Next Article in Journal
Assessment of Water and Soil Contamination and Land Cover Changes in the Spring Creek Bayou Watershed in Houston, Texas
Previous Article in Journal
Carbon Soil Mapping in a Sustainable-Managed Farm in Northeast Italy: Geochemical and Geophysical Applications
Previous Article in Special Issue
Assessment of the Effects of ZnO and CuO Engineered Nanoparticles on Physicochemical Properties of Volcanic Ash Soil and Phosphorus Availability
 
 
Font Type:
Arial Georgia Verdana
Font Size:
Aa Aa Aa
Line Spacing:
Column Width:
Background:
Article

Impact of a Complex Passivating Agent on Heavy Metal Immobilization in Pig Manure and Plant Development

1
College of Agriculture, Yanbian University, Yanji 133002, China
2
Institute of Agricultural Resources and Environments, Jilin Academy of Agricultural Sciences, Northeast Agricultural Research Center of China, Changchun 130033, China
3
Center for Environmental Science in Saitama, Saitama 347-0115, Japan
*
Authors to whom correspondence should be addressed.
These authors contributed equally to this work.
Environments 2024, 11(12), 290; https://doi.org/10.3390/environments11120290
Submission received: 21 November 2024 / Revised: 8 December 2024 / Accepted: 16 December 2024 / Published: 17 December 2024

Abstract

In order to immobilize heavy metals in livestock and poultry manure and promote the safe utilization of pig manure resources, this experiment utilized three types of dried pig manure mixed with soil as raw materials. A combination of biochar and bentonite was established, including treatments with the addition of pig manure (CZ), 2.5% bentonite (F1), 7.5% bentonite (F2), 2.5% biochar (F3), 7.5% biochar (F4), 2.5% biochar + 2.5% bentonite (F5), 2.5% biochar + 7.5% bentonite (F6), 7.5% biochar + 2.5% bentonite (F7), 7.5% biochar + 7.5% bentonite (F8), and with zero addition (CK). After the passivation treatments had been applied, a soybean pot experiment was established to measure various physiological indicators at different soybean development stages. The results revealed that the passivated Cu was predominantly in the reduced and residual states. The passivation rates for F8 in LPS, F7 in MPS, and F8 in HPS were 34.10%, 29.90%, and 39.50%, respectively. Among the three concentrations of a pig manure–soil mixture, the impact of low copper concentration on soybean growth was relatively minimal, whereas medium and high copper concentrations significantly impaired soybean health, resulting in varying degrees of interveinal chlorosis and leaf yellowing from the tip to the base of young leaves, thereby affecting photosynthesis. The combined application of biochar and bentonite enhanced copper passivation and facilitated soybean growth and development.

1. Introduction

The intensification of livestock and poultry farming in China has led to a continuous increase in the numbers of livestock and poultry, resulting in a substantial accumulation of animal manure, which is a significant organic fertilizer resource. However, livestock growth rates and disease prevention are improved by incorporating considerable amounts of heavy metal elements into feed stuffs. Unfortunately, only 10%–20% of these heavy metals and microelements are absorbed by animals and this has led to excessive heavy metal levels in animal manure [1]. This means that the agricultural utilization of such animal manures contributes to the heavy metals pollution of farmland soils, which could pose potential risks to arable land quality, food safety, and human health. According to the 2023 China Statistical Yearbook, annual pork production in China reached 700 million heads in 2022 while Jilin Province alone accounted for an annual output of 18.4 million heads and is a crucial production base for high-quality commodity grains within China. Therefore, addressing its farmland health issues has become imperative when attempting to ensure national food security.
Heavy metal pollution is a significant constraint to the direct application of pig manure to fields. Therefore, it is crucial to find rapid and efficient methods for reducing heavy metal contamination in livestock and poultry waste. Currently, technologies such waste separation, removal, and stabilization are employed to safely treat waste using electrochemical treatment, chemical leaching, and biological percolation. Stabilization, separation, and removal approaches include high-temperature pyrolysis; methods include composting fermentation and inert adsorption [2], with the latter causing minimal disruption to the nutritional composition of pig manure while effectively mitigating heavy metal bioavailability. Commonly used inert absorption materials (passivators) include biochar and clay minerals, such as sepiolite, bentonite, and zeolite. Biochar materials have large specific surface areas and a porous structure, which enables them to efficiently adsorb heavy metals from the soil and effectively immobilize them [3]. The biochar surface is rich in oxygen-containing aromatic groups that can form complexes with heavy metals in the soil, thereby securely fixing them to the biochar [4]. Xue, J [5] recommended an optimal content of 15% biochar for promoting Cu and Zn passivation during pig manure composting. Clay minerals are hydrated aluminum silicates with large specific surface areas and charged surfaces. These minerals offer advantages such as cost-effectiveness, wide availability, and exceptional adsorption performance [6]. Yi, L [7] revealed that zeolite had superior passivation effects on exchangeable Cu, while bentonite had excellent passivation effects on exchangeable Zn. Yang, X.M et al. [8] reported a reduction in Cu bioavailability when 10 g of bentonite was added to cultivated soils that contained Cu concentrations of either 100 mg/kg or 300 mg/kg. This result indicated that bentonite possesses strong adsorption properties for Cu and effectively restricts its migration within plants, thereby mitigating its toxic impact on plant systems. Huang, J et al. [9] found that incorporating an appropriate amount of montmorillonite can enhance the passivation of heavy metals during composting processes and Deng, M.T et al. [10] reported that the addition of 10% calcium-based bentonite reduced bioavailable copper by 48.90% and zinc levels by 16.39% in pig manure.
Exchangeable heavy metals can be absorbed by crop roots and translocated to the stems and leaves where they affect photosynthesis and respiration processes and decrease nutrient metabolism functions. These changes adversely affect the growth and development of crops, resulting in diminished yields and quality [11]. Soybeans are often used to investigate the potential utilization and management of heavy metal-contaminated soils because proteins that are primarily found in oil crops such as soybeans bind with heavy metals, which reduces their influence on the quality of crop products, such as soybean oil [12]. Furthermore, the subterranean components of soybeans accumulate Cu to a greater extent than the aerial parts during the growth process and the Cu concentration in the underground parts can surpass that found in the soil. Conversely, the Cu concentration in the aboveground parts is lower than that in the soil. Enhancing soybean growth improves its ability to accumulate heavy metals [13]. Ultimately, even if oilseeds contain an excessive amounts of heavy metals, they can undergo a series of detoxification treatments to meet standards and be utilized as feed, fertilizer [14], or for biodiesel production [15]. This facilitates the comprehensive utilization goals for soils contaminated with heavy metals and allows oil crops to be fully exploited [16].
The majority of studies have primarily focused on assessing the impact of a single passivator on composting. There has been no comparative analysis of the different treatment methods for pig manure and the ability of biochar combined with bentonite to remove heavy metals. This study investigated the effects of incorporating biochar and bentonite into a pig manure–soil mix on the passivation of heavy metals and their influence on soybean growth. The objective was to assess the comprehensive applicability of these two passivators, identify efficient and stable options suitable for both single and complex pollution situations, and to determine their optimal dosages. This research provides a theoretical foundation for effectively reducing heavy metal pollution in livestock manure.

