Estimation of Equivalent Pore Aspect Ratio in Rock Physics Models and Validation Using Digital Rocks
Abstract
1. Introduction
2. Methods
2.1. Rock Physics Models
2.2. Digital Rock Physics
2.3. Estimation of Equivalent Pore Aspect Ratio
3. Results
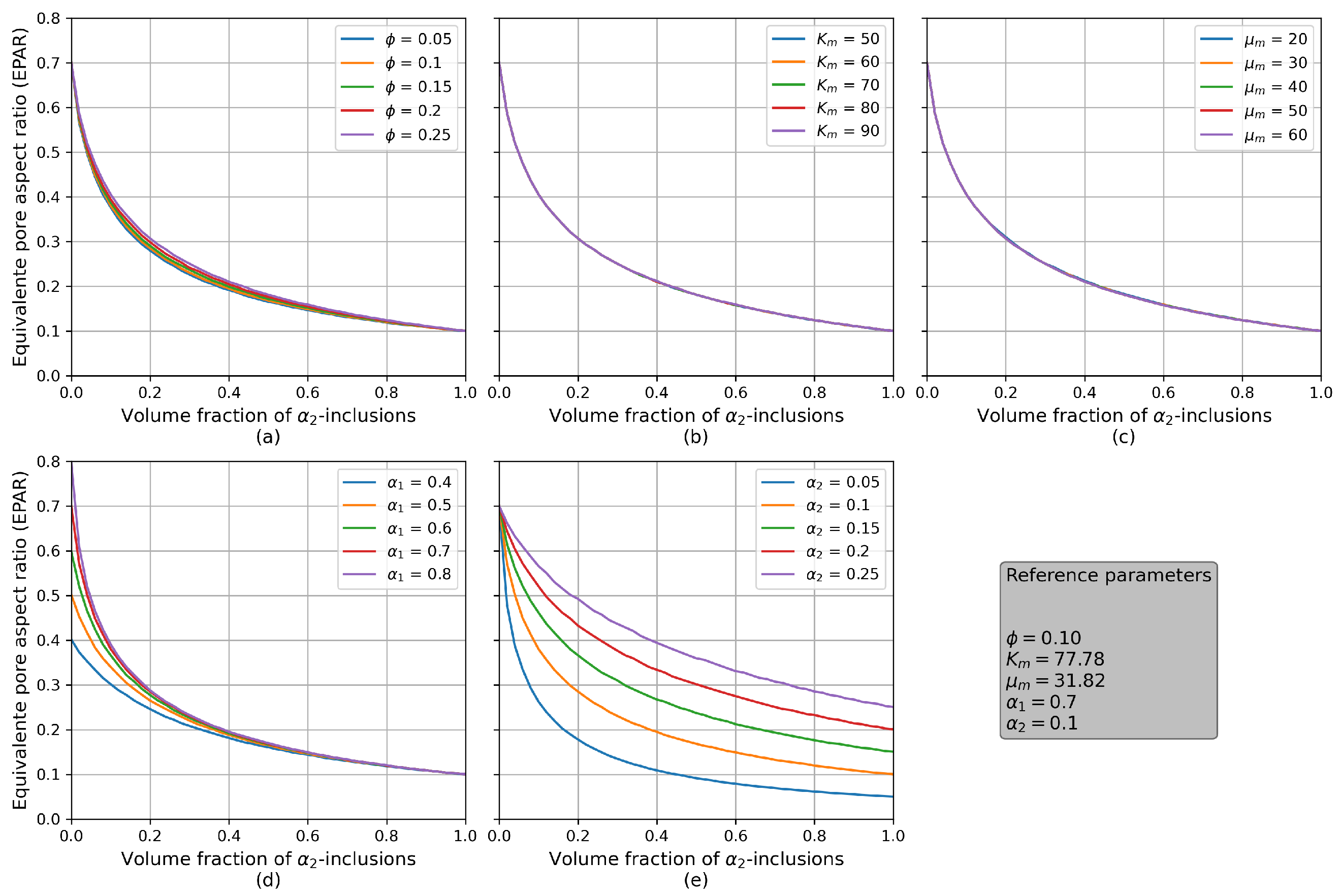
3.1. Evaluation of EPAR from Multiple Inclusions Using RPM
3.2. Comparison Between DRP Simulations and RPM Predictions
3.2.1. Synthetic Digital Samples
3.2.2. Real Digital Samples
- Desert Pink (DP): Fine, poorly sorted bioclastic grainstone, cemented by calcite, with little compaction. High porosity of the granular, moldic, and intercrystalline types;
- Edwards Yellow (EY): Fine, poorly sorted bioclastic grainstone, cemented by calcite with intense dissolution. High porosity of the intragranular, moldic, intercrystalline, and intergranular types;
- Indian Limestone (IL): Coarse bioclastic grainstone, moderately poorly sorted, intensely cemented by calcite. Very low porosity of the intergranular and intercrystalline types;
- Silurian Dolomite (SD): Medium to coarse dolomite. High porosity of the intercrystalline and vugular types;
- Boise SS (BOS): Medium sandstone, moderately sorted. Good porosity of the intergranular, intragranular, and moldic types.
