The Roles of Growth Language Mindset, Metacognitive Strategies, and Language Learning Self-Efficacy in Predicting L2 Willingness to Communicate: A Network Analysis and a Chain Mediation Model
Abstract
1. Introduction
1.1. The Relationship/Network Between Language Mindset and L2 WTC
1.2. The Relationship Among Growth Language Mindset, Metacognitive Strategies, LLSE, and L2 WTC
1.3. The Present Study
2. Materials
2.1. Participants
2.2. Procedure
2.3. Tools
2.3.1. Growth Language Mindset
2.3.2. Metacognitive Strategies
2.3.3. Language Learning Self-Efficacy
2.3.4. L2 WTC
3. Analysis
4. Results
4.1. Analysis of Common Method Bias
4.2. Descriptive Statistics and Correlations
4.3. Network Analysis of Language Mindset and L2 WTC
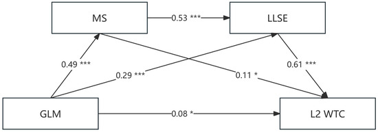
4.4. The Chain Mediation Effects Analyses
5. Discussion
5.1. The Effect of Growth Language Mindset on L2 WTC
5.2. The Mediating Roles of Metacognitive Strategies and LLSE
5.3. Implications
5.4. Limitations and Further Studies
6. Conclusions
Supplementary Materials
Author Contributions
Funding
Institutional Review Board Statement
Informed Consent Statement
Data Availability Statement
Acknowledgments
Conflicts of Interest
References
- Bachman, L. F., Purpura, J. E., & Cushing, S. T. (1993). Development of a questionnaire item bank to explore test-taker characteristics (Unpublished Interim Report Submitted to the University of Cambridge Local Examinations Syndicate). University of Cambridge. [Google Scholar]
- Campana, C. J. (2016). Middle school perceptions of foreign language experience in relation to perceptions of anxiety and self-efficacy when taking Spanish. Wilmington University. [Google Scholar]
- Deci, E. L., & Ryan, R. M. (2012). Self-determination theory. Handbook of Theories of Social Psychology, 1(20), 416–436. [Google Scholar]
- Dewaele, J. M., & Dewaele, L. (2018). Learner-internal and learner-external predictors of willingness to communicate in the FL classroom. Journal of the European Second Language Association, 2(1), 24–37. [Google Scholar] [CrossRef]
- Dweck, C. S. (2006). Mindset: The new psychology of success. Random House Publications. [Google Scholar]
- Dweck, C. S. (2013). Self-theories: Their role in motivation, personality, and development. Psychology Press. [Google Scholar]
- Epskamp, S., Borsboom, D., & Fried, E. I. (2018). Estimating psychological networks and their accuracy: A tutorial paper. Behavior Research Methods, 50, 195–212. [Google Scholar] [CrossRef] [PubMed]
- Epskamp, S., Cramer, A. O., Waldorp, L. J., Schmittmann, V. D., & Borsboom, D. (2012). qgraph: Network visualizations of relationships in psychometric data. Journal of Statistical Software, 48(4), 1–18. [Google Scholar] [CrossRef]
- Fathi, J., Pawlak, M., Saeedian, S., & Ghaderi, A. (2024). Exploring factors affecting foreign language achievement: The role of growth mindset, self-efficacy, and L2 grit. Language Teaching Research, 13621688241227603. [Google Scholar] [CrossRef]
- Hayes, A. F. (2015). An index and test of linear moderated mediation. Multivariate Behavioral Research, 50(1), 1–22. [Google Scholar] [CrossRef]
- Hejazi, S. Y., Sadoughi, M., & Peng, J. E. (2023). The structural relationship between teacher support and willingness to communicate: The mediation of L2 anxiety and the moderation of growth language mindset. Journal of Psycholinguistic Research, 52(6), 2955–2978. [Google Scholar] [CrossRef]
- Khajavy, G. H., MacIntyre, P. D., & Hariri, J. (2021). A closer look at grit and language mindset as predictors of foreign language achievement. Studies in Second Language Acquisition, 43(2), 379–402. [Google Scholar] [CrossRef]
- Lamb, M. (2017). The motivational dimension of language teaching. Language Teaching, 50(3), 301–346. [Google Scholar] [CrossRef]