2. Materials and Methods

2.1. Experimental Materials

The biochar (specific surface area 39.693 m2·g−1) utilized in this experiment was obtained from Henan Lizhe Environmental Protection Technology Co., Ltd. in Henan Province, China, while the bentonite (specific surface area 43.298 m2·g−1) was obtained from Shanlin Shiyu Mineral Products Co., Ltd. in Zhejiang Province, China. The fresh pig manure was collected from a pig farm located in Gongzhuling, Jilin Province, China, and the soil samples (the black soil exhibits a characteristic composition with SiO2, Al2O3, and Fe2O3 as the predominant elements, collectively constituting over 80% of its content, thereby exemplifying a typical silico-aluminous soil) were sourced from Jilin Academy of Agricultural Sciences, in Jilin Province, China. The soybeans (variety JiYu 86) were acquired from the Soybean Research Center of Jilin Academy of Agricultural Sciences. Further details are shown in Table 1.

2.2. Experimental Methods

The fresh pig manure was collected, naturally air-dried for one week, naturally fermented for two weeks, and then dried to a constant mass in an oven at 100 °C. The dried manure was finely ground and sieved through a 40-mesh sieve before being stored in sealed bags for future use. Subsequently, the dried pig manure was divided into three types that contained different Cu concentrations: low (170 mg/kg), medium (210 mg/kg), and high (250 mg/kg). Then, 200 g of each dried pig manure type was mixed with 5 kg of soil at a ratio of 1:25, to obtain three pig manure–soil mixtures labeled as LPS (low Cu concentration), MPS (medium Cu concentration), and HPS (high Cu concentration). Further details can be found in Table 2.
The different inert passivator agents, biochar and bentonite, were combined with the three pig manure–soil mixes in mass ratios of 0%, 2.5%, and 7.5%. The aim was to determine the optimal type and addition ratios for the different inert agent combinations. The biochar and bentonite treatments were as follows: pig manure (CZ) and pig manure with the addition of 2.5% bentonite (F1), 7.5% bentonite (F2), 2.5% biochar (F3), 7.5% biochar (F4), 2.5% biochar + 2.5% bentonite (F5), 2.5% biochar + 7.5% bentonite (F6), 7.5% biochar + 2.5% bentonite (F7), 7.5% biochar + 7.5% bentonite (F8), or with no addition (CK).
The passivation experiment for heavy metal immobilization in the pig manure–soil mixes began on 23 May 2024. The pig manure soil treated with three different concentrations of low, medium, and high was placed in cylindrical plastic pots with a height of 20 cm and a diameter of 17 cm. Three replicates were set up. Then, three soybean seeds were evenly sown at a depth of approximately 1.5 cm in each pot. Subsequently, each pot received approximately 1.0 L of water three times. When the fourth leaf had emerged from the soybean plants, one seedling per pot was retained and the others removed. The soil moisture was maintained at 60% field water-holding capacity throughout the cultivation period. The capacity method, based on crop growth and soil moisture conditions, was used to irrigate the plants. No additional fertilizers were applied during the experimental period and each pot was replicated three times. Plant heights during the flowering and podding stages, chlorophyll contents during the seedling and podding stages, and net photosynthetic rate during the podding and maturity stages of the soybean plants were measured.

2.3. Testing Methods

The pH and conductivity were obtained by mixing the dried sample with water at a solid–liquid ratio of 1:10. The sample was then uniformly shaken at 25 °C and 200 r/min for 1 h and the pH and conductivity of the suspension were measured.
The determination methods for heavy metals primarily include the total quantification of heavy metal elements and the extraction-based determination of various forms of heavy metals. The total Cu concentrations were determined using the aqua regia–perchloric acid digestion method, followed by flame atomic absorption spectrometry. The improved BCR sequential extraction method was used to separate Cu in LPS, MPS, and HPS. Detailed information regarding sample weight, extractant volume, and experimental procedures can be found here [17,18]. Organic matter, total nitrogen, phosphorus, and potassium in the soil were analyzed using standard elemental analysis methods for agricultural land in China.
The chlorophyll content of the soybean plants was measured using a JC-YLS-04 plant nutrition detector (Zhengzhou Jinnong Technology Co., Ltd., China) and the net photosynthetic rate was measured using the LI-6400XT portable photosynthesis measurement system (LI-COR company in the United States).
The allocation rate = mass fraction of different forms of heavy metals/total mass fraction of heavy metals × 100%.
Passivation rate = (original allocation rate − passivated allocation rate)/original allocation rate × 100%.
The passivation effect of the passivator on heavy metals in pig manure improves with a higher passivation rate.

2.4. Statistical Analysis

All statistical characteristics and data were analyzed using Origin 2021 (OriginLab Corporation, USA) and SPSS (IBM corporation, USA). Chlorophyll and Net photosynthetic rate were analyzed using SPSS version 27. 0. An ANOVA was applied to determine the statistical significance of mean values (n = 3) at p ≤ 0.05. Heatmaps were constructed using the Lianchuan Bio Cloud platform and the bioinformatic analysis was performed using the OmicStudio tools at https://www.omicstudio.cn/tool, accessed on 15 November 2024).