3.3. Epar Calculation Based on RPM and Full Aspect Ratio Distribution
3.4. Validation with Well Log Analysis
4. Conclusions
Author Contributions
Funding
Data Availability Statement
Acknowledgments
Conflicts of Interest
Appendix A. Self-Consistent Approximation for Ellipsoidal Inclusions
References
- Mavko, G.; Mukerji, T.; Dvorkin, J. The Rock Physics Handbook: Tools for Seismic Analysis of Porous Media, 2 ed.; Cambridge University Press: Cambridge, UK, 2009. [Google Scholar] [CrossRef]
- Eberli, G.P.; Baechle, G.T.; Anselmetti, F.S.; Incze, M.L. Factors controlling elastic properties in carbonate sediments and rocks. Geophysics 2003, 22, 654–660. [Google Scholar] [CrossRef]
- Vasquez, G.F.; Morschbacher, M.J.; dos Anjos, C.W.D.; Silva, Y.M.P.; Madrucci, V.; Justen, J.C.R. Petroacoustics and composition of presalt rocks from Santos Basin. Lead. Edge 2019, 38, 342–348. [Google Scholar] [CrossRef]
- Budiansky, B. On the elastic moduli of some heterogeneous materials. J. Mech. Phys. Solids 1965, 13, 223–227. [Google Scholar] [CrossRef]
- Mori, T.A.; Tanaka, K. Average stress in matrix and average elastic energy of materials with misfitting inclusions. Acta Metall. 1973, 21, 571–574. [Google Scholar] [CrossRef]
- Kuster, G.T.; Toksöz, M.N. Velocity and Attenuation of SeismicC Waves in Two-phase Media: Part I. Theoretical Formulations. Geophysics 1974, 39, 587–606. [Google Scholar] [CrossRef]
- Berryman, J.G. Long-wavelength propagation in composite elastic media I. Spherical inclusions. J. Acoust. Soc. Am. 1980, 68, 1809–1819. [Google Scholar] [CrossRef]
- Berryman, J.G. Elastic wave propagation in fluid-saturated porous media. J. Acoust. Soc. Am. 1981, 69, 416–424. [Google Scholar] [CrossRef]
- Norris, A. A differential scheme for the effective moduli of composites. Mech. Mater. 1985, 4, 1–16. [Google Scholar] [CrossRef]
- Garboczi, E.J.; Berryman, J.G. Elastic moduli of a material containing composite inclusions: Effective medium theory and finite element computations. Mech. Mater. 2001, 33, 455–470. [Google Scholar] [CrossRef]
- Xu, S.; Payne, M.A. Modeling elastic properties in carbonate rocks. Lead. Edge 2009, 28, 66–74. [Google Scholar] [CrossRef]
- Sun, Y.F. Pore structure effects on elastic wave propagation in rocks: AVO modelling. J. Geophys. Eng. 2004, 1, 268–276. [Google Scholar] [CrossRef]
- Dou, Q.; Sun, Y.; Sullivan, C. Rock-physics-based carbonate pore type characterization and reservoir permeability heterogeneity evaluation, Upper San Andres reservoir, Permian Basin, west Texas. J. Appl. Geophys. 2011, 74, 8–18. [Google Scholar] [CrossRef]
- Li, T.; Wang, Z.; Gu, Y.J.; Wang, R.; Wang, Y. Experimental study of fracture structure effects on acoustic logging data using a synthetic borehole model. J. Pet. Sci. Eng. 2019, 183, 106433. [Google Scholar] [CrossRef]
- Grechka, V.; Kachanov, M. Effective elasticity of rocks with closely spaced and intersecting cracks. Geophysics 2006, 71, D85–D91. [Google Scholar] [CrossRef]
- Fournier, F.; Léonide, P.; Kleipool, L.; Toullec, R.; Reijmer, J.J.; Borgomano, J.; Klootwijk, T.; Van Der Molen, J. Pore space evolution and elastic properties of platform carbonates (Urgonian limestone, Barremian—Aptian, SE France). Sediment. Geol. 2014, 308, 1–17. [Google Scholar] [CrossRef]
- Wang, Z.; Wang, R.; Wang, F.; Qiu, H.; Li, T. Experiment study of pore structure effects on velocities in synthetic carbonate rocks. Geophysics 2015, 80, D207–D219. [Google Scholar] [CrossRef]
- Dias, J.; Lopez, J.L.; Velloso, R.; Perosi, F. A workflow for multimineralogic carbonate rock physics modelling in a Bayesian framework: Brazilian pre-salt reservoir case study. Geophys. Prospect. 2021, 69, 650–676. [Google Scholar] [CrossRef]