- Lee, J. S., & Hsieh, J. C. (2019). Affective variables and willingness to communicate of EFL learners in in-class, out-of-class, and digital contexts. System, 82, 63–73. [Google Scholar] [CrossRef]
- Letina, S., Blanken, T. F., Deserno, M. K., & Borsboom, D. (2019). Expanding network analysis tools in psychological networks: Minimal spanning trees, participation coefficients, and motif analysis applied to a network of 26 psychological attributes. Complexity, 12, e0167490. [Google Scholar] [CrossRef]
- Li, L., Niu, Z., Mei, S., & Griffiths, M. D. (2022). A network analysis approach to the relationship between fear of missing out (FoMO), smartphone addiction, and social networking site use among a sample of Chinese university students. Computers in Human Behavior, 128, 107086. [Google Scholar] [CrossRef]
- Liu, L., & Jia, G. (2017). Looking beyond scores: Validating a CEFR-based university speaking assessment in Mainland China. Language Testing in Asia, 7, 1–16. [Google Scholar] [CrossRef]
- Lou, N. M., Chaffee, K. E., & Noels, K. A. (2022). Growth, fixed, and mixed mindsets: Mindset system profiles in foreign language learners and their role in engagement and achievement. Studies in Second Language Acquisition, 44(3), 607–632. [Google Scholar] [CrossRef]
- Lou, N. M., & Noels, K. A. (2017). Measuring language mindsets and modeling their relations with goal orientations and emotional and behavioral responses in failure situations. The Modern Language Journal, 101(1), 214–243. [Google Scholar] [CrossRef]
- Lou, N. M., & Noels, K. A. (2019). Promoting growth in foreign and second language education: A research agenda for mindsets in language learning and teaching. System, 86, 102126. [Google Scholar] [CrossRef]
- Lou, N. M., & Noels, K. A. (2020). Mindsets matter for linguistic minority students: Growth mindsets foster greater perceived proficiency, especially for newcomers. The Modern Language Journal, 104(4), 739–756. [Google Scholar] [CrossRef]
- MacIntyre, P. D., Clément, R., Dörnyei, Z., & Noels, K. A. (1998). Conceptualizing willingness to communicate in L2: A situational model of L2 confidence and affiliation. The Modern Language Journal, 82(4), 545–562. [Google Scholar] [CrossRef]
- MacIntyre, P. D., & Legatto, J. J. (2011). A dynamic system approach to willingness to communicate: Developing an idiodynamic method to capture rapidly changing affect. Applied Linguistics, 32(2), 149–171. [Google Scholar] [CrossRef]
- Opsahl, T., Agneessens, F., & Skvoretz, J. (2010). Node centrality in weighted networks: Generalizing degree and shortest paths. Social Networks, 32(3), 245–251. [Google Scholar] [CrossRef]
- Oxford, R. L. (2016). Teaching and researching language learning strategies: Self-regulation in context. Routledge. [Google Scholar]
- Papi, M., Rios, A., Pelt, H., & Ozdemir, E. (2019). Feedback-seeking behavior in language learning: Basic components and motivational antecedents. The Modern Language Journal, 103(1), 205–226. [Google Scholar] [CrossRef]
- Peng, E. J. (2020). Teacher interaction strategies and situated willingness to communicate. ELT Journal, 74, 307–317. [Google Scholar] [CrossRef]
- Peng, J. E., & Woodrow, L. (2010). Willingness to communicate in English: A model in the Chinese EFL classroom context. Language Learning, 60(4), 834–876. [Google Scholar] [CrossRef]
- Podsakoff, P. M., MacKenzie, S. B., Lee, J. Y., & Podsakoff, N. P. (2003). Common method biases in behavioral research: A critical review of the literature and recommended remedies. Journal of Applied Psychology, 88(5), 879–903. [Google Scholar] [CrossRef]
- Podsakoff, P. M., & Organ, D. W. (1986). Self-reports in organizational research: Problems and prospects. Journal of Management, 12(4), 531–544. [Google Scholar] [CrossRef]
- Rahimi, M., & Katal, M. (2012). Metacognitive strategies awareness and success in learning English as a foreign language: An overview. Procedia-Social and Behavioral Sciences, 31, 73–81. [Google Scholar] [CrossRef]
