therefore, these samples overlap in the PCA plot more strongly than the other two clusters.

Figure 7.
Principal Component Analysis (PCA) for δ13CTC, OC, IC, TC, and ECa (measured at 10 kHz), clustered in Class I (green dots and dash-dotted line ellipse), Class II (yellow triangles and solid line ellipse), and Class III (red squares and dashed line ellipse).
In the MB context, higher ECa values indicate soil with the ability to retain pore fluids, which correlates with the high CEC of the finest sediment, i.e., clay minerals []. Consequently, there is a correlation between ECa and SOM, as organic matter is generally hosted in clay minerals [,]. Therefore, we correlated the apparent electrical conductivity values extracted from the ECa maps in Figure 4 with the OC/IC ratio and isotopic signatures of total (TC), OC, and inorganic (IC) carbon estimated from the collected samples. In general, the ECa positively correlates with the OC contents and OC/IC and negatively correlates with δ13CTC, as the most negative values are typical of samples rich in organic matter []. Although the correlations were quite similar at different frequencies, the best R2 values were obtained using the ECa data at 10 kHz. In detail, the OC/IC offered the best index of correlation R2 (0.75; Figure 8a), while the R2 values were smaller for the ECa correlation between OC and δ13CTC (0.52 and 0.65, respectively; Figure 8b,c) due to the trend shown by the samples of Class III, which are more influenced by the IC contents.

Figure 8.
Linear regression graphics used to observe the relationships between the ECa measured at 10 kHz and (a) OC, (b) OC/IC, and (c) δ13CTC. The data are represented as green dots, yellow triangles, and red squares, for Class I, Class II, and Class III, respectively. The regression line (in black) and relative equation, R2 value, and 95% confidence intervals (the red curves) are provided for each plot.
Finally, to demonstrate the spatial distributions of OC and the ECa values, we generated predictive maps using the interpolation method of ordinary kriging (Figure 9). A comparison between Figure 9a,b indicates that the OC content and ECa variables were correlated, as the northwesternmost section of the field yielded the highest values for OC contents and ECa, as both organic matter and water are mainly hosted in the fine sediments of the soil (i.e., clay). Conversely, the southeasternmost section containing mostly coarse granulometry (i.e., sand), presented the lowest values of OC contents and ECa, indicating the scarce sequestration of OC and water contents in the soils of this area. To improve the precision of the OC surface’s predictive map (Figure 9c), we also performed cokriging. In co-kriging, one or more observed variables (known as co-variates, which are often correlated with the variable of interest) are generally used to improve the precision when interpolating the variable of interest []. In this case, we considered the OC data as the first variable and the ECa data measured at 10 kHz as the covariate variable. The obtained co-kriging map offers a snapshot of the OC contents in the soils and can also be read easily by farmers, who may not have strong scientific backgrounds, enabling them to make the correct decisions to improve OC sequestering and plan future crops.

Figure 9.
Predictive maps realized using ordinary kriging for (a) the OC values, (b) the ECa values measured at 10 kHz, and cokriging to predict (c) a new OC surface, with the OC values and the ECa values at 10 kHz as a covariate variable. The legend values for each map represent a quantile classification.
5. Conclusions
Soil degradation in the Earth’s Critical Zone represents a major risk to ecosystems and human well-being by impacting water filtration, nutrient cycles, and carbon sequestration. The creation and use of environmental data and innovative tools are crucial for monitoring these changes at the field scale and guiding sustainable land management practices to protect this essential resource. However, there remains no fast or reliable method to measure organic carbon (OC) levels and their fluctuations over time in agricultural regions, hindering the accurate assessment of soil health and the ability to take proactive measures. For this reason, in our study, we developed a new method to map the distribution of OC in agricultural fields, allowing us to efficiently establish relative soil OC contents and detect any organic matter variations. Here, we demonstrated the existence of a relationship between the soil OC contents and isotopic signatures (13C/12C) determined in a laboratory and soil apparent electrical conductivity (ECa) measured in the field. Due to the high soil moisture levels, the areas with the highest OC values also presented the highest ECa values, as both organic matter and water are mainly contained in the fine sediments of the soil (i.e., clay). Conversely, the areas with coarse sediments (i.e., sand) yielded the lowest values of OC content coupled with the lowest ECa values, indicating the scarcity of OC and water contents in the soils. It is important to note that while changes in OC content can influence soil conductivity, other factors such as moisture content, soil compaction, and salinity might be more dominant in certain contexts, where continuous monitoring of ECa and OC becomes crucial. However, in this case study, the permanent cultivation of hazelnuts for at least 3–5 years will stabilize the OC content of the area and therefore the physical-chemical properties of the soil, including the conductivity.