- Pillar, N.; Yan, J.; Lubbe, R. Variable Aspect Ratio Method in the Xu-White Model for AVO. In Proceedings of the 69th EAGE Conference and Exhibition incorporating SPE EUROPEC 2007, London, UK, 11–14 June 2007; European Association of Geoscientists & Engineers: Utrecht, The Netherlands, 2007. [Google Scholar] [CrossRef]
- Cilli, P.; Chapman, M. Modelling the Elastic and Electrical Properties of Rocks with Complex Pore Geometries. In Proceedings of the 80th EAGE Conference and Exhibition 2018, Copenhagen, Denmark, 11–14 June 2018; European Association of Geoscientists & Engineers: Utrecht, The Netherlands, 2018; Volume 2018, pp. 1–5. [Google Scholar] [CrossRef]
- Dvorkin, J.; Derzhi, N.; Diaz, E.; Fang, Q. Relevance of computational rock physics. Geophysics 2011, 76, E141–E153. [Google Scholar] [CrossRef]
- Andrä, H.; Combaret, N.; Dvorkin, J.; Glatt, E.; Han, J.; Kabel, M.; Keehm, Y.; Krzikalla, F.; Lee, M.; Madonna, C.; et al. Digital rock physics benchmarks—Part I: Imaging and segmentation. Comput. Geosci. 2013, 50, 25–32. [Google Scholar] [CrossRef]
- Saenger, E.H.; Vialle, S.; Lebedev, M.; Uribe, D.; Osorno, M.; Duda, M.; Steeb, H. Digital carbonate rock physics. Solid Earth 2016, 7, 1185–1197. [Google Scholar] [CrossRef]
- Weger, R.J.; Eberli, G.P.; Baechle, G.T.; Massaferro, J.L.; Sun, Y.F. Quantification of pore structure and its effect on sonic velocity and permeability in carbonates. AAPG Bull. 2009, 93, 1297–1317. [Google Scholar] [CrossRef]
- Weger, R.J.; Eberli, G.P.; Massaferro, J.L.; Sun, Y.; Baechle, G.T. Theoretically derived pore geometry in carbonates using the extended biot theory. Mar. Pet. Geol. 2023, 155, 106359. [Google Scholar] [CrossRef]
- Andrä, H.; Combaret, N.; Dvorkin, J.; Glatt, E.; Han, J.; Kabel, M.; Keehm, Y.; Krzikalla, F.; Lee, M.; Madonna, C.; et al. Digital rock physics benchmarks—Part II: Computing effective properties. Comput. Geosci. 2013, 50, 33–43. [Google Scholar] [CrossRef]
- Zhao, L.; Nasser, M.; Han, D.H. Quantitative geophysical pore-type characterization and its geological implication in carbonate reservoirs. Geophys. Prospect. 2013, 61, 827–841. [Google Scholar] [CrossRef]
- Teillet, T.; Fournier, F.; Zhao, L.; Borgomano, J.; Hong, F. Geophysical pore type inversion in carbonate reservoir: Integration of cores, well logs, and seismic data (Yadana field, offshore Myanmar). Geophysics 2021, 86, B149–B164. [Google Scholar] [CrossRef]
- Guo, Q.; Ba, J.; Luo, C. Nonlinear petrophysical amplitude variation with offset inversion with spatially variable pore aspect ratio. Geophysics 2022, 87, M111–M125. [Google Scholar] [CrossRef]
- Guo, Q.G.; Ba, J.; Luo, C. Seismic rock-physics linearized inversion for reservoir-property and pore-type parameters with application to carbonate reservoirs. Geoenergy Sci. Eng. 2023, 224, 211640. [Google Scholar] [CrossRef]
- Wang, G.; Chen, S.; Wang, Y. Direct inversion for the equivalent pore aspect ratio based on the theory of ellipsoid modelling. Geophys. Prospect. 2022, 71, 1821–1834. [Google Scholar] [CrossRef]
- Berryman, J.G. Mixture theories for rock properties. Rock Phys. Phase Relat. Handb. Phys. Constants 1995, 3, 205–228. [Google Scholar]
- Garboczi, E. Finite Element and Finite Difference Programs for Computing the Linear Electric and Elastic Properties of Digital Images of Random Materials; National Institute of Standards and Technology: Gaithersburg, MD, USA, 1998. [Google Scholar] [CrossRef]
- GeoDict Simulation Software Relase, Math2Market GmbH: Kaiserslautern, Germany, 2024. [CrossRef]
- Kabel, M.; Merkert, D.; Schneider, M. Use of composite voxels in FFT-based homogenization. Comput. Methods Appl. Mech. Eng. 2015, 294, 168–188. [Google Scholar] [CrossRef]
- Avizo Software. Available online: http://www.thermofisher.com/avizo (accessed on 10 February 2025).