- Ryan, S., & Mercer, S. (2012a). Implicit theories: Language learning mindsets. In S. Mercer, S. Ryan, & M. Williams (Eds.), Psychology for language learning: Insights from research, theory and practice (pp. 74–89). Springer. [Google Scholar]
- Ryan, S., & Mercer, S. (2012b). Language learning mindsets across cultural settings: English learners in Austria and Japan. OnCUE Journal, 6(1), 6–22. [Google Scholar]
- Schmittmann, V. D., Cramer, A. O., Waldorp, L. J., Epskamp, S., Kievit, R. A., & Borsboom, D. (2013). Deconstructing the construct: A network perspective on psychological phenomena. New Ideas in Psychology, 31(1), 43–53. [Google Scholar] [CrossRef]
- Schunk, D. H., & DiBenedetto, M. K. (2021). Self-efficacy and human motivation. In Advances in motivation science (Vol. 8, pp. 153–179). Elsevier. [Google Scholar]
- Solhi, M., & Thumvichit, A. (2024). Dissecting subjective L2 (un)willingness to communicate among EFL learners: A Q methodology study. Journal of Multilingual and Multicultural Development. [Google Scholar] [CrossRef]
- Tandang, T. A. W., & Arif, M. M. (2019). Beliefs about language learning, role of gender and students’ achievement in relation to second language anxiety. Asian Journal of University Education, 15(3), 276–284. [Google Scholar] [CrossRef]
- Teng, M. F., Wang, C., & Wu, J. G. (2023). Metacognitive strategies, language learning motivation, self-efficacy belief, and English achievement during remote learning: A structural equation modelling approach. RELC Journal, 54(3), 648–666. [Google Scholar] [CrossRef]
- Wang, C., Kim, D. H., Bai, R., & Hu, J. (2014). Psychometric properties of a self-efficacy scale for English language learners in China. System, 44, 24–33. [Google Scholar] [CrossRef]
- Wang, H., Patterson, M. M., & Peng, A. (2024). Predictors of second language willingness to communicate among US undergraduate students: Classroom social climate, emotions, and language mindset. Language Teaching Research. [Google Scholar] [CrossRef]
- Wang, H., Peng, A., & Patterson, M. M. (2021). The roles of class social climate, language mindset, and emotions in predicting willingness to communicate in a foreign language. System, 99, 102529. [Google Scholar] [CrossRef]
- Wei, X., & Xu, Q. (2022). Predictors of willingness to communicate in a second language (L2 WTC): Toward an integrated L2 WTC model from the socio-psychological perspective. Foreign Language Annals, 55(1), 258–282. [Google Scholar] [CrossRef]
- Wong, M. (2002). A preliminary study of chinese english majors’ metacognition and their achievements [Master’s thesis, Southwest China Normal University]. [Google Scholar]
- Xu, Q., Wu, J., & Peng, H. (2022). Chinese EFL university students’ self-efficacy for online self-regulated learning: Dynamic features and influencing factors. Frontiers in Psychology, 13, 912970. [Google Scholar] [CrossRef]
- Zadorozhnyy, A., & Lee, J. S. (2023). Informal digital learning of English and willingness to communicate in a second language: Self-efficacy beliefs as a mediator. Computer Assisted Language Learning. [Google Scholar] [CrossRef]
- Zarrinabadi, N., Lou, N. M., & Shirzad, M. (2021). Autonomy support predicts language mindsets: Implications for developing communicative competence and willingness to communicate in EFL classrooms. Learning and Individual Differences, 86, 101981. [Google Scholar] [CrossRef]
- Zhong, S., Wang, Y., & Wu, W. (2023). Exploring the mediating role of emotions between growth language mindset and engagement qmong EFL Learners. The Asia-Pacific Education Researcher, 33, 1037–1049. [Google Scholar] [CrossRef]



| Variables | M | SD | 1 | 2 | 3 | 4 | 5 | 6 | 7 |
|---|---|---|---|---|---|---|---|---|---|
| 1. Gender a | - | - | - | ||||||