3. Results and Discussion

3.1. The Physical and Chemical Properties of the Material Prior to and Subsequent to the Introduction of a Dulling Agent

In this experiment, dried pig manure was utilized as the experimental material because it requires a shorter processing period compared to conventional composting methods and is easier to store. High-temperature treatments effectively eliminate viruses and pathogens in the manure, thereby preventing their further dissemination. Moreover, dried pig manure can be directly applied to farmland or used in conjunction with other amendments, such as organic fertilizer [19]. The carbon content in air-dried pig manure does not change after temperature treatment [20], which means that it can act as a carbon source to enhance microbial activity and the mineralization of organic matter. The prolonged use of dried pig manure can increase the soil organic matter content, enhance soil fertility, establish an advantageous soil environment, and provide optimal conditions for crop growth. According to Table 1 and Table 2, pH is one of the most critical and suitable indicators for heavy metal inactivation. After adding pig manure, the pH of the pig manure soil slightly increased compared to the soil without addition. However, after adding a passivator, the pH of the pig manure soil increased significantly. The increase in pH enhanced the soil’s ability to adsorb heavy metal cations and helped increase organic matter solubility and complexation capacity [21]. As the pH value increases, the concentration of hydroxide ions in the soil solution increases. This increases the chance for multivalent heavy metal ions such as Cu2⁺ to combine with hydroxide ions and form insoluble precipitates, thereby reducing their concentration in soil solution. These precipitates usually have high stability and can persist in soils for a long time [22]. After adding pig manure to the soil, the EC value significantly increases due to the increase in heavy metal concentrations (including copper) in the soil, which leads to an increase in dissolved ion concentration in the solution and thus enhances soil conductivity. This is consistent with the findings of Wang et al.’s study [23]. The addition of passivators significantly reduces EC as Cu2+ forms insoluble oxides and complexes with passivators. And the application of passivating agents significantly increased the available potassium content in the soil, which is consistent with the findings of Zhao et al. [24]. This improvement may be attributed to the high ash and mineral levels in biochar. Biochar possesses a loose and porous structure, which enables it to reduce nutrient losses and improve the survival environment for soil microorganisms and soil nutrient cycling [25]. Following the application of a dulling agent, there was an observed increase in soil organic matter, total nitrogen, and total phosphorus levels.

3.2. The Passivation Effects of Single and Compound Passivators on Cu in the Pig Manure–Soil Mixes

Figure 1a–c show that both individual and combined applications of the passivators significantly reduced the available Cu concentration in the pig manure–soil mix. The addition of 7.5% bentonite (F2) decreased available Cu in LPS, MPS, and HPS to a greater extent than adding 2.5% bentonite (F1). Figure 1a shows that the total Cu concentration for F8 in LPS decreased by 65.9% compared to CZ; Figure 1b shows that the total Cu concentrations for F7 and F8 in MPS decreased by 65.7% and 66.7%, respectively, compared to CZ; and Figure 1c shows that the total Cu concentration for F8 in HPS decreased by 57.6% compared to CZ. The reduction in pig manure volume due to drying and the evaporation of water leads to an increase in the concentration of non-degradable Cu. The addition of the bentonite clay passivator adsorbed the Cu and facilitated ion exchange with the Cu that had entered the interlayer spaces between the montmorillonite layers. This resulted in the formation of a new mineral [11]. Biochar exhibits strong physical adsorption properties that undergo changes after the surface adsorption of Cu. These lead to the formation of carbonates, phosphates, silicates, or sulfites [26]. After the passivators have absorbed heavy metals such as Cu, a number of different types of reactions occur, such as ion exchange, complexation, precipitation, and oxidation-reduction reactions [27]. It is these mechanisms that enable the passivators to effectively reduce the Cu concentration in pig manure soil compared to the untreated control samples (CZ).

3.3. The Effects of Single and Compound Passivators on the Cu Forms in the Pig Manure–Soil Mixes and the Passivation Rates

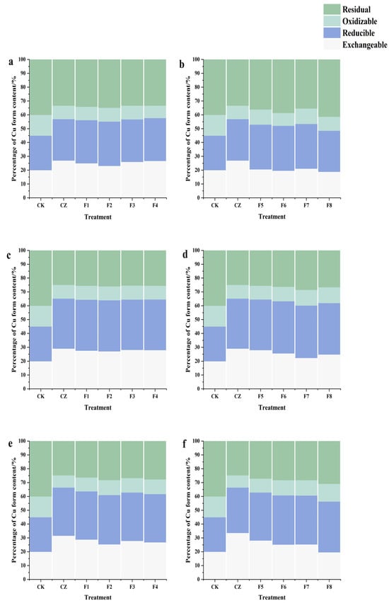
The distribution rate is a crucial indicator for assessing the environmental risk associated with heavy metal contamination. Figure 2a,c, and e show that the exchangeable Cu concentration in F2 is relatively low. Figure 2a (LPS) shows that the addition of 7.5% bentonite (F2) leads to a decrease in the exchangeable state and an increase in the residual state, thereby enhancing the transformation of Cu from an active to an inert state compared to CZ. Figure 2b suggests that treatments F5 to F8 led to a reduction in the exchangeable state and an elevation in both the oxidized, reduced, and residual states compared to CZ. Consequently, incorporating composite passivators can effectively enhance the stability and reduce the mobility of Cu. Notably, after introducing composite passivators to LPS, treatments F5, F6, F7, and F8 showed decreases in exchangeable Cu distribution rates by 6.4%, 7.4%, 5.9%, and 8.1% compared to CZ. The ranking order for the exchangeable Cu passivation rates after the composite applications is as follows: F8 > F6 > F5 > F7 > CZ. Furthermore, there was an increase in the residual Cu distribution rates across the F5, F6, F7, and F8 treatment groups of 2.8%, 5.3%, 2.1%, and 8%, respectively.
Figure 2c (MPS) shows that the Cu exchangeable state in F2 decreased compared to CZ while the residual state increased. This suggests that the addition of 7.5% bentonite alone passivates medium-concentration Cu. Figure 2d shows that after incorporating composite passivators, the distribution rates for exchangeable Cu in F5, F6, F7, and F8 decreased by 1.1%, 3.4%, 6.7%, and 4.2% compared to CZ, respectively, whereas the distribution rates for residual state Cu increased by 0.6%, 1.4%, 3.6%, and 1.7%, respectively. Therefore, in the MPS treatment, the F8 treatment is less effective than F7, which suggests that adding both 7.5% bentonite and biochar will actually inhibit the passivation effect on medium-concentration Cu compared to 7.5% biochar + 2.5% bentonite.
Figure 2e (HPS) shows that the exchangeable Cu state in F2 was lower than CZ, while the residual state was higher. This suggests that the addition of 7.5% bentonite passivates Cu in the HPS treatment. Figure 2f shows that the composite passivator treatments F5, F6, F7, and F8 reduced the distribution rate for exchangeable Cu by 5.5%, 8.4%, 8.3%, and 14% compared to CZ, respectively. Additionally, the residual Cu state distribution rates in each group increased by 2.4%, 3.6%, 3.6%, and 6.2%, respectively. F8 had the greatest passivation effect on high-concentration Cu.
Figure 3 shows that a higher exchangeable passivation rate corresponds to a passivator having a more effective passivation effect on Cu in pig manure. The figure indicates that F8 had a passivation rate of 34.10% in LPS, which suggests that the addition of a composite comprising 7.5% biochar and 7.5% bentonite is more effective than using only one passivator. Comparatively, F2 shows slightly lower efficacy compared to CZ, suggesting that adding 2.5% bentonite alone has limited impact on Cu passivation in the low-concentration pig manure–soil mix. In MPS, F7 had a passivation rate of 29.90%, which suggests that incorporating a composite consisting of 7.5% biochar and 2.5% bentonite effectively passivates Cu at medium Cu concentrations. The individual addition of biochar (F3 and F4) had a lower effect than the individual addition of bentonite (F1 and F2), which implies that bentonite has superior Cu-passivating effects in MPS. In HPS, F8 (7.5% biochar and 7.5% bentonite) had a passivation rate of 39.50%, indicating an excellent Cu passivation performance. F2 achieved the highest passivation rate among the single passivation agents and shows that both single and composite passivating agents containing 7.5% bentonite had significant effects on Cu passivation. This finding is consistent with reports that montmorillonite [28] exhibits multiple adsorption mechanisms, involving both physical and chemical processes during the adsorption of heavy metal Cu, and has excellent potential as a passivating agent.
Sodium-based bentonite, one of the two passivators in this study, can undergo ion exchanges with metal cations, such as Cu2+ in pig manure, at exchange adsorption sites, thereby adsorbing and removing metal ions [29]. The hydroxyl groups on the surface of the bentonite structure coordinate complexation with heavy metal ions. They form chemical bonds similar to those associated with Cu-O in the structure and effectively adsorb metal ions [30]. The sodium activation method is commonly used to modify calcium-based bentonite because it has a unique layered structure that allows interlayer ion exchange. Sodium-based bentonite has a superior performance and a stronger adsorption capacity for heavy metal removal than calcium-based bentonite. Berraaouan et al. [31] discovered that treatment with NaCl increased the specific surface area of sodium-activated bentonite from 3.9 m2/g to 94.25 m2/g and significantly improved its adsorption capacity. Another adsorption material used is corn straw biochar, which has excellent heavy metal adsorption capabilities compared to other biochar materials [32,33]. For instance, studies have shown that corn straw biochar has a high maximum Pb2+ adsorption capacity (Qmax = 141.310 mg/g), followed by rice straw biomass char (122.753 mg/g), whereas wheat straw biochar has a low value at 121.226 mg/g. The fast adsorption rate and large adsorption capacity of corn straw biochar can be attributed to its loose microstructure, abundant surface functional groups, and the presence of large pores that facilitate chelation reactions [34]. Rice straw biochar was the most efficient at removing Cu from soil in a study conducted by Wang, Y et al. [35] on the adsorption effects of different biochars for Cu. Furthermore, a dose rate of 100 g/kg reduced Cu absorption by bamboo roots by 35%, which was better than other agricultural waste biochars, such as walnut shells. These findings highlight the superior heavy metal adsorption capabilities of straw biochar compared to other agricultural and forestry waste-derived biochars.
The excessive addition of heavy metals in pig feed leads to elevated residual levels in pig manure. These pose significant environmental risks and limit resource utilization potential [36]. Li, R [37] suggested that the direct use of livestock manure as organic fertilizer introduced substantial amounts of heavy metals into the soil, which subsequently hindered nutrient decomposition processes, caused soil compaction, reduced the total microbial population, and delayed crop growth. Furthermore, these effects also adversely affect both yield and the quality of the agricultural products. The results from this study demonstrate that combining varying amounts of sodium-based bentonite and biochar led to greater reductions in Cu bioavailability in soil through passivation than the application of just bentonite or biochar. Notably, the most significant passivation effect on Cu was observed in the LPS and HPS treatments after the addition of 7.5% biochar + 7.5% bentonite. This result agrees with Zhou, Z [38] who used biochar and zeolite as passivation agents.
In summary, the predominant forms of passivated heavy metal Cu are the reduced and residual states, with F8, F7, and F8 demonstrating superior passivation effects in the LPS, MPS, and HPS treatments, respectively.