Despite the limited number of soil samples, the collected geochemical and geophysical data allowed us to estimate the OC contents in the area and develop a cokriging map showing the OC distribution of the investigated site. Such maps provide a simple and rapid snapshot, which can help monitor carbon sequestration and plan precision agriculture services without collecting an extensive number of samples, given that geochemical analyses are more time-consuming compared to geophysical methods. A periodic verification of geochemical and geophysical parameters, over a short-term period of monitoring (3–5 years) and collecting more samples, could also help farmers evaluate any increases in C and pursue incentives under the CAP (i.e., carbon credits), eventually leading to carbon neutrality.
Supplementary Materials
The following supporting information can be downloaded at https://www.mdpi.com/article/10.3390/environments11120289/s1, Table S1: Results of the sequential Loss on Ignition (LOI), bulk density, elemental contents, and isotopic signatures of total (TC), organic carbon (OC), and inorganic (IC) carbon of soil samples from Malborghetto di Boara; Table S2: Results of the electromagnetic induction survey of electrical conductivity measured at 16, 14, and 10 kHz at Malborghetto di Boara.
Author Contributions
Conceptualization, E.R. and G.B.; methodology, G.M.S., E.R., V.B., G.F., A.S. and G.B.; software, G.M.S., E.R., V.B., G.F., A.S. and G.B.; formal analysis, G.M.S., E.R., V.B., A.S. and G.B.; investigation, G.M.S., E.R., V.B., G.F., A.S. and G.B.; data curation, G.M.S., E.R., V.B., G.F., A.S. and G.B.; writing—original draft preparation, G.M.S., E.R., V.B. and G.B.; writing—review and editing, G.M.S., E.R., V.B. and G.B. All authors have read and agreed to the published version of the manuscript.
Funding
This research received no external funding.
Data Availability Statement
The original contributions presented in the study are included in the article, further inquiries can be directed to the corresponding author.
Acknowledgments
The authors thank the Editorial Office and four anonymous reviewers for their suggestions to improve an early version of the manuscript.
Conflicts of Interest
The authors declare no conflicts of interest.
References
- FAO; ITPS. Status of the World’s Soil Resources; Food and Agriculture Organization of the United Nations: Rome, Italy, 2015; Available online: https://www.fao.org/documents/card/en/c/cb5125en (accessed on 8 November 2024).