- Buades, A.; Coll, B.; Morel, J.M. A non-local algorithm for image denoising. In Proceedings of the 2005 IEEE Computer Society Conference on Computer Vision and Pattern Recognition (CVPR’05), San Diego, CA, USA, 20–25 June 2005; Volume 2, pp. 60–65. [Google Scholar]
- Sheppard, A.P.; Sok, R.M.; Averdunk, H. Techniques for image enhancement and segmentation of tomographic images of porous materials. Phys. A Stat. Mech. Its Appl. 2004, 339, 145–151. [Google Scholar] [CrossRef]
- Vincent, L.; Soille, P. Watersheds in digital spaces: An efficient algorithm based on immersion simulations. IEEE Trans. Pattern Anal. Mach. Intell. 1991, 13, 583–598. [Google Scholar] [CrossRef]
- Gonzalez, R.; Woods, R. Digital Image Processing; Pearson: London, UK, 2018. [Google Scholar]
- Fournier, F.; Leonide, P.; Biscarrat, K.; Gallois, A.; Borgomano, J.; Foubert, A. Elastic properties of microporous cemented grainstones. Geophysics 2011, 76, E211–E226. [Google Scholar] [CrossRef]
- GeoSlicer. Available online: https://www.ltrace.com.br/geoslicer/ (accessed on 10 February 2025).
- Carneiro, I.B.; Souza, J.V.B.d.; Zanelatto, D.E.; Mei, M.K.R.; Sapucaia, V.W.; Figueiredo, L.P.d.; Bordignon, F.L.; Matias, J.L.d.L.; Honório, B.C.Z.; Surmas, R. Multiscale analysis of carbonate rocks for the digital rocks platform GeoSlicer, an open source plugin. In Proceedings of the Rio Oil & Gas, Rio de Janeiro, RJ, Brazil, 23–26 September 2024. [Google Scholar]
- Fournier, F.; Pellerin, M.; Villeneuve, Q.; Teillet, T.; Hong, F.; Poli, E.; Borgomano, J.; Léonide, P.; Hairabian, A. The equivalent pore aspect ratio as a tool for pore type prediction in carbonate reservoirs. AAPG Bull. 2018, 102, 1343–1377. [Google Scholar] [CrossRef]
- Lima, B.E.M.; De Ros, L.F. Deposition, diagenetic and hydrothermal processes in the Aptian Pre-Salt lacustrine carbonate reservoirs of the northern Campos Basin, offshore Brazil. Sediment. Geol. 2019, 383, 55–81. [Google Scholar] [CrossRef]
- Silva Adriano, M.; Figueiredo, J.P.; Coelho, P.H.G.R.; Borghi, L. Tectonic and stratigraphic evolution of the Santos Basin rift phase: New insights from seismic interpretation on Tupi oil field area. J. S. Am. Earth Sci. 2022, 116, 103842. [Google Scholar] [CrossRef]
- Chinelatto, G.F.; Belila, A.M.P.; Basso, M.; Souza, J.P.P.; Vidal, A.C. A taphofacies interpretation of shell concentrations and their relationship with petrophysics: A case study of Barremian-Aptian coquinas in the Itapema Formation, Santos Basin-Brazil. Mar. Pet. Geol. 2020, 116, 104317. [Google Scholar] [CrossRef]
- Rebelo, T.B.; Batezelli, A.; Mattos, N.H.; Leite, E.P. Sedimentary processes and paleoenvironment reconstruction of the Barra Velha formation, Santos Basin, Brazilian pre-salt. Mar. Pet. Geol. 2023, 150, 106141. [Google Scholar] [CrossRef]
- Gomes, J.; Bunevich, R.; Tedeschi, L.; Tucker, M.; Whitaker, F. Facies classification and patterns of lacustrine carbonate deposition of the Barra Velha Formation, Santos Basin, Brazilian Pre-salt. Mar. Pet. Geol. 2020, 113, 104176. [Google Scholar] [CrossRef]














| Elastic Moduli Error | MT | KT | SC | DEM () | DEM () |
|---|---|---|---|---|---|
| Bulk modulus | −0.164% | −0.126% | −0.150% | −0.191% | −0.057% |
| Shear modulus | 0.007% | 0.019% | 0.003% | 0.295% | 0.081% |