3.4. The Effects of Single and Compound Passivators on the Cu Forms in the Pig Manure–Soil Mixes and the Rate of Passivation

Figure 4a shows that, during the flowering stage, the plant heights of F1, F3, and F4 were significantly lower than the control (CZ), indicating that at lower Cu concentrations, F1, F3, and F4 reduced plant growth. This suggests that biochar inhibited crop growth during early development. However, this effect decreased during the podding stage [39]. At the podding stage, all treated plants were taller than the CZ plants and this was probably due to the application of biochar, which would enhance soil organic matter stability and improve its quality by increasing organic matter activity [40]. Plants treated with a higher proportion of biochar and bentonite (F8) showed significant increase in height.
Figure 4b shows that, at the medium Cu concentration, plant growth in CZ was inhibited compared to F1 and F2. This suggests that bentonite alone has a positive effect on early soybean growth at the medium Cu concentration. Treatment F7 (7.5% biochar + 2.5% bentonite) improved plant growth and the addition of bentonite seemed to reduce the inhibitory effect of biochar on early soybean growth.
Figure 4c shows that the high Cu concentration treatment strongly suppressed plant growth as evidenced by the lower plant heights during the soybean flowering stage compared to Figure 4a,b. Among them, the plants in the treatments with single passivation agents (F1, F2, and F4) were taller at the flowering stage than the control, which suggests that each passivation agent had significant effects on plant growth. However, all treatments with passivation agents had taller plants than the control at the podding stage and showed more uniformity in their development. Treatment F8 (7.5% biochar + 7.5% bentonite) had the greatest passivation effect in the HPS treatment.
Figure 5a shows that the chlorophyll content in the F2 plants during the seedling stage was comparatively lower than that of CZ under LPS conditions. There was no significant difference in chlorophyll content and net photosynthesis rate between CK and CZ. During the podding stage, all the treatments had relatively uniform chlorophyll contents. However, F8 had a higher net photosynthetic rate and chlorophyll content than the average value, indicating enhanced growth and development. Figure 5b shows that, compared to CK, the chlorophyll and photosynthesis rates were significantly lower in CZ. The F1 and F2 treatments increased leaf growth, chlorophyll content, and net photosynthetic rates under MPS conditions, but the F7 treatment led to a greater increase in leaf growth. Figure 5c shows that, under HPS conditions, the chlorophyll and photosynthesis rate in CZ were significantly lower than those in CK, and the photosynthesis rate was the most reduced among the three concentrations of pig manure soil. The leaves of F2 and F3 plants had a greener appearance and had higher net photosynthesis rates. Furthermore, the F6 and F8 composite treatments increased chlorophyll content and leaf growth. Overall, the Cu treatment order was HPS > LPS > MPS for growth trends. This suggests that treatments F2 to F8 had a more pronounced passivation effect on high-concentration Cu compared to low-concentration Cu. However, LPS had a lower impact on plant growth after passivation compared to MPS. These findings agree with previous studies [41], which reported that low-concentration Cu2+ stress had non-significant effects on SOD activity, whereas high-concentration Cu2+ stress significantly decreased SOD activity. Furthermore, the F8 treatment had a weaker passivation effect on HPS than LPS, which suggests that F8 had the strongest passivation effect on soil contaminated with high concentrations of Cu. However, the impact of biochar on crop growth was not consistent throughout the growth process. A study examining the relationship between soybean growth and biochar found that it initially inhibited early-stage development, but this inhibition gradually diminished over time [42]. Previous studies have shown that applying biochar as a single treatment improved the physiological indicators for soybeans [43], but excessive application suppressed growth [44]. Similar findings were reported by Zhang, H in a study on corn, where biochar initially hindered early-stage growth but improved crop development in the later growth stages [45]. Wang Li et al. reported that applying biochar enhanced photosynthesis, chlorophyll content, and the net photosynthetic rate in silage corn and tobacco leaves [46] and Feng Meiling revealed that adding biochar to soil improved the photosynthetic capacity of Pleione bulbocodioides [47]. Therefore, adding biochar to the soil can enhance its physical and chemical properties, optimize fertilizer utilization [48], augment photosynthesis, and stimulate crop growth. In contrast, the prolonged or excessive application of biochar may have detrimental effects on soil organic carbon quality by decreasing soil organic matter activity and overall soil health [49]. However, in this study, the combined application of biochar and bentonite had a superior neutralizing effect on pig manure-amended soils with varying concentrations of heavy metal Cu while simultaneously minimizing potential impacts on land quality.
Figure 6 shows a relationship between the alterations in copper content and forms in LPS, MPS, and HPS for each soil indicator, in which the LPS, exchangeable Cu, available Cu, oxidized Cu, reduced Cu, and organic matter show a highly significant positive correlation. Residual Cu, exchangeable Cu, available Cu, and total phosphorus are significantly and negatively correlated, while they are significantly negatively correlated with oxidized Cu and reduced Cu. In the MPS, a highly significant positive correlation exists among Cu, total phosphorus, exchangeable Cu, total potassium, and organic matter. Residual Cu, reduced Cu, and oxidized Cu are significantly negatively correlated, and are also significantly negatively correlated with total potassium. In the HPS, an extremely significant positive correlation exists between available Cu and exchangeable Cu, and a significant positive correlation exists with organic matter and total potassium. The findings from Figure 1 and Figure 2 support the conclusion that there exists a significant positive correlation between Cu and exchangeable Cu.