- Panagos, P.; Ballabio, C.; Himics, M.; Scarpa, S.; Matthews, F.; Bogonos, M.; Poesen, J.; Borrelli, P. Projections of Soil Loss by Water Erosion in Europe by 2050. Environ. Sci. Policy 2021, 124, 380–392. [Google Scholar] [CrossRef]
- Turner, K.G.; Anderson, S.; Gonzales-Chang, M.; Costanza, R.; Courville, S.; Dalgaard, T.; Dominati, E.; Kubiszewski, I.; Ogilvy, S.; Porfirio, L.; et al. A Review of Methods, Data, and Models to Assess Changes in the Value of Ecosystem Services from Land Degradation and Restoration. Ecol. Modell. 2016, 319, 190–207. [Google Scholar] [CrossRef]
- Lal, R. Soil Carbon Sequestration Impacts on Global Climate Change and Food Security. Science 2004, 304, 1623–1627. [Google Scholar] [CrossRef] [PubMed]
- Blanco-Canqui, H.; Lal, R. Mechanisms of Carbon Sequestration in Soil Aggregates. CRC Crit. Rev. Plant Sci. 2004, 23, 481–504. [Google Scholar] [CrossRef]
- Oertel, C.; Matschullat, J.; Zurba, K.; Zimmermann, F.; Erasmi, S. Greenhouse Gas Emissions from Soils—A Review. Geochemistry 2016, 76, 327–352. [Google Scholar] [CrossRef]
- Dai, X.; Wang, H.; Fu, X. Soil Microbial Community Composition and Its Role in Carbon Mineralization in Long-Term Fertilization Paddy Soils. Sci. Total Environ. 2017, 580, 556–563. [Google Scholar] [CrossRef]
- Wiesmeier, M.; Urbanski, L.; Hobley, E.; Lang, B.; von Lützow, M.; Marin-Spiotta, E.; van Wesemael, B.; Rabot, E.; Ließ, M.; Garcia-Franco, N.; et al. Soil Organic Carbon Storage as a Key Function of Soils—A Review of Drivers and Indicators at Various Scales. Geoderma 2019, 333, 149–162. [Google Scholar] [CrossRef]
- Qin, Z.; Zhuang, Q.; Chen, M. Impacts of Land Use Change Due to Biofuel Crops on Carbon Balance, Bioenergy Production, and Agricultural Yield, in the Conterminous United States. GCB Bioenergy 2012, 4, 277–288. [Google Scholar] [CrossRef]
- Guo, X.; Zhao, Q.; Zheng, D.; Ning, Y.; Gao, Y. A Short-Term Load Forecasting Model of Multi-Scale CNN-LSTM Hybrid Neural Network Considering the Real-Time Electricity Price. Energy Rep. 2020, 6, 1046–1053. [Google Scholar] [CrossRef]
- Salani, G.M.; Lissoni, M.; Bianchini, G.; Brombin, V.; Natali, S.; Natali, C. Soil Organic Carbon Estimation in Ferrara (Northern Italy) Combining In Situ Geochemical Analyses and Hyperspectral Remote Sensing. Environments 2023, 10, 173. [Google Scholar] [CrossRef]
- Beka, S.; Burgess, P.J.; Corstanje, R.; Stoate, C. Spatial Modelling Approach and Accounting Method Affects Soil Carbon Estimates and Derived Farm-Scale Carbon Payments. Sci. Total Environ. 2022, 827, 154164. [Google Scholar] [CrossRef]
- Smith, J.L.; Doran, J.W. Measurement and use of pH and electrical conductivity for soil quality analysis. Soil Sci. Soc. Am. J. 1996, 60, 1234–1240. [Google Scholar]
- Hartemink, A.E. Soil fertility decline in the tropics. Soil Sci. Soc. Am. J. 2003, 67, 1201–1210. [Google Scholar]
- Hamza, M.A.; Anderson, W.K. Soil compaction in cropping systems: A review of the nature, causes, and possible solutions. Soil Tillage Res. 2005, 82, 121–145. [Google Scholar] [CrossRef]
- Doolittle, J.; Petersen, M.; Wheeler, T. Comparison of Two Electromagnetic Induction Tools in Salinity Appraisals. J. Soil Water Conserv. 2001, 56, 257–262. [Google Scholar]
- Morari, F.; Castrignanò, A.; Pagliarin, C. Application of Multivariate Geostatistics in Delineating Management Zones within a Gravelly Vineyard Using Geo-Electrical Sensors. Comput. Electron. Agric. 2009, 68, 97–107. [Google Scholar] [CrossRef]