| 2. Age | 20.42 | 1.29 | −0.18 *** | - | |||||
| 3. FUELA b | 4.17 | 0.78 | −0.13 ** | 0.04 | - | ||||
| 4. GLM | 4.46 | 0.74 | −0.04 | 0.01 | 0.12 *** | - | |||
| 5. MS | 3.45 | 0.61 | −0.15 *** | −0.009 | 0.24 *** | 0.52 *** | - | ||
| 6. LLSE | 4.79 | 0.97 | −0.17 *** | 0.01 * | 0.24 *** | 0.57 *** | 0.70 *** | - | |
| 7. L2 WTC | 3.43 | 0.77 | −0.16 *** | −0.42 ** | 0.18 *** | 0.49 *** | 0.57 *** | 0.76 *** | - |
| Skewness (<±2) | - | - | - | −0.38 | −0.03 | −0.32 | −0.06 | ||
| Kurtosis (<±7) | - | - | - | 0.21 | 0.12 | 0.12 | −0.17 |
| Variables | MS | LLSE | L2 WTC | |||||||||
|---|---|---|---|---|---|---|---|---|---|---|---|---|
| β | 95% CI | SE | t | β | 95% CI | SE | t | β | 95% CI | SE | t | |
| Gender | −0.1254 | [−0.42, −0.11] | 0.08 | −3.34 *** | −0.0507 | [−0.23, 0.02] | 0.06 | −1.69 | −0.0250 | [−0.18, 0.07] | 0.07 | −0.82 |
| Age | −0.0409 | [−0.42, 0.025] | 0.03 | −1.10 | 0.1011 | [0.03, 0.12] | 0.02 | 3.42 *** | 0.0642 | [0.004, 0.10] | 0.02 | 2.13 * |
| FUELA | 0.1327 | [0.08, 0.27] | 0.05 | 3.53 *** | 0.0497 | [−0.01, 0.14] | 0.04 | 1.65 | −0.0141 | [−0.09, 0.06] | 0.04 | −0.46 |
| GLM | 0.4875 | [0.41, 0.56] | 0.04 | 13.07 *** | 0.2855 | [0.22, 0.35] | 0.03 | 8.37 *** | 0.0808 | [0.09, 0.15] | 0.04 | 2.21 * |
| MS | 0.5291 | [0.46, 0.60] | 0.04 | 15.12 *** | 0.1079 | [0.03, 0.19] | 0.04 | 2.56 * | ||||
| LLSE | 0.6060 | [0.52, 0.69] | 0.04 | 13.68 *** | ||||||||
| R2 | 0.30 | 0.56 | 0.56 | |||||||||
| F | 56.43 *** | 133.16 *** | 107.96 *** | |||||||||
| Mediating Effects | Effects | Boot SE | Boot LLCI | Boot ULCI |
|---|---|---|---|---|
| Total effect | 0.46 | 0.04 | 0.39 | 0.54 |
| Direct effect | 0.08 | 0.04 | 0.01 | 0.15 |
| Total indirect effects | 0.38 | 0.04 | 0.31 | 0.46 |
| Ind1: X → M1 → Y | 0.05 | 0.03 | 0.003 | 0.11 |
| Ind2: X → M2 → Y | 0.17 | 0.03 | 0.11 | 0.24 |
| Ind3: X → M1 → M2 → Y | 0.16 | 0.02 | 0.12 | 0.20 |
Disclaimer/Publisher’s Note: The statements, opinions and data contained in all publications are solely those of the individual author(s) and contributor(s) and not of MDPI and/or the editor(s). MDPI and/or the editor(s) disclaim responsibility for any injury to people or property resulting from any ideas, methods, instructions or products referred to in the content. |
© 2025 by the authors. Licensee MDPI, Basel, Switzerland. This article is an open access article distributed under the terms and conditions of the Creative Commons Attribution (CC BY) license (https://creativecommons.org/licenses/by/4.0/).
Share and Cite
Ho, Y.-H.; Lu, A.; Liu, S.; Chen, W.; Huang, J.; Zheng, M. The Roles of Growth Language Mindset, Metacognitive Strategies, and Language Learning Self-Efficacy in Predicting L2 Willingness to Communicate: A Network Analysis and a Chain Mediation Model. Behav. Sci. 2025, 15, 521. https://doi.org/10.3390/bs15040521
Ho Y-H, Lu A, Liu S, Chen W, Huang J, Zheng M. The Roles of Growth Language Mindset, Metacognitive Strategies, and Language Learning Self-Efficacy in Predicting L2 Willingness to Communicate: A Network Analysis and a Chain Mediation Model. Behavioral Sciences. 2025; 15(4):521. https://doi.org/10.3390/bs15040521
Chicago/Turabian StyleHo, Yuk-Hong, Aitao Lu, Siyi Liu, Wanyi Chen, Jingtao Huang, and Minyun Zheng. 2025. "The Roles of Growth Language Mindset, Metacognitive Strategies, and Language Learning Self-Efficacy in Predicting L2 Willingness to Communicate: A Network Analysis and a Chain Mediation Model" Behavioral Sciences 15, no. 4: 521. https://doi.org/10.3390/bs15040521
APA StyleHo, Y.-H., Lu, A., Liu, S., Chen, W., Huang, J., & Zheng, M. (2025). The Roles of Growth Language Mindset, Metacognitive Strategies, and Language Learning Self-Efficacy in Predicting L2 Willingness to Communicate: A Network Analysis and a Chain Mediation Model. Behavioral Sciences, 15(4), 521. https://doi.org/10.3390/bs15040521