4. Conclusions

The combined application of biochar and bentonite had a greater passivation effect than their individual application. In the low Cu contamination pig manure–soil mix (LPS), the addition of 2.5% bentonite alone did not significantly reduce Cu availability, whereas applying 7.5% biochar + 7.5% bentonite led to a passivation rate of 34.10% for Cu and substantially enhanced plant growth compared to no additives. In the medium Cu-contaminated pig manure–soil mix (MPS), incorporating 7.5% biochar + 2.5% bentonite achieved a greater passivation rate of 29.90% and was more effective than the addition of just 7.5% bentonite. The soybean physiological indicators indirectly supported the finding that combined applications were better than just adding one amendment. In the high Cu-contaminated pig manure–soil mix (HPS), the passivation effect was more pronounced than that for LPS and MPS, with the Cu passivation rate reaching 39.50% after adding 7.5% biochar + 7.5% bentonite. Furthermore, the physiological indicator values for soybeans cultivated in HPS were greater than those for LPS and MPS. In summary, incorporating 7.5% biochar + 7.5% bentonite demonstrates significant potential as an effective passivator at high Cu concentrations. This study explored copper contamination at low, medium, and high concentrations, but the passivation effects of biochar and bentonite, as well as their impact on plant growth in soils with extremely high or low copper concentrations, still need further verification. Future experiments will be designed with multiple concentration gradients to further clarify the passivation capacity of this combined amendment and its applicable range.

Author Contributions

Methodology and data analysis, H.Z. and T.C.; writing—original draft preparation, T.L. and Y.L.; writing—review and editing, X.L. and X.Z.; data curation S.L. and K.O. investigation D.J.; All authors have read and agreed to the published version of the manuscript.

Funding

This research was funded by Jilin Province Postdoctoral Program (NO. 17); Jilin Province Agricultural Science and Technology Innovation Project (CXGC2022RCB004); the Agricultural Science and Technology Innovation Project of Jilin Province (CXGC2023RCY039) and Jilin Province Science and Technology Development Plan Project (20210401116YY).

Data Availability Statement

The data are unavailable due to privacy restrictions.

Conflicts of Interest

The authors declare that they have no known competing financial interests or personal relationships that could have appeared to influence the work reported in this paper.