- Tromp-van Meerveld, H.J.; McDonnell, J.J. Assessment of Multi-Frequency Electromagnetic Induction for Determining Soil Moisture Patterns at the Hillslope Scale. J. Hydrol. 2009, 368, 56–67. [Google Scholar] [CrossRef]
- Calamita, G.; Perrone, A.; Brocca, L.; Onorati, B.; Manfreda, S. Field Test of a Multi-Frequency Electromagnetic Induction Sensor for Soil Moisture Monitoring in Southern Italy Test Sites. J. Hydrol. 2015, 529, 316–329. [Google Scholar] [CrossRef]
- von Hebel, C.; Rudolph, S.; Mester, A.; Huisman, J.A.; Kumbhar, P.; Vereecken, H.; van der Kruk, J. Three-dimensional imaging of subsurface structural patterns using quantitative large-scale multiconfiguration electromagnetic induction data. Water Resour. Res. 2014, 50, 2732–2748. [Google Scholar] [CrossRef]
- ARPAE. Rapporto Idrometeoclima Emilia-Romagna: Dati 2021; Arpae Emilia-Romagna: Bologna, Italy, 2022; p. 69. [Google Scholar]
- Dean, W.E. Determination of Carbonate and Organic Matter in Calcareous Sediments and Sedimentary Rocks by Loss on Ignition; Comparison with Other Methods. J. Sediment. Res. 1974, 44, 242–248. [Google Scholar]
- Zethof, J.H.T.; Leue, M.; Vogel, C.; Stoner, S.W.; Kalbitz, K. Identifying and Quantifying Geogenic Organic Carbon in Soils—The Case of Graphite. SOIL 2019, 5, 383–398. [Google Scholar] [CrossRef]
- Natali, C.; Bianchini, G.; Cremonini, S.; Salani, G.M.; Vianello, G.; Brombin, V.; Ferrari, M.; Vittori Antisari, L. Peat Soil Burning in the Mezzano Lowland (Po Plain, Italy): Triggering Mechanisms and Environmental Consequences. Geohealth 2021, 5, e2021GH000444. [Google Scholar] [CrossRef]
- Natali, C.; Bianchini, G. Thermally Based Isotopic Speciation of Carbon in Complex Matrices: A Tool for Environmental Investigation. Environ. Sci. Pollut. Res. 2015, 22, 12162–12173. [Google Scholar] [CrossRef]
- Gonfiantini, R.; Stichler, W.; Rozanski, K. Standards and Intercomparison Materials Distributed by the International Atomic Energy Agency for Stable Isotope Measurements. In Reference and Intercomparison Materials for Stable Isotopes of Light Elements; Stichler, W., Ed.; IAEA: Vienna, Austria, 1995; pp. 13–29. [Google Scholar]
- Kusaka, S.; Nakano, T. Carbon and Oxygen Isotope Ratios and Their Temperature Dependence in Carbonate and Tooth Enamel Using a GasBench II Preparation Device. Rapid Commun. Mass Spectrom. 2014, 28, 563–567. [Google Scholar] [CrossRef] [PubMed]
- Dutta, K.; Schuur, E.A.G.; Neff, J.C.; Zimov, S.A. Potential Carbon Release from Permafrost Soils of Northeastern Siberia. Glob. Chang. Biol. 2006, 12, 2336–2351. [Google Scholar] [CrossRef]
- Biot, J.-B.; Savart, F. Note sur le Magnétisme de la pile de Volta. Ann. Chim. Phys. 1820, 15, 222–223. [Google Scholar]
- Telford, W.M.; Geldart, L.P.; Sheriff, R.E.; Keys, D.A. Applied Geophysics; Cambridge University Press: Cambridge, UK, 1976. [Google Scholar]
- R Core Team R. A Language and Environment for Statistical Computing. Available online: https://www.r-project.org/ (accessed on 22 June 2020).
- Ahmed, Z.U.; Woodbury, P.B.; Sanderman, J.; Hawke, B.; Jauss, V.; Solomon, D.; Lehmann, J. Assessing Soil Carbon Vulnerability in the Western USA by Geospatial Modeling of Pyrogenic and Particulate Carbon Stocks. J. Geophys. Res. Biogeosci. 2017, 122, 354–369. [Google Scholar] [CrossRef]
- Box, G.E.P.; Cox, D.R. An Analysis of Transformation. J. R. Stat. Soc. 1964, 26, 211–252. [Google Scholar] [CrossRef]
- QGIS.org. QGIS Geographic Information System. Available online: http://www.qgis.org (accessed on 22 June 2020).