| Elastic Moduli Error | MT | KT | SC | DEM (,) |
|---|---|---|---|---|
| Bulk modulus | 0.101% | 0.102% | 0.106% | 0.021% |
| Shear modulus | 0.021% | 0.015% | 0.015% | −0.043% |
| Code | Name | Classification | Thin Section | CT Image |
|---|---|---|---|---|
| BOS | Boise SS | Sandstone | ![]() | ![]() |
| DP | Desert Pink | Bioclastic Grainstone | ![]() | ![]() |
| EY | Edwards Yellow | Bioclastic Grainstone | ![]() | ![]() |
| SD | Silurian Dolomite | Dolomite | ![]() | ![]() |
| IL | Indiana Limestone | Bioclastic Grainstone | ![]() | ![]() |
| Elastic Moduli Error | MT | KT | SC | DEM | |
|---|---|---|---|---|---|
| Bulk modulus | Mean | −7.133% | −8.703% | −1.265% | −4.707% |
| Standard deviation | 4.094% | 5.622% | 0.925% | 2.591% | |
| Shear modulus | Mean | 6.690% | 10.720% | 1.138% | 4.605% |
| Standard deviation | 2.883% | 5.317% | 0.803% | 1.664% |
| BVE Sample | ITP Sample | ||
|---|---|---|---|
| EPAR | Mean of empirical distribution | 0.3899 | 0.2923 |
| EPAR using RPM with full distribution | 0.3187 | 0.2194 | |
| EPAR using DRP numerical simulation | 0.2882 | 0.2053 | |
| Bulk modulus (GPa) | DRP simulation | 33.37 | 48.85 |
| RPM using DRP-based EPAR | 32.98 | 48.49 | |
| RPM using full distribution | 34.65 | 49.66 | |
| RPM using RPM-based EPAR | 34.55 | 49.55 | |
| Shear modulus (GPa) | DRP simulation | 18.27 | 24.26 |
| RPM using DRP-based EPAR | 18.50 | 24.55 | |
| RPM using full distribution | 18.98 | 24.81 | |
| RPM using RPM-based EPAR | 18.94 | 24.78 |
Disclaimer/Publisher’s Note: The statements, opinions and data contained in all publications are solely those of the individual author(s) and contributor(s) and not of MDPI and/or the editor(s). MDPI and/or the editor(s) disclaim responsibility for any injury to people or property resulting from any ideas, methods, instructions or products referred to in the content. |
© 2025 by the authors. Licensee MDPI, Basel, Switzerland. This article is an open access article distributed under the terms and conditions of the Creative Commons Attribution (CC BY) license (https://creativecommons.org/licenses/by/4.0/).
Share and Cite
Queiroz, L.E.; Grana, D.; Fernandes, C.P.; Mukerji, T.; de Figueiredo, L.P.; Mantovani, I.F. Estimation of Equivalent Pore Aspect Ratio in Rock Physics Models and Validation Using Digital Rocks. Geosciences 2025, 15, 67. https://doi.org/10.3390/geosciences15020067
Queiroz LE, Grana D, Fernandes CP, Mukerji T, de Figueiredo LP, Mantovani IF. Estimation of Equivalent Pore Aspect Ratio in Rock Physics Models and Validation Using Digital Rocks. Geosciences. 2025; 15(2):67. https://doi.org/10.3390/geosciences15020067
Chicago/Turabian StyleQueiroz, Luiz Eduardo, Dario Grana, Celso Peres Fernandes, Tapan Mukerji, Leandro Passos de Figueiredo, and Iara Frangiotti Mantovani. 2025. "Estimation of Equivalent Pore Aspect Ratio in Rock Physics Models and Validation Using Digital Rocks" Geosciences 15, no. 2: 67. https://doi.org/10.3390/geosciences15020067
APA StyleQueiroz, L. E., Grana, D., Fernandes, C. P., Mukerji, T., de Figueiredo, L. P., & Mantovani, I. F. (2025). Estimation of Equivalent Pore Aspect Ratio in Rock Physics Models and Validation Using Digital Rocks. Geosciences, 15(2), 67. https://doi.org/10.3390/geosciences15020067