References

  1. He, Q.H.; Liang, Y.F. Analysis of sources of heavy metals in livestock and poultry manure and soil pollution. Agric. Technol. 2017, 37, 238–239. [Google Scholar] [CrossRef]
  2. Wang, Z.; Tu, C.B.; Wang, R.Y.; Wu, W.J.; Fan, W.H.; Zhang, H.; Wu, C.F. Research progress on agricultural soil environmental pollution and remediation. Agric. Technol. 2023, 43, 94–99. [Google Scholar] [CrossRef]
  3. Picher, S.; Drogui, P.; Guay, R.; Blais, J.F. Wastewater sludge and pig manure used as culture media for bioleaching of metal sulphides. Hydrometallurgy 2002, 65, 177–186. [Google Scholar] [CrossRef]
  4. Cang, L.; Wang, Y.; Zhou, D.; Dong, Y. Heavy metals pollution in poultry and livestock feeds and manures under intensive farming in Jiangsu Province, China. J. Environ. Sci. 2004, 16, 371–374. [Google Scholar]
  5. Xue, J.; Wang, L.; Zhang, H.M.; Zhang, H.Q.; Zhu, Y.X.; Zhou, L. Response of biochar to improve humification and heavy metal passivation in pig manure compost. J. Tarim Univ. 2023, 35, 88–96. [Google Scholar] [CrossRef]
  6. Huang, Y.Y.; Chen, G.F.; Liu, B.; Su, L.R. Research progress on contents, speciation and transformation of heavy metals in livestock and poultry manures. Guangxi Agric. Sci. 2010, 41, 807–809. [Google Scholar] [CrossRef]
  7. Yi, L. Study on Bioavailability Determination of Heavy Metals in Four Typical Soils. Master’s Thesis, Northwest A & F University, Xianyang, China, 2011. [Google Scholar]
  8. Yang, X.M.; Zhao, F.J. Effect of bentonite on the forms and bioavailability of Cu2+ in soil. Met. Mine 2023, 9, 247–253. [Google Scholar] [CrossRef]
  9. Huang, J.; Xiao, J.Z.; Tang, S.G.; Zheng, Q.; Ding, F.H.; Zhang, D.X. Effect of montmorillonite addition on aerobic composting and heavy metals passivation of pig manure. Acta Agric. Zhejiangensis 2020, 32, 141–148. [Google Scholar] [CrossRef]
  10. Deng, M.T. Experimental Study on Pyrolysis Characteristics and Heavy Metal Transform and Migration of Swine Manure Digestate. Master’s Thesis, Huazhong University of Science and Technology, Wuhan, China, 2020. [Google Scholar]
  11. Geng, X.H.; Yang, X.; Liu, X.Y.; Ma, Z.; Gai, K.H. Adsorption and aggregation mechanism of Cu2+ and Zn2+ by bentonite composite particles. Non-Met. Mines 2024, 47, 103–107. [Google Scholar] [CrossRef]
  12. Huo, X. The heavy metal (Pb) lead pollution studies in the vegetables. J. Liupanshui Teach. Coll. 2009, 21, 27–31. [Google Scholar] [CrossRef]
  13. Tang, G.M.; Jia, Y.J.; Guo, J.H.; Li, L.; Wang, C.J.; Guan, H.L.; Huang, J.X. Effect of heavy metal pollution on seed germination and seedling growth of peanut and soybean. J. Yunnan Norm. Univ. Nat. Sci. Ed. 2021, 41, 64–69. [Google Scholar] [CrossRef]
  14. Wu, D.L.; Zhang, J.T. Characteristics of content and accumulation of heavy metals in Glycine soja. J. Anhui Agric. Sci. 2018, 46, 71–74,81. [Google Scholar] [CrossRef]
  15. Sousa, A.I.; Caçador, I.; Lillebø, A.I.; Pardal, M.A. Heavy metal accumulation in Halimione portulacoides: Intra- and extra-cellular metal binding sites. Chemosphere 2008, 70, 850–857. [Google Scholar] [CrossRef] [PubMed]
  16. Ginneken, L.V.; Meers, E.; Guisson, R.; Ruttens, A.; Elst, K.; Tack, F.M.G.; Vangronsveld, J.; Diels, L.; Dejonghe, W. Phytoremediation for heavy metal-contaminated soils combined with bioenergy production. J. Environ. Eng. Landsc. Manag. 2007, 15, 227–236. [Google Scholar] [CrossRef]
  17. Kazi, T.G.; Jamali, M.K.; Kazi, G.H.; Arain, M.B.; Afridi, H.I.; Siddiqui, A. Evaluating the mobility of toxic metals in untreated industrial wastewater sludge using a BCR sequential extraction procedure and a leaching test. Anal. Bioanal. Chem. 2005, 383, 297–304. [Google Scholar] [CrossRef]
  18. Arain, M.B.; Kazi, T.G.; Jamali, M.K.; Jalbani, N.; Afridi, H.I.; Shah, A. Total dissolved and bioavailable elements in water and sediment samples and their accumulation in Oreochromis mossambicus of polluted Manchar Lake. Chemosphere 2008, 70, 1845–1856. [Google Scholar] [CrossRef]
  19. Sánchez-Báscones, M.; Antolín-Rodríguez, J.M.; Bravo-Sánchez, C.T.; Martín-Gil, J.; Martín-Ramos, P. Dried pig manure from a cogeneration plant as a fertilizer for nitrate vulnerable zones. Agronomy 2019, 9, 46. [Google Scholar] [CrossRef]
  20. Zhang, T. The Impacts of Swine Manure Treatments and Application Years on Soil Nitrogen Flux. Master’s Thesis, Chinese Academy of Agricultural Sciences, Beijing, China, 2018. [Google Scholar]
  21. Yang, X.; Ren, G.; Li, L.; Luo, K. Effect of pH value on heavy metals form of soil and their relationship. China Min. Mag. 2017, 26, 79–83. [Google Scholar]
  22. Zhang, M.; Fan, L. Study on the effect of soil pH value changes on heavy metal form distribution. Mod. Transp. Bridge Constr. 2023, 3, 73–75. [Google Scholar] [CrossRef]
  23. Chibuike, G.U.; Obiora, S.C. Heavy Metal Polluted Soils: Effect on Plants and Bioremediation Methods. Appl. Environ. Soil Sci. 2014, 2014, 752708. [Google Scholar] [CrossRef]
  24. Zhao, W.; Zhou, Q.; Tian, Z.; Cui, Y.; Liang, Y.; Wang, H. Apply biochar to ameliorate soda saline-alkali land, improve soil function and increase corn nutrient availability in the Songnen Plain. Sci. Total Environ. 2020, 722, 137428. [Google Scholar] [CrossRef] [PubMed]
  25. Wang, Z.Y.; Chen, L.; Sun, F.L.; Luo, X.X.; Wang, H.F.; Liu, G.C.; Xu, Z.H.; Jiang, Z.X.; Pan, B.; Zheng, H. Effects of adding biochar on the properties and nitrogen bioavailability of an acidic soil. Eur. J. Soil Sci. 2017, 68, 559–572. [Google Scholar] [CrossRef]
  26. Dai, J.; Liu, Y.S. Adsorption of Pb+ and Cd2+ onto biochars derived from pyrolysis of four kinds of biomasses. Acta Sci. Nat. Univ. Pekin. 2013, 49, 1075–1082. [Google Scholar]
  27. Luo, Y.Y.; Wu, Q.H.; Hua, B.C.; Lin, J.X.; Mai, S.X.; Wu, Y.T. Review on fixation mechanism of heavy metals by biochar. Guangzhou Chem. Ind. 2024, 52, 5–7. [Google Scholar]
  28. Xiao, L.P.; Song, J.N.; Wang, R.J.; Luan, X.F.; Liu, Z. Removal of acidic mine wastewater containing Mn2+ by bentonite-steel slag composite particles. Ind. Water Treat. 2018, 38, 46–49. [Google Scholar]
  29. Wang, F.; Guan, J.F.; Liu, Y.Q.; Chen, F.; Guo, Z.Z.; Qian, Y.P. Study on ion exchange and swelling properties of Xinjiang bentonite. Non-Met. Mines 2019, 42, 73–76. [Google Scholar] [CrossRef]
  30. Cheng, B.B.; Mo, W.; Su, X.J.; Yu, C.; Huang, Y.H.; He, C.Y. Simultaneous removal of lead, zinc, cadmium and arsenic from water by bentonite and its mechanism. J. Guangxi Univ. Nat. Sci. Ed. 2022, 47, 526–537. [Google Scholar] [CrossRef]
  31. Berraaouan, D.; Elmiz, M.; Essifi, K.; Salhi, S.; Tahani, A. Adsorption of carvacrol on modified bentonite in aqueous solutions. Mater. Today Proc. 2020, 31, S28–S32. [Google Scholar] [CrossRef]
  32. Shen, Z.; Hou, D.; Jin, F.; Shi, J.; Fan, X.; Tsang, D.C.W.; Alessi, D.S. Effect of production temperature on lead removal mechanisms by rice straw biochars. Sci. Total Environ. 2019, 655, 751–758. [Google Scholar] [CrossRef]
  33. Yang, Q.; Cui, P.; Liu, C.; Fang, G.; Huang, M.; Wang, Q.; Zhou, Y.; Hou, H.; Wang, Y. In situ stabilization of the adsorbed Co2+ and Ni2+ in rice straw biochar based on LDH and its reutilization in the activation of peroxymonosulfate. J. Hazard. Mater. 2021, 416, 126215. [Google Scholar] [CrossRef]
  34. Zou, F.; He, C.X.; Zhang, Y.Y.; Shi, H.; Zhou, K. Adsorbability comparison of some crop straw biochar to heavy metal Pb2+. J. Mater. Sci. Eng. 2018, 36, 993–997,1009. [Google Scholar] [CrossRef]
  35. Wang, Y.; Zhong, B.; Shafi, M.; Ma, J.; Guo, J.; Wu, J.; Ye, Z.; Liu, D.; Jin, H. Effects of biochar on growth, and heavy metals accumulation of moso bamboo (Phyllostachys pubescens), soil physical properties, and heavy metals solubility in soil. Chemosphere 2019, 219, 510–516. [Google Scholar] [CrossRef] [PubMed]
  36. Shen, F.J.; Han, J.H.; Zhao, R.; Zhang, K.Q. Research on the contents and change characteristics of heavy metals in swine manure. J. Agric. Resour. Environ. 2021, 38, 466–474. [Google Scholar] [CrossRef]
  37. Li, R.; Meng, H.B.; Shen, Y.J.; Zhou, H.B.; Zhang, X.; Wen, H.D. Immobilization of heavy metals by modified biochar during composting of pig manure. J. Agro-Environ. Sci. 2018, 37, 2304–2311. [Google Scholar] [CrossRef]