- O’Leary, M.H. Carbon isotopes in photosynthesis. Bioscience 1988, 38, 328–336. [Google Scholar] [CrossRef]
- Natali, C.; Bianchini, G.; Vittori Antisari, L.; Natale, M.; Tessari, U. Carbon and Nitrogen Pools in Padanian Soils (Italy): Origin and Dynamics of Soil Organic Matter. Chem. Der Erde 2018, 78, 490–499. [Google Scholar] [CrossRef]
- Salani, G.M.; Brombin, V.; Natali, C.; Bianchini, G. Carbon, Nitrogen, and Sulphur Isotope Analysis of the Padanian Plain Sediments: Backgrounds and Provenance Indication of the Alluvial Components. Appl. Geochem. 2021, 135, 105130. [Google Scholar] [CrossRef]
- von Lützow, M.; Kögel-Knabner, I.; Ekschmitt, K.; Matzner, E.; Guggenberger, G.; Marschner, B.; Flessa, H. Stabilization of Organic Matter in Temperate Soils: Mechanisms and Their Relevance under Different Soil Conditions—A Review. Eur. J. Soil Sci. 2006, 57, 426–445. [Google Scholar] [CrossRef]
- Gunina, A.; Kuzyakov, Y. Pathways of Litter C by Formation of Aggregates and SOM Density Fractions: Implications from 13C Natural Abundance. Soil Biol. Biochem. 2014, 71, 95–104. [Google Scholar] [CrossRef]
- De Clercq, T.; Heiling, M.; Dercon, G.; Resch, C.; Aigner, M.; Mayer, L.; Mao, Y.; Elsen, A.; Steier, P.; Leifeld, J.; et al. Predicting Soil Organic Matter Stability in Agricultural Fields through Carbon and Nitrogen Stable Isotopes. Soil Biol. Biochem. 2015, 88, 29–38. [Google Scholar] [CrossRef]
- Guillaume, T.; Damris, M.; Kuzyakov, Y. Losses of Soil Carbon by Converting Tropical Forest to Plantations: Erosion and Decomposition Estimated by Δ13C. Glob. Chang. Biol. 2015, 21, 3548–3560. [Google Scholar] [CrossRef] [PubMed]
- Sarkar, B.; Singh, M.; Mandal, S.; Churchman, G.J.; Bolan, N.S. Clay Minerals—Organic Matter Interactions in Relation to Carbon Stabilization in Soils. In The Future of Soil Carbon; Elsevier: Amsterdam, The Netherlands, 2018; pp. 71–86. [Google Scholar]
- Brombin, V.; Salani, G.M.; De Feudis, M.; Mistri, E.; Precisvalle, N.; Bianchini, G. Soil Organic Carbon Depletion in Managed Temperate Forests: Two Case Studies from the Apennine Chain in the Emilia-Romagna Region (Northern Italy). Environments 2023, 10, 156. [Google Scholar] [CrossRef]
- Mateu, J.; Ramon, G. Geostatistical Functional Data Analysis; John Wiley & Sons: Hoboken, NJ, USA, 2021. [Google Scholar]
Disclaimer/Publisher’s Note: The statements, opinions and data contained in all publications are solely those of the individual author(s) and contributor(s) and not of MDPI and/or the editor(s). MDPI and/or the editor(s) disclaim responsibility for any injury to people or property resulting from any ideas, methods, instructions or products referred to in the content. |
© 2024 by the authors. Licensee MDPI, Basel, Switzerland. This article is an open access article distributed under the terms and conditions of the Creative Commons Attribution (CC BY) license (https://creativecommons.org/licenses/by/4.0/).