  38. Zhou, Z.; Huang, L.; Huang, G.D.; Ma, H.G.; Peng, G. Deactivation and remediation of cadmium and zinc contaminated soil by combination of biochar and sepiolite. J. Huazhong Agric. Univ. 2023, 42, 158–166. [Google Scholar] [CrossRef]
  39. Niu, J.Y.; Li, X.H. Research on the application of biochar in crop production. Seed Sci. Technol. 2023, 41, 5–7,12. [Google Scholar] [CrossRef]
  40. Zhang, J.L.; Zhang, B.W.; Zhu, W.J.; Yue, J.H.; An, N.; Guan, S. Contrasting effects of straw and straw-derived biochar application on soil organic matter. J. Jilin Agric. Univ. 2024, 1–12. [Google Scholar] [CrossRef]
  41. Zhang, Y.K.; Song, P.; Pan, D.Y.; Wang, W.S.; Zhou, Y.N.; Wang, C.; Luo, B. Cu2+ stress effects on soybean growth and antioxidant enzyme activity. Jiangsu Agric. Sci. 2019, 47, 89–92. [Google Scholar] [CrossRef]
  42. Hu, J.Y.; Zheng, E.N. A review of the effects of biochar on crop growth and soil environmental effects. Agric. Technol. 2021, 41, 31–35. [Google Scholar] [CrossRef]
  43. Wang, L.; Jiang, Z.; Li, F.L.; Jiang, B.W.; Dong, S.K.; Cao, B.; Zhang, Y. Research progress on soil barriers and countermeasures of soybean cultivated land in Black Soil Region. Soybean Sci. Technol. 2022, 27–36. [Google Scholar] [CrossRef]
  44. Liu, M.; Lai, Y.C.; Li, W.; Xiao, J.L.; Bi, Y.D.; Liu, M.; Li, W. Effect of biochar and nitrogen application rate on growth development and yield of soybean. Soybean Sci. 2015, 34, 87–92. [Google Scholar] [CrossRef]
  45. Zhang, H.Z.; Huang, Y.; Liu, G.; Xu, Y.P.; Liu, J.S.; Bei, Q.C.; Lin, X.W.; Zhu, J.G.; Xie, Z.B. Effects of biochar on corn growth, nutrient uptake and soil chemical properties in seeding stage. Ecol. Environ. 2010, 19, 2713–2717. [Google Scholar] [CrossRef]
  46. Wang, L.; Gu, H.; Li, J.L.; Yang, R.; He, J.; Chen, Y.; He, C.L.; He, C.G. Effect of nitrogen fertilizer combined with biochar on the biomass and photosynthetic characteristics of flue-cured tobacco/silage corn relay intercropping on slope farmland. J. Yunnan Agric. Univ. 2021, 36, 985–992. [Google Scholar] [CrossRef]
  47. Feng, M.L. Effects of Biochar and Nitrogen Additions on Soil Nutrient, Biomass and Photosynthetic Physiological Characteristics of Bletilla striata. Master’s Thesis, Jiangxi Agricultural University, Nanchang, China, 2019. [Google Scholar]
  48. Liu, J.H.; Wang, Q.; Luo, R.J.; Chen, X.; Sun, S.J. Effect of fulvic acid fertilizer on microbial diversity and enzyme activity in wheat rhizosphere soil. Plant Nutr. Fertil. Sci. 2019, 25, 1808–1816. [Google Scholar] [CrossRef]
  49. Wen, Y.; Wang, C.M.; Zhang, W.D.; Xu, R.; Wang, R.; Song, R.P.; He, S.Y.; Li, J.Q.; Liu, A.Q.; Ma, M.; et al. Research status and analysis in agricultural extension application of biochar. J. Anhui Agric. Sci. 2021, 49, 10–13,17. [Google Scholar] [CrossRef]
Figure 1. (a), (b) and (c) represent the total copper content of each treatment in low, medium, and high concentration pig manure, respectively. Pig manure (CZ) and pig manure with the addition of 2.5% bentonite (F1), 7.5% bentonite (F2), 2.5% biochar (F3), 7.5% biochar (F4), 2.5% biochar + 2.5% bentonite (F5), 2.5% biochar + 7.5% bentonite (F6), 7.5% biochar + 2.5% bentonite (F7), or 7.5% biochar + 7.5% bentonite (F8). LPS, MPS, and HPS represent pig manure–soil mixes with low, medium, and high Cu concentrations, respectively.
Figure 1. (a), (b) and (c) represent the total copper content of each treatment in low, medium, and high concentration pig manure, respectively. Pig manure (CZ) and pig manure with the addition of 2.5% bentonite (F1), 7.5% bentonite (F2), 2.5% biochar (F3), 7.5% biochar (F4), 2.5% biochar + 2.5% bentonite (F5), 2.5% biochar + 7.5% bentonite (F6), 7.5% biochar + 2.5% bentonite (F7), or 7.5% biochar + 7.5% bentonite (F8). LPS, MPS, and HPS represent pig manure–soil mixes with low, medium, and high Cu concentrations, respectively.
Environments 11 00290 g001
Figure 2. (a,b) Morphological changes to Cu in LPS; (c,d) morphological changes to Cu in MPS; and (e,f) morphological changes to Cu in HPS.
Figure 2. (a,b) Morphological changes to Cu in LPS; (c,d) morphological changes to Cu in MPS; and (e,f) morphological changes to Cu in HPS.
Environments 11 00290 g002
Figure 3. Passivation rates. The light blue line represents LPS, the dark blue line represents MPS, and the purple line represents HPS. “y” represents the regression equation and “R2” represents the coefficient of determination.
Figure 3. Passivation rates. The light blue line represents LPS, the dark blue line represents MPS, and the purple line represents HPS. “y” represents the regression equation and “R2” represents the coefficient of determination.
Environments 11 00290 g003
Figure 4. Plant heights (cm) for the treatments at the flowering and podding stages in LPS (a), MPS (b), and HPS (c). The a, b, and c on error line lettering indicate differences between treatments (p < 0.05). Note: lowercase letters (a, b, c) indicate significant differences between various treatments (p < 0.05).
Figure 4. Plant heights (cm) for the treatments at the flowering and podding stages in LPS (a), MPS (b), and HPS (c). The a, b, and c on error line lettering indicate differences between treatments (p < 0.05). Note: lowercase letters (a, b, c) indicate significant differences between various treatments (p < 0.05).
Environments 11 00290 g004
Figure 5. Photosynthetic rates (Pn: mol CO2/m2/s) and chlorophyll contents (SPAD) for each treatment. LPS (a), MPS (b), and HPS (c). The bar chart represents the podding and maturity stages for soybeans, while the line chart represents the seedling and podding stages.
Figure 5. Photosynthetic rates (Pn: mol CO2/m2/s) and chlorophyll contents (SPAD) for each treatment. LPS (a), MPS (b), and HPS (c). The bar chart represents the podding and maturity stages for soybeans, while the line chart represents the seedling and podding stages.
Environments 11 00290 g005
Figure 6. The relationship between the alterations in copper content and forms in LPS, MPS, and HPS for each soil indicator. * denotes 0.01 < p < 0.05, ** indicates 0.001 < p < 0.01.
Figure 6. The relationship between the alterations in copper content and forms in LPS, MPS, and HPS for each soil indicator. * denotes 0.01 < p < 0.05, ** indicates 0.001 < p < 0.01.
Environments 11 00290 g006
Table 1. The fundamental physical and chemical properties of the materials were investigated.
Table 1. The fundamental physical and chemical properties of the materials were investigated.
MaterialsCu
(mg/kg−1)
pHEC
(mS·cm−1)
Organic Matter
(g/kg)
Total Nitrogen
(g/kg)
Total Potassium
(g/kg)
Total Phosphorus
(g/kg)
Pig manure1309.35 ± 326.288.15 ± 0.322.54 ± 0.0646.7 ± 1.815.0 ± 0.105.8 ± 0.273.5 ± 0.14
Soil21.40 ± 0.206.89 ± 0.200.7 ± 0.0236.8 ± 4.121.34 ± 0.70.84 ± 0.0411.2 ± 0.29
Biochar12.46 ± 0.149.46 ± 0.141.8 ± 0.1322.08 ± 0.61.49 ± 0.052.36 ± 0.0919.82 ± 0.18
Sodium-based bentonite2.11 ± 0.037.0 ± 0.10.05 ± 0.01////
Table 2. Basic physical and chemical properties of low, medium, and high concentration pig manure before and after adding passivators.
Table 2. Basic physical and chemical properties of low, medium, and high concentration pig manure before and after adding passivators.
TreatmentpHEC
(mS·cm−1)
Organic Matter
(g/kg)
Total Nitrogen
(g/kg)
Total Potassium
(g/kg)
Total Phosphorus
(g/kg)
LPS7.02 ± 0.121.85 ± 0.0547.8 ± 4.552.3 ± 0.066.06 ± 0.6311.8 ± 0.11
MPS6.97 ± 0.061.93 ± 0.0745.9 ± 0.602.3 ± 0.255.47 ± 0.3713.4 ± 0.40
HPS6.91 ± 0.102.01 ± 0.0244.0 ± 8.552.4 ± 0.246.70 ± 0.6012.5 ± 0.42
LPS (AD)7.31 ± 0.210.75 ± 0.0658.06 ± 11.433.49 ± 1.2111.2 ± 2.2028.94 ± 7.69
MPS (AD)7.28 ± 0.090.76 ± 0.0457.50 ± 13.214.43 ± 1.5011.5 ± 4.9024.45 ± 5.12
HPS (AD)7.05 ± 0.150.82 ± 0.0858.90 ± 14.254.11 ± 1.0411.4 ± 1.4029.78 ± 3.46
LPS: pig manure with low concentration of Cu MPS: pig manure soil with high concentration of Cu HPS: pig manure soil with high concentration of Cu. The abbreviation “AD” stands for the average value after adding all passivation treatments.
Disclaimer/Publisher’s Note: The statements, opinions and data contained in all publications are solely those of the individual author(s) and contributor(s) and not of MDPI and/or the editor(s). MDPI and/or the editor(s) disclaim responsibility for any injury to people or property resulting from any ideas, methods, instructions or products referred to in the content.

Share and Cite

MDPI and ACS Style

Li, Y.; Zhao, H.; Liang, X.; Zhao, X.; Li, S.; Oh, K.; Jiang, D.; Li, T.; Cao, T. Impact of a Complex Passivating Agent on Heavy Metal Immobilization in Pig Manure and Plant Development. Environments 2024, 11, 290. https://doi.org/10.3390/environments11120290

AMA Style

Li Y, Zhao H, Liang X, Zhao X, Li S, Oh K, Jiang D, Li T, Cao T. Impact of a Complex Passivating Agent on Heavy Metal Immobilization in Pig Manure and Plant Development. Environments. 2024; 11(12):290. https://doi.org/10.3390/environments11120290

Chicago/Turabian Style

Li, Yutong, Hongyan Zhao, Xuanhe Liang, Xin Zhao, Shanlong Li, Kokyo Oh, Dengyu Jiang, Tao Li, and Tiehua Cao. 2024. "Impact of a Complex Passivating Agent on Heavy Metal Immobilization in Pig Manure and Plant Development" Environments 11, no. 12: 290. https://doi.org/10.3390/environments11120290

APA Style

Li, Y., Zhao, H., Liang, X., Zhao, X., Li, S., Oh, K., Jiang, D., Li, T., & Cao, T. (2024). Impact of a Complex Passivating Agent on Heavy Metal Immobilization in Pig Manure and Plant Development. Environments, 11(12), 290. https://doi.org/10.3390/environments11120290

Note that from the first issue of 2016, this journal uses article numbers instead of page numbers. See further details here.

Article Metrics

Back to TopTop